Resumen: Este artículo presenta el diseño y la evaluación del rendimiento de una red inalámbrica de banda ancha en la provincia de Huaytará, para la conectividad a internet. Es una investigación aplicada y experimental en la que se evaluaron los parámetros de rendimiento de la red. La variable dependiente es la capacidad de la celda WLAN y los parámetros de QoS; y las variables independientes son la cobertura y la densidad de la red WLAN. Se puede afirmar que para radios de hasta 8 m, la tasa de datos del cliente experimental es superior a la tasa de datos del cliente control, y para radios mayores a 15 m, las tasas de datos del cliente experimental y control no son diferentes. En cuanto a los parámetros de QoS, son favorables para las aplicaciones multimedia. La red implementada con tecnología TDM-E1/Ethernet e IEEE 802.11n tiene una capacidad máxima por celda de 32.5 Mbps en la banda de 2.4G y de 65 Mbps en la banda de 5.8G, en el que se consideraron parámetros de operación mínimo de los dispositivos inalámbricos. Los usuarios tienen una tasa de datos en campo de 15.2 Mbps para un radio máximo de 8 metros con hasta 7 usuarios inalámbricos conectados en la celda, en 2.4 Ghz.
Palabras clave:Red de transporteRed de transporte, red de acceso red de acceso, planificación de la red WLAN planificación de la red WLAN.
Abstract: It consists of designing and evaluating the performance of a wireless broadband network in the province of Huaytará, for internet connectivity. It is an applied and experimental investigation where the performance parameters of the network were evaluated. The dependent variable is the capacity of the WLAN cell and the QoS parameters; and as independent variables the coverage and density of the WLAN network. It can be said that for radios up to 8 meters, the experimental client's data rate is higher than the control client's data rate, and for radios greater than 15 meters, the experimental and control client's data rates are no different. As for the QoS parameters, they are favorable for multimedia applications. The network implemented with TDM-E1 / Ethernet and IEEE 802.11n technology has a maximum capacity per cell of 32.5 Mbps in the 2.4G band and 65 Mbps in the 5.8G band, considering minimum operating parameters of the wireless devices. Users have a 15.2 Mbps field data rate for a maximum radius of 8 meters with up to 7 wireless users connected in the cell, at 2.4 GHz.
Keywords: Transport Network, Access Network, WLAN Network Planning.
Informática, TIC
Evaluación de una red inalámbrica de banda ancha para VoIP
Evaluation of a Wireless Broadband Network for VoIP

