Artículos

Recepción: 20 Julio 2024
Aprobación: 15 Diciembre 2024
DOI: https://doi.org/10.32870/myn.vi54.7765
Abstract:
This research paper aims to identify the factors motivating users to post reviews on online travel review platforms (OTRPs). A non-probabilistic sampling technique, purposive sampling, was employed for data collection. Exploratory Factor Analysis (EFA) was conducted on a dataset of 1,313 observations. This study highlights several pivotal factors encouraging users to engage in this review-sharing phenomenon. Three key factors, social recognition and connection, enhancing travel experiences, and social validation, were identified as motivating users to write online reviews. Among these, the innate desire for social connection, the building of social capital, and the inclination to offer peer support emerge as the predominant motivations driving users' intentions to create travel-related reviews on online platforms. By analyzing the complex interplay of psychological, social, and support-based incentives, this study not only contributes to adds body knowledge to the literature of motivation theories but also offers practical guidance to online travel agencies (OTAs) managers in their pursuit of providing exceptional customer experiences and marketing strategies in an era of expanding online travel. This study assists OTAs in understanding customer experiences, tailoring services to meet travelers' expectations, and delivering enriching customer interactions.
JEL code: M15, M31.
Keywords: online reviews, online travel review platforms, online travel agencies, OTA, motivation.
Resumen:
Este trabajo de investigación tiene como objetivo identificar los factores que motivan a los usuarios a publicar reseñas en plataformas de reseñas de viajes en línea (OTRP). Para la recopilación de datos se empleó una técnica de muestreo no probabilístico, el muestreo intencional. Se realizó un análisis factorial exploratorio (EFA) en un conjunto de datos de 1313 observaciones. Este estudio destaca varios factores fundamentales que alientan a los usuarios a participar en este fenómeno de compartir reseñas. Se identificaron tres factores clave, el reconocimiento y la conexión social, la mejora de las experiencias de viaje y la validación social, como motivaciones de los usuarios a escribir reseñas en línea. Entre estos, el deseo innato de conexión social, la creación de capital social y la inclinación a ofrecer apoyo de pares surgen como las motivaciones predominantes que impulsan las intenciones de los usuarios de crear reseñas relacionadas con viajes en plataformas en línea. Al analizar la compleja interacción de los incentivos psicológicos, sociales y basados en el apoyo, este estudio no solo contribuye a agregar conocimiento a la literatura de las teorías de la motivación, sino que también ofrece una guía práctica para los gerentes de agencias de viajes en línea (OTA) en su búsqueda de brindar experiencias de cliente excepcionales y estrategias de marketing en una era de expansión de los viajes en línea. Este estudio ayuda a las OTA a comprender las experiencias de los clientes, adaptar los servicios para satisfacer las expectativas de los viajeros y ofrecer interacciones enriquecedoras con los clientes.
Código Jel: M15, M31.
Palabras clave: Reseñas en línea, plataformas de reseñas de viajes en línea, agencias de viajes en línea, OTA, motivación.
INTRODUCTION
Online reviews provide consumers with a platform to interact with one another and share their opinions of goods or services in an online medium (Xu, 2020). They are an information source growing in importance as a purchasing decision-influencing element for consumers (Le et al., 2022).
Online customer reviews have proliferated all over the Internet, and they now offer evaluations for various goods and services, from hotels to funeral services, from beauty items to music CDs. Review websites frequently assert that they are democratic since they give consumers honest thoughts a voice (Marine-Roig & Huertas, 2020).
Online reviews offer honest feedback on products and services, making them a practical promotional approach in the age of technology. While favorable feedback can boost revenue and build a business's trust, negative or missing reviews might have an adverse impact (Talwar et al., 2020).
Many studies have investigated the consequences of web-based reviews, which may be broadly classified into three areas: sales of goods, processes for making decisions, as well as information source evaluation, considering the substantial role that online reviews play in the travel and tourism sector (Park et al., 2020).
Given the importance of online reviews in tourism and hospitality, numerous academics have investigated the effects of customer reviews, mostly on product sales and the decision-making process. Online reviews positively impact revenue growth and aid decision-making (Moriuchi & Moriyoshi, 2024).
Online users prefer to gather comprehensive and current information about travel-related products and read second-hand accounts to make better decisions (Su et al., 2022). In the digital era, online travel review platforms (OTRPs) have become essential resources for travelers seeking advice, suggestions, and information on their destinations and lodging (Álvarez-Carmona et al., 2022). These networks provide abundant user-generated reviews, significantly impacting how tourists make decisions. Research in academia and industry practitioners must comprehend why users contribute to these platforms.
Though OTRPs are becoming more and more popular, there is still a lack of academic research on the driving forces behind people actively publishing reviews on these platforms, particularly in the context of Delhi and the NCR (National Capital Region) area, which included Gurugram, Faridabad, Noida, Greater Noida, and Ghaziabad in India. Existing research provides insights on motivations for online reviews generally applicable across diverse countries and cultures, including self-enhancement, altruism, reciprocity, and social impact. However, the relevance and prominence of these aspects may change. Therefore, to better understand user engagement dynamics in this setting, it is necessary to investigate the distinct motives driving review posting behavior in India's Delhi-NCR region.
This research aims to identify and analyze the motivational factors influencing users' participation in posting reviews on OTRPs within the Delhi-NCR region of India. The study will then provide recommendations for OTRP operators and stakeholders in this region to enhance user engagement and the quality of user-generated content on these platforms. The study is further organized into the following sections: Review of Literature, Research Methodology, Results and Analysis, Discussion, Implications, Conclusion, Limitations, and Future Research Directions.
REVIEW OF LITERATURE
Various studies have been done on motivational factors in posting online travel reviews on travel portals. In various research paper studies, it has been found that there are different motivating factors for posting online travel reviews on OTRP (online travel review portals). e-WOM can be done for various reasons, such as elevating one's social status, seeking advice, resolving issues for other consumers, expressing emotions, and having concern for consumers in the future (Bhatti & Alshiha, 2023). Users were motivated to write reviews When they had a good or bad experience. Users are encouraged to publish reviews online for external and societal reasons. These incentives represent a remarkable aspect of an equity relationship. These include social comparison, information exchange, altruism, self-improvement, and social attachment (Oliveira et al., 2020).
Enjoyment
The motivation for the enjoyment or hedonic benefits of the companies is the main factor in writing reviews online. In altruism, reviewers provide material online to enhance community benefits and aid others without anticipating payment (Kaur & Singh, 2021). As a result, community-related motives are another definition of altruistic motivation. Li et al. (2023) found that Altruistic motivations have been shown to impact individuals' intentions to engage in online communities actively. Perceived enjoyment on social media is a motivating factor for sharing their experiences in the online travel community (Arica et al., 2022). When making travel decisions before, during, and after a vacation, there was a correlation between the degree of influence that social media had on those decisions (Singh & Yadav, 2018; Nguyen & Llosa, 2023). Users who enjoy sharing their experiences with others are more likely to post reviews (Aknin & Whillans, 2021).
