Artículos

Recepción: 16 Agosto 2023
Aprobación: 28 Diciembre 2023
DOI: https://doi.org/10.32870/myn.vi51.7723
Abstract:
This work proposes a design of an alternative pension plan based on collectivity with the characteristics of hybrid plans. Based on actuarial methods and financial modeling of some of the variables involved, numerical modeling of collective plans is performed to achieve this objective. Then, various scenarios were carried out to simulate a pension fund based on an institution database. At the end of each period, the replacement rate value for each plan member is calculated with a target of 30% of the last salary. As the plan works collectively, surpluses and deficits are distributed uniformly among the plan members. The results are that it is possible to achieve a replacement rate of 70% in the form of a life annuity due with 30 years of service, a contribution rate of 15% of the salary, and an investment portfolio of 60% of assets invested in equities and 40% in bonds.
JEL code: J32
Keywords: Public Sector, Intellectual Property, Research Development and Innovation, High Education Institutions.
Resumen:
Este trabajo propone un diseño para un plan de pensiones alternativo basado en la colectividad con las características de los planes híbridos. Con base en métodos actuariales y modelización financiera de algunas de las variables involucradas, para lograr este objetivo se realiza la modelización numérica de los planes colectivos. Luego, se realizaron diversos escenarios para simular un fondo de pensiones a partir de una base de datos de una institución. Al final de cada período, se calcula el valor de la tasa de reemplazo para cada afiliado al plan con un objetivo del 30% del último salario. Como el plan funciona de forma colectiva, los superávits y déficits se distribuyen uniformemente entre los miembros del plan. Los resultados son que es posible alcanzar una tasa de reemplazo del 70% en la forma de una renta vitalicia con 30 años de servicio, una tasa de contribución del 15% del salario y una cartera de inversiones del 60% de los activos invertidos en acciones y 40% en bonos.
Código JEL: J32
Palabras clave: pensiones, planes de pensiones colectivos, simulación numérica, tasa de reemplazo.
INTRODUCTION
There is a growing concern about the future of pensions that is wider than a single country. It is mainly due to the aging of the population or the Risk of longevity, which is why the governments of several countries have been forced to look to the future and seek reforms in the pension systems to guarantee their financial sustainability. These reforms are focused on ensuring that the number of pensioners continues to grow slowly, making it unsustainable to be able to pay pensions. Some strategies have been to increase the retirement age and eligibility rules or reduce the size of pensions by adjusting benefit formulas (Amaglobeli et al., 2019).
Even with various projections made with Permanent Plan Balance (PPB), Constant Contribution Rate (CCR), or Constant State Effort (CSE), the deficit measurements are between 8 and 20 billion euros (166 and 415 billion Mexican pesos). For Spain, Cordoba-Bueno et al. (2016) propose a model that assumes that between 2019 and 2050, the effect on the public deficit will be overwhelming for the Spanish economy unless measures such as a combination of raising the retirement age, a constant benefit, tax increases, and higher contributions; are taken.
Further reforms may be needed, such as reducing benefit ratios in Argentina and Brazil and reducing early retirement benefits in Russia. The reforms also involve creating additional funds for workers and migrating from defined benefit schemes to defined contribution schemes (Amaglobeli et al., 2019).
The design of a pension plan that guarantees an adequate pension to workers without compromising its financial sustainability for the institutions is of greater importance in these times of financial crisis in the pension field. For example, various media have published for several years that public universities in Mexico are in technical bankruptcy due to the lack of financial solvency to meet their labor liabilities or pension payments (Blancas Madrigal, 2018; Mendoza, 2017; Martínez, 2010).
In 2004 alone, the actuarial liabilities of the 32 public universities amounted to MXN $250 billion (USD $12 133 million), representing 3% of GDP (ANUIES, 2004). A similar situation can be observed in other countries, for example, in France, which is expected to have a deficit of 12 billion euros (USD $13 700 million) by 2027 (Consorci d'Estudis, Mediació I Conciliació a l'Administració Local, 2019).
For Spain, it is assumed that between 2019 and 2050, the effect on the public deficit will be overwhelming for the Spanish economy unless measures such as a combination of raising the retirement age, a benefits freeze, tax increases, and higher contributions are taken (Córdoba-Bueno et al., 2016).
Various types of hybrid pension plans have been adopted to counteract the abovementioned situation of financial unsustainability. In recent studies, Fu (2023) explores the optimal investment in a hybrid pension plan; this analysis considers intergenerational risk-sharing and longevity trends.
The results are that postponing retirement can help alleviate the stress of an aging population. Also, Kilgour (2021) discusses hybrid plans from the perspective of shifting from defined benefit to defined contribution pension plans, highlighting the increasing importance of hybrid cash balance and pension equity plans. Perlman (2021) examines the shift to alternative retirement plans based on well-funded pensions. Kilgour (2021) discusses funding, financial status, and congressional and national efforts to save these plans for state single-employer pension plans.
Other studies promote and analyze pension plans that are alternatives to traditional ones(Gómez & Demmler, 2023). Some examples are the collective defined contribution (CDC) plans, tontine, and tenuity pension plans. The Collective Defined Contribution Scheme (CDC) is considered a solution for this type of institution that suffers financial insolvency to meet its actuarial liabilities. According to the British House of Commons (2017), a CDC scheme has the following main characteristics:
"1. Collective: the risks associated with any pension scheme (e.g., longevity, investment, and inflation risk) are shared collectively among scheme members rather than being absorbed individually. 2. Defined contribution: Employee and employer contribution amounts are defined in advance, with no obligation to contribute to the plan".
