Miscellaneous/Misceláneos
Thiamethoxam Residuality in Papaya Plant and Fruit (Carica papaya Linnaeus) Cultivated in Rotation with Watermelon (Citrullus lanatus)
Thiamethoxam Residuality in Papaya Plant and Fruit (Carica papaya Linnaeus) Cultivated in Rotation with Watermelon (Citrullus lanatus)
Enfoque UTE, vol. 15, núm. 3, pp. 18-24, 2024
Universidad UTE
Recepción: 01 Marzo 2024
Revisado: 21 Mayo 2024
Aprobación: 03 Junio 2024
Abstract: There is evidence of the high use of the neonicotinoid insecticide thiamethoxam, in tropical crops, for its effectiveness in the control of soil and plant pests. The objective of this study was to know the residuality and concentration of thiamethoxam in the papaya agroecosystem, in the main papaya fruit producing zone in the central area of the Gulf of Mexico. It was carried out during a papaya growing cycle with watermelon rotation; the taking of samples was according to the technique established by the NOM -AA-103-1988 for leaves and for fruit the NMX -FF-041-1996 by the method of quartering in papaya and watermelon, the samples were analyzed with a HPLC-UV, the data obtained were statistically analyzed by parametric and non-parametric Kruskal-Wallis tests. The presence of thiamethoxam was found in papaya and watermelon cultivation plants, the concentrations in papaya leaves reported a maximum value of 0.29 mg/kg, while for the leaves of the watermelon rotation fruit it was 0.15 mg/kg. In papaya fruit, thiamethoxam concentrations are within a range of 0.24 to 0.32 mg/kg. The concentrations and residuality of thiamethoxam mainly exceed the maximum tolerance and residuality limits of the EFSA and FAO.
Keywords: Agroecosystems, neonicotinoids, tropical fruit trees.
Resumen: Existe evidencia del alto uso del insecticida neonicotinoide thiamethoxam en los cultivos tropicales por su efectividad en el control de plagas del suelo y la planta. El objetivo de este estudio fue conocer la residualidad y concentración del thiamethoxam en el agroecosistema de papaya en la principal zona productora de este fruto de la zona centro del Golfo de México. Este estudio se realizó durante un ciclo de cultivo de papaya con rotación de sandía; la toma de muestras se hizo según la técnica establecida por la NOM-AA-103-1988 para hojas y para fruta la NMX-FF-041-1996 mediante el método de cuarteo en papaya y sandia. Las muestras se analizaron con un equipo HPLC-UV, y los datos obtenidos se analizaron estadísticamente mediante pruebas paramétricas y no paramétricas de Kruskal- Wallis. Se encontró la presencia de thiamethoxam en la planta del cultivo de papaya y sandía. Las concentraciones en hojas de papaya reportaron como valores más altos 0.29 mg/kg, mientras que para las hojas del fruto de rotación de la sandía fue de 0.15 mg/kg. En el fruto de papaya, las concentraciones de thiamethoxam estuvieron dentro de un rango de 0.24 a 0.32 mg/kg. Las concentraciones y residualidad del thiamethoxam superan principalmente los límites máximos de tolerancia y residualidad de la EFSA y la FAO.
Palabras clave: Agroecosistemas, neonicotinoides, árboles frutales tropicales.
I. INTRODUCTION
Ecosystems are made up of biotic systems within a single physical system, in it there is a coexistence of organisms with the inorganic environment, and processes of exchange of matter, energy and organisms occur [1]. Modified ecosystems are used for the production of food and thus satisfy the needs of society; The management of pesticides is essential to obtain high levels of production performance, the use of these technologies generates contamination of water, soil and the environment. In Colombia, methamidophos pesticide residues of 5.1µg/L in cabbage plants [2]. A metabolite of neonicotinoids produces secondary metabolites in the water and some may have a toxicity equal to or greater than the original, thiamethoxam has a molecular weight of 291.71 g/mol, and was found in Wisconsin EE. UU, in water soluble in ranges of 1-9µg/L, and the average concentrations of several sampled places is 1.59 µg/L in periods of 5 years [3].
