Miscellaneous/Misceláneos
Effect of idling and power demand on fuel consumption and CO₂ emissions from taxis
Effect of idling and power demand on fuel consumption and CO₂ emissions from taxis
Enfoque UTE, vol. 16, núm. 1, pp. 1-9, 2025
Universidad UTE
Recepción: 14 Noviembre 2024
Revisado: 14 Noviembre 2024
Aprobación: 26 Noviembre 2024
Abstract: — Urban driving worldwide is characterized by frequent vehicle idling due to traffic congestion, which significantly impacts fuel consumption and vehicle emissions. While strategies such as eco-driving techniques and start-stop systems have been studied extensively in various regions, limited research has been conducted to assess their effects in Latin America. This study evaluates the impact of idling, traffic, and ecodriving on fuel consumption and well-to-wheel (WTW) CO₂ emissions in urban taxi operations under real traffic conditions in Ecuador. Real-world driving data were collected using on-board diagnostics (OBD). A key innovation of this research is the assessment of alternative scenarios, with reduced idling times and power demand, based on the Vehicle Specific Power (VSP) approach. As result, five scenarios were examined: baseline, eco-driving, low traffic, start-stop technology, and a combined scenario. The results shows that urban driving resulted in the highest WTW CO₂ emissions (354 gCO₂/km) compared with rural and highway driving. The combined scenario, which merges lower power demand with start-stop technology, achieved the greatest improvements, reducing WTW CO₂ emissions and fuel consumption by 15% compared to the baseline scenario. Annually, the combined scenario could avoid 3.68 tons of CO₂ emitted per vehicle and fuel savings of 870 USD. These findings underscore the potential of ecodriving and start-stop technology in reducing fuel consumption and emissions to mitigate the environmental impact of road transportation.
Keywords: - taxis, ecodriving, well-to-wheel CO₂ emissions, on-board diagnosis, idling, vehicle specific power (VSP)..
Resumen: — La conducción urbana a nivel mundial se caracteriza por el frecuente tiempo en ralentí de los vehículos, debido a la congestión del tráfico. Esto impacta significativamente en el consumo de combustible y las emisiones de los vehículos. Si bien se han estudiado ampliamente estrategias como las técnicas de conducción ecológica y los sistemas start-stop en varias regiones, se ha realizado poca investigación para evaluar sus efectos en América Latina. Este estudio evalúa el impacto del ralentí, el tráfico y la conducción ecológica en el consumo de combustible y las emisiones de CO₂ de pozo a rueda (WTW) en las operaciones de taxis urbanos bajo condiciones de tráfico real en Ecuador. Se recopilaron datos de conducción real utilizando diagnóstico a bordo (OBD). Una innovación clave de esta investigación es la evaluación de escenarios alternativos, con tiempos ralentí y demanda de potencia reducidos, basada en el enfoque de Potencia Específica del Vehículo (VSP). Como resultado, se examinaron cinco escenarios: línea base, conducción ecológica, bajo tráfico, tecnología start-stop, y un escenario combinado. Los resultados muestran que la conducción urbana resultó en las mayores emisiones de CO₂ WTW (354 gCO₂/km) en comparación con la conducción rural y en carretera. El escenario combinado, que fusiona una menor demanda de potencia con la tecnología start-stop, logró mayores mejoras, reduciendo las emisiones de CO₂ WTW y el consumo de combustible en un 15 % en comparación con el escenario base. Anualmente, el escenario combinado podría evitar 3.68 toneladas de CO₂ emitidas por vehículo y ahorrar 870 USD en combustible. Estos hallazgos subrayan el potencial de la conducción ecológica y la tecnología de arranque y parada para reducir el consumo de combustible y las emisiones, contribuyendo a mitigar el impacto ambiental del transporte por carretera.
Palabras clave: - taxis, ecoconducción, emisiones de CO₂ de pozo a la rueda, diagnóstico a bordo, ralentí, potencia específica del vehículo..
I. INTRODUCTION
The global challenge of climate change has driven nations worldwide to adopt severe policies aimed at curbing the rise in global temperatures. The Intergovernmental Panel on Climate Change (IPCC) warns that if the current rate of warming continues, the planet is likely to experience a 1.5 °C increase in human-induced global warming by 2040 [1]. A major strategy to mitigate climate change involves reducing emissions from the road transport sector, either through the promotion of cleaner vehicle technologies or the implementation of efficient emissions control systems [2]. In Latin America and the Caribbean (LAC), road transport represents 95 % of the total energy consumption in the transport sector, with cars and light commercial vehicles accounting for over 55 % of this demand [3]. Ecuador faces a significant challenge with its road transport sector, which contributes approximately 14.3 million tons of CO₂ emissions annually [4]. The country’s fuel subsidies, which cover 68 % of the annual fuel costs for road transportation, exacerbate the issue by encouraging higher fuel consumption and emissions. Adjusting these subsidies could play a pivotal role in making the road transport system more sustainable. However, the lack of a comprehensive and low-cost methodology for estimating fuel consumption across Latin America further complicates efforts to address this issue. Despite these challenges, the implementation of fuel-saving strategies could potentially result in savings of over 550 million barrels of oil by 2030 [5]. Addressing vehicle emissions and fuel consumption is not only critical for mitigating environmental damage but also for improving public health.