That is why it is mentioned that CDC plans offer their members the possibility of better pensions, compared to a traditional defined contribution scheme, through the absorption of collective risks. In that sense, these plans are attractive for workers who want an adequate income at retirement and attractive for institutions that want to offer decent pensions but are not willing to assume potentially high labor liabilities as in defined benefit plans.
According to the Melbourne Mercer Global Pension Index (2018), CDC pension plans ranked first and second in the last four years because this is considered a robust and first-class pension system, as well as offering good benefits, and these benefits are sustainable and have a high level of integrity. It is why several countries around the world have adopted these plans. For example, in the Netherlands, the CDC plan is mandatory, and the Central Bank regulates it; and in Denmark, the CDC plan is complementary to the mandatory state pension.
Furthermore, according to Aon (2015), the average pension of a CDC plan is higher than that of defined contribution plans; on average, the CDC pension is up to twice that of a defined contribution plan. Likewise, the CDC plan pension only varies between 20% and 30% of salary. It avoids large fluctuations from one period to another, while in a defined contribution plan, it varies between 15% and up to 50% of salary.
It is worth mentioning that, in the case of the United Kingdom, it is suggested that it is feasible to design plans of this type because the members collectively assume the risks associated with the investment (among others). They can expect a higher average pension than a defined contribution plan. Also, the accumulated pensions are more stable and predictable for members of such plans (British House of Commons, 2017).
There are also other types of pension plans called Tontines (or tontines in English), which have also been explored by various authors (Sabin, 2010; Milevsky & Salisbury, 2015, 2016; Gründl & Weinert, 2016; Bams et al., 2016) and which seek to counteract longevity risk as well. Tontines comprise a collective asset pool, where pension plan participants contribute a fixed amount of money and whose returns are distributed among the group survivors. When a participant dies, his or her contribution is distributed among the rest of the surviving group (Vega, 2021).
One of the disadvantages of these collective plans is that the payments become uncertain payments that depend on the number of survivors in the group and that the fluctuations of these payments are higher at advanced ages, which is not desirable. Also, a new pension plan called Tonuity, a combination of an individual annuity scheme and a tontines scheme, is proposed. That is, up to a certain age, the demographic group will rely on a tontine so that after which (and which is considered the optimal age) the group can obtain a deferred annuity.
The tenuity scheme can offer tailor-made pension products since the age at which the demographic group will enjoy one or the other schemes can be optimized (Chen et al., 2018).
Therefore, this paper aims to propose an alternative pension plan design to the traditional ones based on the characteristics of the previously mentioned hybrid plans and through numerical modeling of collective plans. To achieve the objective of this paper, section 2 shows a review of the literature, section 3 the methodology defined to perform the numerical modeling, section 4 the results of this modeling, section 5 a proposal for the design of a collectively defined contribution plan and section 6 the conclusions of the paper.
LITERATURE REVIEW
Hybrid pension plans
Hybrid pension plans combine defined benefit and contribution elements and have become popular worldwide. Also, these plans have been studied extensively by several authors, including Boelaars and Broeders (2019) and Booth et al. (2005), who explore these plans' valuation and risk-sharing aspects. Boelaars and Broeders (2019) focus explicitly on valuing liabilities in hybrid pension plans, incorporating equity and interest rate risk.
Booth et al. (2005) propose a risk-sharing model for these plans, demonstrating that these plans are efficient in controlling investment risk. Goodman (2014) provides a historical perspective, discussing an example of a successful hybrid co-operative pension plan.
Some recent studies, including Kilgour (2021), highlight the increasing importance of cash balance and pension equity plans. These plans offer a mix of defined benefits and contribution features, providing employees with more flexibility and security. Similarly, Owadally (2021) discusses the potential benefits of a hybrid plan called Collective Defined Contribution (CDC) schemes, which are prevalent in the Netherlands and are being considered in the UK.
These plans pool retirement savings and share investment and longevity risks, potentially offering higher income replacement rates and less uncertainty. D'Amato (2021) proposes a unique contractual scheme that allows individuals to obtain an immediate life annuity by transferring real estate rights to an insurer, addressing the need for structural changes in the pension sector.
These studies highlight the importance of hybrid pension plans in meeting the diverse needs of retirees. The studies on this kind of pension plan provide an alternative to retirement security concerning traditional ones. A range of hybrid pension plans have emerged in response to the evolving retirement landscape and the switching from defined benefit schemes to a combination of these and defined contributions.
COLLECTIVE DEFINED CONTRIBUTION (CDC) PENSION PLANS
The collective defined contribution pension plans are a hybrid plan that is becoming popular mainly in Europe. Lans and Raymond (2015) mentioned that occupational plans were being reformed from defined benefit (DB) to defined contribution (DC) designs and that the case of Netherlands is an example of a country that explored an alternative type of pension plan such as collective individual DC plans that are actuarially fair and that it is mentioned that these schemes maintain important strengths of collectivity, such as mandatory saving, collective procurement, and pooling of biometric risks.
These collective plans eliminate intergenerational conflicts about risk management through adequate individual property rights on financial assets and tailor-made risk profiles in individual accounts. However, Barajas-Paz and Donnelly (2023) mention that the design of a CDC scheme can have significant financial implications, with higher benefits for earlier generations and lower benefits for later generations. It underscores the need for careful analysis and regular review of contributions in such schemes.
Some of the countries that have opted for the implementation of these collectively defined contribution plans are the Netherlands, Denmark, and the United Kingdom. The latter is of particular attention because it has already been studied whether collective defined contribution (CDC) plans could operate. In this regard, authors such as Wesbroom et al. (2013) and Arends et al. (2015) have used models to analyze the use of these plans in the UK. These authors have found that if investment policies and control processes are correctly designed, CDC pension schemes for the UK case could be successful.