In the United States, they found thiamethoxam in concentrations of 3.6 µg/L in water samples from the plains. [4]. Thiamethoxam residues of less than 0.02 to 0.17 mg/kg were reported in coffee leaves and in leaves collected in the middle of the treetops, values between a range of 0.02 to 0.09 mg/kg; while in upper leaves the concentrations of thiamethoxam were between 0.02 to 0.17 mg/kg during handling and application of the dose of 2.25 g i.a. of thiamethoxam for the control of Leucoptera coffera (Guérin-Meneville). In lower coffee leaves the residuality of thiamethoxam was registered between a range of 0.04 to 0.12 mg/kg; in leaves collected in the middle of the tree canopy it was 0.04 to 0.18 mg/kg and in upper leaves it was 0.05 to 0.23 mg/kg managed with doses of thiamethoxam sprayed with 0.30 g i. a.[5].
As a consequence of global warming, the presence of new pests and resistance to different insecticides has increased. Low yields have been generated in fruit production; this implies the formulation of new, more effective and toxic chemicals; neonicotinoid pesticides worldwide as of 2008 are highly used in tropical fruit and vegetable crops. In foods such as honey, it was found that 70 % of the total samples analyzed contain neocotinoid residues, mainly in the regions of the continent of Africa, 80 % in Asia and Europe, in North America 90 %, 58 % in South America and 70 % in Oceania; This new generation of insecticides is made up of Imidacloprid, Nitenpyram, Acetamiprid, Thiamethoxam, Thiacloprid, Clothianidim and Dinotefuran. In the European Union there is evidence of the death of honey bees due to the use of neonicotinoids [4], [6] and [7]. Neonicotinoids are used in 120 countries to control insects, in Japan it has been applied to crops since 1995 [7]. This generated negative impacts on public health, the World Health Organization (WHO) estimates that each year around 500 000 to a million people are poisoned and between 5 000 and 20 000 die [8]. There is little information on neonicotinoid poisoning but in Antioquia and Salgar (Colombia), there are reports of people who were poisoned with thiamethoxam and Imidacloprid, individuals presented abundant diarrheal stools, nausea, vomiting, autonomic and neurological alterations, it is important to mention that neonicotinoids have a higher affinity with the nicotinic receptors of vertebrates and less with the receptors of invertebrates, and due to their high water solubility they do not cross the blood-brain barrier in humans, they are considered to interfere with the transmission of impulses in the central nervous system [9].
The European Union through EFSA, (European Food Safety Authority, 2012), established the maximum permissible limits for Imidacloprid at 0.05 mg/kg, thiamethoxam at 0.05 mg/kg, and for insecticides such as clothianidin at 0.02 mg/kg. The United States through the EPA (Environmental Protection Agency, 2012) established the maximum permissible limits for Imidacloprid of 1.0 mg/kg, thiamethoxam with the concentration of 0.4 mg/kg and for clothianidin there are no regulations. In Mexico there are no standards that regulate the use of neonicotinoids [10]. Neonicotinoid insecticides can act acropetally and basipetally in the plant, and can be retained by organic matter and clays, these particles are assimilated, transported and accumulated in the organs of plants such as flowers, fruits and leaves. In Venezuela, was found an Imidacloprid particle retention of 2.96 ± 1.56 in soil and thiamethoxam of 2.81 ± 1.4 mg/kg, in guava orchards [11]. Thiamethoxam is efficient in the control of Paracocus marginatus, Bemisia tabaci, Leptinotarsa decemlineata and Myzus persicae [12], [13] and [9]. This is due to the ability to translocate from the xylem and be transported to the phloem, it also has characteristics of translocation to flower pollen, there is a probability of being present in the nectar and participating in the guttation processes of plants [4], [14]. The presence of thiamethoxam in the fruits could be a reason for contamination and impact on public health, studies in the papaya culture in Veracruz, Mexico demonstrate the efficacy of the insecticide thiamethoxam in insects associated with the crop, with 15-day intervals applied to the tree canopy [14]. The use of pesticides applied to the foliage could generate residuality in fruits for human consumption, in addition to thiamethoxam due to its toxic effectiveness in pest control, in developed countries it is decreasing, with strict environmental legislation and with new active groups that exercise pressure for controlled use [15].