Recepción: 12 Septiembre 2019
Aprobación: 20 Noviembre 2019
El propósito de este proyecto de investigación es diseñar, planificar y evaluar la red inalámbrica de banda ancha utilizando el estándar TDM-E1 y la IEEE 802.11n en doble banda de operación en 2.4G y 5.8G, para proporcionar, entre otros servicios, la conectividad a internet y el servicio de telefonía IP a los clientes inalámbricos.
El INEI (2017), sobre el perfil sociodemográfico de la región de Huancavelica, establece que la provincia de Huaytará tiene una población total de 23 025 habitantes. El distrito de Huaytará tiene 2 094 habitantes; Ayaví, 593 habitantes; Pilpichaca, 3 740 habitantes, y Tambo, 311 habitantes. Sobre el perfil sociodemográfico de la región de Huancavelica, establece que el distrito de Huaytará tiene una población urbana de 818 habitantes y una población rural de 1 431 habitantes; Ayaví, 206 habitantes urbanos y 611 rurales; Pilpichaca, 673 habitantes urbanos y 3 070 rurales, y Tambo, 306 habitantes urbanos y 215 rurales.
Paredes y Cayo (2013), refiriéndose a la falta de conectividad en telecomunicaciones en la región de Huancavelica, expresan que la telefonía fija y el uso de internet se encuentran significativamente por debajo del promedio nacional y está desligada de las tecnologías de la información y comunicación (TIC).
Existe una gran demanda insatisfecha o no atendida en las zonas urbanas de la provincia de Huaytará (distritos de Pilpichaca, Huaytará, Ayaví y Tambo). Muchas instituciones educativas, centros de salud, comisarías, instituciones del gobierno, entre otros, no cuentan actualmente con un sistema de información y comunicación, como el servicio de telefonía y el acceso a internet de banda ancha, por lo tanto, ven limitadas sus posibilidades de desarrollo educativo, comercial, profesional, cultural y demás.
En este contexto, se ha llevado a cabo el estudio y diseño de una red inalámbrica de banda ancha para interconectar los distritos de Pilpichaca, Huaytará, Ayaví y Tambo con la finalidad de que tengan acceso a internet y a la telefonía IP, principalmente las instituciones educativas, centros de salud, puestos policiales y comunidades campesinas. No obstante, se tendría que evaluar las tecnologías de comunicación inalámbrica de gran performance para la red de transporte (WMAN) para interconexión de los distritos, y de la red de acceso (WLAN) para la conectividad de los usuarios de un determinado distrito.
Una red WLAN es un sistema de datos inalámbricos flexibles cuyas estaciones inalámbricas generan señales que viajan en forma de ondas electromagnéticas a la velocidad de la luz, las cuales sufren pérdidas de trayectoria en el espacio libre (Forero, Moreno y Sierra, 2011).El problema general formulado es: ¿Cuál es el diseño de la red inalámbrica de banda ancha para el desarrollo de aplicaciones de VoIP en los distritos de Pilpichaca, Huaytará, Ayaví y Tambo de la provincia de Huaytará?
Los problemas específicos formulados son: ¿Cuáles son los requisitos de diseño, las tecnologías de redes inalámbricas, el diseño de la red de transporte, el diseño de la red de acceso y el rendimiento de la red inalámbrica de banda ancha para el desarrollo de aplicaciones de VoIP en los distritos de Pilpichaca, Huaytará, Ayaví y Tambo de la provincia de Huaytará?
Para Gómez, Maimó y Merideño (2010), las redes WLAN son extensiones de las redes cableadas mediante la tecnología de radiofrecuencia que permiten la movilidad de los usuarios. Actualmente, las versiones del estándar IEEE 802.11 que soportan gran velocidad son conocidas como el 802.11n y el 802.11ac. Son redes de rápida instalación, movilidad y de gran accesibilidad. Por ello, estas redes son fundamentales para desarrollar la tecnología IP por el servicio masivo y velocidad de transmisión de datos (Carbajo, 2019).
Alcívar (2014) contribuyó con una metodología para el diseño, modelación y simulación del radioenlace de banda ancha con el estándar IEEE 802.16e entre la Universidad Técnica de Manabí y la extensión universitaria de Bahía de Caráquez. Por su lado, Briones (2015) expresó que el tiempo de retardo de un punto de acceso depende de la cantidad de carga de tráfico que tiene, y para disminuir este retardo es necesario limitar el número de estaciones de trabajo conectadas al punto de acceso para garantizar una excelente calidad de servicio.
Taveras, González, Guillen, Romero y Frías (2013) diseñaron la estructura de la red wifi de la Universidad Católica Nordestana utilizando el estándar 802.11n en la banda de 2.4G y 5G, con lo cual se obtuvieron beneficios de accesibilidad y elevadas velocidades de conexión inalámbrica. Monteza y Sandoval (2018) diseñaron una red de banda ancha inalámbrica para mejorar la cobertura de acceso a las redes y servicios de telecomunicaciones en los centros poblados de Chota. Con la demanda estimada, se determinó el diseño de una red de transporte inalámbrico con tecnología 802.11n, que interconecta la capital de distrito de Chota con los centros poblados. En cada centro poblado se diseñó la red de acceso de alta velocidad con tecnología 802.11n para cubrir la demanda de estos. La evaluación de la implementación del diseño de una red de banda ancha demuestra que la tasa de datos efectiva por usuario es de 2Mbps en los centros poblados del distrito de Chota.
Hernández (2007) hizo un estudio de la tecnología 802.11n, en el que detalló las modificaciones realizadas en la capa MAC y Física respecto de las tecnologías legadas. Así mismo, muestra los resultados como solución de acceso en redes de área local y como solución de enlaces punto a punto y punto multipunto de banda ancha en zonas no urbanas.
Agapito y Peralta (2017) diseñaron una red de banda ancha inalámbrica para mejorar el acceso a las redes y servicios de telecomunicaciones en los centros poblados de Pimentel. Con la demanda de potenciales usuarios, se determinó el diseño de una red inalámbrica de banda ancha con tecnología WiMax 802.16, para interconectar los centros poblados del distrito de Pimentel, y se obtuvo una tasa de datos efectiva por usuario de 2Mbps en los centros poblados del distrito de Pimentel.
