Miscellaneous / Misceláneos
Variabilidad climática en la cuenca hidrográfica del río Chalpi Grande en Napo-Ecuador
Climatic Variability in the hydrographic basin of the Chalpi Grande river in Napo-Ecuador
Variabilidad climática en la cuenca hidrográfica del río Chalpi Grande en Napo-Ecuador
Enfoque UTE, vol. 14, núm. 1, pp. 1-17, 2023
Universidad Tecnológica Equinoccial

Recepción: 21 Junio 2022
Aprobación: 19 Octubre 2022
Resumen: La cuenca hidrográfica del río Chalpi Grande se encuentra ubicada en la Amazonía ecuatoriana. Esta cuenca al estar por encima de los 3200 m s. n. m. posee características de ecosistemas andinos y amazónicos. Su conservación es de suma importancia debido a que de este río depende el abastecimiento de 2.2 m./s de agua cruda para el Distrito Metropolitano de Quito. El objetivo de esta investigación es la caracterización de la variabilidad climática de 31 años (1985-2015) de registros de temperatura, precipitación y caudal del río Chalpi Grande basándose en los registros históricos del INAMHI, EPMAPS y FONAG. Estos registros fueron sistematizados y rellenados a partir de métodos estadísticos y sensores remotos para la validación de datos. La variabilidad climática muestra incrementos, tanto en los comportamientos como en las tendencias de las estaciones de invierno y verano; así como en las tendencias de los parámetros climáticos que pueden ser efecto de los fenómenos atmosféricos, como el problema latente del cambio climático.
Palabras clave: Hidrología, El niño-oscilación sur, cambio climático, temperatura, precipitación, caudal, sensores remotos.
Abstract: The watershed basin of the Chalpi Grande River is located in the Ecuadorian Amazon. This basin, being above 3200 m a.s.l. It has characteristics of Andean and Amazonian ecosystems. The conservation of this basin is extremely important because the supply of 2.2 m3/s for the Metropolitan District of Quito depends on this river. The objective of this research is the characterization of the additional climate of 31 years (1985-2015) of records of temperature, precipitation and flow of the Chalpi Grande River based on the historical records of INAMHI, EPMAPS and FONAG. These were systematized records filled in based on statistical methods and remote sensors for data validation. The climatic temperature shows increases both in the behaviors and in the trends of the winter and summer seasons; as well as in the trends of climatic parameters that can be the effect of atmospheric phenomena, such as the latent problem of climate change.
Keywords: Hydrology, El Niño-southern oscillation, climate change, temperature, precipitation, flow, remote sensing.
1. Introducción
Hoy en día la conexión entre cambio climático y recursos hídricos ha generado mayor interés en la comunidad científica de todo el mundo. Debido a que la disponibilidad de agua constituye un tema importante y además es un derecho fundamental para el desarrollo y preservación de cada una de las especies que habitamos el planeta (Bates et al., 2008; Torres-Bagur y Pavón Gamero, 2021; Vuille, 2013).
Los registros históricos hidrológicos y meteorológicos más las proyecciones de los expertos en clima, brindan información que nos advierte acerca de que con el pasar del tiempo, si no se toma el problema con la seriedad necesaria las afecciones contra la sociedad, el medioambiente y la economía plantearán escenarios catastróficos para un futuro cercano (Bates et al., 2008; Torres-Bagur y Pavón Gamero, 2021; Vuille, 2013).
Las medidas de adaptación al cambio climático representan un gran soporte para tratar de reducir los efectos generados, tanto para la población como de los diferentes ecosistemas que tiene el planeta. Los recursos hídricos son entornos frágiles considerados como vulnerables. Debido a la interacción entre diferentes variables que garantizan la salud pública, desarrollo económico y albergan biodiversidad tanto de flora como fauna (Bates et al., 2008).
Al no desarrollar diferentes medidas se pueden establecer escarnios desastrosos como los que se ha observado alrededor del mundo, así las inundaciones y sequias son cada vez más frecuentes. Esto genera varios efectos como la escasez de agua, mayor grado de erosión y sedimentación en las cuencas hidrográficas, retroceso de glaciares, aumento del nivel del mar y degradación de la calidad del agua (Bates et al., 2008; Pachauri et al., 2015).
