Estimación de acortamiento en pliegues chevron que han experimentado deformación post flexión
Shortening estimation in chevron with post flexion deformation
Estimación de acortamiento en pliegues chevron que han experimentado deformación post flexión
Revista Mexicana de Ciencias Geológicas, vol. 36, núm. 3, pp. 348-356, 2019
Universidad Nacional Autónoma de México
Recepción: 09 Mayo 2019
Corregido: 22 Junio 2019
Aprobación: 24 Junio 2019
Resumen: Los pliegues son estructuras geológicas que se presentan en muchos medios geológicos. Analizar su geometría nos permite obtener una aproximación de la deformación que acomodaron. Los pliegues tipo chevron son útiles para hacer estimaciones de acortamiento en sistemas orogénicos debido a su particular geometría. A pesar de esto, no se ha propuesto un método para calcular la deformación total (dinámica y cinemática) que experimentan estas estructuras. En el presente trabajo se expone un método para el cálculo del acortamiento en pliegues chevron que han sufrido una deformación post flexión o post pandeo, el cual toma como base el modelo propuesto por Ramsay en 1974. El método propuesto es conceptualmente sencillo y general, lo que permite su aplicación para estimar el acortamiento en sistemas orogénicos alrededor del mundo.
Palabras clave: pliegue, acortamiento, deformación dinámica, aplastamiento.
Abstract:
Folds are geological structures present in many tectonic environments, their geometry allows us to obtain a quantitative approximation of the deformation that they accommodated. Chevron folds are an important tool to estimate shortening in orogenic systems, due to their particular geometry. In spite of this, a method to calculate the amount of shortening (dynamic and kinematic) consistent with the theory of chevron folds has not been proposed. In this work, we propose a new method for the calculation of total shortening in chevron folds that have a post-buckling deformation based on the theoretical considerations of Ramsay (1974). Our method is conceptually simple and general, so that it can be applied to estimate the amount of shortening in the orogenic systems around the world.
Keywords: fold, shortening, dynamic deformation, flattening.
INTRODUCCION
Observaciones de campo y análisis teóricos hechos por algunos autores como De Sitter (1958), Ramsay (1967, 1974) y Bastida et al. (2007) sugieren que no es posible un acortamiento ilimitado de los estratos plegados mediante flexión. Dicho acortamiento en los pliegues tiene un límite donde deja de actuar la deformación mecánicamente activa, donde las capas competentes participan en la deformación, e inicia una deformación homogénea o cinemática (Biot, 1961); este proceso es parte de la evolución natural de los pliegues. El primer mecanismo es producto de una inestabilidad mecánica flexionante, mientras que el segundo se debe a aplastamiento perpendicular al plano axial. En esta segunda etapa, además se producen modificaciones geométricas importantes observables en los pliegues como atenuación de los flancos y charnelas abultadas.
Los pliegues tipo chevron son frecuentes en secuencias bien estratificadas, se caracterizan por tener flancos rectos y una zona de charnela estrecha. Pertenecen a los pliegues llamados paralelos (clase 1B según la clasificación de Ramsay de 1967) por tener las capas competentes un espesor constante a lo largo de toda la estructura. Estos pliegues son inicialmente producidos por flexión y son modificados por aplastamiento (clase 1C) a partir de un ángulo interflanco de 60° (ángulo de bloqueo) (Ramsay, 1974).
En este trabajo se propone un método para estimar el acortamiento total en los pliegues chevron, utilizando como base la teoría propuesta por Ramsay (1974) para dichos pliegues. Así mismo, se toman como referencia los datos de acortamiento publicados por Fitz-Díaz et al. (2012) y se complementan con estimaciones del ángulo entre los flancos para apoyar la existencia de una transición entre la deformación dinámica y cinemática en los pliegues tipo chevron (Schmalholz 2006; Hudleston y Treagus, 2010).
FUNDAMENTO Y DESARROLLO DEL MÉTODO
El método que se propone para la estimación de crecimiento cinemático se basa en el modelo propuesto por Ramsay (1974). El modelo asume lo siguiente:
• Los flancos son rectos y con una longitud mayor que la charnela.
• La capa competente forma pliegues paralelos (clase 1B).
• El estrato incompetente usualmente tiene un espesor constante en los flancos y varía mucho en la chanela.
• Una estratigrafía mecánica donde se alternan capas competentes e incompetentes. El estrato competente tiene un espesor constante a lo largo de todo el pliegue, y la relación de espesor de la capa/longitud de flanco es comúnmente de 1/10.
• La capa competente con mayor espesor en una sucesión estratigráfica es la que controla la geometría y deformación que se acomoda en dicha sucesión.
Con base en las suposiciones anteriores, Ramsay (1974) desarrolló un modelo geométrico de los pliegues chevron (Figura 1). Al observar y analizar dicho modelo se puede notar que la cima de la capa competente con mayor espesor forma un arco de círculo en la charnela del pliegue con centro en el vértice del arco interno y cuyo radio es igual al espesor de la capa competente. Este círculo permanece constante hasta cierto límite (ángulo de bloqueo), donde la deformación dinámica (flexión) se detiene e inicia la fase de crecimiento cinemático por aplastamiento.
A partir de este momento, el arco de círculo que describe la charnela durante la etapa de flexión se distorsiona y forma una elipse (Figura 2). Dicha elipse contiene información de la cantidad de deformación causada por aplastamiento (Figura 2). Entonces la cantidad de aplastamiento se puede cuantificar encontrando la transformación lineal de un círculo a una elipse (Anexo A). Si dicha elipse es producto de un aplastamiento con extensiones , paralela a la superficie axial y normal a esta superficie (Figura 2; Ramsay, 1967) y, suponiendo que no existe cambio de área (λ1*λ2=1), se tiene que el acortamiento debido al aplastamiento está dado por la siguiente expresión:
(1)La cantidad de aplastamiento también se puede representar por medio de la proporción de forma de la elipse (o relación entre ejes) a través de la expresión:
(2)En la práctica el aplastamiento (expresado como R o (e2+1)A), se puede estimar de manera práctica ajustando una elipse al arco externo de un pliegue en una fotografía (Figura 2). La fotografía debe ser tomada paralela al eje de la estructura. También es recomendable tomar la fotografía desde un lugar lejano para evitar distorsiones (~5 m), utilizando el acercamiento óptico de la cámara fotográfica. Finalmente, es importante considerar a las estructuras desarrolladas debido a la variación en el espesor de las capas competentes (fallas inversas en los flancos, colapso de la charnela (Ramsay, 1974)), lo cual genera modificaciones sustanciales en la geometría de los pliegues que afectan las estimaciones de acortamiento. Se recomienda no utilizar el método propuesto en donde existan estas modificaciones.
Hay que resaltar que, con la metodología propuesta, es posible conocer el estado del pliegue antes de sufrir aplastamiento y encontrar parámetros importantes como el espesor de la capa competente, longitud del flanco y ángulo interflanco. Esto se realiza haciendo el proceso inverso; a partir de la elipse se busca encontrar el círculo y los puntos donde pasan las líneas tangentes que definen a los flancos en la superficie del arco externo (Figura 2 y Anexo B). Una vez que se retrodeforma el pliegue se puede estimar el acortamiento total y el acortamiento por flexión, mediante otros métodos propuestos en la literatura (por ejemplo: Ramsay, 1967; 1974; Bastida, 1981; Aller et al, 2008).