However, the primary support, and the reason why the process of creating legislation in the UK for these schemes was initiated, is the trade unions. Two unions that have promoted Collective Defined Contribution (CDC) pension plans in the United Kingdom are the Royal Mail and the Communication Workers Union (CWU). These organizations emphasize that these types of plans are perfectly adapted to their purposes, among them to provide sustained, accessible, and secure future retirements for their workers.
They also consider that collective defined contribution (CDC) pension plans are better designed than Individual Defined Contribution (IDC) plans. Thus, these organizations committed to working together to petition the government to introduce the necessary legislation to enable the introduction of Collective Defined Contribution (CDC) pension schemes through the House of Commons and the Work and Pensions Committee (Thurley & Davies, 2020; Royal Mail Group and Communication Workers Union, 2018; House of Commons and Work and Pensions Committee, 2018). Thus, the agreement between the CWU and the Royal Mail was formalized in November 2018 and has two essential elements: the use of a CDC pension scheme and a defined benefit sum in retirement. This pension plan used by both institutions is supervised and operated by the trustees as set out in the trust deed and rules.
In this regard, the pension section of the CDC shows that workers will be granted a pension when they retire. This section contains the legal definition of the CDC plans, which are approved and registered by the pension regulator. Also, trustees must submit an actuarial plan to advise on the valuations used to set annual pension increases and show the options available to scheme members (Thurley & Davies, 2020; Royal Mail Group and Communication Workers Union, 2018).
Another issue is that Royal Mail Group (RMG) workers are automatically enrolled in the pension plan after 12 continuous months of working for the institution. On the other hand, it is established that the contributions of the CDC plan are 15.2% of the salary, divided into a contribution of the RMG of 11.2% and the active worker with 4%.
The pensions of this plan are a function of the amounts of the assets, which could be affected negatively or positively, depending on the pension adjustment mechanism, which is annual. Thus, the pensions are automatically rebalanced. It is also indicated that an actuarial valuation is performed each year to determine the increase in pensions for that year. Also, a reserve fund is created for the operating expenses of the pension plan (Royal Mail Group and Communication Workers Union, 2018).
This example of a pension plan is designed such that in the event of early or early retirement, the pension would be reduced and should be actuarially equivalent. However, when a member had health problems, the CDC plan would be paid early with no reduction. Moreover, the investment portfolios divide the fund's assets into instruments that seek adequate returns but with low Risk. Determining the investment portfolio profile can be done in two ways: the first is based on the actuarial valuation of liabilities, and the second is based on the decisions established by the trustees and an investment advisor (Royal Mail Group and Communication Workers Union, 2018).
For this kind of plan to be considered, the actuarial plan must consider some assumptions, rules, and requirements. One of these is that the actuarial plan must value actuarial liabilities using estimation assumptions that do not contain intentional biases of prudence or optimism. Another rule is that the actuarial plan must consider the opinions of the plan's investment advisors, the actuary nominated by the unions, subject matter experts, and others. Finally, a justification for each actuarial assumption considered in preparing the actuarial plan must be provided to the trustees (Royal Mail Group and Communication Workers Union, 2018).
As previously stated, all plan members will have their pension adjusted either negatively or positively each year, that is, by the adjustment mechanism. This pension mechanism in summary form is as follows. First, the current amount of assets is analyzed and compared with the cost of financing the payment of the pensions accumulated during the lifetime of the pensioners, assuming that there are no pension increases.
If the fund is above its obligations and there is a positive margin, then the pensions increase according to the rate of increase decided. In the opposite case, i.e., if the fund is below or does not have enough to pay the pensions, the pensions are reduced. There are several mechanisms; for example, one is to apply a 5% cut to pensions or less in a single exhibition (Royal Mail Group and Communication Workers Union, 2018).
The administrators of the CDC pension plan (trustees) must report the increase or decrease in pensions annually to the plan members. Also, they must explain the possible changes pensions could have in the future: pensions can change positively or negatively. Finally, pension plan members should receive their pension statement and be reminded that their pension may change (Royal Mail Group and Communication Workers Union, 2018).
TONTINE AND TENUITY PENSION PLANS
Another plan that has been explored as a viable option is Tontines (Milevsky & Salisbury, 2015; 2016). Multiple annuity products have been designed as part of a pension plan to Reduce longevity risk. They propose a scheme where a portion of the fund is allocated to everyone who functions as a shareholder of the fund, thus sharing either dividends or losses of the fund among members, which is based on age and contribution amount.
The tenuity pension plan creates a collective fund with the participant's contributions. At the time of retirement, a tontine-type benefit is granted to the participant up to a certain age so that, after that age, the tontine is replaced by a contingent annuity. In a previous work done in Gómez-Hernández and Demmler (2023), a summary of some of the research done by several authors related to tenuity and tontine pension plans is found.
The most recent ones are by Chen et al. (2020) mention that these products can be combined to form a retirement plan that is cheaper than an annuity but provides a less volatile retirement income than a tontine. However, it is also mentioned that subjective mortality beliefs influence the optimal choice between annuities and tontines, with tontines being preferred by those who underestimate average life expectancy.
In previous work, Chen et al. (2018) optimized an age (switching time) to maximize the expected utility function, assuming constant risk aversion. It allows the authors to measure the relationship between longevity risk and the expected utility function and quantify it. Also, Chen and Rach (2019) mention that the volatile payouts with a tontine pension plan are replaced with secure payouts through annuities to create the tonuities plans.