La probabilidad de los impactos del cambio climático tiende a la afección de los sistemas de agua dulce, lo que llevaría a debilitar los beneficios de este sistema a nivel mundial. Para el año 2050 la comunidad científica estima que la superficie terrestre se encontrara afectada debido al agravamiento de los factores de estrés hídrico. Los países del sur global se verán más afectados debido a su alto nivel de vulnerabilidad a los efectos adversos del cambio climático (Bates et al., 2008; Pachauri et al., 2015).
En Ecuador la afección de este problema se podría evidenciar en las cuencas hidrográficas, lo que puede traer consecuencias con un alto costo económico y social, como se ha evidenciado en la provincia del Azuay con el desbordamiento del cauce del río Cuenca, baja disponibilidad de agua en los límites costeros, con la respectiva pérdida para pequeños agricultores. Hoy en día se encuentran en desarrollo varias propuestas para atenuar la problemática del cambio climático como cambios en la legislación, acuerdos mundiales, desarrollo de proyectos de adaptación, siendo la adaptación a estas propuestas y el cambio de actitud frente a la conservación del planeta necesarios para que el desarrollo en cada nivel pueda subsistir en el mundo contemporáneo (Bates et al., 2008; Pachauri et al., 2015).
La Amazonía cumple con un rol importante en el mundo, por ser uno de los sumideros de carbono más eficientes del planeta. Su cuidado y mantenimiento es vital, sobre todo porque puede disminuir los nuevos problemas del cambio climático. El desarrollo de proyectos encaminados a la conservación de la Amazonía propone a futuro la garantía de un ambiente sano y equilibrado, siempre y cuando se cumpla la meta climática propuesta por la cooperación internacional (Armenta et al., 2016; Lavado Esteban y Marcelle São Pedro, 2021).
En el Quinto Informe de Evaluación del Grupo Intergubernamental de Expertos sobre Cambio Climático (IPCC, por sus siglas en inglés) muestra diferentes vías de concentración como escenarios que pueden llegar a suscitarse en un futuro cercano con repercusiones a gran escala, que la afección será mayor en países del sur global frente a los países del norte, quienes poseen mayor capacidad de resiliencia (IPCC, 2013; Lavado Esteban y Marcelle São Pedro, 2021).
Los efectos más notorios son las olas de calor, inviernos sumamente fríos, desastres naturales, entre otros. Estos eventos son cada vez más comunes, más en los países del norte global. Sin embargo, al hablar de Ecuador, los principales problemas se encuentran en torno a una baja calidad de los alimentos, características precarias en el abastecimiento de agua potable, bajas en las actividades económicas. Los extractos sociales más pobres son los más afectados por no tener las condiciones ni medios de producción para obtener rédito que puede ser traducido como desarrollo de la población (Armenta et al., 2016; Calderón, 2016; Hermosa et al., 2010).
Todo esto hace que las acciones que se toman para enfrentar al cambio climático se dividan en dos:
· Acciones de mitigación, las cuales están enfocadas a países del norte global, debido a que sus altas concentraciones de GEI, CO., entre otros, han causado el aumento súbito de temperatura a nivel superficial de la Tierra. Entre ellos tenemos, por ejemplo, China, India, Estados Unidos, entre otros (IPCC, 2007, 2008, 2008).
· Acciones de adaptación al cambio climático se encuentran encaminadas a generar resiliencia tanto para el ambiente como para las personas para poder enfrentar los efectos de este problema. En el país existen algunos ejemplos de estas medidas, como son la Gestión Integral de Recursos Hídricos, la Reducción de las Emisiones de la Deforestación. Estas acciones se presentan en torno a la conservación de los ecosistemas para países del sur global (Benítez Carranco, 2018; Gómez Martín et al., 2017; Nicholls y Altieri, 2019).
El objetivo de la presente investigación es la caracterización de la variabilidad climática de la cuenca hidrográfica del río Chalpi Grande con base en las variables ambientales de la precipitación, temperatura y caudales. Mientras que los objetivos específicos fueron encaminados a la recopilación y sistematización de los 31 años de datos de las variables climáticas. Además de la corroboración a través de sensores remotos especializados en tiempo y clima.
2. Metodología
Área de Estudio
La cuenca hidrográfica del río Chalpi Grande se encuentra ubicada en Ecuador en la provincia del Napo, en el cantón Quijos entre las parroquias de Papallacta y Cuyuja como se puede apreciar en la figura 1. El área de la cuenca del río Chalpi Grande es de aproximadamente 102.6 km2. Esta cuenca está conformada por las siguientes microcuencas: Chalpi A-Chalpi B-Chalpi C-Río Encantado. Estas vertientes están ubicadas a una altura de 3830 m s. n. m. y aportan al sistema hídrico del río Chalpi Grande.