Social Concerns
Previous studies have demonstrated that social reasons may influence consumers' motives to submit online reviews. Many theories that fall under "social causes" can impact consumers' propensity to post online evaluations. Some customers primarily submit reviews for charitable purposes, such as wanting to assist others, including other customers and businesses (hotels and restaurants in particular) (Fu et al., 2017; Yang, 2017). Other visitors are more driven by egotistical motives, such as the desire to relive the experience and/or exact retribution to hotels and restaurants. Sometimes, travelers show eagerness to offer suggestions to assist businesses in improving the quality of their service by writing reviews (Mitropoulos et al., 2021).
Economic incentives
Economic benefits mainly affect customers' desire to write online product reviews. Financial incentives are a key driver of consumers' decisions to participate and express their thoughts through online evaluations (Kumar & Purbey, 2018). Personal and community benefits motivate travelers to post reviews on different online travel platforms (Bakshi et al., 2021). Receiving financial benefits, such as a discount coupon, for submitting a review can increase consumers' intentions to write online product reviews. Economic incentives, including discount codes, reward points, coupons, etc., are any financial advantage customers can get in exchange for leaving an online review. This means customers who contribute by writing reviews online are somehow compensated (Hussain et al., 2018).
Some users may be motivated to post reviews on online travel review platforms because they receive monetary rewards, such as discounts or vouchers, in return (Liang et al., 2022). Hotels, airlines, and travel companies often incentivize users to post reviews on their platforms (Bravo et al., 2021).
Incentives are among the most frequently cited factors motivating users to post reviews. These incentives can be monetary or non-monetary (Marine-Roig, 2019). Various studies have found that financial rewards, such as discounts and vouchers, can increase the likelihood of users posting.
Incentives are also a factor that drives users to write reviews on online travel review platforms. This suggests that incentives can effectively encourage users to post reviews and enhance engagement on these platforms (Tsiotsou, 2021). Moreover, studies indicate that travelers like to give online reviews if they receive a discount or reward. Users were interested in writing reviews if they received a discount or reward for doing so (Qiao et al., 2020). This suggests businesses can incentivize users to post reviews by offering discounts or rewards (Rialti et al., 2023).
Venting out negative feelings
One of the key variables influencing customers' inclination to write online reviews has been identified as their need to express their emotions after a consumption experience. Obeidat et al. (2017) found that Online reviews are written to seek public retribution, especially when services are poor. Online reviews are another way customers can express unhappiness with subpar service (Kwak et al., 2023). Strong emotional motivations, such as annoyance, wrath, or disappointment, drive consumers' intention to post online reviews (Li et al., 2023). Users who have had negative experiences with travel may post reviews to vent their frustrations and seek social support from others (Bakshi et al., 2021).
Expressing positive feelings
Writing reviews online requires the motivation to express positive feelings. A positive attitude influences consumers' inclination to post online reviews (Zainal et al., 2017). "People ought to sound wealthy and high-status when discussing wearing a Rolex." Luxury companies consequently cause more controversy (Ruiz-Mafe et al., 2020). Brand attachment may affect customers' propensity to provide online reviews (Le et al., 2022).
Consumers' willingness to post online reviews is heavily influenced by their overall attitude about sharing their experiences online, or more specifically, by how well they can compose online reviews (Lis & Fischer, 2020). Egoistic participants in online reviewers take part in both tangible/financial and intangible/non-financial benefits and prizes. Users post in online reviews to showcase their knowledge, improve their reputation, and draw attention to themselves (Li et al., 2024)
Self-enhancement
The motive of self-improvement companies is also a role in writing evaluations online. Someone's intellectual or emotional attitude can influence consumers' intent to submit online reviews. (Zainal et al., 2017). Different phrases that can be used to describe people's sentiments can act as powerful motivators for consumers who are inclined to write online reviews (Aghakhani et al., 2018). People don't want other people to have the same lousy consumer experiences they did. These people find stimulation in keeping others from having these destructive emotions.
Helping others
Online reviews are written with consideration for other users in mind. Participation is, therefore, motivated by concepts of social support and pride in helping others achieve their goals (Fu et al., 2017). One of the main factors affecting consumers' desire to write online reviews is their propensity to want to assist others (Xiang et al., 2018). Users post reviews on online travel review platforms to help others (Yu et al., 2024). The authors argue that this motivation is related to the concept of altruism, which refers to how individuals act to benefit others without expecting anything in return.
Desire for self-expression
Another motivation for users to post reviews on online travel review platforms is the desire for self-expression and identity management (Roy et al., 2024). Other factors that motivate users to post reviews include the perceived usefulness of reviews, social influence, reciprocity, emotion, and reputation. Understanding these motivations is essential for travel businesses to effectively engage with customers and manage their online reputations (Marine-Roig, 2022).
The factors motivating users to post reviews on online travel review platforms are diverse and complex. Users may be motivated by personal benefits, altruism, social influence, perceived usefulness and satisfaction, trustworthiness and credibility, and demographic factors (Chih et al., 2020). Understanding these factors is crucial for travel review platform managers and marketers to develop effective strategies to encourage user-generated content and improve the quality of reviews. Several factors motivate users to post reviews on online travel review platforms, including altruism, social recognition, experience sharing, and incentives (Guerrero-Rodriguez et al., 2023).
Desire to connect with other
Another factor that motivates users to post reviews on online travel review platforms is the desire to connect. Users may perceive their reviews as a means of connecting with other travelers who share their interests and preferences. The authors suggest that this incentive is related to social identity, which relates to how people understand their identities in connection with people (Yan et al., 2018). Users may perceive their reviews to establish and maintain social connections with other travelers, hotel staff, or platform operators (Kim et al., 2021). A few research studies on the factors motivating the posting of reviews on online travel platforms are summarized in Table 1 below.

Research Gap
According to the literature, the influence of online reviews differs depending on whether they are positive or negative, resulting in asymmetrical outcomes in which customers regard extreme ratings (positive or negative) as more helpful and pleasurable than regular reviews. This research paper's literature review provides a comprehensive summary and critical evaluation of existing research relevant to the motivating factors of users to write online reviews. It identifies gaps, inconsistencies, and areas that require more research while providing the background justification for the current study.
RESEARCH METHODOLOGY
The present study was descriptive and was conducted over 6 months from January 2024 to June 2024. This study explored the underlying factors that motivate users to post reviews on online travel review platforms. In this study, respondents were asked to put their responses on a 5-point Likert scale where one strongly disagrees (SD), two disagree (D), three neither disagree nor agree (N), four agree (A), and five strongly agree (SA).
Sample and Procedure
The data was gathered using a predetermined set of questions from users of different online travel agency platforms. Online travel agency users from Delhi and NCR comprised the sample unit, which included 1,313 responses. The number of internet users was used to determine this study's target group. According to TRAI (Telecom Regulatory Authority of India), Delhi and the National Capital Region have India's highest internet penetration rate (DOT, 2018). Moreover, this region of the country is where most flight reservations are made (MOT, 2019).