Barrenechea (2011) diseñó una red LAN inalámbrica para una empresa de Lima, en el que estudió las principales tecnologías y estándares en las comunicaciones inalámbricas como es el IEEE 802.11 en sus especificaciones 802.11a, 802.11b y 802.11g.
Martínez y Sevilla (2017) hicieron el diseño de una red de banda ancha inalámbrica para mejorar el acceso a las redes y servicios de telecomunicaciones en los centros poblados del distrito de Lambayeque. Con la demanda de usuarios inalámbricos calculada se determinó el diseño de una red inalámbrica de banda ancha con tecnología WiMax 802.16, para interconectar los centros poblados del distrito de Lambayeque, y se consiguió una tasa de datos efectiva por usuario de 512 kbps en los centros poblados del distrito de Pimentel.
Riquelme (2015) expresó que tras la simulación de un modelo de red inalámbrica con tecnología WiMax 802.16j para entornos rurales, se analizó su desempeño y se obtuvo mayor cobertura para conectar a mayores usuarios inalámbricos debido a las estaciones repetidoras, sin embargo, dijo que a mayor número de saltos, se incrementa la latencia de la red y tasa de perdida de paquetes.
Sin embargo, con el masivo uso del internet, la telefonía IP se ha desarrollado, y se han creado nuevos servicios como Skype, Facebook y WhatsApp, entre otras aplicaciones, que tienen soporte de comunicación a través de la voz, lo que genera reducción de costos (Estrada, Calva, Rodríguez y Tipantuña, 2016).
Los datos necesarios para calcular un radioenlace en una celda son la banda de radio de operación: F; distancia del radioenlace: D; potencia del emisor: P(Tx); pérdida en los cables: Pcab(Tx), Pcab(Rx); ganancia de antenas: Ga(Tx), Ga(Rx), y sensibilidad del receptor: S(Rx) (Vela, 2015):
La redes WLAN de alto desempeño utilizan los estándares 802.11 n/ac que son compatibles con los estándares legados (b/g), pero mejoran significativamente la tasa de datos efectiva del cliente inalámbrico por encima de los 600 Mbps, gracias a la incorporación de la tecnología MIMO (Ubiquiti Networks, 2017).
El retardo de extremo a extremo, variabilidad del retardo y la tasa de perdida de paquetes de datos son los tres parámetros de QoS en redes WLAN más importantes que afectan las características de claridad y fidelidad, y, por lo tanto, impactan en la calidad de servicio de la telefonía IP (Zhai, Wang y Fang, 2006).
Las etapas de desarrollo que se requiere para una red WLAN de banda ancha son la planificación, el despliegue, la configuración, el monitoreo y la evaluación del rendimiento de la red inalámbrica (Gómez, 2006). Durante la planificación de la red inalámbrica de banda ancha, se debe estimar la cobertura, la capacidad y la densidad de la red inalámbrica. (Ubiquiti Networks, 2017).
Para determinar la tasa de datos efectiva de un dispositivo inalámbrico en una red WLAN, se procede así (Ubiquiti Networks, 2017):
Para calcular la cantidad de puntos de acceso requeridos para dar servicio a un número de usuarios con base en sus requisitos de datos, se procede de la siguiente forma (Ubiquiti Networks, 2017):
El despliegue de la red inalámbrica de banda ancha se refiere a los estudios de campo previos, el cálculo de la superposición, montaje de los AP’s y el cableado WLAN (Cabezas y Gonzales, 2010).
La configuración de la red inalámbrica de banda ancha pasa por la administración de los switches, routers y puntos de acceso mediante un software controlador que ayude a las tareas de configuración y despliegue de estos. El controlador debe soportar multisites, esquemas de adopción rápida y grupos de redes WLAN personalizables (Murillo, 2015).
El monitoreo de la red inalámbrica de banda ancha debe ser soportado por el software controlador para monitorear las estadísticas de la red de acceso WLAN, el soporte del protocolo SNMP y configuración de alertas. Se requiere de las estadísticas de clientes, dispositivos y tráfico cursado por la red inalámbrica para conocer el rendimiento de los AP. El protocolo SNMP es necesario para enviar las estadísticas y otros datos de la red a un sistema de administración de red (NMS) fuera de las instalaciones de monitoreo. El controlador debe mostrar los eventos a medida que ocurren en tiempo real en la red de acceso WLAN y enviar alertas a través del protocolo SMTP (Figueroa, 2008).
La evaluación de la red inalámbrica de banda ancha sirve para medir la capacidad de la red WLAN tanto los parámetros de rendimiento (tasa de datos) como los parámetros de calidad de servicio (retardo, Jitter y TPP) de la red inalámbrica, cuando se está cursando tráfico multimedia en tiempo real como la telefonía IP (Ubiquiti Networks, 2017).
En este estudio de investigación se emplea un diseño experimental para la red inalámbrica de banda ancha, con posprueba y grupo de control, debido a que se manipula la variable independiente para ver los efectos de la variable dependiente (Hernández-Sampieri y Mendoza, 2018):
RG1 X1, X2 O1
RG2 -- O2
Si O1 ≠ O2, se acepta la hipótesis alterna.
Si O1 = O2, se acepta la hipótesis nula.
Donde:
RG1 = celda experimental al azar;
RG2 = celda de control al azar;
X1, X2 = cobertura y densidad de red WLAN, son condiciones en la celda;
O1 = rendimiento en la celda experimental, y
O2 = rendimiento en la celda de control.
Para el diseño de la red de acceso inalámbrico de banda ancha, se empleó la metodología siguiente: la planificación, el despliegue, la configuración, el monitoreo y la evaluación de la red WLAN. Para el diseño de la red de transporte inalámbrico de banda ancha, se utilizó la metodología, mostrada en la Figura 1, para determinar el margen de desvanecimiento (MD) de los radioenlaces a partir de los datos tomados en campo como coordenadas geográficas de los nodos, distancia entre los nodos, frecuencia de operación de los equipos, potencia de transmisión de los equipos inalámbricos, entre otros.