PROGRAMA ChevronASv1
El procedimiento anterior se implementó en un programa de computadora llamado ChevronASv1. El programa automatiza el cálculo del acortamiento en pliegues tipo chevron aplastados y no aplastados. En el programa se estima el aplastamiento mediante el ajuste de una elipse a la forma del arco externo de manera interactiva (Figura 3). El usuario del programa puede obtener además el acortamiento total, el acortamiento por flexión, y parámetros importantes como espesor de la capa, longitud de flanco, inclinación del flanco, y ángulo interflanco.
El código está escrito en el lenguaje de programación BASIC y se utilizó en compilador Visual BASIC 6.0 para generar archivos ejecutables. El sistema operativo donde corren los ejecutables es Windows y cuentan con una ayuda para que el usuario aprenda a usarlo.
APLICACIÓN EN PLIEGUES TIPO CHEVRON DEL CINTURÓN DE PLIEGUES Y CABALGADURAS MEXICANO
El Cinturón de Pliegues y Cabalgaduras Mexicano (CPCM) es un rasgo orográfico, formado por un macizo montañoso, angosto y alargado, situado en el oriente de México, tiene cumbres que sobrepasan los 3000 m sobre el nivel del mar, descienden de altura hacia el poniente y pasan a un extenso altiplano situado en el centro de México (Eguiluz et al., 2000). Es una continuación de la cadena montañosa que va desde las Montañas Rocosas canadienses y se extiende hasta la Sierra Madre Oriental en México (Figura 4). El CPCM, está formado por una secuencia deformada de rocas mesozoicas, que fueron comprimidas, levantadas y trasportadas hacia el noreste durante el Cretácico TardíoPaleógeno (Campa-Uranga, 1983; Suter, 1987; Carrillo-Martínez, 1990; 2000; Eguiluz et al., 2000; Fitz-Díaz et al., 2012; 2018).
Para probar la confiabilidad del método propuesto se tomaron algunos ejemplos de pliegues mesoscópicos tipo chevron observados en una sección (Vizarrón-Tamazunchale: Estados de Querétaro, Hidalgo y San Luís Potosí) dentro del CPCM (Figura 4). En esta sección afloran pliegues chevron aplastados y no aplastados (Figura 5) dentro de la Formación Tamaulipas (Albaino-Cenomaniano). Esta formación está constituida por una alternancia de estratos de calizas y lutitas (capas competentes e incompetentes). En la sección estudiada, la Formación Tamaulipas está presente en las cuencas: Zimapán y Tampico-Misantla (Figura 4).