In Mexico, the group of neonicotinoids is widely used in tropical crops such as papaya, due to its economic importance and as the main product and export. To avoid phytosanitary problems in papaya cultivation, the rational use of pesticides and herbicides is recommended [16], [17]. The main producers in the center of the Gulf of Mexico, Veracruz, irrationally handle pesticides in the agroecosystem with papaya, intended to control nematodes, red spider mites, whiteflies and aphids, 35 % of producers use organophosphates in a higher proportion, and currently new molecules are being used to face the problems of resistance to pesticides and decrease in the effectiveness of control, such is the case of the chemical group of neonicotinoids, 6 % of the producers, use thiamethoxam, without a control in large volumes during crop cycles [18]. The objective of this research was to know the concentration and residuality of thiamethoxam in plant and fruit in the papaya agroecosystem in the main tropical fruit producing area in the center of the Gulf of Mexico, during papaya cultivation with watermelon rotation.
II. MATERIAL AND METHODS
The experiment was developed in the agroecosystem with papaya, the main crop in the central area of the Gulf of Mexico. An experimental plot was established with the Maradol papaya crop and with the watermelon rotating crop (Fig. 1), located at the coordinates 18° 53´51´´ north latitude and 96° 22´37´´ west latitude, the papaya orchard has a population density of 2778 plants/ha.

The characteristics of the experimental plot.
In the central area of the Gulf of Mexico is the main Maradol papaya producing zone, where producers use thiamethoxam during the crop cycle, with a volume of around 500 ml ha-1, to control whiteflies, thrips and aphids.
The soils of the agroecosystem with papaya in the study area are characterized by having 45 % constituted by the sowing of watermelon and papaya, on different dates and with crop rotation. The soil type is vertisol, and the insecticide thiamethoxam has a period of 5 consecutive years that is used in the papaya agroecosystem. For the study of thiamethoxam in watermelon leaf, papaya and thiamethoxam in papaya fruit; the study treatments were in phenological stages in the papaya agroecosystem; and three treatments were carried out; T1: the watermelon crop (Citrullus lanatus); T2: After the papaya transplant; T3: Papaya fruit production. In the production of papaya fruit, thiamethoxam was analyzed in three dates of papaya fruit harvests, named: T1 = Cut of fruit at 475 days, T2 = Cut of fruit at 495 days and T3 = Cut of fruit at 555 days.
The sampling technique was in accordance with the provisions of the Official Mexican Standard NOM-AA-103-1988 and the Mexican Standard NMX-FF-041-1996, The technique of the quartering method was used to analyze the papaya fruit. The samples were collected and transferred to the Laboratory of Agricultural Resources Research (LIRA) of the Technological Institute of Boca del Río.
For the determination of thiamethoxam concentrations in plant and fruit, the HPLC-UV equipment, Thermo scientific-model Finnigan surveyor, was used. It is made up of a quaternary pump, a 200 vial autosampler, a 250 µL syringe, a UV visible and fluorescence detector, contains four solvents and a separation column of 10 cm by 4.6 in diameter of 5 µ and a 20 µL loop of sample with a capture system. The instrumental conditions of the chromatographic column is C18 RP 5 µm, with a temperature of 25 ° C, a mobile phase of 45/55 (AC/AG), with a flow of 1mL min-1 and λ = 254 nm, a working range of 10 to 100 µg of thiamethoxam L-1, the linearity of R≥0.9 and a recovery of ≥90 %. For the determination of thiamethoxam, the samples were kept in refrigeration, later 5 g of the sample was added with 10 ml of Acetonitrile (CH3CN), it was left for 5 minutes; vortexed one minute, 3 ml of HPLC water was added with 6 ml of hexane (C6H14), 4 g of Magnesium Sulfate (MgSO4), 1 g of N-acetylcysteine (NAC), 500 mg of sodium citrate (Na3C6H5O7); subsequently, manual shaking was carried out for 20 seconds plus vortexing for one minute; then it was continued with 10 minutes of centrifugation; 6 ml of excess was taken and 90 mg of magnesium sulfate, 150 mg of Primary Secondary Amine (PSA), 150 mg of Octadecyl Carbon Chain (C18) were placed in tube II; stirring was carried out for 1 minute in vortex, and it was centrifuged at 5000 rpm for 10 minutes; 3 ml of supernatant was taken and brought to dryness at 40 ° C and with N2; 200 µl of methanol (CH3OH) was added to the mobile phase, and 100 µl + 900 µl was measured, and then 0.22 µl was filtered with discs, later they were recovered in vials. All the reagents used are of chromatography quality (Mr), in addition, thiamethoxam 37924-100MG-R was used as standard, with a confidence interval = 95 % / n = 6, its function point is 139.2-139.6 ° C, and its analytical test (HPLC) is 99.6 %, in water (Karl Fischer) 0.01 %. The eluted peaks for thiamethoxam, present were greater than 0.1 mg / kg. The statistical design for the analysis of plant leaves in watermelon-papaya and papaya fruit was complete random blocks with 6 repetitions. The statistical software was with the Statistica version 2007 program, with parametric (ANOVA) and non-parametric Kruskal-Wallis statistical analyzes, and categorization of graphs with pie charts.