Información del clima
Los registros históricos desde 1985 a 2015 fueron obtenidos con base en 13 estaciones meteorológicas e hidrológicas, las cuales se encuentran cercanas a la cuenca hidrográfica del río Chalpi Grande. Las variables ambientales que se consideraron en el presente trabajo fueron: temperatura, precipitación y caudal, respectivamente. Todas estas como las principales para poder determinar la correlación entre los caudales medidos y los registros históricos de precipitación y temperatura.
Los registros de las variables ambientales antes mencionadas pertenecen a las estaciones del Instituto Nacional de Meteorología e Hidrología (INAMHI), Empresa Pública Metropolitana de Agua Potable y Saneamiento de Quito (EPMAPS) y el Fondo para la Protección del Agua (FONAG). Estas estaciones se seleccionaron basándose en la distancia máxima de 30 km con respecto a la cuenca hidrográfica del río Chalpi Grande. Se uso la estación M0188 como estación de referencia para el desarrollo del relleno de datos.
La serie de datos desde 1985 a 2015 presentó varios vacíos para las variables ambientales a analizar. Se procedió con el relleno de datos tanto de temperatura como de precipitación. Se utilizaron registros de estaciones aledañas a la zona de estudio. También se usó modelos de correlación y regresión lineal, método del vector regional (MVR) y sustitución por promedio en cruz. Para el relleno de datos de caudales se empleó el software HEC-HMS. Asimismo, se optó por usar sensores satelitales (CFS Reanalysis-Merra 2-Terra Climate-Modis Terra Daily) para la obtención y rectificación de valores de los registros de precipitación y temperatura.
Análisis de temperatura
El análisis de la temperatura se lo realizó basándose en los valores máximos, mínimos y promedio para la zona de estudio agrupados los 31 años. Se analizó los registros de las 13 estaciones cercanas a la zona y se validaron los datos de la temperatura a partir de los coeficientes de la correlación lineal con un R. igual o mayor de 0.75. Estos valores utilizados para el relleno de datos a base de los sensores satelitales frente a la estación de referencia para este trabajo.
Análisis de precipitación y caudales
Se optó por agrupar en 10 años los registros obtenidos debido a que el ENSO posee un componente cuasi-bienal con un tiempo de recurrencia de 2 a 2.5 años. De igual manera con una baja frecuencia de ocurrencia que va de 4 a 5 años (Aliaga et al., 2016; Rusticucci y Barrucand, 2002; Tiscornia et al., 2016). De esta manera son más apreciables los cambios en la precipitación y el caudal en la cuenca hidrográfica del río Chalpi Grande a una escala donde los cambios pueden ser observados y comparados.
Para el desarrollo de la caracterización de precipitaciones y los caudales se optó por establecer valores de precipitación por períodos de 10 años; debido a la variabilidad climática global, la cual se encuentra fuertemente controlada por la ocurrencia del fenómeno de El Niño o también conocida como Oscilación del Sur (FONAG y EPMAPS-Q, 2020; INAMHI, 2021).
Para finalizar, se correlacionó la precipitación y el caudal a partir de la correlación de Pearson para cada período de tiempo de 10 años. Con lo cual se mostró la relación directa entre estas dos variables ambientales, debido al principio de la hidrología.
3. Resultados
Las estaciones meteorológicas e hidrológicas del INAMHI, EPMAPS, FONAG. Se encuentran en la zona de la cuenca hidrográfica del río Chalpi Grande. Sin embargo, al tener mayor cantidad de estaciones se puede establecer una mejor caracterización de las variables ambientales (precipitación y temperatura). Lo que respecta al caudal la EPMAPS cuenta con una estación hidrológica dentro del río, por lo que los registros históricos marcan la realidad del sistema hídrico. Se puede observar en la figura 2, la distribución de las estaciones alrededor de la cuenca hidrográfica del río Chalpi Grande, conjuntamente con el uso y cobertura de suelo de la cuenca analizada.

Temperatura
En la cuenca hidrográfica del río Chalpi Grande para los 30 años de estudio (1985-2015) se tiene un total de 13 estaciones. Las estaciones pertenecen a diversas entidades las cuales permitieron determinar la variabilidad existente en la temperatura la zona de la cuenca hidrográfica como se puede apreciar en la figura 3.