Nowadays, some of the most urbanized regions in the world include Northern America (82 % of its population living in urban areas as of 2018), Latin America and the Caribbean (LAC) with 81 %, followed by Europe (74 %), and Oceania (68 %). Meanwhile, Asia's urbanization level has reached nearly 50 %, and Africa remains predominantly rural, with only 43 % of its population living in cities [6]. In LAC, rapid urbanization has placed immense pressure on mobility systems, which often lack the capacity and infrastructure to meet the growing demands of urban populations. This has led to a reliance on inefficient transportation solutions such as taxis and motorcycles, which are typically low-capacity and inefficiently routed [7]. The prevalence of these modes of transport complicates efforts to manage energy consumption and implement effective fuel-saving policies. In many urban areas, taxis have become the preferred mode of transportation, contributing significantly to traffic congestion, especially during peak hours. This congestion leads to increased idling and stop-start driving, both of which result in higher fuel consumption and elevated CO₂ emissions [8]. As a result, addressing the inefficiencies in urban transport systems, particularly in terms of vehicle emissions and energy use, is crucial for enhancing sustainability and reducing the environmental impact in these rapidly urbanizing regions. Effective policy interventions, such as optimizing public transportation and adjusting transportation subsidies, are critical to tackling these challenges and improving urban mobility in LAC and countries like Ecuador.
Vehicle performance is influenced by various internal factors such as technology, powertrain configuration, and fuel type, as well as external factors like regulations, driving behavior, traffic conditions, and road quality. In urban environments, traffic congestion significantly increases vehicle emissions due to the high frequency of idling and repeated acceleration and deceleration cycles. To mitigate the problems related to traffic congestion, several studies have explored strategies like reducing idling times, implementing eco-driving techniques, and utilizing start-stop systems, which collectively offer substantial fuel savings by minimizing unnecessary braking and acceleration. Idling alone accounts for 6 % to 8 % of CO₂ emissions, 0.2 % to 0.5 % of CO emissions by volume, and hydrocarbon emissions can reach up to 2.5 parts per million (ppm) during idle periods [9]. Eco-driving, which involves maintaining a steady speed, avoiding harsh braking, and minimizing idling, has demonstrated average fuel savings of 6 % per trip with only a 1.5 % increase in travel time [10]. These benefits are seen across different vehicle types and driving environments, highlighting the potential of eco-driving to contribute to emission reduction goals without significantly disrupting traffic flow.
Start-stop systems, which automatically shut off the engine when the vehicle is stationary, can further reduce fuel consumption to zero during idle periods, effectively eliminating associated emissions. Despite the proven benefits, these technologies remain underutilized in LAC, where emissions regulations typically do not address CO₂ emissions. The absence of CO₂limits allows vehicles with higher fuel consumption and carbon footprints to continue entering the market, undermining progress toward carbon neutrality [11]. Additionally, the lack of stringent regulations reduces incentives for automakers to adopt fuel-saving technologies, such as hybridization, engine downsizing, and start-stop systems, which could play a pivotal role in reducing emissions and improving energy efficiency in the region. Addressing this regulatory deficiency is crucial for aligning the LAC region with global emission reduction targets and fostering a transition toward cleaner, more efficient transportation systems.
In recent years, the global automotive industry has seen considerable variation in the fuel consumption of newly registered light-duty vehicles (LDVs), which averaged 7.2 liters of gasoline-equivalent per 100 kilometers (L/100 km) in 2017. Significant disparities in fuel consumption exist between countries, with advanced economies like Australia, Canada, and the United States, where gasoline prices are below USD 1 per liter, averaging higher fuel consumption rates of 7.9 to 9 L/100 km. In contrast, countries with higher fuel prices, such as those in the European Union, Japan, and Korea, achieve lower fuel consumption figures, ranging from 5.2 to 6.5 L/100 km. Emerging economies also show variation, with average consumption between 6.5 and 8.5 L/100 km, although India stands out as an exception with a notably lower rate of 5.6 L/100 km [12].
The variation in fuel consumption across regions is largely driven by factors such as fuel pricing, regulatory frameworks, and the adoption of fuel-efficient technologies. These disparities highlight the urgent need for tailored policies that address the unique challenges of each region in reducing fuel consumption and vehicle emissions. In emerging economies, where regulatory structures and technological adoption may lag, there is a critical demand for standardized and cost-effective methodologies to evaluate fuel consumption. One such approach is the Vehicle Specific Power (VSP) methodology, which provides a valuable tool for estimating fuel economy and mobile source emissions by analyzing the relationship between driving patterns and vehicle performance [13]. VSP offers a detailed understanding of how factors like acceleration, road grade, and speed influence fuel consumption, making it an essential framework for developing fuel-saving strategies, particularly in regions where conventional testing infrastructure may be limited.
A key gap in the existing literature is the limited research on the effects of idling on fuel consumption and emissions in taxis, particularly in high-altitude cities. While some studies have explored vehicle performance using OBD systems, these are few and often limited in scope, highlighting the need for more accessible, low-cost equipment for widespread application. Additionally, there is a lack of studies that specifically examine the impact of eco-driving techniques and the use of start-stop systems on fuel consumption in urban taxi fleets. Although the VSP approach has shown promise in analyzing fuel economy and emissions, its application in studies across LAC has been limited.