III. RESULTS
In plant it was found that thiamethoxam in the transplant stage (T2) registered the highest values with respect to the concentrations of thiamethoxam in Citrullus lanatus (T1), this could be due to the sowing date between both crops, since It is carried out at different periods during the year, for example for papaya, the sowing date is located in the period from May to August in the central area of Veracruz., and then it begins with the sowing of watermelon in the months of December until February. In the papaya fruit production stage (T3), lower concentrations of thiamethoxam were observed in the photosynthetically active leaf, but higher than the concentrations of thiamethoxam in Citrullus lanatus leaves corresponding to T1 (Fig. 2). This phenomenon responds to the fact that papaya producers are not only producers of one species, some produce two or even three crops in the central zone of Veracruz.

80 % of the leaves sampled in papaya presented concentrations of thiamethoxam in the fruiting stage, higher than the samplings carried out in the other stages corresponding to the papaya agroecosystem; It is deduced that there is greater migration of thiamethoxam in the fruiting stage of the Carica papaya L. crop, that is, considering the osmosis processes that intervene in the plant, in high rainfall periods (Fig. 3).

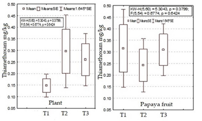
Regarding the concentrations of thiamethoxam in papaya fruits, collected in the physiological maturity stage and whole fruit, they did not present significant differences in the three main harvest cuts. At 470 days after transplantation-express values higher than 0.3 mg / kg, followed by the fruits harvested 556 days after cutting (Fig. 4). 80 % of the fruits sampled at 556 days, presented concentrations of thiamethoxam higher than the other cuttings of papaya fruits. This implies that the transpiration processes are the mechanisms by which the thiamethoxam molecule uses as a route to bioconcentrate in the fruit (Fig. 5).


The papaya fruits in physiological maturity, presented concentrations without statistically significant differences of thiamethoxam with respect to the concentrations registered in the photosynthetically active leaves, otherwise with the leaves of Citrullus lanatus (relay culture), whose values are lower than those found in growing papaya. The cause of this behavior may be in response to the doses of thiamethoxam per hectare, applied to the association and replacement of watermelon and papaya crops, or the ability of thiamethoxam to bioaccumulate in soil and be transported via apoplast and sympathetic aerial organs of plants (leaves, flowers and fruits). Considering that the input mechanisms of thiamethoxam are mainly where the processes of photosynthesis and cellular respiration take place (Fig. 6). There are other entry and exit mechanisms for thiamethoxam in the plant called porous spaces (ostioli) such as lenticels in the stems, stomata in the leaves, hydathodes in the leaves and nectaries, which play an important role in the transport of thiamethoxam. The thiamethoxam is characterized by being mobile and participating in the transpiration processes, which is why it can be in the root zone of the plants, when the thiamethoxam is applied in the irrigation system or remain in the root zone for the control of pests, this indicates their participation in the soil transport processes, such as the phenomena of water erosion, infiltration and percolation, which go directly to the aquifer. The water cycle explains the mobility process of thiamethoxam in water in the atmosphere and soil, due to the fact that thiamethoxam molecules tend to evaporate easily through the stomata of plants during the day and from the surface of the floor. The mobility of thiamethoxam in water could allow its presence in water for domestic use and for irrigation of crops (Fig. 7).