Se utilizó el programa ChevronASv1 en fotografías de pliegues chevron aplastados y se pudo estimar el acortamiento por aplastamiento de dichos pliegues en las cuencas de Zimapán y Tampico-Misantla (Figura 6). Además, se obtuvieron otros parámetros presentados en el programa como: espesor de la capa, longitud de flanco y ángulo interflanco.
Los valores de acortamiento obtenidos en las dos cuencas estudia- das muestran que los pliegues de la cuenca de Zimapán están afectados por aplastamiento; esto se puede observar en la Figura 6a, donde se presentan estimaciones de acortamiento por aplastamiento en dicha cuenca. Nuestras determinaciones muestran que el acortamiento total es más o menos constante en esta cuenca con un valor de ~ 55%. Por otro lado, en la Cuenca Tampico-Misantla, nuestras observaciones sugieren un gradiente en la deformación de la cuenca hacia el ENE. Los pliegues que están cerca de la frontera con la plataforma Valles- San Luis Potosí (al SW de la cuenca) son afectados por aplastamiento, mientras que los pliegues de la parte ENE carecen de esta etapa de deformación (Figura 6b).
Especial atención merecen los datos de las gráficas de acortamiento debido a flexión y el ángulo interflanco antes del aplastamiento en la cuenca de Zimapán (Figura 6a y 6c). Estos muestran una característica importante mencionada muchas veces en la teoría de formación de estos pliegues tipo chevron: el ángulo de bloqueo. En las gráficas se observa que, al eliminar la componente de acortamiento por aplastamiento, todos los pliegues regresan a un mismo umbral entre el acortamiento por flexión y el inicio del crecimiento cinemático (Figura 6a). Estos resultados de acortamiento son consistentes con la teoría publicada en la literatura, y demuestran que nuestro método es robusto y estable.