This study investigates the effects of idling, traffic conditions, and eco-driving on fuel consumption and well-to-wheel (WTW) CO₂ emissions of taxis in urban environments, leveraging real-world driving data collected through the On-Board Diagnostics (OBD) system. The innovative aspect of this research is the application of the Vehicle Specific Power (VSP) methodology to simulate alternative vehicle operation scenarios, including eco-driving techniques and start-stop system use. By integrating the Well-to-Tank approach, the study provides a comprehensive analysis of fuel consumption and emissions, offering key insights into strategies for enhancing taxi performance and minimizing environmental impact, especially in high-altitude urban areas. Five scenarios—eco-driving, low traffic conditions, start-stop technology, and a combined approach—were evaluated using VSP to assess the performance of a representative vehicle in Ecuador. This approach highlights the potential benefits of adopting these strategies to significantly reduce fuel consumption and CO₂ emissions in urban taxi fleets.
The structure of this paper is organized as follows: Section 2 details the methodology, including the tested vehicles, measurement campaign, and the definition of operating modes. It also explains the VSP approach, emissions modeling, and the simulation scenarios. Section 3 presents and analyzes the results, discussing their implications for fuel efficiency and emissions reduction in urban taxi fleets. Finally, Section 5 offers the concluding remarks, summarizing key findings and their relevance to improving vehicle performance and reducing environmental impacts in urban settings.
II. METHODOLOGY
A. Tested vehicles
Two gasoline-powered passenger vehicles representative of the Ecuadorian fleet was selected to assess emissions and fuel consumption in real-world conditions. The vehicles were modeled as an average vehicle, using the VSP methodology.
Over the past decade, the Chevrolet Aveo and Chevrolet Sail has been among the most used for taxi services in various cities across Ecuador. The Chevrolet Aveo was the best-selling model in its segment in Ecuador, with approximately 70,000 units sold between 2009 and 2019, and reported by the Association of Automotive Companies of Ecuador [14]; its successor, the Chevrolet Sail, became the top-selling vehicle in the same segment, with 10,000 units sold between 2019 and 2023 [15]. The purpose of selecting these models is to compare the technological development in emissions of the current vehicle with its predecessor, as both share similar technical characteristics. The characteristics, including displacement, weight, engine torque and power are typical of the country's automotive segment. Additional details about the vehicle can be found in Table I.

Notably, the tested vehicles underwent a comprehensive preventive and corrective maintenance program to ensure the reliability of the study's results.
B. Measuring campaign
The measuring campaign was performed in the city of Ibarra, located in Ecuador and serving as the capital of Imbabura Province. The selection of Ibarra as the study site is based on a thorough analysis of its mobility landscape and the rapid growth of its automotive fleet, making it an ideal representation of intermediate high-altitude cities in Ecuador and Latin America. According to the United Nations (UN) definition and various studies, the population of intermediate cities ranges from 20,000 to 500,000 inhabitants, depending on factors such as population density and the country’s urban system [16]. Ibarra, situated in a valley at an altitude of 2,200 meters above sea level, currently has an estimated population of 221,000 residents, a number that continues to rise [17]. Additionally, the province has seen a significant 55 % increase in its automotive fleet from 2013 to 2022.
The vehicles were driven by professional drivers during real-world taxi trips. The driving profiles from passenger cars were derived from real-world data collected at 1-second intervals. As shown in Fig. 1, these profiles are recorded using a GPS+GLONASS logger GL-770 [18]. The speed data was smoothed, and road grade was adjusted using altitude profiles, following the methodology outlined in Regulation EU 2018/1832 [19].
To record engine operating parameters and vehicle fuel consumption data, an OBD interface device ELM 327 [20] was connected to the Torque Pro mobile phone application. The ELM 327 was connected to the OBD2 diagnostic port to read engine operating parameters in real time from the engine control unit (ECU). Simultaneously, these parameters were transmitted via Bluetooth from the ELM 327 to the Torque Pro mobile application for recording and further synchronizing process.

Long stops higher than 300s were removed from data because they represent stops at the taxis stands. During the tests, a minimum altitude of 2155 meters above sea level was reported. The total positive elevation gain during the test was 343 meters, indicating significant changes in the road levels, particularly in rural and highway segments, which is typical of high-altitude locations
C. Definition of operating modes
The driving mode is described as [21], however, we used 2 km/h as threshold to define not idling driving modes (Eq. 1-2-3-4).
[Eq.1]
[Eq.2]
[Eq.3]
[Eq.4]D. Vehicle specific power and emissions modelling
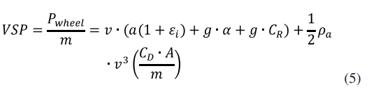
The tractive power refers to the instantaneous power supplied by the engine to alter the kinetic and potential energies of the vehicle, while also counteracting rolling resistance and aerodynamic drag. As a mass-independent parameter, tractive power is commonly expressed as Vehicle Specific Power (VSP) in units of W kg−1. VSP is widely utilized in emissions research and modeling, including the Motor Vehicle Emission Simulator (MOVES) model employed by the United States Environmental Protection Agency (EPA). The formulation of VSP is described in references [22], [23] (Eq. 5).
[Eq.5]where
corresponds to the vehicle mass,
is speed (in m s−1),
is acceleration (in m s−2),
∼ 0.1 is the mass factor for rotational masses,
= 9.81 m s−2 is the acceleration of gravity,
is the road grade,
is the rolling resistance coefficient (dimensionless),
is the drag coefficient (dimensionless),
is the air density (1.207 kg m−3 at 20 °C and 1.013 bar), and
is the cross-sectional area (in m2). VSP values are binned in 14 modes, establishing different VSP modes and derived power usage, as presented in Table II[24], [25], [26], [27].

