Artículos
SATISFAÇÃO LABORAL E SINDICALIZAÇÃO: UMA ANÁLISE PARA O BRASIL°
JOB SATISFACTION AND UNIONIZATION: AN ANALYSIS FOR BRAZIL
SATISFAÇÃO LABORAL E SINDICALIZAÇÃO: UMA ANÁLISE PARA O BRASIL°
ESTUDIOS ECONÓMICOS, vol. XXXVI, núm. 73, pp. 109-145, 2019
Universidad Nacional del Sur

Recepção: 04 Julho 2018
Aprovação: 18 Outubro 2018
Resumo:
O presente artigo testa a hipótese de a satisfação laboral ser afetada pela escolha por ser sindicalizado. Para tanto, são utilizadas variáveis de satisfação do Suplemento de Relações Trabalhistas e Sindicatos da Pesquisa Nacional por Amostra de Domicílios de 2015. Os métodos empregados são o probit binomial, probit ordenado e o Seemingly Unrelated Regression (SUR). Os resultados mostram que, em geral, a sindicalização não afeta a satisfação, porém, aumenta a satisfação em relação ao auxílio alimentação, ao processo de capacitação profissional e à promoção de igualdade de oportunidades, este último indica que os sindicatos podem aumentar a equidade. O artigo é o primeiro a testar a relação entre os sindicatos e a satisfação laboral para o Brasil. Classificação JEL: J28, J51, J50.
Palavras-chave: satisfação laboral, Brasil, sindicato, SUR.
Abstract:
This paper tests the hypothesis that the job satisfaction is affected by the choice to be unionized. To do so, variables of satisfaction of the Supplement of Labor Relations and Trade Unions of the 2015 National Household Sample Survey of are used. The methods used are the binomial probit, ordered probit and seemingly unrelated regression (SUR). The results show that, in general, unionization does not affect satisfaction, however, it increases satisfaction with food aid, the process of professional training and the promotion of equal opportunities, the latter indicating that unions can increase equity. This paper is the first to test the relationship between trade unions and job satisfaction in Brazil. JEL Code: J51, J28, J50.
Keywords: job satisfaction, Brazil, trade union, SUR.
INTRODUÇÃO
A condução dos estudos sobre a satisfação do trabalhador tem como principal motivação captar a percepção subjetiva de trabalhadores sobre o seu emprego e os impactos de ordem pessoal. A temática, amplamente debatida no campo da psicologia, ganhou espaço mais recentemente em outras áreas, como sociologia, administração e economia a partir da década de 1960. A economia passou a considerar esta percepção um importante componente para explicar a produtividade do trabalhador e, consequentemente, a estabilidade e crescimento econômico (Freeman, 1978).
Como variável econômica, a satisfação laboral desempenha papel central nas teorias do mercado de trabalho e na explicação do comportamento dos trabalhadores (Bryson et al., 2004). Entretanto, a mensuração dessa variável é impedida pela dificuldade de entender fatores subjetivos intrínsecos a ela, que afetam diretamente o bem-estar dos trabalhadores. A qualidade do emprego e da vida laboral envolvem percepções de liberdade, equidade, seguridade e dignidade humana, com direitos protegidos, remuneração adequada e proteção social (Scott et al., 2006).
Em razão da importância da satisfação do trabalho no campo econômico, o presente trabalho pretende testar a hipótese de sindicalização sobre a satisfação laboral para o mercado de trabalho brasileiro. A estratégia empírica consiste na análise dos dados disponibilizados pelo Suplemento de Sindicalização e Aspectos de Relações Trabalhistas da Pesquisa por Amostra de Domicílios de 2015 (PNAD/IBGE) por meio do modelo SUR1 (Seemingly Unrelated Regression), que permite uma estimação mais eficiente, pois considera a correlação entre os termos de erro das diferentes equações simultaneamente.
Os sindicatos, conforme Freeman (1978), incentivam os trabalhadores a mostrar o seu descontentamento e expressar suas queixas ao longo da relação de trabalho. No entanto, ao mesmo tempo, são instituições voltadas ao gerenciamento de conflitos, o que permite aos trabalhadores a manutenção de seus postos de trabalho. Trata-se de um mecanismo de negociação que anula o dispositivo de ajuste competitivo de saída - abandono do emprego. Neste sentido, a presença dos sindicatos e sua atuação direta na vida dos trabalhadores recebe atenção em alguns estudos, sobretudo diante de questões referentes aos atuais objetivos de sindicatos no mercado de trabalho.