Procedimiento para el diseño de la red de transporte
La variable dependiente es la capacidad de la red inalámbrica. Las variables independientes son la cobertura y la densidad de la red inalámbrica.
La capacidad de la red inalámbrica consta de dos dimensiones: los parámetros de rendimiento de la red y los parámetros de QoS de la red, y cuatro indicadores: la tasa de datos efectiva del cliente inalámbrico (en Mbps), que define la calidad del enlace inalámbrico, el retardo de extremo a extremo de red (en ms), la variabilidad del retardo (en ms) y la tasa de pérdida de paquetes (% TPP).
La cobertura de la red inalámbrica consta de una dimensión: distancia del usuario en la red inalámbrica, y dos indicadores: la señal inalámbrica recibida y la relación S/R.La densidad de la red inalámbrica consta de una dimensión: cantidad de usuarios en la red inalámbrica, y dos indicadores: número de clientes inalámbricos en la banda de 2.4G y número de clientes en la banda 5G. Todas estas variables fueron medidas en campo mediante la prueba experimental durante la actividad de tráfico multimedia en la red inalámbrica.
La población está constituida por los usuarios inalámbricos que pertenecen al municipio local, comisaría, puesto de salud, colegio de las capitales de distrito de Huaytará, Ayaví, Tambo y Pilpichaca de la provincia de Huaytará (Eschenhagen, Vélez-Cuartas, Maldonado y Guerrero, 2018), que tienen un dispositivo inalámbrico en 2.4G y 5.8G conectados a la red de acceso inalámbrica de banda ancha y que están pasando tráfico de datos activamente en la red. Para las pruebas de campo, se tomó como muestra la red inalámbrica de banda ancha de las capitales de los distritos de Tambo y Ayaví.
En la investigación se utilizó la prueba experimental como técnica de recolección de datos; y como instrumentos, el software controlador de Unifi de administración de la red inalámbrica para configurar los indicadores relacionados con las dimensiones de las variables independientes. También se utilizó el software evaluador del rendimiento de la red inalámbrica Jperf para medir los indicadores relacionados con las dimensiones de la variable dependiente.
En cuanto al procedimiento de recolección de datos en campo, se seleccionaron dos usuarios inalámbricos, en forma aleatoria de la muestra, ubicados en distritos diferentes que deben ejecutar el Jperf; ambos usuarios ejecutan las pruebas para generar los datos de rendimiento en campo (Ander-Egg, 2011). el procedimiento consiste en hacer 3 tipos de pruebas:
1° Pruebas TCP, entre el cliente y servidor inalámbrico para medir la tasa de datos real en la dirección del cliente al servidor;
2° Pruebas UDP para medir los parámetros de QoS (variabilidad del retardo, tasa de pérdida de paquetes - % TPP) entre el cliente y servidor, y
3° Pruebas de conectividad, para medir el retardo e extremo a extremo de la red.
Los datos generados en campo se registrarán en una tabla de datos en Excel con el formato siguiente: número de prueba, número de usuarios inalámbricos, distancia del punto de acceso, tasa de datos real, retardo, variabilidad, % TPP, transferencia y % señal recibida.
Resultados del diseño de la red de transporte de banda ancha
La solución técnica de la red de transporte consiste en una plataforma de comunicación de banda ancha de alta velocidad sobre un backhaul inalámbrico, formado por estaciones radioeléctricas que operen en la banda de 2.4 Ghz no licenciada con una topología tipo árbol mostrada en la Figura 2, y que utilicen la tecnología inalámbrica TDM-E1/Ethernet, lo cual permitirá interconectar las capitales de distrito de la provincia de Huaytará, y proveer el acceso a internet para brindar los servicios de voz y datos a las diferentes instituciones del Estado.