The emissions outcomes from the conventional VSP method depend on the average emission level of each of the 14 VSP modes. The instantaneous emission p (in g) of the pollutant i is equal to the average emission
(in g) of the VSP mode k [28](Eq. 6).
[Eq.6] The total emission
(in g) of the pollutant i are computed using the number of datapoints for each VSP mode as (Eq. 7):
[Eq.7] where k is the VSP mode, N the number of data points, and
is the VSP-mode average emission (g).
E. Simulation scenarios
1) Baseline scenario
In the baseline scenario for this study, the real-world fuel consumption is used to derive the CO₂ emissions and the fuel consumption. The baseline scenario is crucial in evaluating the impact of alternative scenarios or experimental conditions presented below.
2) Ecodriving scenario
In the Eco driving scenario, VSP power usage levels categorized as ‘normal usage-high power’, and ‘extra-high power’ were substituted with a minimum level of ‘normal usage-low power’. Thus, VSP values exceeding 4 W/kg were replaced with the corresponding emissions and fuel consumption values specific to the VSP bin 4 category. This alternative scenario aims to evaluate the potential impact of less aggressive driving behavior on overall emissions and fuel efficiency.
3) Low traffic scenario
In this scenario, all vehicle stops lasting longer than 60 seconds were excluded from the dataset. The average stop time in urban driving and traffic can vary depending on traffic density, signal timings, and road conditions. In congested urban environments, stop times can be significantly higher, especially during peak hours, where idle times exceed 30-60 seconds per stop [29].
4) Start-stop scenario
In the start-stop scenario, vehicle stops larger than 2 seconds were removed from the dataset. The fuel consumption by restart of the engine after the start-stop action was assumed to be increased by 3 %.
5) Combined strategies scenario
This scenario evaluated the combined effects of ecodriving and start-stop scenarios. Since a start-stop device turns off the vehicle during traffic congestions, long stops and congestion become less relevant for the comparison in terms of GHG emissions.
F. Emission Factors
1) Well-to-wheel emissions
The WTW CO₂ emissions were computed from the fuel consumption and based on the emission values reported by the ICCT in the ‘Global comparison of the life-cycle greenhouse gas emissions of combustion engine and electric passenger cars’ [30]. The reported values were 19.9 gCO₂/MJ and 73.4 gCO₂/MJ for WTT and TTW emissions for gasoline, respectively. The low heat value for the gasoline (LHV) was 32.1 MJ/lt. The well-to-tank (WTT) emissions of gasoline —primarily related to petroleum extraction, processing, and transportation—along with the tank-to-wheel (TTW) emissions from fuel combustion in vehicles. The WTT emissions were calculated by integrating these TTW figures with the well-to-wheel (WTW) emissions outlined in the European Union’s Fuel Quality Directive [31] and the U.S. Renewable Fuel Standard Program [32]. The TTW emissions are based on data from a report by a consortium consisting of the European Commission’s Joint Research Centre, EUCAR, and Concawe [33].
2) Distance-specific emission factors
For pollutant j and road section k, the raw distance-specific emission factor (in mg km⁻1) was computed as (Eq. 8)
[Eq.8]where
is the instantaneous emission (in mg s⁻1) during the distance
(in km), and
is the sampling time of 1 s.
G. Fuel cost and annual mileage
Fuel savings were calculated based on the reduction in fuel consumption per kilometer for each scenario and the current average price for the gasoline in Ecuador. The analysis assumes an annual mileage of 70,000 km/year or 200 km/day, typical for taxis [34]. As of August 2024, under Presidential Decree No. 308 [35], gasoline prices in the country were liberalized, allowing for price adjustments tied to international oil prices. However, the decree guarantees a maximum monthly increase of 5 % and a maximum reduction of 10% in the price. While prices fluctuate, the average cost over recent months has been 2.68 USD per gallon or 0.71 USD per liter of gasoline. The calculation is done only for urban driving since taxis are most of the time used in this area.
III. RESULTS AND DISCUSSION
A. Vehicle activity
These results provide a comprehensive overview of the vehicle's performance across different driving conditions and altitude variations, which will be used for subsequent emissions analysis. The distribution of time spent across different driving environments was 67 % in urban, 27% in rural, and 6 % in highway driving, while the distance corresponded to 64 % in urban settings, 26 % in rural areas, and 10 % on highways.
The time spent in different driving modes was categorized into four distinct phases: idle, deceleration, acceleration, and cruising. Overall, 34 % of the total testing time was spent in idle mode, 25 % in deceleration, 29 % in acceleration, and 12 % in cruise mode.
Fig. 2 illustrates the time share across driving modes in urban environment for baseline, ecodriving, low traffic, start stop, and combined scenarios. The smoothed acceleration mode (light yellow) represents the conditions where high power demand observations were replaced by low power demand values. The vehicle spent 33 % idling, 25% decelerating, 29 % accelerating, and 13 % cruising under the baseline scenario. As reference, the idling time of NEDC and WLTC driving cycles, corresponds to 22.6 % and 13.4 %, respectively [36]. This study shows that overall idling time in real-world conditions is higher than driving cycles. These values reflect the more frequent stops and starts typical of city driving characterized by frequent stops at traffic lights and congestion under low speeds.