Another study by Fullmer and Forman (2020) mention that state-sponsored pensions for private-sector workers can be enhanced through pooled annuities and tontines, which offer low-cost lifetime assurance funds. Hence, it can be said that tonuities plans combine the benefits of each of these products (annuities with tontines plans) because these plans reduce the capital solvency provision, assure payments or income at advanced ages, and each plan member can choose their optimal tenuity product with its corresponding switching time depending on their longevity risk, risk aversion, fund size and their cost of capital ratio.

Table 1 summarizes the advantages found in the literature regarding annuity pension plans. The characteristics of both pension plans (tonuities and collective defined contribution) can be considered innovative because they combine the characteristics of other plans to optimize their operation in the sense of providing higher retirement income for plan members and reducing costs for financial institutions and insurers. Thus, collectively defined contribution plans propose a shared fund of plan members' assets in which financial and longevity risks are shared and financially self-managed to reduce costs and obtain better retirement income.
The tonuities plan also proposes a shared fund of assets that works as a tontine plan at the beginning, and at a particular time called "switching time," the plan changes to an annuity. These plans aim to optimize the period when the change is made from one product to another. The results of these plans are that they provide higher retirement income with less volatility.
METHODOLOGY
This section shows the methods used to simulate the numerical example of a collective pension plan. The methodology is based mainly on Nederlandsche Bank (2019), Aon (2015), and Royal Mail Group and Communication Workers Union (2018). This work is a continuation of the work done by Gomez and Demmler (2022), where a numerical simulation with a group of individuals was shown to determine the financial and actuarial feasibility of a collectively defined contribution pension plan.
This paper extends the results obtained previously, using a complete database of individuals from an organization, performing several numerical scenarios to finally propose a pension plan design based on a collective pension fund that is financially and actuarially sustainable in the long term.
Define a methodology to simulate the accumulated value of the fund through the time for each member of the plan; the description found in Nederlandsche Bank (2019), Royal Mail Group and Communication Workers Union (2018), and Aon (2015) are used; similar than previous work in Gómez and Demmler (2022). The following methods will be described based on the methodologies of these authors.
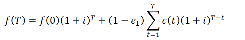
A collective pension fund must be accumulated with a market value in a given period Royal Mail Group and Communication Workers Union (2018). Then, to accumulate the pension fund, the methodology found in Booth et al. (2005) is used, as shown in equation (1).
(1)Where:
f(T) the value of the fund at period T
c(t) the value of the contribution at period (t)
T the years of service at retirement age
i the rate of return
the commission rate.
Equation (2) shows the accumulation model, based on equation (1) but by adapting it to the characteristics of collective defined contribution pension plans described in Royal Mail Group y Communication Workers Union (2018) and Nederlandsche Bank (2019), where it is mentioned that the level of pension is a function of the assets, which could be affected positively or negatively, depending on the adjustment mechanism of the level of pensions annually.
As ecuación (1) shows the value of the fund at period T, in this work, equation (2) is defined to calculate the value of the fund fi(t) for each i and at a period t (adapted from previous work in Stewart and Gomez-Hernandez, 2008). Also, no commissions of any type are assumed (e1=0), the initial value of the fund is assumed to be zero (f0=0) for all individuals, and the rate of return is assumed to be variable over time (i=jt). Many of these assumptions are made for the sake of simplicity.
(2)Where:
(t) the value of the fund for an individual
the rate of contribution for an individual i at the period t
the rate of return at the period t
Each member of the plan receives a benefit according to the retirement age. The level of payments must be given in the form of a lifetime annuity with no beneficiaries, and the fund needs to contemplate all pension payments to be made in the future, assuming the above benefit levels are constant (Royal Mail Group and Communication Workers Union, 2018).
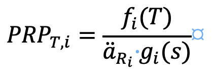
At the end of the pension fund accumulation period, the projected actual pension shown in equations (3) and (4) is calculated, which corresponds to the conversion of the final fund value to an annuity to determine the pension benefit due to the individual or employee and which were adapted from Booth et al. (2005) and Organization for Economic Cooperation and Development (2017).
(3)Where:
the projected rate of pension benefit for an individual i at the period T
the projected life annuity due at the age of retirement R of an individual i
the salary function for an individual i (which may be a function of final salary, an average of the last number of salaries, etc.)
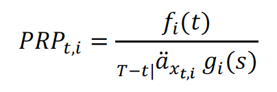
(4)Where:
the accumulated fund value for an individual i at the period t
the value of the deferred lifetime annuity due at the period T - t at a current age x at the period t for an individual i
T - t the number of years for the individual i to reach retirement age.
Equation (3) corresponds to calculating the actual projected pension for a worker who has reached his final accumulation period, while equation (4) corresponds to a worker who has not yet reached his final accumulation period. The formulas for calculating annuities are obtained from Bowers et al. (1997) and are defined in equations (5) and (6).
(5)
(6)Where:
the value of the life annuity due for an individual at age x
the value of the n years deferred life annuity due for an individual at age x
the discount factor to calculate the certain annuity and that is calculated as
with an annual rate of return i
the probability that an individual at age x survives at age x+k taken from the mortality table EMSSA 09
Several assumptions are defined to perform the simulations of the value of fund
in equation (2) which are adapted from Aon (2015) and that are listed as follows:
· All plan members obtain a pension after working for 30 consecutive years in the company, independent of the individual's age.
· The plan contributions are 10% of the participant's yearly salary, paid only by the employer. However, this last part does not make a difference in the model since the individual could contribute a part of this percentage.
· The plan's target benefit is based on 1% for each year of service of the participant's current salary, i.e., the target replacement rate for all individuals is 30% of the final salary.
· This work assumes the salary in real terms, i.e., that it increases in line with inflation.
· A fund investment policy of 60% of the assets invested in equity and the remaining 40% in long-term government bonds is assumed.