The sampling unit comprised individuals who utilized these platforms to obtain and research information, plan trips, book hotels, and vacations, or use such services for any travel-related purpose. The sampling unit consisted of online travel agency (OTA) platform users within the study population from the last six months. Purposive sampling, a non-probabilistic sampling approach, was employed to identify the sample from the population under study. Given the Delhi-NCR region's 18.35 million population, a sample size of 1,313 was chosen, with a 95% confidence level and a 7 percent acceptable margin of error (MHA, 2011).
A combination of personal and online approaches was used to administer the final instrument for gathering the responses. In carrying out this research, the researcher utilized a comprehensive strategy that included both online and personal tactics to streamline the administration of the final research instrument. The survey link was shared across various social networking platforms using the researchers' accounts and their extended networks of friends, followers, and acquaintances. Moreover, focused outreach initiatives were carried out via email and WhatsApp, where contacts were sent customized messages with the survey link exclusively. Following collection, the quantitative data was analyzed with IBM-SPSS version 25, which allowed us to explore respondents' opinions and views about the various services provided by online travel agency platforms. The researcher sought to fully comprehend the topic under research by using this all-encompassing method.
Questionnaire preparation
The survey instrument was organized around the investigation's primary components. This tool included elements aligned with theories about submitting reviews on online travel review sites. The questionnaire was developed using the adapted method, showing the variables from the current study from the past literature.
Preparation of preliminary draft
The questionnaire was created following a thorough review of past scholarly material. The questionnaire used foundational insights from various sources, including peer-reviewed journal publications, academic books, periodicals, news items, and online reports. To ensure the questionnaire's integrity and validity, experts from industry and academia reviewed and validated a preliminary iteration.
Instrument (questionnaire) validity
The initial component of this study entailed determining the research instrument's face validity and content validity. This method began with a thorough analysis of the relevant literature. The instrument was then presented to renowned figures in the field, including industry experts from leading online travel agency platforms such as MakeMyTrip, Yatra, Clear Trip, and Hello Travel, as well as scholarly professionals from academic institutions such as IIM Kashipur and Lucknow University. Six industry experts and five academicians were approached to provide expert opinions on the questionnaire.
After getting feedback from these experts, the instruments were revised based on their suggestions and feedback. Following the necessary changes, the new questionnaire was submitted to the same panel of experts for re-evaluation. Items that passed through the second review step and demonstrated a high level of consistency across the numerous issues under consideration were deemed adequate and included in the final version of the instrument.
Preliminary draft modification
The preliminary version of the questionnaire was refined with feedback from industry experts and academics, culminating in the creation of a validation grid that incorporates their recommendations. In survey research, the validity of a claim, conclusion, or judgment is determined by its rationality, accuracy, and logical coherence, which indicate whether the study effectively illustrates its intended objective.
To make this easier, a grid question format was developed, which allows the aggregation of diverse question kinds into an organized table. This structure will enable researchers to include a variety of question formats, such as multiple-choice and open-ended questions, in a single grid. A questionnaire or scale is considered validated when it is precisely designed for use with specific respondents. This validation procedure requires using a representative sample to test reliability and validity adequately. Following reviewer recommendations, the researcher finalized the survey instrument for data collection among the target population, which aligned with the research study's objectives.
Profile of users
Tables 2 to 5 provide users' demographic characteristics, including age, gender, occupation, and frequency of travel. These tables contain and analyze 1,313 user profiles.

Travel frequency
The table presents a breakdown of user distribution depending on the frequency with which they engage in travel activities, displaying the proportional representation of each frequency category among the examined user community (Table 2).

Age Criteria
The table shows the proportional representation of each age group in the analyzed user population (Table 3).

Gender
The table gives an overview of the gender distribution within the user base, emphasizing the proportional representation of male, female, and users who did not identify their gender within the investigated sample (Table 4).

Occupation
The table gives an overview of the user base's occupational variety, displaying the percentage distribution of users across different occupational groups within the analyzed sample (Table 5).
Data collection
The final version of the study questionnaire was used to collect primary data from a predefined demographic sample. Data were collected through both offline and online sources between January and June'24. The purposive sample method was used to elicit responses from the target audience. The survey instrument was widely distributed among people living in Delhi and the National Capital Region (NCR) and was easily accessible to the researcher.
During the data collection phase, the researcher used targeted social media advertisements to reach individuals in the study locations, which included Delhi and the NCR. The information was generated from end-users who had used online travel agency platforms to book flights, lodging, vacation packages, or other travel-related services within the previous six months. Furthermore, these users included residents and employees from the Delhi and NCR regions.
Online and offline (structured way)
1,200 questionnaires were distributed to varied online travel users who used online travel agency platforms to book travel services in the Delhi and NCR regions. There were 842 complete responses to these disseminated questionnaires, resulting in a response rate of 70.16%.
For online data collection, the online survey instrument Google Forms was utilized. A preset questionnaire in the form of a 'Google Forms link' was developed and delivered over the researcher's social networking channels, which included Facebook, LinkedIn, Twitter, and Instagram. Furthermore, this questionnaire link was distributed to various travel-related groups on these social networking sites. Over six months, 654 responses were gathered using the online data collection approach.
The overall dataset included 1,496 responses from both online and offline modalities, with 654 coming from the online medium and 842 from the offline form. Following data analysis, eliminating erroneous and outlier entries, a refined dataset of 605 online replies and 708 offline responses was obtained. As a result, 1,313 valid responses were selected for further data analysis.
Measures
Participants in this study were asked to share their opinions regarding the reasons for writing reviews on websites that facilitate online travel. A detailed examination and extensive review of the body of current literature on the subject matter led to the creating of a complete questionnaire with 26 items. This questionnaire gathered diverse explanations for people's participation in review submission activities.

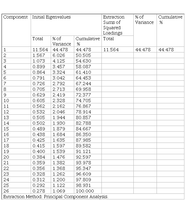
Harman's single-factor test was performed using the IBM SPSS tool in this research study to analyze the common method bias in the data. After performing this test, the cumulative percentage was found to be 44.478, less than 50 percent (Table 6). Harman's Single-Factor Test results for the collected data show no standard method bias in the collected data for analysis. Therefore, further statistical analysis was performed.
RESULTS
Extraction Method: Principal Component Analysis.
With a Cronbach's alpha coefficient of 0.941, the analysis's findings demonstrated high reliability and excellent internal consistency among the questionnaire items (Table 7). The thorough validation process increased the confidence of conclusions drawn from survey replies, improving the general caliber and reliability of the study results.

ANALYSIS
In this research study, exploratory factor analysis (EFA) was applied to reduce a large set of items into a comparatively small set of factors. Exploratory factor analysis was used in research studies to diminish the big data set into more minor variables and identify the relationship between measured variables (Goretzko & Ruscio, 2024). The value of KMO 0.961 (Table 8) supported the objective of curtailing several variables into fewer factors.

Communalities perceived as multiple R2s during multiple regression showed the extent to which the variability of things was observed as significant, giving extra signs about the appropriateness of results for interpretation (Table 9).