For the ecodriving scenario, part of the acceleration conditions under high power demand is replaced by smoothed accelerations, which becomes 13 % of the driving time. In the low traffic scenario, idle time further decreases to around 26%. With fewer prolonged stops, vehicles spend more time cruising and reduced total travel time to destiny. This result indicates that reduced traffic congestion allows for more continuous vehicle movement, thus increasing overall efficiency.
In the start-stop scenario, designed to eliminate idle time through the use of start-stop technology, acceleration time dominates this scenario. However, in heavy urban traffic with frequent short stops, the effectivity of this system may be reduced due to the frequent restarting of the engine, potentially diminishing its overall benefits [37]. The combined scenario leads to no idle time like to the start-stop scenario and 20 % of the time in smoothed acceleration mode. The redistribution of time shares for acceleration and deceleration reflects the smoother driving associated with ecodriving, in conjunction with the elimination of unnecessary idling through start-stop functionality. This scenario represents the optimal configuration for urban driving, merging both strategies to achieve significant improvements in fuel efficiency and emissions reduction.
1) Stops
Fig. 3 presents the distribution of stop time recorded during the urban driving test. The histogram illustrates a highly skewed distribution with the majority of stop times concentrated in the lower range. The stop time data predominantly falls below 50 seconds, with a peak between 0 and 10 seconds. As stop time increases, the frequency sharply decreases, indicating that most stops during the test were of short duration.

Additionally, the dashed vertical line represents the median of 20.5 s, which is positioned within the lower part of the distribution, reaffirming the preponderance of shorter stops. Few instances of stop times exceed 100 seconds. These results suggest that in typical urban driving conditions, stops tend to be brief, but outliers representing prolonged stops occur infrequently.
B. VSP distributions
Fig. 4 shows the frequency distributions for the VSP modes for each scenario. The VSP modes do not exceed bin 10, reflecting the urban driving patterns in these scenarios. The baseline scenario exhibits the highest frequency of observations in bin 3. This idling frequency significantly decreases in the low traffic, start-stop, and combined scenarios. Note that Fig. 4 shows the VSP mode distributions during the engine operation. Additionally, VSP mode 4 is more prevalent in the ecodriving scenario, and subsequently in the combined scenario, due to the shift from higher power demand bins to VSP mode 4.

C. Baseline fuel consumption and emissions
For comparison, and the use along this study, the average vehicle across all driving conditions had an overall fuel consumption of 11.2 L/100km. Considering the driving zone, the average vehicle achieved 11.8 L/100km in urban driving, 10.8 L/100km in rural driving, and 8.2 L/100km on highways.
Taking the average vehicle, Fig. 5 presents the well-to-wheel (WTW) CO₂ emissions for three driving zones: urban, rural, and highway. The emissions are divided into two components: fuel consumption and fuel production, with total emissions reported in grams of CO₂ per kilometer (gCO₂/km).

As is shown, CO₂ emissions from fuel consumption is higher than fuel production. Fuel consumption emissions represent 79 % of WTW emissions. The urban driving exhibits the highest total WTW emissions, having 354 gCO₂/km. Of this total, 279 gCO₂/km, is attributed to fuel consumption, while the remaining emissions from fuel production. This high emission level in urban settings can be linked to frequent idling, stop-and-go traffic, and the relatively low average speeds characteristic of city driving. These conditions lead to less efficient fuel combustion, thereby increasing both fuel consumption and overall emissions.
In contrast, the rural driving shows a slight reduction in WTW emissions, reaching 322 gCO₂/km. This reduction can be explained by the typically higher speeds and fewer stop-start events in rural driving, which allow for more efficient fuel use.
The highway driving zone demonstrates the lowest WTW emissions, falling below 244 gCO₂/km. The efficiency gains associated with highway driving can be attributed to sustained higher speeds and fewer interruptions, allowing the engine to operate in their optimal fuel efficiency range for extended periods [38]. Additionally, highway driving involves less acceleration and deceleration, which further enhances fuel efficiency.
Overall, these results illustrate the substantial variability in WTW CO₂ emissions across different driving environments. Urban driving, with its frequent stops, lower speeds, and higher idling times, is associated with the highest emissions, underscoring the need for targeted interventions such as enhanced traffic management, eco-driving practices, and the adoption of start-stop systems to reduce fuel consumption in cities.
D. Fuel consumption and emissions in alternative scenarios
Fig. 6 and Fig. 7 provide a comparison of fuel consumption (in L/100km) and well-to-wheel CO₂ emissions (in gCO₂/km) across five evaluated scenarios in urban driving: baseline, ecodriving, low Traffic, start-stop, and combined scenario. InFig. 7, WTW emissions are divided into fuel consumption and fuel production, with percentage reductions from the Baseline scenario indicated for each alternative.
The baseline scenario has the highest emissions, while each strategy leads to progressively lower emissions, with the combined approach yielding the largest reduction of 15 % in emissions and fuel consumption. Together, these figures demonstrate that implementing fuel-saving techniques and technologies can simultaneously improve fuel consumption and reduce environmental impact.