La solución técnica de la red de transporte de banda ancha
La ingeniería de la red de transporte está conformada por los componentes y detalles de implementación de la estación principal de Huaytará, y de las estaciones secundarias de Ayaví, Tambo y Pilpichaca. La estación principal de Huaytará está formada por la red Core y por la estación inalámbrica de banda ancha de Huaytará. La red Core está conformada por dispositivos de conmutación, enrutamiento, protección de red, gestión y seguridad de la red inalámbrica. La estación inalámbrica de Huaytará está constituida por el equipo de transmisión inalámbrica de banda ancha punto a punto Winlink1000 categoría operador (enlaces E1s, T1s y Ethernet) de gran capacidad hasta 54 Mbps, la antena de microondas, torre de comunicación, sistema de pararrayos y otros detalles de implementación.
La estación secundaria de Ayaví, Tambo y Pilpichaca está conformada por la red de datos y por la estación inalámbrica de banda ancha correspondiente. La red de datos está formada por dispositivos de conmutación y las estaciones inalámbricas están constituidas por los mismos componentes de la estación inalámbrica de Huaytará.
El cálculo de los perfiles de los radioenlaces de la red de transporte se ha hecho con el aplicativo RadioMobile, y se obtuvo una línea de vista y un margen de desvanecimiento favorable mayor a 24 en todos los radioenlaces, que garantizan una disponibilidad del servicio del 99.9 %. Se muestra el cálculo del perfil del radioenlace Huaytará (repetidor 1) en la Tabla 1.