The value of the rates of return jt is assumed stochastic simulated under the bootstrap sampling method (Forsyth & Vetzal, 2019) with 1,000 simulations and assuming a vector of historical returns of the Mexican IPC index for equities and long-term government bonds over a period from 2004 to 2021. Also, according to CONSAR (2022), a discount rate of 2.5% is assumed for the calculation of the value of the lifetime annuities.
Finally, and this is the part that defines the collectivity of the fund, at the end of each period t, the following process to calculate the value of the replacement rates for everyone is necessary, based on Aon (2015) and Royal Mail Group and Communication Workers Union (2018):
Suppose the replacement rates obtained are more excellent than 30%. In that case, the surplus is distributed equally or linearly among plan members with a replacement rate lower than this value (collectivity that characterizes these CDC plans). The surplus is added directly to the fund value of each of the individuals on a proportional basis, i.e., the surpluses are added to everyone to reach the 30% stipulated in the plan rules. If there is a case in which the surplus is insufficient to reach the target value of 30%, this needs to be reduced according to the fund's value.
If the replacement rates obtained are not greater than 30%, the surplus of the individuals who are not ready to retire is shared with those who are so that they reach the stipulated percentage of 30%. If there is no surplus or the surplus does not reach the 30% replacement rate, then the individuals who retire will do so with the replacement rate obtained, even if it is lower.
Through this process described above, each period t, which in this work is assumed an annual period, the individuals who retire stop accumulating funds, so they start their decumulation period, and a pension is granted in the form of a life annuity without beneficiaries according to equation (3). The following section shows the results of this process described above.
RESULTS
A database of 1,990 workers of an institution with the characteristics of current age, current salary, year of entrance, and gender was obtained. All these data are effective as of 2015. We can mention that this database is gender equitable, given that 55% are men and 45% are women. It is also observed that 90% of the workers are between the ages of 17 and 44, and the majority are in the age range of 25 to 33.
Salary distribution is skewed since 12 workers receive a considerably higher salary than the rest. The majority receive an annual salary between MXN 33,000 and MXN 63,000, while the rest earn up to MXN 813,000. These characteristics are considered adequate, given that a database with heterogeneous worker characteristics is desirable for the results to be considered robust.
To show whether the objective of this paper is met, the value of the replacement rate at which workers retire after accumulating their funds for 30 years and with the characteristics described above is shown. Each result is shown by year of retirement in aggregate and starting in 2015 (the year the information is adequate). Graph 1 shows the results in the first scenario with the calculation of the replacement rate in equations (3) and (4), where the function for gi(s) is assumed to be the last salary received. However, this assumption needs to be clarified since the salary increase is assumed in real terms.
Graph 1 shows the relationship between the year of retirement (x-axis) and the value of the replacement rate in decimal value (y-axis). For each year of retirement, a box plot is shown corresponding to the number of workers retiring in that year and their respective replacement rates. The results show that all workers reach the target replacement rate of 30% of their last salary after 30 years of service and with a contribution from the employer or institution of 10% of their salary.
This result shows that collectively defined contribution plans under the proposed characteristics are viable, financially, and actuarially sustainable in the long term. It should be noted that, given that a pension plan is closed to new members, the last years of retirement results are unrealistic outliers. For the last workers in a position to retire under this scheme, the replacement rate they would reach would be extremely high given that the surplus accumulates in their accounts.

Although the results in Graph 1 show the feasibility of these plans, from an economic point of view, a replacement rate of 30% of the last salary the worker receives needs to be an adequate income at retirement. According to the Organization for Economic Cooperation and Development (2016, 2017, 2019), an adequate replacement rate is at least 60 or 70% of the worker's salary, so it was considered to increase the value of the replacement rate in the simulations. Graphs 2 to 4 show the results under the same scenario above but considering a target replacement rate in the plan of 50, 60, and 70% of the worker's last salary.
The results show that as the target replacement rate in the plan increases, the values on the y-axis decrease, as expected. The higher the replacement rate, the lower the extreme values decrease as the contribution rate remains fixed. Thus, with an employer contribution of 10%, reaching a target replacement rate of 50% is possible, but not 60% or 70%. It is because, in Graphs 3 and 4, for some of the values of the y-axis, a value of 0.60 and 0.70, respectively, is not reached. It is possible to grant the workers of this collective defined contribution pension plan a replacement rate of 50% of their last salary after 30 years of work in the institution, with the employer contributing 10% of the salary.



Under the same statement above, a replacement rate of 50% could still be considered insufficient, so increasing the employer contribution rate is considered to increase the target replacement rate. Graphs 5, 6, and 7 show the results for a 15% contribution and replacement rates of 60, 70, and 80%, respectively.



The above results show that with a contribution of 15%, it is possible to reach a target replacement rate of up to 70% of the last salary received by the individual (see Graph 6). The target rate of 80% is not achievable because some plan members would obtain a lower rate in some of the retirement years (see Graph 7). However, this result may seem extremely attractive to those institutions that want to set up this collective defined contribution pension plan. A proposed plan design with these characteristics is shown in the following section.
PROPOSAL OF A COLLECTIVE PENSION PLAN DESIGN
Several authors have proposed and analyzed diverse hybrid pension plan designs (Kilgour, 2021; Perlman, 2021). Melbourne Mercer Global Pension Index (2018) mentions that collective pension plans, such as the collective defined contribution pension plans, are among the most robust and first-class pension plans. Chen et al. (2018) propose hybrid plans based on a combination of individual pension schemes and the so-called tontines.