DISCUSIÓN Y CONCLUSIONES
Las teorías cinemáticas de formación de pliegues tipo chevron, proponen una evolución de dichos pliegues en el que existe un ángulo de bloqueo (ángulo interflanco de 60°), donde termina la flexión e inicia el crecimiento cinemático de los pliegues (aplastamiento) (Ramsay, 1974).
De Sittter (1958) es el primero que propone que existe un ángulo de bloqueo en el desarrollo normal de los pliegues chevron. Más tarde Ramsay (1967, 1974) en su modelo geométrico de los pliegues chevron también menciona dicho ángulo. En este umbral el pliegue ya no puede acomodar más deformación a través de cizalla capa a capa (mecanismo de deslizamiento flexural) e inicia un proceso de deformación homogénea por aplastamiento. Evidencia de ello son los flancos atenuados y la charnela engrosada en un pliegue chevron (Ramsay, 1974; Bastida et al., 2007).
Otros autores han observado en modelos analógicos que los pliegues presentan un cambio significativo en la tasa de deformación y en el patrón de la dirección de esfuerzos al interior de la capa competente del pliegue al llegar al ángulo de bloqueo (Chapple, 1969). En los experimentos hechos por Fowler y Winsor (1996) se observa una tendencia hacia un límite en el ángulo de inclinación de las capas en aproximadamente 60° durante la evolución de pliegues caja a chevron mientras se aumenta la deformación por flexión. Sumado a lo anterior, en el trabajo de Bastida et al. (2007) se presenta la evolución de los pliegues chevron, donde se propone un ángulo de bloqueo entre los 65° y 70°. Dicho ángulo marca el límite entre la secuencia de mecanismos de deformación por flexión (deformación tangencial longitudinal y deslizamiento flexural) y el aplastamiento.
Tomando en cuenta lo anterior es evidente, teóricamente hablando, que existe el ángulo de bloqueo y que, además, la deformación por flexión no puede estar presente en todo el desarrollo del pliegue, debe existir por lo tanto otro mecanismo que actúe en etapas tardías de la evolución natural de un pliegue chevron (Ramsay, 1967; Hudleston, 1973).
El aplastamiento es un mecanismo de deformación homogénea, que da lugar a modificaciones importantes en pliegues preexistentes como los pliegues tipo chevron. La estimación del aplastamiento en pliegues paralelos ha sido abordada por algunos autores; se pueden mencionar los trabajos de Ramsay (1967) y Lisle (1992), en los que se estima el acortamiento por aplastamiento a través de la variación del espesor de la capa competente con respecto al ángulo de inclinación del flanco. Métodos similares han sido propuestos por Hudleston (1973), Gray y Duney (1979) y Bastida (1981). También existen otros métodos, en los cuales se hace uso de herramientas gráficas para hacer la estimación de aplastamiento, como el de Srivastava y Shah (2006 y 2008). Así mismo, Aller et al. (2008) usan una metodología más analítica para estimar el acortamiento total en pliegues paralelos aplastados. Nuestro método es una herramienta más para estimar el acortamiento por aplastamiento en los pliegues tipo chevron, aunque adicionalmente se obtiene información valiosa que los otros métodos no proporcionan como la deformación total y por flexión, así como algunas características geométricas importantes de los pliegues antes del aplastamiento (ángulo entre flancos, espesor de la capa competente, longitud del flanco).
Los resultados obtenidos al aplicar el método propuesto en este trabajo son consistentes con la existencia de un ángulo de bloqueo propuesto teóricamente (Figura 6c). Al realizar la retro-deformación a los pliegues observados en el en la cuenca de Zimapán, estos regresaron a un estado de distorsión común sin importar que tan aplastados están los pliegues en su configuración final. En todos los casos, la deformación cinemática inicia en un ángulo interflanco entre los 65° y 70°, lo cual es congruente con la teoría de formación de los pliegues chevron.
Los datos de acortamiento total en los distintos pliegues naturales del Cinturón de Pliegues y Cabalgaduras Mexicano demuestran que la evolución geométrica de los pliegues chevron propuesta por Ramsay (1974) para la etapa de flexión es correcta. Así mismo, los resultados confirman un valor preferencial de 1/10 para la relación espesor de la capa competente/ longitud del flanco (Figura 7). La evolución de los pliegues chevron observada pone en evidencia dos etapas en el desarrollo de los pliegues. Por un lado, se tiene la deformación por flexión, en donde los datos coinciden totalmente con la curva de desarrollo de pliegues chevron propuesta por Ramsay (1967, 1974), sin embargo, al llegar a un ángulo de inclinación de los flancos entre 55° a 60° (ángulo de bloqueo), los datos de la curva se desvían (Figura 7). Los datos que se desvían de la curva teórica corresponden a los pliegues chevron aplastados observados en la cuenca de Zimapán (Vásquez-Serrano, 2010; Fitz-Díaz et al., 2012).