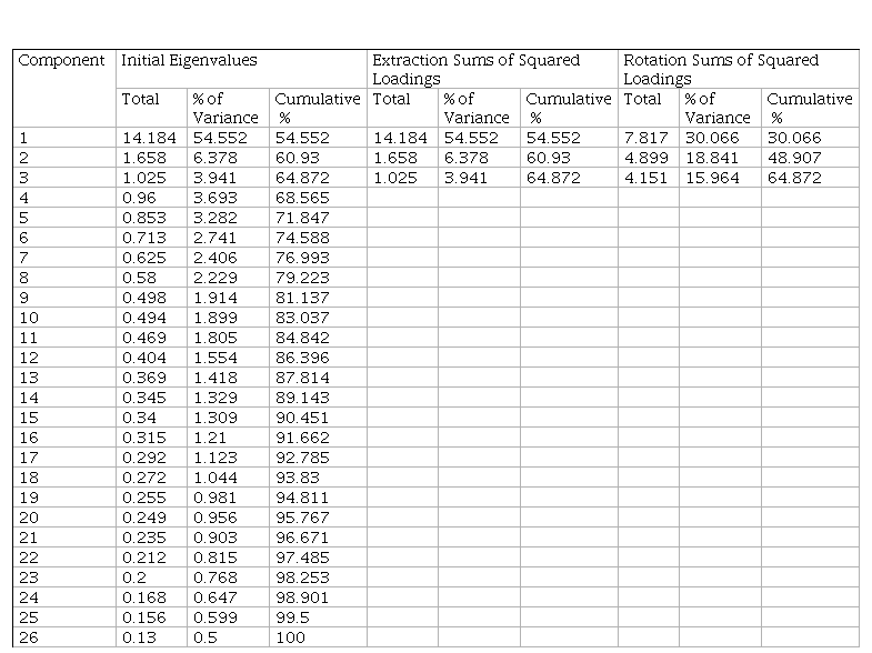
Extraction Method: Principal Component Analysis.
Table 10 shows the total variance findings explained in the current study. Each "Component" is a factor extracted from the data, and the "Initial Eigenvalues" indicate how much variance each factor explains. The "Extraction Sums of Squared Loadings" and "Rotation Sums of Squared Loadings" measure the total variation explained by each factor before and after rotation. The columns "% of Variance" and "Cumulative%" reflect the proportion of total variation explained by each element and the cumulative percentage of variance explained by adding subsequent factors. Together, these three elements were fit to clarify around 64.87% of all the variable variances.

The rotated component matrix in Table 11 shows the principal component analysis (PCA) results on travel-related reviews posted on an online travel review platform. PCA minimizes the dimensionality of data by recognizing patterns and combining variables (in this example, reasons for posting travel-related reviews) into components that explain the most variance.

Having prevalent confirmation of the reasonableness for central component examination, the illustration of what comes about was affirmed. Presently, the Varimax revolution, which is orthogonal, was connected to maximize the fluctuation of the squared loadings of a figure on all things in the calculated framework. In this revolution, each unique variable/item slants towards one of the variables, and each figure means a small number of things driving to rearrangements of translation of comes about. Investigating the pivoted segment matrix proposed that three factors club the variables in a theoretically justifiable way (Table 12).

DISCUSSION
The results obtained from the exploratory factor analysis (EFA) validate that three main components can be used to correctly classify the reasons for publishing travel-related reviews on the Internet. These variables explain a significant portion of the data's variance; the overall cumulative variance explained is 64.87%, suggesting a strong model for comprehending the main themes of motivation. Several distinct but connected factors influence users' motives to share their travel experiences online.
The high Kaiser-Meyer-Olkin (KMO) score of 0.961 indicates that the dataset is very appropriate for factor analysis and supports the sufficiency of the sample. Furthermore, a significant chi-square value from Bartlett's Test of Sphericity confirmed enough correlations between the variables to perform EFA. The data's strong commonalities show that the selected variables substantially explain each identified factor's variation.
Many items reporting commonalities above 0.6 further support the dependability of these findings for collecting and summarizing the underlying motivational factors.
The current study extracted key factors for data analysis. With striking loadings and considerable component determinacy, all three components clarified the motivations for publishing reviews on OTRPs.
The first factor constitutes the items related to being seen on the Internet and building an online reputation, feeling a sense of belongingness with other travelers, attaining good stature in the travel community, feeling like a part of a larger community of travelers, creating a bond with fellow travelers, to impress other travelers, to connect with fellow travelers, to pass the time, to express feelings about the journey to the world, to come into contact with likeminded travelers because people who are essential to users, want them to do so after a trip, to vent out their travel frustration, anger and anxiety and to be seen as an influencer related to travel.
These factors can be combined under the Social Recognition and Connection factor. The second factor comprises items related to making travel service providers realize any lousy service experience, saving others from having any unpleasant experience, sharing my travel experience related to hotel travel agents with others, telling others about offbeat destinations that are not popular, sharing opinions with fellow travelers, getting rewards/incentives from my travel service provider, and helping travel companies improve their products and services.
These items can be clubbed under the factor of Enhancing Travel Experiences. The third factor is the accumulation of related items because it is more convenient than writing or calling the travel service provider to share my experience, to help reduce uncertainty among peer travelers, and to feel good by telling others about their trip successes. All these items can be put under the name of Social Validation. The findings of this study showed that the factors motivating users of online travel agencies on OTRPs in the Delhi and NCR region of India somewhat matched with previous studies (Wang et al., 2024; Gao et al., 2024; Tseng et al., 2024; Dogra & Adil, 2024).
The factor identified in this study, social recognition and connection, aligns with factors such as the desire to connect with others, identified in studies by Yan et al. (2018), Kim et al. (2021), Marine-Roig (2022), Ghaderi et al. (2024), Herasimovich et al. (2024) and Cheng et al. (2024). The other factors of enhancing travel experiences and social validation are similar to factors identified in previous studies by researchers Zainal et al. (2017), Fu et al. (2017), Xiang et al. (2018), Mathieu et al. (2024), Sharafuddin et al. (2024) and Shin et al. (2024).
The rotated component matrix further confirmed these elements' theoretical coherence since the Varimax rotation method made the results easier to understand (Lubinga et al., 2024). By grouping comparable elements under components, the orthogonal rotation better clarified each factor's meaning and improved its interpretive clarity. The model reasonably agrees with the underlying theoretical constructs of social recognition and connection, enhancing travel experiences, and social validation since each item demonstrated substantial loading on one primary element.
IMPLICATIONS
The implications of this study are described below under the theoretical and managerial implications sections.
Theoretical implications
This study significantly enhances knowledge within the frameworks of social exchange theory (SET) and self-determination theory (SDT) by advancing the understanding of the motivations behind online travel review postings (Mishra et al., 2024; Evans et al.,2024). The study's findings contribute to the literature by highlighting specific user motivations and benefits of engaging with travel review platforms, such as connecting with like-minded travelers, sharing opinions, and influencing others' travel decisions.
This study presents a fresh viewpoint by exploring online reviews' underlying motivations and larger context. It emphasizes that people write online reviews primarily for their purposes, indicating a shift from earlier theories (Ding et al., 2024; Ahen & Park, 2024; Moriuchi & Moriyoshi, 2024; Ozuem et al., 2024; Hossain & Rahman, 2024). This study indicates that customers' intentions to post online evaluations are more heavily influenced by personal reasoning than by social incentives such as recognition or approval from others, as previous research has shown (Natarajan & Periaiya, 2024; Zhang et al., 2024; Román et al., 2024; Alnoor et al., 2024).