According to the methodology proposed in Nederlandsche Bank (2019), Aon (2015), and Royal Mail Group and Communication Workers Union (2018), the accumulation of a collective fund is based on allocating an amount of assets to each individual (equation (2)), calculating the value of the benefits based on the value of these assets (equation (3)) and by assuming that if the value of the fund is below a 30% replacement rate lifetime level, then the "deficits" are collectively shared.
The results are that assuming an initial value of the fund of cero, 30 years of service with a 10% salary for the contribution rate, and an investment portfolio of 60% in equities and 40% in bonds, the replacement rate level is reached at retirement age for every individual at a maximum of 50% of final salary. If the contribution rate increases to 15%, the replacement rate reached is as high as 70%. Then, the proposal for a collective pension plan design is shown in Table 2.

Both proposals can be implemented by an institution that wants to provide an additional benefit to its employees and either pay for the entire contribution rate as an ancillary benefit or propose to divide the contribution rate between the employer and the employee. Both scenarios are viable for the institutions that are willing to provide a pension benefit in addition to the mandatory one that governments provide.
CONCLUSIONS
This paper presented specific characteristics of a new collective pension plan as an alternative to the traditional plans and based on the so-called collective defined contribution (CDC) and annuities, which have emerged in other countries as a response to the financial and actuarial problems faced by traditional pension plans, such as the defined contribution (DC) and defined benefit (DB) plans. However, it was also explained that these plans have yet to be fully explored, given that they are already being used as a novel plan design in some countries, although their results have not been proven. Their plans are relatively new in the countries where they are being explored, and it has yet to be proven that plan members receive a target replacement rate, as proposed in the plan rules.
The growing financial crisis faced by pension plans worldwide is a problem various authors address in the actuarial, financial, and economic literature. One of the solutions to this problem found in this literature is the design of mixed plans that combine the characteristics of various existing plans. Two recently created and analyzed plans are tonuities and collectively defined contribution plans.
Collective defined contribution (CDC) and annuities plans have specific characteristics that make them innovative. First, neither plan defines a retirement benefit; they propose a shared pool of assets among plan members, which allows for collective management with multiple benefits, one being that longevity risk is shared (Balter et al. 2018). Also, the Risk or uncertainty for the plan sponsor decreases because there is no promise in the retirement benefit; however, for the plan members, the retirement income is less volatile.
The differences are that the CDC plans to define a guaranteed minimum pension amount and that the fund is self-administered by plan members to reduce costs. In the tonuities plans, the difference is that there is a "switching time", which is not defined at the beginning but is optimized according to the specific characteristics of each plan member. Then, these two plans promise to solve the crisis faced by pension plans without compromising the amount of income received by plan members or increasing the financial Risk that plan sponsors may face. Finally, the design of a pension plan can be customized according to one or another plan, depending on the members' characteristics or the sponsors' needs and possibilities.
For this reason, this paper presents actuarial methods proposed by some authors for the simulation of the accumulation of a pension fund, as well as the formulas used in the literature to calculate the replacement rate obtained by the worker at the time of retirement. To achieve the objective of this work, the formulas found in the literature are adapted to the assumptions under which collectively defined contribution plans operate and which are mentioned in the literature.
Since this work explores the financial and actuarial viability of these schemes as an alternative to traditional pension plans, several scenarios were developed for the simulation of a collective pension fund and to analyze whether, under the collectivity that characterizes them, they can solve the heterogeneity in the replacement rates received by the members of the plan at the time of retirement that is found in other pension plans. In other words, we sought to construct a methodology adapted to the traditional methodology of defined contribution (DC) plan accumulation but with the characteristics of collective plans found in the literature.
The results were that it is possible to reach a target replacement rate of 70% of the individual's last salary in the form of a life annuity due after accumulating a fund for 30 years and with an employer contribution rate of 15% of the individual's salary. The assumptions considered to obtain this result are that the initial value of the fund is MXN 0, that there is no commission of any kind, and that the investment portfolio of the fund is 60% of the assets invested in variable income instruments and 40% in fixed income instruments.
This result is the proposal for a collectively defined contribution pension plan design. However, suppose the employer or the institution is unwilling to assume the fixed contribution of 15% of the individual's salary because it is considered a high contribution. In that case, achieving a target replacement rate of 60% is possible if this contribution were 10%. Both scenarios are viable and sustainable proposals in the long term and represent an alternative to traditional plans.
This paper needs to explore the process for implementing this type of plan in Mexico, which is also a topic of study in pension plan design. As mentioned in several publications, including Van Hekken et al. (2022), the success in implementing reforms to existing traditional pension plans depends mainly on how participants react to and accept these proposed changes. Therefore, further studies could explore the participants' opinions of existing pension plans in Mexico and their reactions to a proposal for a new plan.
REFERENCES
Aon (2015) The Case for Collective DC. A new opportunity for UK pensions. Aon. Link: https://www.aon.com/unitedkingdom/attachments/retirement-investment/defined-contribution/Aon_Hewitt_The_Case_for_CDC_Summary_2015.pdf
Arends, M., Turnock, R., & Andy, H. (2015). Collective DC - Stability and Fairness. Aon.
Amaglobeli, D., Zhai, H., Dabla-Norris, E., Dybczak, K., Soto, M., & Tieman, A. F. (2019). The Future of Saving: The role of pension system design in the aging world. IMF Staff Discussion Note. International Monetary Fund.
ANUIES (2004, enero - marzo) Editorial. Revista de la Educación Superior. XXXIII (1), 129.
Balter, A. G., Kallestrup-Lamb, M., & Rangvid, J. (2018). The Move Towards Riskier Pension Products in the World’s Best Pension Systems. NETSPAR Network for Studies on Pensions, Aging and Retirement, 1-45.