Calculo del radioenlace: Huaytará (repetidor 1)
Resultados del diseño de la red de acceso de banda ancha
Se implementó una red de acceso inalámbrico piloto de banda ancha para interconectar y hacer las pruebas de campo entre los colegios de educación primaria de los distritos de Ayaví y Tambo. La implementación consta de 2 partes: diseño del enlace punto a punto entre la estación base municipio con las estaciones clientes –comisaría, colegio, puesto de salud– , y el diseño de la red WLAN de las estaciones base y clientes.
Para el diseño del enlace punto a punto en ambos distritos, para la interconexión de la estación base Municipio Santa Rosa de Tambo con la estación cliente colegio primario I.E 22048 Santa Rosa de Tambo, y para la interconexión de la estación base Municipio de Ayaví con la estación cliente IE 22569, se siguió la metodología siguiente: la solución técnica, cálculo del radioenlace y cálculo del capacidad real.
Para el diseño del radioenlace punto a punto se recurrió al uso del aplicativo Google Earth para obtener las coordenadas y distancia del radioenlace que se detallan en las tablas 2 y 3:

Distancia del radioenlace punto a punto: Municipio Tambo (IE 22048)

Distancia del radioenlace punto a punto: Municipio Ayaví (IE 22569)
La solución técnica es un radioenlace punto a punto de alta velocidad a partir del estándar TDMA AirMax-MIMO en la banda de frecuencia de 2.4G.
Se ha utilizado el software RadioMobile para calcular el perfil del radioenlace punto a punto entre la estación base y la estación cliente, mostrada en la Tabla 4. Para verificar la línea de vista entre ambos puntos para interconectar en ambos distritos, se ha asumido una ganancia de antena de 5 dBi, una potencia de transmisión de 17 dBm y una sensibilidad del receptorde -75 dBm en la banda de 2.4G, y se obtuvo un margen de desvanecimiento 20 en ambos distritos, lo que garantiza una disponibilidad de servicio del 99.9 %.

Cálculo del radioenlace: E.B Tambo-E.C (IE 22048)
Para diseñar la red WLAN de las estaciones clientes en Tambo y Ayaví, se procedió a la planificación, despliegue, configuración, monitoreo y evaluación del rendimiento de la red WLAN en ambas estaciones.
En la planificación de la red WLAN se tomaron en cuenta los requerimientos de comunicaciones de los usuarios inalámbricos, la selección de la tecnología inalámbrica, el cálculo de la cobertura, y la capacidad y densidad de la red WLAN. En cuanto a los requerimientos de comunicaciones de los usuarios, se requirió de 2 Mbps de tasa de datos efectiva para las aplicaciones de chat, e-mail y VoIP desde un dispositivo smartphone y tabletas, y de 3 Mbps para las aplicaciones anteriores, más los servicios web, video streaming desde una laptop. Se prefirió el diseño de áreas de cobertura pequeñas con señales fuertes de recepción y una densidad máxima de 15 dispositivos por celda para un alto rendimiento de la red WLAN. Se utilizaron puntos de acceso para redes empresariales que soporten estándares 802.11n en 5 Ghz, y estándares legados (802.11/b/g/n) en 2.4 Ghz, operación MIMO 2x2 y 3x3, con antenas integradas de ganancias mínimas de 4 dBi.
Para el cálculo del área de cobertura se consideró el radio de la celda, un margen de desvanecimiento mínimo de 25 % y señal de recepción del 99 %, y se obtuvo un PIRETx de 3, 5, 6, 7 y 10 dBm en la banda de 2.4G. En la banda de 5G se obtuvo un PIRETx de 9, 11, 12, 14 y 16 dBm, que se muestran en la Figura 3. Esta potencia mínima debe ser configurada en los puntos de acceso con el estándar IEEE 802.11n

PIRETx por celda de cobertura en la estación cliente IE 22048
Para calcular la capacidad en la banda de 2.4G, se consideró el # de dispositivos inalámbricos por celda, % señal de recepción del 99 %, 50 % y 32 %, y se obtuvo una tasa de datos efectiva máxima de 16.25 Mbps y una mínima de 0.65 Mbps, mostrados en la Figura 4. Para señales de recepción del 99 % se obtuvieron las tasa más altas. Cuando las estaciones inalámbricas operan en la banda de 2.4 Ghz, MIMO de 1x1, 802.11n y con 99 % de señal de recepción, se obtuvo una capacidad máxima por celda de 32.50 Mbps.

Tasa de datos efectiva por celda de cobertura en 2.4 G, estación cliente IE 22048
Para el cálculo de la capacidad en la banda de 5.8G, se consideró el # de dispositivos inalámbricos por celda, % señal de recepción del 99 %, 50 % y 32 %, y se obtuvo una tasa de datos efectiva máxima de 32.50 Mbps y una mínima de 1.30 Mbps, mostradas en la Figura 5. Para señales de recepción del 99 % se obtuvieron las tasas más altas. Cuando las estaciones inalámbricas operan en la banda de 5.8 Ghz, MIMO de 2x2, 802.11n y con 99 % de señal de recepción, se obtuvo una capacidad máxima por celda de 65 Mbps.