This study provides valuable insights into the human behavior behind online review posting. It attempts to decipher the intricate interactions between contextual, social, and individual aspects that influence customers' interactions with online reviews. Moreover, it contributes theoretically by extending the uses and gratifications theory (UGT), which explores how individuals actively seek out and use media to satisfy specific needs (Nguyen et al., 2024;Geng et al., 2024; Alam et al., 2024).
The motivations for travel-related reviews identified here, such as seeking a sense of community belongingness or expressing travel experiences, support the UGT framework by lighting up how individuals use travel platforms for self-expression, information-sharing, and social validation. Factors identified in the current study align well with the principles of social exchange theory, self-determination theory, and extending uses and gratifications theory, where review postings are not only seen as informatory contributions but also as social acts that satisfy the reviewers' intrinsic motivation for community and reputation.
Managerial implications
This research study's managerial implications give businesses a better understanding of the factors that motivate customers to share their travel experiences with other users by posting reviews online. The identified factors of this study allow OTRPs to customize their content and engagement strategies (Yang et al., 2024; Akhtar et al., 2024; Gomez-Suarez et al., 2024). For example, OTRPs can personalize customer experiences by classifying review prompts based on identified motivations, such as "share your story," "help others," or "join the conversation."
This study allows travel service providers to identify patterns in customer complaints and leverage this feedback to improve their offerings and settle repeating issues, potentially amplifying customer allegiance and reducing negative experiences. The current study suggests OTAs make forums or discussion threads based on provided interests or travel targets (e.g., budget travel, eco-tourism), which could help like-minded users interact and feel a sense of belonging. Managers can gain a competitive advantage over their rivals if they comprehend the factors that lead consumers to post online product reviews.
This study found that consumers' motivations affect the reviews they leave for services online. Travel agencies can start points systems, badges, and other recognitions based on the review's quality. This can inspire customers to contribute more vigorously, rewarding informational usefulness and community participation. As a result, they can give incentives to consumers who review services online to encourage them to do so. Another strategy is to connect with the emotional side of consumers, inspiring them to post reviews online to express the emotions they experienced while using their services. Beyond the context of online travel review platforms, this research study provides broader insights into online community dynamics, consumer behavior in the digital area, and persuasive technology design.
Platform designing can improve user engagement and happiness by customizing features and capabilities to cater to the underlying motives for publishing reviews. A similar strategy could be used to appeal to the cognitive or affective attitude of the consumer. Understanding the subtle elements influencing customer behavior while posting online reviews gives managers a distinct advantage over competitors in the market; however, the challenges lie in implementing these strategies effectively. Furthermore, OTA companies should attempt to establish stronger emotional ties with their users by acknowledging the emotional element of the review process and encouraging them to express their emotions and experiences in online review writing. Additionally, managers can create focused tactics to gain insightful input from their client base by appealing to both cognitive and emotive elements of consumer attitudes.
This study offers a practical guideline for travel brands to design marketing campaigns that vibrate with these specific motivations. For example, campaigns focused on offbeat or budgeted destinations can captivate users motivated by cost-sharing, while OTA platforms can feature stories from their users highlighting distinctive experiences. This data-driven strategy could lead to more targeted, impressive marketing content, accelerating engagement and energizing brand reputation. Essentially, managers can proactively shape their marketing and customer engagement strategies to cultivate a positive online reputation, foster customer loyalty, and ultimately drive business success in an increasingly competitive marketplace by identifying and leveraging the underlying motivations behind online review postings.
CONCLUSIONS
The study provides insight into the complex reasons why visitors from Delhi and the National Capital Region (NCR) actively participate in leaving reviews on online travel review platforms. The three identified factors, social recognition and connection, enhancing travel experiences, and social validation, demonstrate the versatile motivations driving individuals to post reviews on OTRPs. This study contributes to understanding user behavior.
Furthermore, the study emphasizes the importance of spreading reliable information and raising the general caliber of information available on these platforms. Further, travelers use review posting to receive benefits from travel agencies and serve as a resource for other travelers regarding the costs involved in visiting particular locations. Utilizing a careful examination of these driving forces, this research reveals the intricate dynamics present in travelers' interactions with OTRPs, enhancing our comprehension of their actions within the context of digital travel. This research study suggests that online travel agencies should provide options for posting video reviews on their platforms.
Limitations and future research directions
This study has limitations due to the impossibility and simplicity of gathering respondents, so a convenience sample strategy was used. There is a risk that the sample selection procedure may have impacted the validity of the results and the generalizability of the sample of the complete population because the respondents were primarily selected based on availability and not from a specific set of criteria. Future studies may concentrate on other Indian and global regions and evaluate the effects of online reviews on various travel review sites while choosing tour operators and destinations.
Future research could be on the many aspects of users' choices to post reviews on online travel review platforms, including exploring the complex relationships between social influences such as peer pressure. Social norms will highlight how important they play in determining the behavior of review posting, examining ethical issues like fake reviews, deceptive practices, and the influence of incentives on review reliability. Furthermore, knowing the complex interactions between age, gender, and disincentives about intentions and actions related to review posting would advance our understanding of user behavior on these platforms.
Furthermore, clarifying how platform elements like rating scales, social interaction features, and review format affect users' reasons for writing reviews would offer insightful information about how platforms are designed and how to engage users. The paper examines these study avenues to comprehensively understand the complex dynamics that underlie people's interactions with online travel review platforms. Future studies could further explore the implications of the current study's identified motivations in other user-generated content platforms, extending the applicability of findings across varied digital ecosystems.