La temperatura promedio en la zona es de 10.2 °C, la cual se ha mantenido con pequeñas oscilaciones dentro de los 31 años analizados. Mientras tanto la temperatura máxima y mínima registrada desde 2010 se ha notado un incremento y descenso sustancial llegando a los 18 °C y a los 2 °C, respectivamente.
Precipitación
La cuenca hidrográfica del río Chalpi está ubicada en una provincia del Oriente ecuatoriano cercana al Parque Nacional Antisana, por lo que comparten características de un ecosistema andino amazónico. Esto conlleva a que en la zona exista gran cantidad de lluvia que se incorpora a los regímenes hidrológicos de la cuenca. También son aprovechadas por la población, entre otros usos que se le pueda dar al agua de lluvia. En la figura 4 se puede apreciar los valores máximos, mínimos y promedio de precipitación para la cuenca hidrográfica del río Chalpi Grande.

Los datos de precipitación se dividieron en períodos de 10 años. Se mostró la variabilidad existente entre los años analizados, exponiendo meses con eventos extremos tanto de fuertes precipitaciones como períodos de sequía. Esto se puede apreciar en la figura 5 con sus tres ítems dividiendo los 31 años de registros de precipitación.

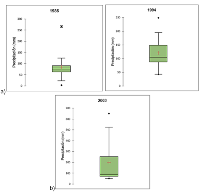
Como se puede apreciar en la caracterización de la precipitación de los 31 años de registros, esta se ha mantenido constante en la zona. Es importante mencionar que la existencia de eventos extremos ha marcado una tendencia de posibles afecciones para la sociedad como derrumbes en la zona y desbordamiento de ríos, entre otros. Se observa el período con registros bajos de precipitación en el literal b) con valores bajo los 100 mm de precipitación. Se puede apreciar en el primer período correspondiente al literal a) la precipitación fue abundante y se le atribuye al fenómeno de El Niño en la época seca. En los períodos analizados se han notado eventos considerados como extremos, los cuales se pueden apreciar en la figura 6.

Como se puede apreciar en la figura: en el literal a) para el año 1986 los datos se encuentran agrupados desde los 22.3 mm hasta los 124.7 mm de precipitación para el año de 1986. Si embargo, resaltan dos valores considerados máximos y mínimos de 2.8 mm y 256.4 mm, respectivamente considerados como eventos extremos. Para el año 1994 se puede apreciar un valor atípico para la serie de datos, siendo el valor de 249.3 mm de precipitación el valor máximo para este año.
En el diagrama del literal b) se puede observar los registros de precipitación para el año 2003, siendo el valor de 649 mm considerado como atípico por estar por encima de los registros que corresponden al 95 % de los datos.
Se puede apreciar que la mitad de los registros de los meses se encuentran dentro de la caja, mientras que los seis restantes se encuentran formando los límites del diagrama. Asimismo, se presenta que la mediana se encuentra por encima de la media. Esto es debido a la dispersión de los valores máximos y mínimos, respectivamente que afectan a la normalidad de los datos para este año en específico.
Caudales
Para el desarrollo del análisis multitemporal se dividió a los 31 años de datos en grupos de 10 años. Para analizar de igual manera las multitemporalidad de las afecciones del ENOS y la relación entre las precipitaciones. Para de esta manera determinar, cómo se ha comportado el caudal del río Chalpi Grande en períodos consecutivos. Esto se puede apreciar en la figura 7 que muestra los tres períodos analizados en torno a valores mensuales del río Chalpi Grande.

En los 31 años de estudio se ha determinado que el caudal ha incrementado conforme pasan los meses, siendo junio y julio los meses donde el caudal ha llegado a su punto máximo en cada uno de los períodos y años analizados. Luego de estos meses el caudal del río Chalpi Grande tiende a reducirse hasta llegar a un caudal estable de 3 a 4 m./s.
Los años de 1985 a 1994 se consideran como el período principal debido a que este posee caudales que se encuentran fuera de los rangos que hoy se consideran promedio frente a los caudales de la cuenca hidrográfica. Siendo julio el mes que alcanzó un valor en promedio de 9.13 m./s. Mientras que los valores más bajos de caudal se encuentran entrando a valores normales como son los casos de enero, octubre, noviembre y diciembre de cada período de tiempo, respectivamente.