IV. DISCUSSION
The presence of thiamethoxam was found in the nectar and pollen of the plants with values of 4 µg/kg, such is the case of Cucurbita pepo, the concentrations corresponded to 12 ± 9 µg/kg in pollen and 11 ± 6 µg/kg in nectar; 13 ± 3 µg/kg of thiamethoxam were found in irrigation drops established with plants with female flowers, and in soil particles managed with plants with female flowers, a concentration of thiamethoxam of 26 ± 12 µg/kg was found [19]. The Citrullus lanatus leaves analyzed presented higher thiamethoxam residuality than Cucurbita pepo, in this sense the thiamethoxam particles in Carica papaya L. are higher than those reported for Citrulus lanatus in leaves and fruits, this phenomenon is a consequence of the crop cycle of each species. During the papaya experiment, 556 days elapsed from the transplant to the third cut in the fruit production stage, it was observed that in this period there is the presence of thiamethoxam.
This phenomenon can be attributed to the residuality of thiamethoxam, since it has a tendency to decrease over time to more than 50 %, making periodic applications of thiamethoxam every 90 days; In sandy loam and clay loam soils, residuality of linuron + thiamethoxam + mancozeb was found in concentrations of 1 380 to 1 439 mg/kg [20]. In Hungary in different types of soil thiamethoxam was found, the values were 0.20 µg/ml of thiamethoxam in clay soils, and in loamy soils 0.40 µg/ml, with respect to sandy soils it was 0.70 µg/ml, This phenomenon could be due to the structure of each soil sample, due to the influence on the concentrations of thiamethoxam in the soil atmosphere, since some types of soils have greater porosity and different texture [21]. Thiamethoxam exerts an inhibitory effect on the soil on phosphatases and dehydrogenase activities [22]. Faced with this situation, the microbial processes and the release processes of C, N and P in the soil are affected when they are interrupted with the presence of thiamethoxam, this is the result of the agronomic management of the soil such as tillage, weed control and pest control [23].
Thiamethoxam, due to its physical-chemical characteristics, is absorbed by plants and distributed throughout the structure until they become toxic for variable periods in time; Although it has a similar structure to nicotine, neonicotinoids have in their structure a nitro or cyano radical that makes them electronegative and makes them more related to nicotinic receptors in insects, in addition, they have a physiological pH that allows them to be water soluble and the volume of distribution is variable in the plant [9]. The mobility of neonicotinoids in the phloem of the plant can occur to a certain extent, but it is possible to find it in drops of guttation water from treated seeds, with the risk of causing toxicity to bees, there are arguments that mention that the drops of water of this physiological process in the plant, it does not have much relevance for the colonies of honey bees (Apis mellifera), The concentration of neonicotinoid residues in flowers, nectar and pollen, less than 20 µg/kg, has been demonstrated, these concentrations are not toxic to bees [24]. The European community, as of 2004, prohibited the use of neonicotinoids in crops, due to the mortality that occurred in honey bees, however, the review processes were continued, in addition to that residuality in pollen and nectar has been found in a range from 1 to 10 µg/kg in the case of Imidacloprid, it is estimated that acute toxicity in bees occurs from 60 µg/kg, although chronic effects have been reported in lower concentrations, In 2005, the French Community for Food Standards published a study to refute that there is no toxic influence of Imidacloprid (Neonicotinoids) on bee hives fed with syrup contaminated with Imidacloprid [15]. With respect to what was found in this study of thiamethoxam in watermelon and papaya, the concentrations exceed those established by the international standards of EPA (Environmental Protection Agency) and EFSA (European Food Safety Authority) in 2002, of 0.4 and 0.05 mg/kg, thiamethoxam at high concentrations could translocate to nectars and pollen in the flowering and fruiting stage of papaya, considering that the residuality of thiamethoxam is a function of the amount bioaccumulated in the main organs of the plant, There is a risk of consuming contaminated agricultural food, in addition, thiamethoxam could be involved in the biogeochemical processes of the papaya agroecosystem, in turn generating ecological damage to surface and underground water, which leads to negative impacts on the consumption of fish food and in the consumption of water for domestic use [18].