É provável que os sindicatos tenham um efeito positivo sobre a satisfação em relação a certos aspectos que envolvam a vida laboral e efeitos negativos em outras particularidades (Kochan & Helfman, 1981). Conforme Bryson, Cappellari & Lucifora (2004), a relação entre job satisfaction e sindicalização é complexa, uma vez que engloba fatores não-observáveis que influenciam tanto a percepção dos trabalhadores como a decisão de sindicalizar-se. Os sindicatos, como representantes dos trabalhadores, têm como finalidade melhorar as condições de vida destes, logo, espera-se que os sindicatos elevem a qualidade do emprego de seus filiados e, assim, influenciem diretamente a satisfação.
Em um contexto de mercados competitivos em que os trabalhadores são livres para trocarem de empresa, caso as condições oferecidas para a mão de obra sejam aquém do desejado pelo empregado, os insatisfeitos irão para outras firmas. A insatisfação no trabalho, segundo a literatura (Borjas, 1979; Freeman, 1978; Hamermesh, 1977; Shields & Ward, 2001), tem relação positiva com o desejo dos trabalhadores em sair da empresa, além de questões relacionadas ao absenteísmo (Clegg, 1983). O conhecimento dessa relação é relevante a fim de reduzir problemas de turnover que afetam a produtividade da empresa; entretanto, trabalhadores satisfeitos são mais produtivos e têm incentivos reduzidos para sair.
Um ramo da economia do trabalho, em particular, enfatiza as diferenças na satisfação no trabalho entre empregados sindicalizados e não sindicalizados. Os estudos anteriores invocaram a hipótese de “soltar a voz” que considera a potencial associação entre job satisfaction e de se tornar sindicalizado: uma relação inversa pode ser esperada, refletindo o papel dos sindicatos em encorajar trabalhadores para expressar o seu descontentamento com as condições de trabalho e fazer protestos formais ao invés de sair (Freeman, 1980). Portanto, trabalhadores sindicalizados exibiriam uma menor satisfação no trabalho do que os seus pares não sindicalizados.
No contexto atual, o Brasil tem passado por mudanças significativas na legislação trabalhista que envolvem desde a flexibilização de contratos de trabalho até o fim da contribuição sindical. A Lei 13.467/17, denominada como Reforma Trabalhista, aprovada em 2017 retirou a compulsoriedade da contribuição sindical, levando a crer que as instituições sindicais perderão força de atuação, em um primeiro momento. Com a maior fonte de financiamento dos sindicatos ameaçada, essas entidades terão de modificar as estratégias de arrecadação de recursos, o que pode se dar por meio do aumento no número de sindicalizados ou da imposição de novas taxas aos filiados.
Assim, este artigo avança na literatura, buscando compreender o comportamento da satisfação laboral no Brasil e sua relação direta com sindicatos. Além disso, o país possui características peculiares quanto à relação de sindicalização e de contribuição compulsória sindical. Quanto ao elevado número de sindicatos, estudos revelam que o grau de sindicalização brasileira se assemelha muito a países de maior IDH (Campos & Moura, 2017).
Dessa forma, este trabalho visa contribuir ao debate, além de compor a primeira análise, segundo o nosso conhecimento, da relação entre sindicalização e variáveis de satisfação laboral para o Brasil. A fim de cumprir este propósito, o artigo está dividido em 5 seções, sendo a primeira esta introdução. A segunda seção apresenta uma breve revisão da literatura empírica internacional e nacional de satisfação laboral. A terceira seção apresenta os modelos teóricos e empíricos empregados para a obtenção dos resultados, expressos na quarta seção. Por fim, a quinta seção apresenta as considerações finais.
I. REVISÃO DE LITERATURA
I.1. Satisfação laboral e fatores determinantes
A satisfação no trabalho é estritamente relacionada a fatores subjetivos intrínsecos a ela, que afetam diretamente o bem-estar dos trabalhadores. Embora muitos estudos tenham buscado verificar a relação entre satisfação no trabalho e sindicalização, as conclusões permanecem obscuras, dependendo das abordagens e variáveis utilizadas. Uma associação positiva seria derivada de possíveis benefícios de uma adesão aos sindicatos, como aumentos salariais, boas condições de trabalho e proteção social (Borjas, 2009).