The ecodriving scenario, achieved a 4 % reduction in totalWTW CO₂ emissions compared to the Baseline. This relatively modest reduction can be attributed to improvements in fuel efficiency through better driving practices, represented in this study by a driving style with reduced power demand. In the low trafficscenario, where stops longer than 60 seconds are removed, WTW emissions decreased by 5 %. The reduction in fuel consumption under low traffic conditions has a direct impact on the overall emissions, especially in urban areas where idling is common.
Consequently, the start-stop scenario demonstrates a 10 % reduction in WTW CO₂ emissions and fuel consumption. This significant reduction is achieved by utilizing start-stop technology to eliminate idle fuel consumption. The near-complete elimination of idling substantially reduces fuel consumption, leading to a more noticeable decrease in overall emissions compared to ecodriving or low traffic scenarios. A reduction of 2.5–4.8 % in CO₂ emissions were found under the NEDC and WLTC cycles and 4–7 % in a report for the revision of Regulation (EC) No 443/2009 on CO₂ emissions from cars [36]. This could be explained because real-world emissions can differ in longer vehicle stops, and the tested vehicles are Euro 3 technology, with expected lower fuel efficiency. Fonseca et al. reported CO₂ emission reduction of more than 20 % for diesel passenger cars equipped with the stop/start system. Those results were consistent regardless of the variability in driving style, the grade and type of streets, traffic congestion, and the engine operating temperature [39].
The combined scenario, which integrates both ecodriving techniques and start-stop technology, delivers the most substantial reduction in WTW CO₂ emissions and fuel consumption, achieving a 15 % decrease compared to the baseline. This scenario benefits from both smoother driving patterns, which improve fuel efficiency, and the elimination of idling using start-stop systems.
E. Fuel cost and avoided emissions
The annual fuel consumption for an average vehicle in urban driving is estimated at 8,279 liters, costing approximately 5,861 USD. The projected fuel savings per taxi for each evaluated scenario are as follows: 233 USD for the low traffic scenario, 306 USD for the ecodriving scenario, 596 USD for the start-stop scenario, and 870 USD for the combined scenario. At the same time the avoided emissions per taxi in one year are 0.98, 1.30, 2.52, and 3.68 tons of CO₂ for the low traffic, ecodriving, start-stop, and combined scenarios, respectively. The avoided emissions are diminished from a total of 24.8 tons of CO₂ emissions released under the baseline scenario.
IV. CONCLUSIONS
The study provides an assessment of fuel consumption and WTW CO₂ emissions of a representative average taxi under different driving or technology scenarios related to the idling in urban driving. The study uses real-world fuel consumption obtained from ODB data.
Urban driving is the least efficient zone, with frequent idling (33 % of driving time) and the highest well-to-wheel (WTW) CO₂ emissions at 354 gCO₂/km, representing 24.8 tons of CO₂ emissions per vehicle-year. This contrasts with rural and highway driving, where emissions are lower due to fewer stops and more sustained speeds. In general, emissions from fuel consumption (TTW) accounts 79 % of WTW emissions
The analysis of alternative driving scenarios highlights the potential for emission reductions and fuel savings. The baseline scenario recorded the highest emissions and fuel consumption (11.8 L/100km in urban settings), while the low traffic scenario reduced WTW emissions and fuel consumption by 4 %), due to fewer long stops. The ecodriving scenario led to an 5 % reduction in emissions by reducing the power demand. The start-stop scenario, which nearly eliminated idle time, reduced emissions and fuel consumption by 10 %. The most significant gains were observed in the combined scenario, which merged ecodriving techniques with start-stop technology, resulting in a 15 % decrease in emissions to 301 gCO₂/km and fuel consumption to 10.1 L/100km, which avoids 3.68 tons of CO₂ per vehicle each year.
In terms of economic impact, the combined scenario yielded the highest annual fuel savings, reducing costs by 870 USD from the 5,861 USD of the baseline scenario, where the fuel consumption is estimated at 8,279 liters.
Overall, these findings highlight the potential of ecodriving practices and start-stop systems to change the distribution of driving modes, particularly in urban settings where idling and strong acceleration is prevalent. As result, fuel consumption and emissions are mitigated by reducing idle time and the power demand, consequently increasing the share of cruise time. The Combined scenario demonstrates the greatest potential for improving efficiency by combining both smoother driving techniques and the elimination of idling. This suggests that urban driving strategies that encourage consistent vehicle motion, alongside the use of start-stop systems, could play a crucial role in reducing the environmental impact of urban transportation.
Acknowledgment
The authors thank to Anthony Champutiz and Luis Cuyago for the contribution in the experimental campaign of the study.