Previously, the damage of neonicotinoids in bees was briefly discussed. There are studies that affirm that in bees, the use of thiamethoxam in doses of 0.2, 1 and 2 ng/bee affect thermoregulation, decreases foraging activity and deteriorates the strength of the bees, colonies, reduces the density of colonies and nesting, is highly toxic to bees including bumblebees [25]. Therefore, thiamethoxam is one of the agents responsible for the drainage of bees and the contamination of surface and ground water, its characteristics of toxic bioaccumulation of difficult mineralization and highly resistant to biological treatment, represents a risk for ecosystems and the human health [26]. The environmental profile of neonicotinoids such as thiamethoxam indicate that they are persistent with high potential for leaching and runoff, highly toxic to a wide range of invertebrates, generating a significant risk for aquatic and terrestrial fauna of ecosystems [27]. In Croatian studies in the cultivation of sugar beet (Beta vulgaris vulgaris var. altissima), residual neonicotinoids were found in beneficial soil organisms, such as earthworms and ground beetles; in beetles, Imidacloprid was found at a concentration of 0.027 mg/kg, in earthworms it was 0.2141 mg/kg, while for Thiamethoxam it does not exceed 0.0008 mg/kg in these organisms [28]. In Sri Lanka, 56 patients poisoned with Imidacloprid presented to the emergency department were reported, demonstrating that neonicotinoids reach high concentrations in the blood of humans once administered orally and can remain for 10 to 15 hours [9]. The risk of harm from thiamethoxam to the population of adolescents, adults and schoolchildren in the state of Veracruz, Mexico has been estimated, fetoxicity and skeletal anomalies (malformations) have been demonstrated [29].
V. CONCLUSION
Thiamethoxam was found in watermelon leaves with values of 0.15 mg/kg, and in papaya leaves the highest values were 0.29 mg/kg, when papaya plants were transplanted in the field. The residuality in whole papaya fruit in the three cuts in physiological maturity had a similar behavior, but they exceeded the concentrations of thiamethoxam in leaves, this indicates that thiamethoxam migrates to bioconcentrate in papaya fruits. The thiamethoxam values in papaya fruit correspond to 0.24 to 0.32 mg/kg.
The concentrations of thiamethoxam exceed the residuality and tolerance values of EFSA (European Food Safety Authority) and FAO (Food and Agriculture Organization of the United Nations). But some concentrations are below the limits of tolerance and residuality of the EPA (United States Environmental Protection Agency).
VI. REFERENCES
[1] D. Armenteras, T. M. González, L. K. Vergara, F. J. Luque, N. Rodríguez and M. A. Bonilla., “Revisión del concepto de ecosistema como unidad de la naturaleza 80 años después de su formulación,” Ecosistema, vol. 25, no.1, pp. 83-89, 2016. https://doi.org/10.7818/ECOS.2016.25-1.12
[2] D. H. Ramírez, A. M. Zuluaga and E. de J. Gómez “Evaluación del riesgo de contaminación por metamidofos en la microcuenca el salto del municipio de El Santuario, Antioquia,” Revista EIA, vol. 8, pp. 165-180, 2007.