Correlación: precipitación y caudal
Para la correlación de la variable de la precipitación y el caudal, se determinó con base en los valores promedios mensuales de cada año. Separándolos en períodos de 10 años para un análisis multitemporal, donde se pueda apreciar la relación existente. Se realizó la correlación basada en el coeficiente de correlación de Pearson. Para estudiar la relación entre las variables continuas de precipitación y caudal. De esta manera se determinó la intensidad y dirección de la relación de las variables dentro de la zona de la cuenca hidrográfica del río Chalpi Grande. En la tabla 1 se observa la matriz de correlación de Pearson para el período de 1985 a 1994.
La tabla 1 hace referencia a la correlación de Pearson, donde los valores en negrita son diferentes de 0 con un nivel de significación alfa = 0.05. Donde podemos correlacionar las dos variables de precipitación y caudales identificadas en la tabla con la letra “P” para la precipitación y “C” para caudales con su respectivo año.

Podemos apreciar la diagonal que se forma al correlacionar 1985P con 1985C indicando valores por encima del 60 %, lo que nos da una correlación positiva entre las dos variables, siendo que la precipitación responde al caudal para cada uno de los años de registros.
Se observa que en 8 de los 10 años la correlación entre la precipitación y caudal es elevada con valores cercanos a uno. Se observa que el aumento del caudal es directamente proporcional al aumento de las precipitaciones tabla 2.

Elaboración propia
Según la correlación de Pearson indica que para el segundo período de registros existe gran cantidad de correlaciones entre las variables de precipitación y caudal. Sin embargo, para el año 1999, 2001 y 2003 la correlación no sobrepasa el 50 %, es decir existe una correlación entre las variables, pero no se considera alta, debido a los valores máximos y mínimos entre estas dos variables.
El resto de los años comparten una correlación relativamente fuerte con más del 70 %. El caso de 2004 indica una perfecta correlación entre la precipitación y el caudal con un 100 % con un nivel de confianza del 95 % tabla 3.

La correlación de Pearson indica para el tercer período de análisis de datos que para el año 2005 y 2006 se tiene una relación casi perfecta, con un valor del 99 % para cada año. De igual manera, se puede afirmar que la correlación es positiva para cada una de las variables ya que 9 de los 11 meses poseen correlaciones positivas del 0.81 %. Sin embargo, los años de 2009 y 2010 dan una correlación positiva baja con valores por encima del 57 %.
4. Discusión
En base al estudio presentado por Serrano y colaboradores (2012) se presenta el análisis estadístico de datos meteorológicos para la determinación de la variabilidad climática y cambio climático en el Distrito Metropolitano de Quito, donde los investigadores tomaron 30 años de registros de precipitación, temperatura (máxima y mínima), humedad y nubosidad, donde no se ha logrado apreciar la tendencia con suficiente significancia estadística, debido a la baja cantidad de registros. Esto al compararlo con la presente investigación se tiene una semejanza importante, ya que al ser necesaria una mayor cantidad de datos para poder establecer diferentes propuestas a base de diferentes metodologías que llegan a generar resultados más confiables en base a su construcción (Serrano Vincenti et al., 2012).
De la misma manera, en este estudio se observan diferentes eventos considerados como extremos por su alta o baja temperatura, alta o baja precipitación en la zona. Estos eventos son más visibles en la zona de estudio comparando con el trabajo de Serrano (2012). Debido a que, al ser una cuenca de importancia para la Amazonía, como también para la EPMAPS por su inyección de agua cruda al Sistema Integrado Papallacta para el abastecimiento de agua potable para la ciudad de Quito. Se tiene que las estaciones meteorológicas e hidrológicas responden de manera puntual a la zona, mientras que las estaciones que se usaron para determinar la variabilidad climática y cambio climático en el DMQ presentaban falencias en registros de temperatura y precipitaciones por vacíos o huecos de información sumamente grandes (Serrano Vincenti et al., 2012).
Una semejanza importante entre Serrano (2012) y la presente investigación es que el aumento de gases de efecto invernadero ha generado un incremento general de la temperatura. Un patrón irregular y versátil en las precipitaciones y el incremento en los eventos extremos para el Distrito Metropolitano de Quito. De igual manera el mismo fenómeno se ha evidenciado en el zona de la cuenca del río Chalpi Grande, donde el aumento o disminución de temperatura y precipitaciones ha generado eventos extremos que llevan a generar desastres afectando a la población y al medio ambiente cada año (Serrano Vincenti et al., 2012).