References
[1] IPCC, Global Warming of 1.5°C: IPCC Special Report on Impacts of Global Warming of 1.5°C above Pre-industrial Levels in Context of Strengthening Response to Climate Change, Sustainable Development, and Efforts to Eradicate Poverty, 1st ed. Cambridge University Press, 2022. https://doi.org/10.1017/9781009157940
[2] L. Kinsella, A. Stefaniec, A. Foley and B. Caulfield, “Pathways to decarbonising the transport sector: The impacts of electrifying taxi fleets,” Renewable and Sustainable Energy Reviews, vol. 174, p. 113160, Mar. 2023. https://doi.org/10.1016/j.rser.2023.113160
[3] International Energy Agency, Latin America Energy Outlook 2023. OECD, 2023. https://doi.org/10.1787/fd3a6daa-en
[4] J. C. Sierra, “Estimating Road transport fuel consumption in Ecuador,” Energy Policy, vol. 92, pp. 359-368, May 2016. https://doi.org/10.1016/j.enpol.2016.02.008
[5] M. F. Chavez-Rodriguez, P. Carvajal, J. Martínez, A. Egüez, R. Gonzalez, R. Schaeffer, A. Szklo, A. Lucena and S. Arango, “Fuel saving strategies in the Andes: Long-term impacts for Peru, Colombia and Ecuador,” Energy Strategy Reviews, vol. 20, pp. 35-48, Apr. 2018. https://doi.org/10.1016/j.esr.2017.12.011
[6] “Total and urban population – UNCTAD Handbook of Statistics 2023.” Accessed: Oct. 04, 2024. [Online]. Available: https://hbs.unctad.org/total-and-urban-population/
[7] Inter-American Development Bank, “The Experience of Latin America and the Caribbean in Urbanization: Knowledge Sharing Forum on Development Experiences: Comparative Experiences of Korea and Latin America and the Caribbean,” Inter-American Development Bank, Mar. 2015. https://doi.org/10.18235/0007004
[8] S. Ma, Y. Zheng and O. Wolfson, “Real-Time City-Scale Taxi Ridesharing,” IEEE Trans. Knowl. Data Eng., vol. 27, no. 7, pp. 1782–1795, Jul. 2015. https://doi.org/10.1109/TKDE.2014.2334313
[9] M. Karrouchi, M. Rhiat, I. Nasri, I. Atamane, K. Hirech, A. Messaoudi, M. Melhaoui and K. Kassmi, “Practical investigation and evaluation of the Start/Stop system’s impact on the engine’s fuel use, noise output, and pollutant emissions,” e-Prime - Advances in Electrical Engineering, Electronics and Energy, vol. 6, p. 100310, Dec. 2023. https://doi.org/10.1016/j.prime.2023.100310
[10] M. Miotti, Z. Needell, S. Ramakrisnan, J. Heywood and J. Trancik, “Quantifying the impact of driving style changes on light-duty vehicle fuel consumption,” Transportation Research Part D: Transport and Environment, vol. 98, p.102918, 2021. https://doi.org/10.1016/j.trd.2021.102918
[11] P. Fan, H. Yin, H. Lu, Y, Wu, Z. Zhai, L. Yu and G. Song, “Which factor contributes more to the fuel consumption gap between in-laboratory vs. real-world driving conditions? An independent component analysis,” Energy Policy, vol. 182, p. 113739, Nov. 2023. https://doi.org/10.1016/j.enpol.2023.113739
[12] “Fuel Economy in Major Car Markets”.
[13] R. A. Rodríguez, “Influence of driving patterns on vehicle emissions: A case study for Latin American cities,” Transportation Research Part D Transport and Environment, vol. 43(C), p. 192, 2016. https://doi.org/10.1016/j.trd.2015.12.008
[14] AEADE, “Anuario 2019.” 2019. [Online]. Available: https://www.aeade.net/sdm_downloads/anuario-2019/
[15] AEADE, “Anuario 2023.” 2023. [Online]. Available: https://www.aeade.net/sdm_downloads/anuario-2023/
[16] J.-C. Bolay and A.-L. Kern, “Intermediate Cities,” in The Wiley Blackwell Encyclopedia of Urban and Regional Studies, John Wiley & Sons, Ltd, 2019, pp. 1-5. https://doi.org/10.1002/9781118568446.eurs0163.
[17] National Institute of Statistics and Censuses, “INEC: Población y Demografía.” [Online]. Available: https://www.ecuadorencifras.gob.ec/censo-de-poblacion-y-vivienda/,
[18] Transystem Inc., “GPS GL-770.” Accessed: Oct. 01, 2024. [Online]. Available: http://www.transystem.com.tw/www/product.php?b=G&m=pe&cid=4&sid=14&id=150
[19] European Commission, “Commission Regulation (EU) 2018/1832 of 5 November 2018 amending Directive 2007/46/EC of the European Parliament and of the Council, Commission Regulation (EC) No 692/2008 and Commission Regulation (EU) 2017/1151 for the purpose of improving the emission.” Official Journal of the European Union. 1832, 301, 2018. [Online]. Available: http://data.europa.eu/eli/reg/2018/1832/oj
[20] ELM Electronics, “ELM 327.” Accessed: Oct. 01, 2024. [Online]. Available: https://www.elm327.com/
[21] S. Kumar Pathak, V. Sood, Y. Singh and S. A. Channiwala, “Real world vehicle emissions: Their correlation with driving parameters,” Transportation Research Part D: Transport and Environment, vol. 44, pp. 157-176, May 2016. https://doi.org/10.1016/j.trd.2016.02.001
[22] H. C. Frey, K. Zhang and N. M. Rouphail, “Vehicle-Specific Emissions Modeling Based upon on-Road Measurements,” Environ. Sci. Technol., vol. 44, no. 9, pp. 3594-3600, May 2010. https://doi.org/10.1021/es902835h
[23] J. L. Jimenez-Palacios, “Understanding and Quantifying motor vehicle emissions with vehicle specific power and TILDAS Remote Sensing,” Massachusetts Institute of Technology, 1999. [Online]. Available: https://dspace.mit.edu/handle/1721.1/44505
[24] R. A. Varella, G. Duarte, P. Baptista, L. Sousa and P. Mendoza Villafuerte, “Comparison of data analysis methods for european real driving emissions regulation,” SAE Technical Paper, vol. 6, no. Euro 6, 2017, https://doi.org/10.4271/2017-01-0997
[25] R. A. Varella, G. A. Gonçalves, G. Duarte and T. L. Farias, “Cold-Running NO x Emissions comparison between conventional and hybrid powertrain configurations using real world driving data,” SAE Technical Paper, no. x, 2016. https://doi.org/10.4271/2016-01-1010
[26] H. Frey, A. Unal, J. Chen, S. Li and C. Xuan, “Methodology for developing modal emission rates for EPA’s multi-scale motor vehicle & equipment emission system,” State University for US EPA, Ann Arbor, MI, no. October, pp. 18-20, 2002.