REFERENCES
Aghakhani, N., Karimi, J., & Salehan, M. (2018). A Unified Model for Adopting Electronic Word of Mouth on Social Network Sites: Facebook as the Exemplar. International Journal of Electronic Commerce, 22 (2), 202–231. https://doi.org/10.1080/10864415.2018.1441700
Ahn, H., & Park, E. (2024). The impact of consumers' sustainable electronic-word-of-mouth in purchasing sustainable mobility: An analysis from online review comments of e-commerce. Research in Transportation Business & Management, 52, 101086. https://doi.org/10.1016/j.rtbm.2023.101086
Akhtar, N., Hameed, Z., Islam, T., Pant, M. K., Sharma, A., Rather, R. A., & Kuzior, A. (2024). Avatars of influence: Understanding how virtual influencers trigger consumer engagement on online booking platforms. Journal of Retailing and Consumer Services, 78, 103742. https://doi.org/10.1016/j.jretconser.2024.103742
Alam, F., Tao, M., Rastogi, R., Mendiratta, A., & Attri, R. (2024). Do social media influencers influence the vaccination drive? An application of source credibility theory and uses and gratification theory. Technological Forecasting and Social Change, 198, 122973.. https://doi.org/10.1016/j.techfore.2023.122973
Alnoor, A., Tiberius, V., Atiyah, A. G., Khaw, K. W., Yin, T. S., Chew, X., & Abbas, S. (2024). How positive and negative electronic word of mouth (eWOM) affects customers’ intention to use social commerce? A dual-stage multi group-SEM and ANN analysis. International Journal of Human–Computer Interaction, 40(3), 808-837. https://doi.org/10.1080/10447318.2022.2125610
Álvarez-Carmona, M. Á., Aranda, R., Guerrero-Rodríguez, R., Rodríguez-González, A. Y., & López-Monroy, A. P. (2022). A combination of sentiment analysis systems for the study of online travel reviews: Many heads are better than one. Computación y Sistemas, 26(2), 977-987. https://doi.org/10.13053/cys-26-2-4055
Aknin, L. B., & Whillans, A. V. (2021). Helping and happiness: A review and guide for public policy. Social Issues and Policy Review, 15(1), 3-34. https://doi.org/10.1111/sipr.12069
Arica, R., Cobanoglu, C., Cakir, O., Corbaci, A., Hsu, M. J., & Della Corte, V. (2022). Travel experience sharing on social media: effects of the importance attached to content sharing and what factors inhibit and facilitate it. International Journal of Contemporary Hospitality Management, 34(4), 1566-1586. https://doi.org/10.1108/IJCHM-01-2021-0046
Assaker, G. (2020). Age and gender differences in online travel reviews and user-generated-content (UGC) adoption: extending the technology acceptance model (TAM) with credibility theory. Journal of Hospitality Marketing & Management, 29(4), 428-449. https://doi.org/10.1080/19368623.2019.1653807
Bakshi, S., Gupta, D. R., & Gupta, A. (2021). Online travel review posting intentions: A social exchange theory perspective. Leisure/Loisir, 45(4), 603-633. https://doi.org/10.1080/14927713.2021.1924076
Berhanu, K., & Raj, S. (2020). The trustworthiness of travel and tourism information sources of social media: perspectives of international tourists visiting Ethiopia. Heliyon, 6(3). https://doi.org/10.1016/j.heliyon.2020.e03439
Bhatti, M. A., & Alshiha, A. A. (2023). Role of Personality Traits and E-WoM in Motivation and Intention of Travel for Leisure and Adventure. Transnational Marketing Journal, 11(2), 1-20. https://doi.org/10.58262/tmj.v11i2.2001
Bravo, R., Catalan, S., & Pina, J. M. (2021). Gamification in tourism and hospitality review platforms: How to RAMP up users’ motivation to create content. International Journal of Hospitality Management, 99, 103064. https://doi.org/10.1016/j.ijhm.2021.103064
Candi, M., Jae, H., Makarem, S., & Mohan, M. (2017). Consumer responses to functional, aesthetic and symbolic product design in online reviews. Journal of Business Research, 81, 31-39. https://doi.org/10.1016/j.jbusres.2017.08.006
Cheng, W., Tian, R., & Chiu, D. K. (2024). Travel vlogs influencing tourist decisions: information preferences and gender differences. Aslib Journal of Information Management, 76(1), 86-103. https://doi.org/10.1108/AJIM-05-2022-0261
Chih, W. H., Hsu, L. C., & Ortiz, J. (2020). The antecedents and consequences of the perceived positive eWOM review credibility. Industrial Management & Data Systems, 120(6), 1217-1243 https://doi.org/10.1108/IMDS-10-2019-0573
Ding, K., Gong, X. Y., Huang, T., & Choo, W. C. (2024). Recommend or not: A comparative analysis of customer reviews to uncover factors influencing explicit online recommendation behavior in peer-to-peer accommodation. European Research on Management and Business Economics, 30(1), 100236. https://doi.org/10.1016/j.iedeen.2023.100236
Dogra, N., & Adil, M. (2024). Should we or should we not? Examining travelers' perceived privacy, perceived security and actual behavior in online travel purchases. Journal of Vacation Marketing, 30(1), 123-142. https://doi.org/10.1177/13567667221122103
DOT. (2018). Telecom Statistics-2018. Link: https://dot.gov.in/sites/default/files/statistical%20Bulletin-2018.pdf
Evans, P., Vansteenkiste, M., Parker, P., Kingsford-Smith, A., & Zhou, S. (2024). Cognitive load theory and its relationships with motivation: a self-determination theory perspective. Educational Psychology Review, 36(1), 7. https://doi.org/10.1007/s10648-023-09841-2
Fu, P.W., Wu, C.C., & Cho, Y.J. (2017). What makes users share content on Facebook? Compatibility among psychological incentive, social capital focus, and content type. Computers in Human Behavior, 67, 23-32. https://doi.org/10.1016/j.chb.2016.10.010
Gao, Z., Cheah, J. H., Lim, X. J., Ng, S. I., Cham, T. H., & Yee, C. L. (2024). Can travel apps improve tourists’ intentions? Investigating the drivers of Chinese gen Y users’ experience. Journal of Vacation Marketing, 30(3), 505-534. https://doi.org/10.1177/13567667231152938
Geng, L., Li, Y., Zhang, Y., Jiang, Z., & Xue, Y. (2024). Advancing tourism recovery through virtual tourism marketing: An integrated approach of uses and gratifications theory and attachment to VR. Current Issues in Tourism, 27(2), 234-250. https://doi.org/10.1080/13683500.2023.2177834
Ghaderi, Z., Béal, L., Zaman, M., Hall, C. M., & Rather, R. A. (2024). How does sharing travel experiences on social media improve social and personal ties?. Current issues in tourism, 27(21), 3478-3494. https://doi.org/10.1080/13683500.2023.2266101