El Niño - La Niña en el territorio han generado varios eventos que han desembocado en desastres o perdidas para la población de la zona en temas económicos y de salud pública. No obstante, este fenómeno no es puntual, es decir las mismas características se presentan en países andinos como: Colombia y Perú, según lo reportan Montealegre y Pabón (2000) y González y colaboradores (2014). En Colombia El Niño - La Niña ha reportado que durante la ocurrencia de estos fenómenos se presenta una disminución de temperatura del aire en horas de la madrugada generando heladas en áreas montañosas (Gonzales et al., 2014; Montealegre y Pabón, 2000).
Al cotejar la información generada por Montealegre y Pabón (2000) con respecto a la cuenca del río Chalpi Grade en los años de 1991-1992 y 1997-1998 los cuales tuvieron una mayor influencia de estos eventos, se asemejan las condiciones climáticas presentadas en esta presente investigación, ya que en los meses donde se propicia este fenómeno la temperatura en horas del día ha incrementado, como también en horas de la madrugada ha disminuido, generando heladas. Debido a que la cuenca estudiada se encuentra por encima de los 3200 m s. n. m., por ende, comparte características de ecosistemas andinos y amazónicos (Montealegre y Pabón, 2000).
Al evaluar los impactos a nivel social, se tiene que la variabilidad ambiental y el cambio climático juegan un papel importante en el desarrollo de diferentes actividades como son la agricultura, la crianza de animales, el turismo, la alimentación, entre otros. Se tiene que todas estas actividades dependen del componente humano, es decir, de personas para que muevan el desarrollo económico de la zona. Como reporta González y colaboradores (2014) en su investigación de contaminación ambiental, variabilidad climática y cambio climático: una revisión del impacto en la salud de la población peruana (Gonzales et al., 2014).
La población peruana se encuentra a merced de la variabilidad climática producida por el fenómeno de El Niño, el cual trae diferentes consecuencias para la población siendo la salud publica la más relevante. Los problemas generados son en el agua y el aire. Al ser estos vectores ambientales los principales para la subsistencia de la población la salud se ve comprometida por la baja calidad de los alimentos, agua, aire. (Gonzales et al., 2014).
Al cotejar los resultados de González y colaboradores (2014) con la presente investigación, los problemas generados por la variabilidad climática se han podido evidenciar en fenómenos naturales como el aumento de caudal de los ríos provocando desbordamiento de ríos, baja calidad de los alimentos y contaminación de fuentes de agua. Esto llega a generar deficiencias en la salud de las personas. Al considerar la variable del cambio climático se puede prever que estos problemas tiendan a crecer generando mayor número pérdidas para el sector económico y por ende a nivel social y de salud (Gonzales et al., 2014).
Al comparar las precipitaciones con el caudal de los ríos se ha podido obtener que se encuentran estrechamente ligados bajo los principios de la hidrología. En los resultados de la investigación al realizar la correlación de Pearson se obtuvo que la precipitación responde de manera directa a los caudales. Al comparar los resultados de Martínez y Rivera (2015) y Lujano y colaboradores (2020). La correlación de Pearson pudo determinar la relación existente entre las variables ambientales de la precipitación y los caudales. Con ello se puede establecer diferentes pronósticos y la evaluación de modelos hidrológicos que dan la apertura para prever circunstancias que pueden modificar la cuenca o, a su vez, alguna afección a nivel del ciclo hidrológico (Lujano et al., 2020; Martínez Figueroa y Rivera Hebert, 2015).
5. Conclusiones y recomendaciones
La variabilidad climática desde 1985 a 2015 en la cuenca hidrográfica del río Chalpi Grande ha mostrado ligeras variaciones con respecto a la temperatura, precipitación y caudal del río. De la misma manera, el desarrollo de estas variaciones ha mostrado eventos extremos tanto de temperatura como de precipitaciones y, por ende, el aumento o disminución del caudal del río Chalpi Grande.
En el año 2010 con respecto a la temperatura existieron eventos extremos con valores máximos de 18 °C y mínimos de 2 °C. De la misma manera con respecto a la precipitación se observa que el año 2010, conjuntamente con el 2003 y 2011, fueron los más lluviosos de los 31 años de estudio. Siendo 2003 considerado extremo dentro del estudio, debido a una precipitación máxima registrada de más de 600 mm.
El análisis de los 31 años de caudales nos indica que en el período de 1993 y 1994 el caudal aumento hasta 6.59 m./s considerados como valores máximos en los años de estudio, y de la misma manera para el año de 1995 se establece el valor mínimo de los registros de 4.68 m./s.