Tasa de datos efectiva por celda de cobertura en 5.8 G, estación cliente IE 22048
Se hizo el cálculo de la densidad de la red WLAN en banda de 2.4G y en doble banda de RF para estimar la cantidad de puntos de acceso y la cantidad de dispositivos inalámbricos por celda. En la banda de 2.4G, con el estándar 802.11n, MIMO 1x1, canal de 20 MHz e intervalo de guarda largo (L.G.I), y con un requerimiento de 3 Mbps por laptop, se requirió 11 unidades de puntos de acceso en la red WLAN para dar servicio hasta 100 dispositivos inalámbricos con 9 dispositivos por celda. Para la misma densidad de puntos de acceso en la banda de 2.4G, con un requerimiento de 2 Mbps por smartphones o tableta, se dará servicio hasta 140 dispositivos inalámbricos con 12 dispositivos por celda. En doble banda de frecuencia para la misma densidad de puntos de acceso, se dará servicio hasta 200 dispositivos laptops con 18 dispositivos por celda en la banda de 5.8G, con el estándar 802.11n, MIMO 2x2, canal de 20 MHz e L.G.I. Al mismo tiempo, se dará servicio hasta 150 dispositivos smartphones o tabletas con 13 dispositivos por celda en la banda de 2.4G. Esto supone mayor beneficio porque se puede atender a más clientes inalámbricos en celdas más pequeñas.
Durante el despliegue de la red WLAN, se llevó a cabo el estudio de campo, el montaje de los puntos de acceso y el cableado de la red WLAN. En el estudio de campo se hicieron las inspecciones visibles de los planos para determinar el tipo de montaje y el lugar del punto de acceso y las posibles obstrucciones, así como cargar los planos a escala en el software controlador para medir las áreas de cobertura y realizar los ajustes de configuración para una señal del 99 % de recepción. También se hicieron las inspecciones invisibles por medio del análisis espectral, con el software inSSider, para establecer las fuentes de ruido provenientes de la interferencia co-canal, donde se visualiza que la banda 5.8G está más libre de interferencia que la banda de 2.4G. Se obtuvo en campo el piso de ruido promedio de -90 dBm, que sirvió para calcular la cobertura de la red WLAN.
En la configuración de la red WLAN, se adoptaron los puntos de acceso en capa 2, la configuración de los grupos WLAN en el software controlador, así como la configuración de los dispositivos switches y router. En la configuración de los grupos WLAN, se crearon las redes WLAN para docentes, alumnos y administrativos; además, se configuró la seguridad de acceso de los clientes inalámbricos, el balance de carga, el soporte de dispositivos legados (802.1b/g) y la densidad calculada de dispositivos inalámbricos por punto de acceso en la banda de 2.4G y en doble banda de frecuencia (2.4 G y 5.8 G).
En la Figura 6, se muestra el escenario de evaluación del rendimiento de la red inalámbrica de banda ancha para interconectar la estación cliente IE 22048 (distrito de Tambo) con la estación cliente IE 22569 (distrito de Ayaví).

Escenario de evaluación de la red inalámbrica de banda ancha
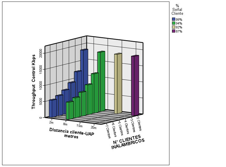
La tasa de datos teórico de la celda de control, la tasa de datos medida en campo de la celda experimental y la diferencia de tasas se muestran en las figuras 7, 8 y 9 respectivamente en kbps.