Bams, D., Schotman, P., & Tyagi, M. (2016). Optimal Risk Sharing in a Collective Defined Contribution Pension System. NETSPAR Network for studies on pensions, aging and retirement, 1-31.
Bennett, P., & Van Meerten, H. (2018). Apples and oranges: a comparison of the key features of the legislative and regulatory framework for UK and Dutch defined benefit pension schemes (including Dutch CDC Schemes). The Pensions Institute Cass Business School City, University of London. Discussion Paper PI-1803, 1-26.
Bennett, P., & Van Meerten, H. (2019). How do CDC Schemes Qualify Under the IORP II Directive? VUZF Review, University of Sofia.
Blancas Madrigal, D. (2018) Diez universidades del país, en quiebra financiera. Crónica. http://www.cronica.com.mx/notas/2018/1090632.html
Boelaars, I., & Broeders, D. (2019). Fair pensions. De Nederlandsche Bank NV Working Paper, 1-42.
Booth, P., Robert C., Haberman, S., James, D., Khorasanee, Z., Plumb, R. H. & Rickayzen, B. (2005). Modern Actuarial Theory and Practice, Chapman and Hall/crc.
Bowers, N., Gerber, H., Hickman, J., Jones, D. & Nesbitt, C. (1997) Actuarial Mathematics. The Society of Actuaries.
British House of Commons (2017) Work and Pensions Committee. Collective defined contribution pensions. Sixteenth Report of Session. 2017–19.British House of Commons..
Chen, A., Hieber, P. & Klein, J. K. (2018) Tonuity: A Novel Individual-Oriented Retirement Plan. Astin Bulletin, 49(1), 5-30.
Chen, A. & Rach, M. (2019) Options on tontines: An innovative way of combining tontines and Annuities. Insurance: Mathematics and Economics, 89, 182–192.
Chen, A., Rach, M. & Sehner, T. (2020) On the Optimal Combination of Annuities and Tontines. Astin Bulletin, 50(1), 95-129.
CONSAR (2020) Estadísticas del Registro Electrónico de Planes de Pensiones 2020 Consar. https://www.gob.mx/cms/uploads/attachment/file/595577/20-11-26_Estadi_sticas_SIREPP_2020__DOC_.pdf
CONSAR (2022) Estadísticas del Registro Electrónico de Planes de Pensiones 2022. Consar.
COR (2019). Conseil d’orientation des retraites. Consejo de Orientación para Pensiones. Perspectives des retraites en France à l’horizon 2030. Rapport du COR – Novembre 2019. Consorci d'Estudis, Mediació i Conciliació a l'Administració Local
Córdoba-Bueno, M. Fernández-Avilés, G. & García-Centeno, M. C. (2016) A tsunami in the Spanish economy. Epicentre. The public pension system. The IEB International Journal of Finance, 12, 128-145.
D’Amato, V., Di Lorenzo, E., & Haberman, S. (2021) Pension schemes versus real estate. Ann Oper Res 299, 797–809 (2021). https://doi.org/10.1007/s10479-019-03241-y
Department for Work and pensions, (2019). Delivering Collective Defined Contribution Pension Schemes. Government Response to the Consultation. United Kingdom. https://assets.publishing.service.gov.uk/government/uploads/system/uploads/attachment_data/file/789051/response-delivering-collective-defined-contribution-pension-schemes.pdf
Forsyth, P. A., & Vetzal, K. R. (2019). Defined Contribution Pension Plans: Who Has Seen the Risk? Journal of Risk and Financial Management, 12, 70; https://doi.org/10.3390/jrfm12020070.
Fu, K., Rong, X., & Zhao, H. (2023). Optimal investment problem for a hybrid pension with intergenerational risk-sharing and longevity trend under model uncertainty. Economics, 1-34.
Fullmer, R. K. & Forman, J. B. (2020) State-Sponsored Pensions for Private Sector Workers: The Case for Pooled Annuities and Tontines (July 24, 2020). Wharton Pension Research Council Working Paper No. 2020-17, Published in Mitchell, O. (Ed.) (2022). New Models for Managing Longevity Risk: Public-Private Partnerships. Oxford, UK: Oxford University Press., Available at SSRN: https://ssrn.com/abstract=3660125 or http://dx.doi.org/10.2139/ssrn.3660125
Gómez Herández, D. & Demmler, M. (2022) Collective Defined Contribution Schemes as an Alternative to Pension Plans. Mercados y Negocios, 45, https://doi.org/10.32870/myn.vi45.7651.g6730
Gómez Hernández, D. & Demmler, M. (2023) Nuevos esquemas de pensiones para sindicatos de universidades públicas. Cromberger Editores e Impresores..
Gründl, H. & Weinert, J. H. (2016) The modern tontine: An innovative instrument for longevity provision in an ageing society. ICIR Working Paper Series No. 22/2016.
House of Commons & Work and Pensions Committee (2018). Collective defined contribution pensions. Sixteenth Report of Session. 2017–19. https://publications.parliament.uk/pa/cm201719/cmselect/cmworpen/580/58002.htm
Kilgour, J. G. (2021). Hybrid Cash Balance and Pension Equity Plans: Origins and Development. Compensation & Benefits Review, 53(4), 175-187. https://doi.org/10.1177/08863687211005230
Kilgour, J. G. (2022). Single-Employer and Multiemployer Pension Plans: Problems and Prognosis. Compensation & Benefits Review, 54(1), 31-48. https://doi.org/10.1177/08863687211022274
Lans, B. & Raymond, G. (2015) Reforming occupational pension schemes: the case of the Netherlands, Journal of Economic Policy Reform, 18 (3), 244-257, https://doi.org/10.1080/17487870.2015.1041525
Martinez, J., Soto, I., Cortés, V., & Romero, G. (2014). Sustentabilidad de un esquema de pensiones basado en Contribuciones Definidas Nocionales: evidencia para México de un modelo de simulación estocástica. Ciencia y Universidad, 61(4), 7-50.