Gomez-Suarez, M., & Veloso, M. (2024). Enhancing social media engagement by the hospitality industry: The power of customer experience dimensions. Journal of Vacation Marketing, 30(2), 311-326. https://doi.org/10.1177/13567667221135195
Gonçalves, H. M., Silva, G. M., & Martins, T. G. (2018). Motivations for posting online reviews in the hotel industry. Psychology & Marketing, 35(11), 807-817. https://doi.org/10.1002/mar.21136
Goretzko, D., & Ruscio, J. (2024). The comparison data forest: A new comparison data approach to determine the number of factors in exploratory factor analysis. Behavior Research Methods, 56(3), 1838-1851. https://doi.org/10.3758/s13428-023-02122-4
Guerrero-Rodriguez, R., Álvarez-Carmona, M. Á., Aranda, R., & López-Monroy, A. P. (2023). Studying online travel reviews related to tourist attractions using nlp methods: the case of guanajuato, mexico. Current issues in tourism, 26(2), 289-304. https://doi.org/10.1080/13683500.2021.2007227
Herasimovich, V., Alzua-Sorzabal, A., & Guereño-Omil, B. (2024). Online networking behaviour of tourism stakeholders in a multi-destination region: A hyperlink network analysis. Journal of Destination Marketing & Management, 31, 100844. https://doi.org/10.1016/j.jdmm.2023.100844
Hossain, M. S., & Rahman, M. F. (2024). Detection of readers' emotional aspects and thumbs-up empathy reactions towards reviews of online travel agency apps. Journal of Hospitality and Tourism Insights, 7(1), 142-171. https://doi.org/10.1108/JHTI-10-2022-0487
Hussain, S., Guangju, W., Jafar, R. M., Ilyas, Z., Mustafa, G., &Jianzhou, Y. (2018). Consumers' online information adoption behavior: Motives and antecedents of electronic word of mouth communications. Computers in Human Behavior. https://doi.org/10.1016/j.chb.2017.09.019
Jung, J., Bapna, R., Gupta, A., & Sen, S. (2021). Impact of incentive mechanism in online referral programs: evidence from randomized field experiments. Journal of Management Information Systems, 38(1), 59-81. https://doi.org/10.1080/07421222.2021.1870384
Kaur, K., & Singh, T. (2021). What motivates consumers to write online reviews? Qualitative research in the Indian cultural context. Journal of Global Marketing, 34(3), 170-188. https://doi.org/10.1080/08911762.2021.1882022
Kim, S., Bi, Y., & Kim, I. (2021). Travel Website Atmospheres Inducing Older Travelers’ Familiarity: The Moderating Role of Cognitive Age. International Journal of Environmental Research and Public Health, 18(9), 4812. https://doi.org/10.3390/ijerph18094812
Kumar, S., & Purbey, S. (2018). Benchmarking model for motives influencing the creation of negative electronic word of mouth. Benchmarking, 25 (9), 3592–3606. https://doi.org/10.1108/BIJ-08-2017-0222
Kwak, S. Y., Shin, M., Lee, M., & Back, K. J. (2023). Integrating the reviewers’ and readers’ perceptions of negative online reviews for customer decision-making: a mixed-method approach. International Journal of Contemporary Hospitality Management.https://doi.org/10.1108/IJCHM-03-2022-0410
Le, H. T., Carrel, A. L., & Shah, H. (2022). Impacts of online shopping on travel demand: a systematic review. Transport Reviews, 42(3), 273-295. https://doi.org/10.1080/01441647.2021.1961917
Li, H., Meng, F., & Hudson, S. (2023). Are hotel guests altruistic? How positive review disconfirmation affects consumers’ online review behavior. Journal of Hospitality & Tourism Research, 47(3), 528-548. https://doi.org/10.1177/10963480211030313
Li, H., Liu, H., Shin, H. H., & Ji, H. (2024). Impacts of user-generated images in online reviews on customer engagement: A panel data analysis. Tourism Management, 101, 104855.
Li, J., Zhu, K., & Jang, J. (2023). Factors Influencing Users’ Content Sharing Intention in Travel-Related Consumer Generated Media. In Information and Communication Technologies in Tourism 2023: Proceedings of the ENTER 2023 eTourism Conference, January 18-20, 2023 (pp. 113-127). Cham: Springer Nature Switzerland.
Liang, S., Ye, Q., Zhang, X., Law, R., & Gong, C. (2022). Motivation behind review provision in online travel communities: do hometowner contributions matter?. International Journal of Contemporary Hospitality Management, 34(5), 1692-1716. https://doi.org/10.1108/IJCHM-08-2021-0980
Lis, B., & Fischer, M. (2020). Analyzing different types of negative online consumer reviews. Journal of Product & Brand Management, 29(5), 637-653. https://doi.org/10.1108/JPBM-05-2018-1876
Lubinga, S., Lubinga, M. H., Tyanai, M., & Asilla, R. (2024). Perceptions of Beneficiaries of Informal Social Protection Initiatives in Uganda: An Exploratory Factor Analysis Approach. Social Policy & Administration. 1-14. https://doi.org/10.1111/spol.13086
Marder, B., Erz, A., Angell, R., & Plangger, K. (2021). The role of photograph aesthetics on online review sites: Effects of management-versus traveler-generated photos on tourists’ decision making. Journal of Travel Research, 60(1), 31-46. https://doi.org/10.1177/0047287519895125
Marine-Roig, E. (2019). Destination image analytics through traveller-generated content. Sustainability, 11(12), 3392. https://doi.org/10.3390/su11123392
Marine-Roig, E. (2022). Content analysis of online travel reviews. In Handbook of e-Tourism (pp. 1-26). Cham: Springer International Publishing. https://doi.org/10.1007/978-3-030-05324-6_31-1
Marine-Roig, E., & Huertas, A. (2020). How safety affects destination image projected through online travel reviews. Journal of Destination Marketing & Management, 18, 100469. https://doi.org/10.1016/j.jdmm.2020.100469
Manthiou, A., Ulrich, I., & Kuppelwieser, V. (2024). The travel influencer construct: An empirical exploration and validation. Tourism Management, 101, 104858. https://doi.org/10.1016/j.tourman.2023.104858
MHA. (2011). Census of India 2011. MHA.
Mishra, M., & Mund, P. (2024). Fifty‐two years of consumer research based on social exchange theory: A review and research agenda using topic modeling. International Journal of Consumer Studies, 48(4), e13074. https://doi.org/10.1111/ijcs.13074
Mitropoulos, L., Kortsari, A., & Ayfantopoulou, G. (2021). A systematic literature review of ride-sharing platforms, user factors and barriers. European Transport Research Review, 13, 1-22. https://doi.org/10.1186/s12544-021-00522-1
Moriuchi, E., & Moriyoshi, N. (2024). A cross‐cultural study on online reviews and decision making: An eye‐tracking approach. Journal of Consumer Behaviour, 23(1), 156-170. https://doi.org/10.1002/cb.2165
MOT. (2019). India Tourism Statistics - 2018. MOT.