[27] R. A. Varella, M. V. Faria, P. Mendoza-Villafuerte, P. C. Baptista, L. Sousa and G. O. Duarte, “Assessing the influence of boundary conditions, driving behavior and data analysis methods on real driving CO2 and NOx emissions,” Science of The Total Environment, vol. 658, pp. 879-894, Mar. 2019. https://doi.org/10.4271/2016-01-1010 10.1016/j.scitotenv.2018.12.053
[28] Z. Mera, R. Varella, P. Baptista, G. Duarte and F. Rosero, “Including engine data for energy and pollutants assessment into the vehicle specific power methodology,” Applied Energy, vol. 311, p. 118690, Apr. 2022. https://doi.org/10.1016/j.apenergy.2022.118690
[29] Q. Cheng, Z. Liu, J. Lu, G. List, P. Liu and X. S. Zhou, “Using frequency domain analysis to elucidate travel time reliability along congested freeway corridors,” Transportation Research Part B: Methodological, vol. 184, p. 102961, Jun. 2024. https://doi.org/10.1016/j.trb.2024.102961
[30] G. Bieker, “A global comparison of the life-cycle greenhouse gas emissions of combustion engine and electric passenger cars,” International Council on Clean Transportation, 2021. [Online]. Available: https://theicct.org/publication/a-global-comparison-of-the-life-cycle-greenhouse-gas-emissions-of-combustion-engine-and-electric-passenger-cars/
[31] Council of the European Union, “Council Directive (EU) 2015/652 of 20 April 2015 laying down calculation methods and reporting requirements pursuant to Directive 98/70/EC of the European Parliament and of the Council relating to the quality of petrol and diesel fuels,” Official Journal of the European Union, L107., 2015. [Online]. Available: https://eur-lex.europa.eu/legal-content/EN/TXT/PDF/?uri =CELEX:32015L0652&from=DE
[32] U.S. EPA, “40 CFR Part 80. Regulation of Fuels and Fuel Additives: Changes to Renewable Fuel Standard Program.,” U.S. Environmental Protection Agency, 2010. [Online]. Available: https://www.govinfo.gov/content/ pkg/FR-2010-03-26/pdf/2010-3851.pdf
[33] M. Prussi, M. Yugo, L. Prada, M. Padella, R. Edwards and L. Lonza, “JEC well to-tank report v5. Well-to-Wheels analysis of future automotive fuels and powertrains in the European context,” Publications Office of the European Union, 2020. [Online]. Available: https://data.europa.eu/ doi/10.2760/959137
[34] D. Sarango and P. Moncayo, “Determinación del indicador kilómetros vehículo recorrido (KVR) para la ciudad de Cuenca,” Universidad Salesiana, 2016. [Determination of the vehicle kilometers traveled (VKT) indicator for Cuenca city]. Available: https://dspace.ups.edu.ec/bitstream/123456789/12152/1/UPS-CT006103.pdf
[35] President of the Republic of Ecuador, “Decree No. 308. Codified regulation for the pricing of hydrocarbon derivatives.” 2024. [Online]. Available: https://www.comunicacion.gob.ec/wp-content/uploads/2024/06/DE_308_20240526132045.pdf
[36] A. Dimaratos, D. Tsokolis, G. Fontaras, S. Tsiakmakis, B. Ciuffo and Z. Samaras, “Comparative Evaluation of the Effect of Various Technologies on Light-duty Vehicle CO2 Emissions over NEDC and WLTP,” Transportation Research Procedia, vol. 14, pp. 3169-3178, 2016. https://doi.org/10.1016/j.trpro.2016.05.257
[37] I. Shancita, H. H. Masjuki, M. A. Kalam, I. M. Rizwanul Fattah, M. M. Rashed and H. K. Rashedul, “A review on idling reduction strategies to improve fuel economy and reduce exhaust emissions of transport vehicles,” Energy Conversion and Management, vol. 88, pp. 794–807, Dec. 2014. https://doi.org/10.1016/j.enconman.2014.09.036
[38] F. Rosero, X. Rosero and Z. Mera, “Developing fuel efficiency and co2 emission maps of a vehicle engine based on the On-Board Diagnostic (OBD) Approach,” Enfoque UTE, vol. 15, no. 1, pp. 7-15, Jan. 2024. https://doi.org/10.29019/enfoqueute.1002
[39] N. Fonseca, J. Casanova and M. Valdés, “Influence of the stop/start system on CO2 emissions of a diesel vehicle in urban traffic,” Transportation Research Part D: Transport and Environment, vol. 16, no. 2, pp. 194-200, Mar. 2011. https://doi.org/10.1016/j.trd.2010.10.001
Información adicional
redalyc-journal-id: 5722