Tasa de datos-celda control

Tasa de datos-celda experimental

Diferencia de tasas
A partir de las condiciones del escenario de evaluación y de los parámetros de operación de los clientes y puntos de acceso, de estas gráficas se puede afirmar que la tasa de datos del cliente inalámbrico de la celda experimental supera ampliamente a la de datos del cliente inalámbrico de la celda control, hasta una distancia de 8 m del punto de acceso y con hasta 7 usuarios conectados en la celda.
Para la prueba de la hipótesis general, de la red de transporte de banda ancha se ha obtenido línea de vista en todos los radioenlaces punto multipunto con un margen de desvanecimiento mayor a 24, lo que garantiza una disponibilidad de servicio del 99.9 %. De la red de acceso de banda ancha se ha conseguido línea de vista en el radioenlace punto a punto para interconectar la estación base con las estaciones clientes en el mismo distrito, con un margen de desvanecimiento de 20, que garantiza una disponibilidad de servicio del 99.9 % en el servicio de telefonía IP.
Para la prueba de la hipótesis específica 1, para el cálculo de los perfiles de los radioenlaces en el diseño de la red de transporte, se determinó la ubicación de los nodos mediante las coordenadas geográficas de longitud y latitud, además de su frecuencia de trabajo en la banda de 2.4 Ghz, la potencia de transmisión de los equipos de radio de 27dBm, la distancia entre nodos respectivos y la altura de las torres de comunicación. Para calcular la red WLAN de la estación base-cliente en el diseño de la red de acceso, se determinaron los requerimientos de comunicaciones de los usuarios hasta 3 Mbps, el requerimiento de áreas de cobertura pequeñas con 99 % de señal de recepción y una densidad de la red hasta con 15 dispositivos inalámbricos conectados al punto de acceso.
Para la prueba de la hipótesis específica 2, se estableció la tecnología inalámbrica de la red de transporte de banda ancha conformada por estaciones radioeléctricas operando en la banda de 2.4 Ghz no licenciada, con una topología tipo árbol para formar enlaces de microondas punto multipunto. Se emplearon soluciones propietarias Winlink1000 como estaciones radioeléctricas categoría operador, incluyen servicios TDM y Ethernet en las bandas de frecuencia de 2.3-2.4 Ghz y 4.9-5.9 Ghz. Se determinó la tecnología inalámbrica del radioenlace punto a punto de la red de acceso de banda ancha operando en la banda de 2.4 Ghz con la tecnología AirMax punto a multipunto que emplea la técnica TDMA. Para el diseño de la red WLAN de la estación base-cliente, se seleccionó la tecnología inalámbrica IEEE 802.11n en la banda de frecuencia de 5 Ghz y 802.11b/g/n en la banda de 2.4 Ghz.
Para la prueba de la hipótesis específica 3, la red de transporte consiste en un backhaul inalámbrico de comunicación de banda ancha de alta velocidad, con una topología tipo árbol, a partir de nodos de servicio. En esta plataforma se tienen estaciones principales, secundarias y terminales que forman enlaces punto a punto.
Para la prueba de la hipótesis específica 4, la red de acceso consiste en un backhaul inalámbrico que opera en la banda de frecuencia de 2.4 Ghz, y forma una topología de radioenlaces punto a multipunto desde la estación base ubicado en el municipio local a las estaciones clientes ubicado en el puesto policial, colegio y puesto de salud.
Para la prueba de la hipótesis específica 5, se ha evaluado la tasa de datos efectiva de un cliente inalámbrico y los parámetros de QoS de la red inalámbrica de banda ancha. En el caso de la tasa de datos efectiva, se utilizó la T de Student para muestras relacionadas, y se puede afirmar que un cliente inalámbrico de la celda experimental tendrá una tasa de datos promedio en campo de 15.4 Mbps para un radio de 2 m, y de 15 Mbps para un radio de 8 m en la banda de 2.4 Ghz. En ambos casos hasta con 7 usuarios conectados a la celda de la red inalámbrica de banda ancha. De la prueba de T de Student de muestras relacionadas, se obtiene una significancia (Sig.) menor a 0.01 hasta una distancia de 8 m, y una significancia mayor a 0.01 hasta una distancia de 20 m.
En conclusión, se puede afirmar que para radios de hasta 8 m, las tasas de datos del cliente experimental son superiores a las tasas del cliente control; y para radios mayores de 15 m, las tasas de datos del cliente experimental no son diferentes a las tasas del cliente control. Se obtienen valores de retardo de ida y vuelta de 49 mseg entre los dos usuarios inalámbricos de la red de acceso que es menor a 150 mseg, establecido como latencia máxima para aplicaciones multimedia. Se obtienen valores de variabilidad del retardo menor a 5.5 mseg entre los dos usuarios inalámbricos de la red de acceso que es menor a 20 mseg, establecido como variabilidad del retardo máximo para aplicaciones multimedia como la telefonía IP. Finalmente, se obtienen valores de tasa de pérdida de paquetes de datos (TPP) menores al 1.5 % entre los dos usuarios inalámbricos de la red de acceso que es menor al 5 %, establecido como TPP máximo para aplicaciones multimedia según la UIT-T.
Se presenta el estudio e implementación de la red de transporte tecnología TDM-E1/Ethernet y una red de acceso con tecnología 802.11n para conectar inalámbricamente las capitales de distritos de la provincia de Huaytará, y se muestran las metodologías para el diseño y evaluación de ambas redes inalámbricas de banda ancha. Esto difiere del autor Alcívar (2014), quien hace uso de una metodología para simular en radioenlace punto a punto con el estándar 802.11e para conectar inalámbricamente a dos campus universitarios de la Universidad Técnica de Manabí.
Se obtuvo resultados donde los parámetros de rendimiento y QoS, a nivel de toda la red de transporte y la red de acceso entre dos puntos de la muestra para conectar inalámbricamente a las capitales de distritos de la provincia de Huaytará, están dentro de los intervalos máximos permitidos para aplicaciones multimedia como VoIP. Mientras que Briones (2015) hizo un estudio de una red WLAN con el estándar 802.11n para determinar el retardo de servicio de un punto de acceso.
Existe similitud con los autores Taveras et al. (2013), porque el estudio realizado de una red WLAN con el estándar 802.11n en doble banda de operación en cada estación secundaria de la red inalámbrica de banda ancha, para determinar, entre otros, la tasa de datos efectiva de los usuarios inalámbricos, pero, además, se abarca el diseño y evaluación de la red de transporte de banda ancha.
Se presenta el estudio y evaluación de una red inalámbrica de banda ancha con tecnología TDM-E1/Ethernet y 802.11n para interconectar varios distritos de la provincia de Huaytará, y se obtiene una tasa de datos efectiva de 2Mbps y 3Mbps por dispositivo inalámbrico. En cambio, Monteza y Sandoval (2018) llevaron a cabo el estudio y evaluación de una red de banda ancha inalámbrica con tecnología 802.11n para interconectar los centros poblados en el distrito de Chota-Cajamarca, y obtuvieron una tasa de datos efectiva por usuario de 2Mbps en los centros poblados.
Agapito y Peralta (2017) ejecutaron el estudio y evaluación de una red de banda ancha inalámbrica con tecnología WiMax 802.16 para interconectar los centros poblados en el mismo distrito de Pimentel, y obtuvieron una tasa de datos efectiva por usuario de 2Mbps en los centros poblados, por lo tanto, una cobertura mucho mayor. Mientras esta investigación permite interconectar varios distritos de la provincia de Huaytará y logra conseguir una tasa de datos efectiva de 2Mbps y 3Mbps por dispositivo en celdas pequeñas con fuerte señales de recepción.
Martínez y Sevilla (2017) hicieron el estudio y evaluación de una red de banda ancha inalámbrica con tecnología WiMax 802.16 para interconectar los centros poblados en el distrito de Lambayeque, y consiguieron una tasa de datos efectiva por usuario de 512 kbps en los centros poblados.
En general, para que las aplicaciones multimedia del usuario inalámbrico funcionen adecuadamente, no deben ser sensibles a los parámetros de QoS de una red inalámbrica de banda ancha. Para ello, es necesario primero evaluar la cobertura, la capacidad y la densidad de la red WLAN con la finalidad de garantizar que los parámetros de QoS de la red inalámbrica estén en los niveles correctos, y esto requiere de diseñar y evaluar la red inalámbrica de banda ancha a partir de un enfoque diferente a los antecedentes mencionados.
Se puede afirmar que en la banda de 2.4G, con parámetros de comunicación de un canal de 20 MHz, estándar 802.11n, MIMO 1X1 e G.I largo (800 ns), la capacidad máxima por celda es de 32.5 Mbps, y esta capacidad es distribuida proporcionalmente según su señal de recepción entre los dispositivos inalámbricos conectados a la celda. En caso de un G.I corto (400 ns), la capacidad máxima por celda sube a 36.1 Mbps.
Se puede asegurar que en la banda de 5G, con parámetros de comunicación de un canal de 20 MHz, estándar 802.11n, MIMO 2X2 e G.I largo (800 ns), la capacidad máxima por celda es de 65 Mbps. En caso de un G.I corto (400 ns), la capacidad máxima por celda sube a 72.2 Mbps.
Se puede afirmar que se impone un diseño de celdas inalámbricas pequeñas con niveles altos de señales de recepción con un requerimiento calculado de 11 puntos de acceso en la estación cliente, y en la banda de 2.4G, se ha determinado una densidad de hasta 9 o 12 dispositivos inalámbricos por celda dando un total de 100 dispositivos laptops o 140 dispositivos tabletas, respectivamente, en la red WLAN por estación cliente, con una tasa de datos efectiva por dispositivo de 3.61 Mbps o 2.70 Mbps, respectivamente, y se asume una señal de 99 % de recepción con balance de carga igual por celda.
Se puede asegurar que en doble banda de frecuencia, se ha determinado una densidad de hasta 18 dispositivos en 2.4G y 13 dispositivos inalámbricos en 5G por celda, que da un total de 200 dispositivos laptops en 2.4G y 150 dispositivos tabletas en 5G, respectivamente, en la red WLAN por estación cliente, con una tasa de datos efectiva por dispositivo de 1.80 Mbps y 5 Mbps, respectivamente, y se asume una señal de 99 % de recepción con balance de carga igual por celda.

Procedimiento para el diseño de la red de transporte

La solución técnica de la red de transporte de banda ancha

Calculo del radioenlace: Huaytará (repetidor 1)

Distancia del radioenlace punto a punto: Municipio Tambo (IE 22048)

Distancia del radioenlace punto a punto: Municipio Ayaví (IE 22569)

Cálculo del radioenlace: E.B Tambo-E.C (IE 22048)

PIRETx por celda de cobertura en la estación cliente IE 22048

Tasa de datos efectiva por celda de cobertura en 2.4 G, estación cliente IE 22048

Tasa de datos efectiva por celda de cobertura en 5.8 G, estación cliente IE 22048

Escenario de evaluación de la red inalámbrica de banda ancha

Tasa de datos-celda control

Tasa de datos-celda experimental

Diferencia de tasas