[3] C. J. M. Bonmatin, V. C. Giorio, V. Girolami, D. Goulson, D. P. Kreutzweiser, C. K. Krupke, M. Liess, E. Long, M. Marzaro, A. D. Mitchell, D. A. Noome, N. Simon-Delso and A. Tapparo, “Enviromental fate and exposure; neonicotinoids and fipronil,” Environ Sci Pollut Res., vol. 22, pp. 35-67, 2015. https://dx.doi.org/10.1007/s11356-014-3332-7
[4] J. P. Van der Sluijs, N. Simón-Delso, D. Goulson, L. Jean-Mar Bonmatin and L. P. Belzunces, “Noenicotinoids, bee disorders and the sustainability of pollinator services. Current opinión in Environmental Sustainability, vol. 5, pp. 293-305, 2013. http://dx.doi.org/10.1016/j.cosust.2013.05.007
[5] R. G. I. Diez, G. C. De Baptista, L. R. P. Trevizan, M. L. Haddad and E. D. Nava, “Residuos de tiametoxam, aldicarbe e de seus metabólitos em folhas de cafeeiro e efeito no controle de Leucoptera coffeella (Guerin-Meneville) (Lepidoptera: Lyonetiidae). Crop protection,” Neotropical Entomology, vol. 35, no. 2, pp. 257-263, 2006. https://doi.org/10.1590/S1519-566X2006000200016
[6] G. J. V. Megchún, C. Ma. del R. Castañeda, L. D. A. Rodríguez, G. J. Murguía, R. F. Lango and O. O. R. Leyva, “Thiamethoxam in tropical Agroecosystems,” Global Journal of Biology, Agriculture & Health Sciences. vol. 5, no. 3, pp. 75-81. 2016.
[7] M. Renaud, T. Akeju, T. Natal-da-luz, S. Lestón, J. Rosa, F. Ramos, J. P. Sousa and H. M. V. S. Azevedo-Pereira, “Effects of the noenicotinoids acetamiprid and thiacloprid in their commercial formulations on soil fauna,” Chemosphere, vol. 194, pp. 85-93, 2018. https://doi.org/10.1016/j.chemosphere.2017.11.102
[8] S.B. Valdez, D. E. L. García, R. J. M. Cobo and B. G. López, “Impacto de los plaguicidas en la salud de los habitantes del valle de Mexicali, México,” Rev. Ecologica Latino Americana, vol. 6, no. 3, pp. 15-21, 2000.
[9] A. F. Estrada, . M.C. Berrouet and J. A. Giraldo, “Toxicidad por neonicotinoides: revisión de tema y reporte de dos casos,” Medicina U.P.B. vol. 35, no. 1, pp. 41-46, 2016. https://doi.org/10.18566/medupb.v35n1.a06
[10] B. M. A. Sánchez, B. F. Santamaría, L M. J. Zavala and N. C. López, “Plaguicidas organosintéticos autorizados en México y el mercado internacional para su uso en papaya”. Instituto Nacional de Investigaciones Forestales, Agrícolas y Pecuarias. Campo Exprimental Mocochá. Centro de Investigaciones Regional Sureste. Mérida, Yucatán, México. 2012. 36 p.
[11] G. Ettiene, R. Bauza, L. Sandoval, D. Medina, J. Raga, M. Quiros, Y. Petit, N. Poleo and I. Dorado, “Estudio de la sorción de los insecticidas imidacloprid y tiamethoxam en muestras de suelo,” Revistas Facultad de Agronomía, vol. 33, pp. 458-481, 2016. https://produccioncientificaluz.org/index.php/agronomia/article/view/27210
[12] University the Hertfordshire. PPDB: Pesticide Properties database. 2015.
[13] A. Seni and A. K. Sahoo, “Efficacy of certain insecticides on papaya mealybug, Paracoccus marginatus Williams y Granara de Willink (Hemiptera: Pseudococcidae),” Journal of Entomology and Zoology Studies, vol. 3, no. 4, pp. 14-17, 2015.
[14] G. J. V. Megchún, C. Ma. R. Castañeda, L. D. A. Rodríguez, G. J. Adame, G. J. Murguía, R. F. Lango and O. O. R. Leyva, “Use of thiamethoxam, associated with insect populations in papaya (Carica papaya Linnaeus) cultivation,” International Journal of Research Granthaalayah, vol. 6, no. 1, 2018. https://doi.org/10.5281/zenodo.1168978
[15] G. J. Devine, D. Eza, E. Ogusuku and M. J. Furlong Uso de insecticidas: contexto y consecuencias ecológicas. Rev. Perú Med. Salud Pública , vol. 25, no.1, pp. 74-100, 2008.
[16] A. Bogantes A., M. Hernández C. and E. Mora N., “ Herbicidas para el control de Spermacoce tenuior L. En papaya (Carica papaya L.),” Agronomía Mesoamericana, vol. 21, no. 1, pp. 185-192, 2010.