Esto concuerda totalmente con las consideraciones teóricas obtenidas en el pasado a través de modelos geométricos-cinemáticos, observaciones de campo y por modelación analógica. La metodología propuesta en este trabajo es una alternativa viable para la estimación de acortamiento de pliegues chevron que han sufrido una deformación homogénea post flexión.
Agradecimientos
Agradezco a la Universidad Nacional Autónoma de México y al Proyecto PAPIIT 1210063 a cargo del Dr. Tolson, por su apoyo para la realización de mi tesis de licenciatura de donde se extrajo este artículo. Así mismo, agradezco a la Benemérita Universidad Autónoma de Puebla por mi formación durante mi licenciatura. También agradezco las correcciones de los revisores (Dr. Pablo Torres Carbonell y Dr. Juan Contreras Pérez), las cuales contribuyeron en gran medida en el mejoramiento del manuscrito.
REFERENCIAS
Aller, J., Bobillo-Ares, N.C., Bastida, F., Lisle, R.J., 2008, Total bulk strain in flattened parallel folds: Journal of Structural Geology, 30(7), 827-838.
Bastida, F., 1981, Medida de la deformación a partir de pliegues paralelos aplastados: Trabajos de Geología, Universidad de Oviedo, 11, 15-33.
Bastida, F., Aller, J., Toimil, N.C., Lisle, R.J., Bobillo-Ares, N.C., 2007, Some considerations on the kinematics of chevron folds: Journal of Structural Geology, 29(7), 1185-1200.
Biot, 1961, Theory of folding of stratified visco-elastic media and its implications in tectonics and orogenesis: Geological Society of America Bulletin, 75, 563-568.
Campa-Uranga, M.F., 1983, The tectonostratigraphic terranes and the thrust belt in Mexican territory: Stanford University Publications in Geological Sciences 18, 44-46.
Chapple, W.M., 1969, Fold shape and rheology. The folding of the isolated viscous-plastic layer: Tectonophysics, 7, 97-116.
Carrillo-Martínez, M., 2000, Hoja Zimapán 14Q-e(7). Carta Geológica de México, serie de 1:100,000: Instituto de Geología, Universidad Nacional Autónoma de México, 32 pp.
Carrillo-Martínez, M., 1990, Geometría estructural de la Sierra Madre Oriental entre Peñamiller y Jalpan, estado de Querétaro, en Convención Geológica Nacional, 6: México D.F., Sociedad Geológica Mexicana, Libro-guía de la excursión geológica a la región de Zimapán y áreas circundantes, estados de Hidalgo y Querétaro, 1-20.
De Sitter, L.U., 1958, Structural Geology: New York, McGraw-Hill, 551 pp.
Eguiluz, S.E., Aranda-García, M., Marrett, R., 2000, Tectónica de la Sierra Madre Oriental, México: Boletín de la Sociedad Geológica Mexicana, 53, 1-26. Hudleston, P.J., Treagus, S.H., 2010, Information from folds: a review: Journal of Structural Geology, 32(12), 2042-2071.
Hudleston, P.J., 1973, Fold morphology and some geometrical implications of theories of fold development: Tectonophysics 16, 1-46.
Fitz-Díaz, E., Tolson, G., Hudleston, P., Bolaños-Rodríguez, D., Ortega-Flores, B., Vásquez-Serrano, A., 2012, The role of folding in the development of the Mexican fold-and-thrust belt: Geosphere, 8(4), 931-949.
Fitz-Díaz, E., Lawton, T.F., Juárez-Arriaga, E., Chávez-Cabello, G., 2018, The Cretaceous-Paleogene Mexican orogen: Structure, basin development, magmatism and tectonics: Earth-Science Reviews, 183, 56-84.
Fowler, T.J., Winsor, C.N., 1996, Evolution of chevron folds by profile shape changes: comparison between multilayer deformation experiments and folds of the Bendigo-Castlemaine goldfields, Australia: Tectonophysics 258, 125-150.
Gray, D.R., Duney, D.W., 1979, Investigations on the mechanical significance of crenulation cleavage. Tectonophisics, 58, 35-79.
Lisle, R.J., 1992, Strain estimation from flattened buckle folds. Journal of Structural Geology, 14(3), 369-371.
Schmalholz, S.M., 2006, Scaled amplification equation: A key to the folding history of buckled viscous single-layers: Tectonophysics 419, 41-53.
Suter, M., 1987, Structural traverse across the Sierra Madre Oriental fold-thrush belt en east-central México: Geological Society of America Bulletin, 98, p. 246-264.
Srivastava, D.C., Shah, J., 2006, A rapid method for strain estimation from flattened parallel folds: Journal of Structural Geology 28, 1-6.
Srivastava, D.C., Shah, J., 2008, The ‘‘isogon rosette’’ method for rapid estimation of strain in flattened folds: Journal of Structural Geology 30, 444-450.
Suter, M., 1987, Structural traverse across the Sierra Madre Oriental fold- and-thrust belt in east-central Mexico: Geological Society of America Bulletin, 98, 249-264.
Ramsay, J.G., 1967, Folding and Fracturing of Rocks: McGraw-Hill, New York, 568 pp.
Ramsay, J.G., 1974, Development of chevron folds: Bulletin of the Geological Society of America, 85, 1741-1754.
Vásquez-Serrano A., 2010, Estimación de acortamiento a través del análisis de pliegues tipo chevron en la sección Vizarrón-Tamazunchale: Estados de Querétaro, Hidalgo y San Luis Potosí: Puebla, Pue., Benemérita Universidad Autónoma de Puebla, Tesis de Licenciatura,105 pp.
ANEXOS
ANEXO A. Transformación de un círculo unitario en una elipse (Ramsay, 1967). (Cambio en la longitud de las líneas).
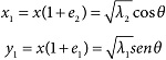
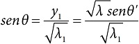
Después de la aplicación de una deformación finita, la longitud de las líneas que van desde el centro del círculo hasta cualquier punto de su perímetro, es alterada por una cantidad: (1+e) o . Si se toma una de estas líneas, que vaya desde el centro O hasta un punto P(x, y), tenemos que (Figura 2):
(3)Donde:
(4)
(5)Por lo tanto:
(6)Esta ecuación expresa la extensión cuadrática de la línea tomando como referencia el ángulo θ en un estado no deformado. Sin embargo, en este estado es difícil conocer θ, por lo que es conveniente expresar λ en términos de θ', como se muestra a continuación. Si despejamos cosθ y senθ de las ecuaciones 4 y 5 tenemos que:
(7)
(8)Y tomando la identidad trigonométrica: sen2θ+cos2θ = 1 , se obtiene lo siguiente:

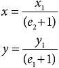
Si hacemos que:

Entonces definimos el reciproco de la extensión cuadrática λ’ como:
(9)La expresión anterior nos da la longitud de la línea en el estado deformado a partir del punto (P(x1, y1) al centro de la elipse (Figura 2). Aunque para nuestro caso lo que nos interesa es la longitud del eje principal en la dirección x, que es el de acortamiento por aplastamiento (e2+1)A, para ello hacemos:
(10)Si para el eje principal el ángulo θ = 0. Entonces:
(11)Quitando el reciproco, nos queda:
(12)ANEXO B. Procedimiento para calcular el acortamiento total y por flexión
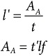
Tomando como base algunas relaciones del Anexo A, realizaremos algunas operaciones para encontrar los siguientes parámetros: espesor de la capa, inclinación de flancoy longitud de flanco antes del aplastamiento; que nos permitan estimar el acortamiento debido a flexión (e2 + 1)B. Partimos de la ecuación que describe al círculo:
(13)Como se necesita encontrar el punto P(x,y), donde inicia la línea del flanco en el arco externo del pliegue (Figura 2), entonces se toman las siguientes relaciones:

Para encontrar el punto P(x,y), despejamos “x” y “y”:

Una vez conociendo el punto P(x, y), se puede obtener el radio del círculo buscado: (El radio (r) es igual al espesor de la capa (t) antes del aplastamiento).
(25)Para el caso de la inclinación del flanco (α), tomamos en principio la relación siguiente:
(14)Como podemos ver en la Figura 2, el ángulo de inclinación del flanco (α) es perpendicular a θ, por lo que realizamos las operaciones pertinentes para encontrar α, como se ilustra a continuación:
(15)

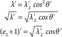
Para el caso de la longitud de flanco recto (l’), hacemos la consideración de que no existe cambio de área durante la deformación (λ1*λ2 = 1), por lo que el área que se marca en una corte transversal en el flanco permanece constante antes y después del aplastamiento (Figura 2).
(16)Donde AB es el área del flanco en el pliegue no aplastado y AA es el área del flanco en el pliegue aplastado. Partiendo de estas consideraciones, se tiene entonces que la longitud del flanco antes del aplastamiento es:

En la expresión anterior t’ y lf son el espesor de la capa y la longitud del flanco en el pliegue aplastado. Una vez encontrado los parámetros: α, t y l'; se pude calcular el acortamiento debido a flexión utilizando la ecuación propuesta por Ramsay (1974).
(17)Donde:

Para el acortamiento total (e2+1)T, se hace la siguiente operación, tomada de Bastida (1981), teniendo en cuenta las ecuaciones 12 y 17:
(18)ARCHIVOS COMPLEMENTARIOS
Programa ChevronAS1 (ejecutable), manual de usuario y fotografía de pliegue chevron. Disponibles en la página web de la Revista (www. rmcg.unam.mx), dentro de la tabla de contenido de este número.