La correlación de Pearson indicó la relación existente entre las lluvias registradas en la zona de la cuenca del río Chalpi Grande y el río en sí. Siendo la correlación mayor del 70 % con un nivel de confianza del 95 % (α=0.05). Lo que establece que la precipitación responde de manera directa a las épocas de invierno como verano, es decir el aumento o disminución del caudal del río Chalpi Grande.
El cambio climático es un problema del mundo contemporáneo, que debe ser abordado desde todos los ámbitos: político, económico, social, ambiental, relaciones internacionales, entre otros. Ya que, los efectos de estos problemas se presentan hoy en día. Todas las medidas que se realicen deben ser elaboradas para que sean desarrolladas de manera puntual, buscando generar la adaptación y/o mitigación del cambio climático. Como, por ejemplo, la propuesta de la creación de zonas de protección hídrica de la cuenca fraccionando en microcuencas o el empoderamiento de la población con los recursos hídricos para su la generación de una gestión integral del recurso hídrico.
La caracterización de la variabilidad climática en la cuenca del río Chalpi Grande con base en las variables de temperatura, precipitación y caudal mostró que al comparar las estaciones hidrológicas y meteorológicas frente a los sensores remotos el error es mínimo por lo que la corroboración y la sistematización de cada uno de estos elementos fueron correctas y adecuadas para el desarrollo de esta investigación.
Referencias
Aliaga, V. S., Ferrelli, F., Alberdi-Algarañaz, E. D., Bohn, V. Y., & Piccolo, M. C. (2016). Distribución y variabilidad de la precipitación en la Región Pampeana, Argentina. Cuadernos de Investigación Geográfica, 42(1), 261. https://doi.org/10.18172/cig.2867
Armenta, G., Villa, J., & Jácome, P. (2016). Proyecciones climáticas de precipitación y temperatura para Ecuador, bajo distintos escenarios de cambio climático (Informe N.. 1; p. 122). Instituto Nacional de Meteorología e Hidrología - Ministerio del Ambiente y Academia. https://info.undp.org/docs/pdc/Documents/ECU/14%20Proyecciones%20de%20Clima%20Futuro%20para%20Ecuador%20en%20base%20a%20IPCC-AR5.pdf
Bates, B., Kundzewicz, Z. W., Palutikof, J., & Wu, S. (2008). El Cambio Climático y el Agua (p. 224). Grupo Intergubernamental de Expertos sobre el Cambio Climático. https://www.ipcc.ch/site/assets/uploads/2018/03/climate-change-water-sp.pdf
Benítez Carranco, M. B. (2018). La Gestión Integrada del Recurso Hídrico (GIRH) como herramienta para contribuir al proceso de adaptación del Cambio Climático en la Cuenca Transfronteriza Catamayo-Chira [Tesis de Postgrado, Universidad Andina Simón Bolívar]. https://repositorio.uasb.edu.ec/bitstream/10644/6438/1/T2746-MCCNA-Benitez-La%20gestion.pdf
Calderón, M. (2016). Análisis de vulnerabilidad al cambio climático de la cuenca Paute (Ecuador) [Tesis de Fin de Master, Universidad de Cantabria]. https://repositorio.unican.es/xmlui/bitstream/handle/10902/10079/Calderón, Myriam.pdf?sequence=1
FONAG, & EPMAPS-Q. (2020). Anuario Hidrológico [Reporte]. Fondo para la protección del agua. http://www.fonag.org.ec/web/anuario-hidroclimatico/
Gómez Martín, Armesto López, X. A., & Cors Iglesias, M. (2017). Percepción del cambio climático y respuestas locales de adaptación: El caso del turismo rural. Cuadernos de Turismo, 39, 287. https://doi.org/10.6018/turismo.39.290571
Gonzales, G. F., Zevallos, A., Gonzales-Castañeda, C., Nuñez, D., Gastañaga, C., Cabezas, C., Naeher, L., Levy, K., & Steenlan, K. (2014). Contaminación ambiental, variabilidad climática y cambio climático: Una revisión del impacto en la salud de la población peruana. Revista Peruana de Medicina Experimental y Salud Pública, 31(3), 547-556. https://doi.org/10.17843/rpmesp.2014.313.94
Hermosa, L. G., Avilés, M. J., Almeida, O. P., & Dhowitt, M. C. (2010). Análisis y modelamiento de susceptibilidad a deslizamientos mediante SIG y geoestadística en las Parroquias de Papallacta y Cuyuja, Cantón Quijos (Ecuador). ., 9.