[17] A. Vásquez L., E. Hernández C., A. Mora A., C. Nava D. and F. Sánchez G., “Etiología y epidemiología de la necrosis de flores y frutos juveniles del papayo (Carica papaya L.) en Guerrero, México,” Agrociencia, vol. 46, pp. 757-767, 2012.
[18] G. J. V Megchún, L. D. A. Rodríguez, C. Ma. del R., Castañeda, G. J. Murguía, R. F. Lango and O. O. R. Leyva, “Thiamethoxam in papaya (Carica papaya Linnaeus) Agroecosystems,” International Journal of Environment, Agriculture and Biotechnology, vol. 2, no. 2, pp. 874-880, 2017. http://dx.doi.org/10.22161/ijeab/2.2.40
[19] K. A. Stoner and B. D. Eitzer, “Movement of soil-applied Imidacloprid and Thiamethoxam into néctar and pollen of squash (Cucurbita pepo),” Plos one, vol. 7, no. 6, e39114, 2012. http://dx.doi.org/10.1371/journal.pone.0039114
[20] M. Swarcewicz, A. Gregorczyk and J. Sobczak, “Comparison of linuron degradation in the presence of pesticide mixtures in soil under laboratory conditions,” Environ monit assess., vol. 185, pp. 8109-8119, 2013. http://dx.doi.org/10.1007/s10661-013-3158-7
[21] M. Mortl, O. Kereki, B. Darvas, S. Klatyik, A. Vehoszky, J. Gyori and A. Szekacs, “Study on soil mobility of two neonicotinoid insecticides,” Journal of Chemistry, p. 6, 2016. http://dx.doi.org/10.1155/2016/4546584
[22] . G. Jyot, K. Mandal and B. Singh, “Effect of dehydrogenase, phosphatase and urease activity in cotton soil after applying thiamethoxam as seed treatment,” Environ Monit Asses, vol. 187, no. 298, 2015. https://doi.org/10.1007/s10661-015-4432-7
[23] C. Henríquez, L. Uribe, A. Valenciano and R. Nogales, “Actividad enzimática del suelo-deshidrogenasa, β-glucosidasa, fosfatasa y ureasa-bajo diferentes cultivos,” Agronomía Costarricense,vol. 38, no. 1, pp. 43-54, 2014.
[24] C. van Breukelen and y C. Maus, “Seguridad de los insecticidas neonicotinoides para las abejas,” Bee Care Center. Beeinformed, 3, 2017. https://www.bayer.com/sites/default/files/BEEINFOrmed_3_Bee_Safety_of_Neonicotinoids__Spanishj4qsl75i_0.pdf
[25] N. Y. Martin and N. E. Suárez, “Daño colateral en abejas por la exposición a pesticidas de uso agrícola,” Entramado, vol. 14, no. 1, pp. 232-240, 2018. https://doi.org/10.18041/entramado.2018v14n1.27113
[26] J. C. Forti, P. E. M. Robles, Y. S. Tadayozzi, M. A. F. Demori, F. A. Santos, F. F. Putti and E. F. Vicente, “Electrochemical processes used to degrade thiamethoxam in water and toxicity analyses in non-target organisms,” Processes, vol. 12, no. 5, p. 887, 2024. https://doi.org/10.3390/pr12050887
[27] K. Y. García, M. Salazar and J. E. García, “Efecto del neonicotinoide-tiametoxam en el desarrollo embrionario del pez cebra (Dania rerio),” Rev. Toxico, vol. 35, pp. 22-27, 2018.
[28] G. H. Viric, D. Lemic and R. Bazok, “Neonicotinoid residues in earthworms and ground beetles under intensive sugar beet production preliminary study in Croatia,” Agronomy, vol. 12, no. 9, 2022. https://doi.org/10.3390/agronomy12092102
[29] J. Díaz, A. Barraza, L. Yánez and L. Hernández, “Plaguicidas en alimentos: riesgo a la salud y marco regulatorio en Veracruz, México,” Salud pública Mex., vol. 63, pp. 486-497, 2021. https://doi.org/10.21149/12297