Um número amplo de estudos tem verificado essa relação positiva, como Meng (1990), Powdthavee (2011), Davis (2013), Cotti et al. (2014), Bryson & White (2016) ou nenhuma relação significativa, como Bryson, Cappelari & Lucifora (2010), Gordon & Denisi (1995). Embora inesperada, em um primeiro momento, a relação negativa entre sindicalização e menor satisfação no trabalho tem sido amplamente verificada, contrapondo o papel dos sindicatos em intermediar conflitos entre trabalhadores e empregadores a fim de se serem alcançadas melhores condições de trabalho e estruturas de barganha coletivas.
De acordo com Freeman (1978, 1980), a insatisfação e situações desvantajosas em um ambiente de trabalho é melhor expressa por meio de sindicatos. Outro ponto é a limitação dos sindicatos em influenciar a satisfação individual dos trabalhadores (Kalleberg, 1977). Entre os trabalhos que confirmam essa constatação estão Freeman (1978), Borjas (1979), Clark (2001), Green & Heywood (2008), Garcia-Serrano (2009), Seago et al. (2011), Green & Heywood (2015) e Laroche (2017). Para Holland et al. (2011), a sindicalização não possui efeito significativo sobre a satisfação laboral, porém, os trabalhadores com voz ativa no trabalho têm, em média, maior satisfação com o trabalho.
Laroche (2017), na estimação de um modelo probit bivariado para a França, observou uma relação negativa entre os membros dos sindicatos e a satisfação ao considerar as características individuais, do ambiente e do trabalho, especialmente aquelas relacionadas à remuneração. Em um segundo momento, ao aplicar um controle sobre a endogeneidade da filiação sindical, a diferença na satisfação no trabalho entre trabalhadores sindicalizados e não sindicalizados desapareceu devido ao efeito de seleção em locais de trabalho cobertos apenas por acordos coletivos.
A satisfação no trabalho, como medida individual, pode ser estimada com base na qualidade do posto de trabalho e na qualidade de vida que são proporcionados. As percepções sobre a satisfação ou não satisfação em relação ao trabalho também são influenciadas por características pessoais e fatores demográficos como idade, sexo e nível educacional (Ferrada, 2017). Alguns estudos também consideram as características dos empregos como salários, horas e jornada trabalhadas, possibilidades de promoção e ambiente de trabalho, como Bryson & White (2016), que verificaram as diferenças fixas não observáveis entre trabalhadores sindicalizados e não sindicalizados no Reino Unido e concluíram que a cobertura sindical está positivamente associada à satisfação com salários e horas de trabalho. Borra & Gómez (2012) atestam que a relação entre satisfação e insatisfação no trabalho está atrelada a comportamentos e resultados para os trabalhadores, como a qualidade de vida, a responsabilidade social das empresas e a pordutividade e competitividade de produção para a sociedade como um todo.
Fiorillo & Nappo (2014) encontraram evidências de que interações sociais no trabalho aumentam a satisfação do indivíduo com o trabalho ao passo que Huang et al. (2016) verificaram que a satisfação no trabalho foi um mediador significativo entre o clima de segurança e os resultados de engajamento dos funcionários e taxa de rotatividade. Entre os diferenciais de satisfação entre gêneros na Inglaterra, Booth & Van Ours (2008) verificaram que as mulheres estavam mais satisfeitas trabalhando meia jornada e acrescentando horas extras, maximizando a satisfação se tivessem filhos. De acordo com Bardasi & Francesconi (2004), a satisfação no trabalho é maior para os funcionários com jornadas parciais de trabalho.
Davis (2013) verificou que a sindicalização aumenta a satisfação quanto ao trabalho no setor público. Por outro lado, Guerra & Patuelli (2016) afirmam que a satisfação laboral aumenta as chances de ser empregado por conta própria ou mudar de emprego, inferindo que a propensão para a troca de emprego é uma proxy para insatisfação no trabalho. Em relação à insegurança, foram encontrados impactos negativos, mas de pequena importância sobre a satisfação (Souza-Poza, 2000).