INAMHI. (2021). Anuario Meteorológico [Reporte]. Instituto Nacional de Meteorología e Hidrología. https://www.inamhi.gob.ec/biblioteca/
IPCC. (2007). AR4 Climate Change 2007: The Physical Science Basis (Bases de Ciencia N.. 4; p. 1007). The Intergovernmental Panel on Climate Change. https://www.ipcc.ch/site/assets/uploads/2018/05/ar4_wg1_full_report-1.pdf
IPCC. (2008). El cambio climático y el agua (p. 224) [Documento técnico]. The Intergovernmental Panel on Climate Change. https://archive.ipcc.ch/pdf/technical-papers/ccw/climate-change-water-sp.pdf
IPCC. (2013). Cambio Climático—Bases físicas: Contribución del Grupo de trabajo I al Quinto Informe de Evaluación del Grupo Intergubernamental de Expertos sobre el Cambio Climático. Resumen para responsables de políticas (p. 34) [Resumen]. The Intergovernmental Panel on Climate Change. http://www.climatechange2013.org/images/report/WG1AR5_SPM_brochure_es.pdf
Lavado Esteban, E. j., & Marcelle São Pedro, M. (2021). Breve vistazo al impacto del cambio climático en el bosque amazónico. Xilema, 31(1), 5-8. https://doi.org/10.21704/x.v31i1.1775
Lujano, E., Sosa, J. D., Lujano, R., & Lujano, A. (2020). Performance evaluation of hydrological models GR4J, HBV and SOCONT for the forecast of average daily flows in the Ramis river basin, Peru. Revista Ingeniería UC, 27(2), 189-199.
Martínez Figueroa Luis, F., & Rivera Hebert, G. (2015). Pronostico Hidrológico de Caudales Diarios en el Rio Fonce (San Gil) Mediante Correlación de Pearson Lluvia-Escorrentía en Épocas de Aguas Bajas. L’esprit Ingénieux, 6(1), 81-85.
Montealegre, J., & Pabón, J. (2000). La Variabilidad Climática Interanual asociada al ciclo El Niño-La Niña– Oscilación Del Sur y su efecto en el patrón pluviométrico de Colombia. Meteorolx`ogía Colombia, 2, 7-21. https://n9.cl/b6h89y
Nicholls, C. I., & Altieri, M. A. (2019). Bases agroecológicas para la adaptación de la agricultura al cambio climático. UNED Research Journal, 11(1), S55-S61. https://doi.org/10.22458/urj.v11i1.2322
Pachauri, R. K., Mayer, L., & Intergovernmental Panel on Climate Change (Eds.). (2015). Climate change 2014: Synthesis report. Intergovernmental Panel on Climate Change. https://www.ipcc.ch/site/assets/uploads/2018/02/SYR_AR5_FINAL_full.pdf
Rusticucci, M. M., & Barrucand, M. G. (2002). Climatología de temperaturas extremas en la Argentina. Consistencia de Datos. Relación entre la temperatura media estacional y la ocurrencia de días extremos. 26(1-2), 16. https://n9.cl/jrn0t
Serrano Vincenti, S., Zuleta, D., Moscoso, V., Jácome, P., Palacios, E., & Villacís, M. (2012). Análisis estadístico de datos meteorológicos mensuales y diarios para la determinación de variabilidad climática y cambio climático en el Distrito Metropolitano de Quito. La Granja, 16(2), 23. https://doi.org/10.17163/lgr.n16.2012.03
Tiscornia, G., Cal, A., & Giménez, A. (2016). Análisis y caracterización de la variabilidad climática en algunas regiones de Uruguay. RIA. Revista de Investigaciones Agropecuarias, 42(1), 66-71.
Torres-Bagur, M., & Pavón Gamero, D. (2021). Percepción del cambio climático y respuesta de los turistas sobre los recursos hídricos: El caso de la cuenca del río Muga. Boletín de la Asociación de Geógrafos Españoles, 89, 1-34. https://doi.org/10.21138/bage.3114
Vuille, M. (2013). El Cambio Climático y los Recursos Hídricos en los Andes Tropicales (Nota Técnica El cambio climático y los recursos hídricos en los Andes tropicales; p. 35). Banco Interamericano de Desarrollo. https://publications.iadb.org/publications/spanish/document/El-cambio-clim%C3%A1tico-y-los-recursos-h%C3%ADdricos-en-los-Andes-tropicales.pdf