Natrah Jamaludin, N. A., & Nik Hashim, N. M. H. (2024). Exploring the role of hedonic emotions on attitudinal loyalty and EWOM: a contingency framework and propositions. Journal of Foodservice Business Research, 1-51. https://doi.org/10.1080/15378020.2024.2318525
Natarajan, M., & Periaiya, S. (2024). Revealing consumer review attitude through online review and website cues. Journal of Consumer Marketing, 41(3), 261-280. https://doi.org/10.1108/JCM-07-2020-3938
Nguyen, S., &Llosa, S. (2023). When users decide to bypass collaborative consumption platforms: The interplay of economic benefit, perceived risk, and perceived enjoyment. Tourism Management, 96, 104713. https://doi.org/10.1016/j.tourman.2022.104713
Nguyen, T., & Nguyen, D. M. (2024). What will make Generation Y and Generation Z to continue to use online food delivery services: a uses and gratifications theory perspective. Journal of Hospitality Marketing & Management, 33(4), 415-442. https://doi.org/10.1080/19368623.2023.2277731
Obeidat, Z. M., Xiao, S. H., Iyer, G. R., & Nicholson, M. (2017). Consumer revenge using the internet and social media: An examination of the role of service failure types and cognitive appraisal processes. Psychology & Marketing, 34 (4), 496-515. https://doi.org/10.1002/mar.21002
Oliveira, T., Araujo, B., & Tam, C. (2020). Why do people share their travel experiences on social media?. Tourism Management, 78, 104041. https://doi.org/10.1016/j.tourman.2019.104041
Ozuem, W., Willis, M., Howell, K., Ranfagni, S., & Rovai, S. (2024). Examining user-generated content, service failure recovery and customer–brand relationships: an exploration through commitment-trust theory. Internet Research, 34(3), 784-809. https://doi.org/10.1108/INTR-07-2022-0580
Park, E., Kang, J., Choi, D., & Han, J. (2020). Understanding customers' hotel revisiting behaviour: a sentiment analysis of online feedback reviews. Current Issues in Tourism, 23(5), 605-611. https://doi.org/10.1080/13683500.2018.1549025
Qiao, D., Lee, S. Y., Whinston, A. B., & Wei, Q. (2020). Financial incentives dampen altruism in online prosocial contributions: A study of online reviews. Information Systems Research, 31(4), 1361-1375. https://doi.org/10.1287/isre.2020.0949
Rialti, R., Kvítková, Z., &Makovník, T. (2023). Online Reputation Management in Tourism: Emerging Themes, Theories, Problems, and Solutions. In Online Reputation Management in Destination and Hospitality (pp. 3-25). Emerald Publishing Limited. https://doi.org/10.1108/978-1-80382-375-120231001
Román, S., Riquelme, I. P., & Iacobucci, D. (2024). Antecedents and consequences of perceived helpfulness of extremely positive and exaggerated reviews. Journal of Retailing and Consumer Services, 80, 103907. https://doi.org/10.1016/j.jretconser.2024.103907
Roy, G., Datta, B., Mukherjee, S., Eckert, A., & Dixit, S. K. (2024). How online travel reviews sources affect travelers’ behavioral intentions? Analysis with source credibility theory. Tourism Planning & Development, 21(3), 299-329. https://doi.org/10.1080/21568316.2023.2229296
Sharafuddin, M. A., Madhavan, M., & Wangtueai, S. (2024). Assessing the Effectiveness of Digital Marketing in Enhancing Tourist Experiences and Satisfaction: A Study of Thailand’s Tourism Services. Administrative Sciences, 14(11), 273. https://doi.org/10.3390/admsci14110273
Shin, H., Lee, J., & Kim, N. (2024). Workcation (Workation) travel experiences, satisfaction and revisit intentions: focusing on conceptualization, scale development, and nomological network. Journal of Travel Research, 63(5), 1150-1168. https://doi.org/10.1177/00472875231188717
Shin, S., Chung, N., Xiang, Z., & Koo, C. (2019). Assessing the impact of textual content concreteness on helpfulness in online travel reviews. Journal of Travel Research, 58(4), 579-593. https://doi.org/10.1177/0047287518768456
Singh, N., & Yadav, P. (2018). Social Media Influences Holiday Travel Decisions: A Rationale for Profound Analysis. Prabandhan: Indian Journal of Management, 11 (2), 40-56. https://doi.org/10.17010/pijom/2018/v11i2/121395
Su, L., Yang, Q., Swanson, S. R., & Chen, N. C. (2022). The impact of online reviews on destination trust and travel intention: The moderating role of online review trustworthiness. Journal of Vacation Marketing, 28(4), 406-423. https://doi.org/10.1177/13567667211063207
Talwar, S., Dhir, A., Kaur, P., & Mäntymäki, M. (2020). Why do people purchase from online travel agencies (OTAs)? A consumption values perspective. International Journal of Hospitality Management, 88, 102534. https://doi.org/10.1016/j.annals.2020.102860
Teng, S., Khong, K. W., Chong, A. Y. L., & Lin, B. (2017). Persuasive electronic word-of-mouth messages in social media. Journal of Computer Information Systems, 57(1), 76-88. https://doi.org/10.1080/08874417.2016.1181501
Tsiotsou, R. H. (2021). Value creation in tourism through active tourist engagement: A framework for online reviews. Women’s Voices Tourism Res, 12, 1-14. https://doi.org/10.14264/817f87d
Tseng, L. Y., Chang, J. H., & Zhu, Y. L. (2024). What drives the travel switching behavior of Chinese Generation Z consumers. Journal of Tourism Futures, 10(1), 131-146. https://doi.org/10.1108/JTF-07-2020-0110
Vilnai-Yavetz, I., & Levina, O. (2018). Motivating social sharing of e-business content: Intrinsic motivation, extrinsic motivation, or crowding-out effect? Computers in Human Behavior (79), 181-191. https://doi.org/10.1016/j.chb.2017.10.034
Kumar, L. K., Thatha, V. N., Udayaraju, P., Siri, D., Kiran, G. U., Jagadesh, B. N., & Vatambeti, R. (2024). Analyzing Public Sentiment on the Amazon Website: A GSK-based Double Path Transformer Network Approach for Sentiment Analysis. IEEE Access. https://doi.org/10.1109/ACCESS.2024.3368441
Wang, R., Wu, C., Wang, X., Xu, F., & Yuan, Q. (2024). E-Tourism information literacy and its role in driving tourist satisfaction with online travel information: A qualitative comparative analysis. Journal of Travel Research, 63(4), 904-922. https://doi.org/10.1177/00472875231177229
Xiang, L., Zheng, X., Zhang, K. Z., & Lee, M. K. (2018). Understanding consumers' continuance intention to contribute to online reviews. Industrial Management & Data Systems, 118 (1), 22-40. https://doi.org/10.1108/IMDS-09-2016-0395
Xu, X. (2020). How do consumers in the sharing economy value sharing? Evidence from online reviews. Decision Support Systems, 128, 113162. https://doi.org/10.1016/j.dss.2019.113162
Yan, L., & Wang, X. (2018). Why posters contribute different content in their positive online reviews: A social information-processing perspective. Computers in Human Behavior, 82, 199-216. https://doi.org/10.1016/j.chb.2018.01.009
Yang, F. X. (2017). Effects of restaurant satisfaction and knowledge sharing motivation on eWOM intentions: the moderating role of technology acceptance factors. Journal of Hospitality & Tourism Research, 41 (1), 93-127. https://doi.org/10.1177%2F1096348013515918
Yang, X., Zhang, L., & Feng, Z. (2024). Personalized tourism recommendations and the E-tourism user experience. Journal of Travel Research, 63(5), 1183-1200. https://doi.org/10.1177/00472875231187332
Yu, Z., Zhang, Z., Law, R., & Zhang, Z. (2024). Resonance of Review Behavior: Will People Follow in Their Friends’ Footsteps?. Journal of Interactive Marketing, 10949968231219973. https://doi.org/10.1177/10949968231219973
Yusuf, A. S., Che Hussin, A. R., & Busalim, A. (2018). Influence of eWOM engagement on consumer purchase intention in social commerce. The Journal of Services Marketing, 32 (4), 493-504. https://doi.org/10.1108/JSM-01-2017-0031
Zainal, N. T., Harun, A., & Lily, J. (2017). Examining the mediating effect of attitude towards electronic words-of mouth (eWOM) on the relation between the trust in eWOM source and intention to follow eWOM among Malaysian travelers. Asia Pacific Management Review, 22 (1), 35-44. https://doi.org/10.1016/j.apmrv.2016.10.004
Zhang, Z., Zhang, Z., Liu, S., & Zhang, Z. (2024). Are high-status reviewers more likely to seek anonymity? Evidence from an online review platform. Journal of Retailing and Consumer Services, 78, 103792. https://doi.org/10.1016/j.jretconser.2024.103792