Martínez, N. (2010). 21 Universidades en Bancarrota. El Universal. http://archivo.eluniversal.com.mx/notas/718651.html
Martínez-Aldama, A. (2013). Sistemas de pensiones: experiencia internacional. En Pensiones: una reforma medular. Madrid: Fundación de Estudios Financieros. p. 157-174.
Melbourne Mercer Global Pension Index (2018). Melbourne Mercer Global Pension Index 2018. Australian Center. Link: https://australiancentre.com.au/wp-content/uploads/2018/10/MMGPI-Report-2018.pdf
Mendoza, G. (2017) Siete universidades en México al borde de la quiebra. La Opinión. https://laopinion.com/2017/11/13/siete-universidades-en-mexico-al-borde-de-la-quiebra/
Milevsky, M. & Salisbury, T. (2015) Optimal retirement income tontines. Insurance: Mathematics & Economics, 64, 91–105.
Milevsky, M.A. & Salisbury, T.S. (2016) Equitable retirement income tontines: Mixing cohorts without discriminating. ASTIN Bulletin, 46(3), 571–604.
Nederlandsche Bank (2019). Annual report 2019. Nederlandsche Bank.
OECD (2009). Evaluating Risk Sharing in Private Pensions Plans. OECD, Financial Market Trends. Paris: OECD.
OECD (2016). Estudio de la OCDE sobre los sistemas de pensiones: México. http://dx.doi.org/10.1787/9789264250017.es
OECD (2017). Pensions at a Glance 2017: OECD and G20 Indicators. Paris: OECD http://dx.doi.org/10.1787/pension_glance-2017-en
OECD (2019). Pensions at a Glance 2019: OECD and G20 Indicators. Paris: OECD http://dx.doi.org/10.1787/b6d3dcfc-en.
Owadally, I., Ram, R., & Regis, L. (2022) An analysis of the Dutch-style pension plans proposed by UK policy-makers. Journal of Social Policy. 51(2), 325-345. http://doi.org/10.1017/S0047279421000155
Perlman, B. J., & Reddick, C. G. (2022). From Stand-Alone Pensions to Alternative Retirement Plans: Examining State and Local Governments. Compensation & Benefits Review, 54(1), 12-30. https://doi.org/10.1177/08863687211030795
Royal Mail Group & Comunication Workers Union (2018). Anticipated Collective DC (“CDC”) pension design. Royal Mail and CWU’s. https://www.royalmailgroup.com/media/10542/scheme-design-summary-booklet.pdf
Royal Mail Goup (2020). Royal Mail Group. https://www.royalmailgroup.com/en/responsibility/our-focus-areas/our-campaign-for-cdc-pensions/
Sabin, M. (2010) Fair tontine annuity. Coloquio. Link: https://sagedrive.com/fta/11_05_19.pdf.
Thurley, D. & Davies, J. M. (2020). Collective Defined Contribution Schemes. The House of Commons Library research, Briefing Paper, 1-38.
Valero, D., Artís, M., Ayuso, M., & García, J. (2011). Una propuesta de reforma del sistema de pensiones español basada en un modelo de contribución definida nocional. Revista de Métodos Cuantitativos para la Economía y la Empresa, 11, 91-113.
Van der Zwan, N., Anderson, K., & Wiß, T. (2019). Pension Funds and Sustainable Investment. Comparing Regulation in the Netherlands, Denmark, and Germany. Netspar academic series, 1-34.
Van Hekken, A., Hoofs, J. & Brüggen, E. C. (2022). Pension Participants’ Attitudes, Beliefs, and Emotional Responses to the New Dutch Pension System. De Economist. https://doi.org/10.1007/s10645-022-09396-7
Van Meerten, H., & Schmidt, E. (2018). The Legal Differences between CIDC and CDC. The Pensions Institute, Cass Business School, City University London. 1-8.
Vega, C. (2021) Las tontinas: el seguro en el que cuanto más vives, más cobras. Fundación Mapfre. https://www.farodevigo.es/ideas/miralfuturo/tontinas.html
Wesbroom, K., Hardern, D., Arends, M., & Harding, A. (2013). The Case for Collective DC A new opportunity for UK pensions. Aon.
Wiman, H. (2019). An approach to post-growth pensions with reflections on Finland, Sweden and Denmark. Conference paper: Towards Resilient Nordic Welfare States.
Consorci d'Estudis, Mediació i Conciliació a l'Administració Local (2019). Rentabilidad de los planes de pensiones de empleo 2018. Consorci d'Estudis, Mediació i Conciliació a l'Administració Local.
Goodman, B., & Richardson, D. (2014). Back to the Future: Hybrid Co-op Pensions and the TIAA-CREF System. PRC WP2014-11 Pension Research Council The Wharton School, University of Pennsylvania.
Barajas-Paz, A., & Donnelly C. (2023). An attribution analysis of investment risk sharing in collective defined contribution schemes. Annals of Actuarial Science, 17 (2), 385-414. doi:10.1017/S1748499523000015
Stewart, F. & Gomez-Hernandez, D. (2008). Comparison of Costs and Fees in Countries with Private Defined Contribution Pension Systems. IOPS Working Paper No. 6. http://dx.doi.org/10.2139/ssrn.1809830
Enlace alternativo
http://mercadosynegocios.cucea.udg.mx/index.php/MYN/article/view/7723 (pdf)