Ghinetti (2007), nesse sentido, investiga a satisfação laboral em razão de sua segmentação público/privado na Itália, verificando que, de fato, existe uma diferenciação entre os trabalhadores, sendo que os funcionários públicos possuem maiores prêmios salariais e de bem-estar, por trabalharem sob melhores condições. Laroche & Salesina (2017) inovaram ao especificar as condições trabalhistas em sistemas de trabalho de alta performance na França. Por meio do controle da endogeneidade nas particularidades do ambiente de trabalho, os autores verificaram que os representantes sindicais e não-sindicais não opõem resistência ao uso desses sistemas e os resultados variam de acordo com as práticas adotadas.
De modo geral, conforme Skalli et al. (2007), a satisfação no trabalho possui inúmeras facetas, entre elas, ganhos salariais, segurança, tipo de trabalho, jornada e ambiente de trabalho, o que caracteriza a satisfação geral no trabalho como o resultado agregado de satisfações parciais. Laroche (2016) , Doucouliagos et al. (2018) também chamam a atenção para a variação que os efeitos podem apresentar quanto à especificação dos modelos e amostras selecionadas, sendo que os resultados podem apresentar uma alta heterogeneidade e endogeneidade, corrigidas por maiores aprimoramentos estatísticos, principal preocupação dos trabalhos atuais.
I.2. Sindicalização brasileira
No Brasil, mudanças recentes na legislação trabalhista que envolvem desde a flexibilização de contratos de trabalho até o fim da contribuição sindical, representaram um risco para a manutenção dos sindicatos. Até julho de 2017, havia 16.625 sindicatos no Brasil, sendo a maioria, 68,63%, representantes dos trabalhadores. Para o ano de 2016, o valor total arrecadado pelos sindicatos atingiu a ordem de R$ 3,5 bilhões, sendo que esse valor representou 0,06% do PIB brasileiro do mesmo ano (Brasil, 2017).
Atualmente, esse cenário tende a se modificar, em razão das mudanças na legislação trabalhista transcorridas por meio da Lei 13.467/17, denominada Reforma Trabalhista, aprovada em 2017. Entre as principais medidas da reforma estão a retirada da compulsoriedade da contribuição sindical ou imposto sindical, afetando em grande medida as formas de financiamento das instituições sindicais, que deverão se reestruturar em torno de um menor orçamento ou de estratégias de arrecadação de recursos, como aumento no número de membros ou maiores valores cobrados aos afiliados.
Amadeo & Camargo (1993) descreveram a legislação sobre os sindicatos e demonstraram que, na representação do trabalhador, eles possuem total autonomia em acordos referentes às regras de trabalho e de salário, ainda que o poder dos sindicatos esteja restrito ao estado (ou distrito) em que está inserido. Menezes-Filho et al. (2002) verificaram que a jurisdição de representação em negociações salariais pertence aos sindicatos. Ainda segundo os autores, os sindicatos atuam em empresas, em mudanças nas práticas trabalhistas e até conquistam a introdução de novos equipamentos.
Em relação às mudanças na legislação supracitadas, é possível que os sindicatos tenham perdido forças na negociação dos direitos trabalhistas. Entre as demais contribuições da Lei 13.467/17, estão ainda pontos relativos à possibilidade de os trabalhadores negociarem individualmente contratos sem assistência sindical, além de possibilitar a organização dos mesmos no local de trabalho sem o apoio dos sindicatos, com comissões representativas de empregados. A obrigatoriedade das rescisões contratuais homologadas nos sindicatos também foi revogada.
A reforma trabalhista, de certa forma, promoveu uma ruptura na influência exercida pelos sindicatos, especialmente após 13 anos de governo do Partido dos Trabalhadores (PT). Nesse período, os sindicatos mudaram a forma de atuação, pois deixaram de lado o perfil de enfrentamento e passaram a barganhar mais pelos seus objetivos (Antunes et al., 2014; Antunes, 2011; Antunes & Silva, 2015; Silva, 2013). De acordo com Cardoso & Gindin (2017) o crescimento no nível de emprego registrado até 2014 criou um contexto favorável para a atuação dos sindicatos, fortalecida por uma estrutura sindical flexível e competitiva.
Entretanto, com o fim do governo de Dilma em 2016, os sindicatos passaram a enfrentar desafios mais complexos, uma vez que teve início um forte movimento pró reformas trabalhista e previdenciária, que culminou na aprovação da Lei 13.467/17. Nesse contexto, a influência dos sindicatos passa a ser limitada pela confiança dos trabalhadores quanto à proteção, uma vez que as negociações diretas entre empresários e funcionários sem intermediações de sindicalistas representam a mudança e evolução no mercado de trabalho.
II. ESTRATÉGIA EMPÍRICA
II.1. Modelo teórico
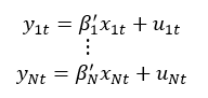
Por um longo período, as questões referentes à satisfação do trabalhador foram tratadas, de forma reducionista, como analogias dos problemas de rotatividade e absenteísmo, sendo abordadas apropriadamente por outras ciências, ainda que sua natureza seja econômica (Hamermesh, 1977). Uma vez que os níveis de satisfação estão associados aos ciclos econômicos, as discussões envolvendo a satisfação no trabalho surgem, naturalmente, quando o desemprego está baixo, pois, dessa forma, o emprego atual, embora pouco atrativo, torna-se mais vantajoso se comparado a uma situação sem alternativas. Se as taxas de desemprego crescem contínua e inesperadamente, a satisfação expressa pelos que permaneceram empregados crescerá – contanto que o nível de salários não seja afetado.
Locke (1976) definiu tal satisfação como uma valoração subjetiva do indivíduo referente aos diferentes aspectos de seu trabalho. A análise de job satisfaction, dessa forma, torna-se importante por diferentes razões. Primeiramente, representa uma das mais importantes fontes de bem-estar pessoal, pois, conforme Machado e Silva (2014), a utilidade total de um indivíduo, denotada por , está atrelada a diferentes aspectos pessoais, de modo que poder-se-ia representar pela seguinte expressão:
(1)em que u representa a parcela referente ao trabalho e μ é um conjunto de utilidades advindas de outros âmbitos da vida do trabalhador. Seguindo a proposta de Clark e Oswald (1996), a satisfação ligada ao trabalho serviria adequadamente como uma proxy para a utilidade do trabalho, a qual pode ser definida como segue:
(2)onde y representa a renda do trabalho, h o número de horas trabalhadas e os parâmetros i e j dizem respeito a um conjunto de informações individuais e que também afetam a utilidade advinda do trabalho, tais como o grau de escolaridade, a idade e outras características que individualizam a percepção quanto à satisfação concedida pelo trabalho.
Assumindo que,
(2.1)
(2.2)Os incrementos de renda aumentam a utilidade enquanto que acréscimos na carga horária resulta em efeito oposto. Ademais, entende-se que existe uma correlação entre a satisfação com o trabalho e o comportamento do trabalhador, influenciando diretamente sua produtividade, absenteísmo e, de forma geral, a rotatividade no mercado de trabalho. Portanto, tal análise permite verificar certas nuances do mercado laboral.
II.2. Modelos empíricos
Para a apresentação dos resultados, optou-se por utilizar três diferentes métodos a fim de dar maior rigor metodológico ao trabalho. As estimações são conduzidas por meio dos métodos probit binomial, probit ordenado e através de regressões aparentemente não relacionadas (seemingly unrelated regressions – SUR).
O primeiro método estima a probabilidade de permanência no emprego dado um conjunto de variáveis explicativas que, segundo a literatura, é uma proxy para satisfação laboral (Machado & Silva, 2014; Monte, 2012). O segundo, por sua vez, propõe-se a ordenar as preferências, com base nas variáveis de satisfação laboral, as quais variam entre 0 e 5 – que representam ausência de benefício e muito satisfeito, respectivamente. Por fim, o método SUR permite a estimação conjunta das variáveis dependentes, assumindo que os erros de cada uma das regressões são correlacionados e, com isso, propõe parâmetros mais eficientes.
II.2.1. Probit binomial
O modelo probit inclui-se no escopo dos modelos de resposta binária, isto é, quando a variável dependente da regressão pode assumir apenas dois valores, denotados por 1 e 0. Para o caso específico deste trabalho, considera-se a busca por um novo emprego, que assume a seguinte forma:
(3)que denota a probabilidade da variável dependente Y assumir o valor 1, isto é, o trabalhador não procurar emprego, condicional aos valores das variáveis independentes. Φ representa a função de distribuição cumulativa de uma distribuição normal, e os parâmetros da regressão, denotados por β, são estimados via máxima verossimilhança.
É possível motivar o modelo probit como um modelo de variável latente. Ou seja, assumimos que y* seja a propensão latente de que y = 1 a propensão de que o trabalhador não procure emprego.
(4)em que X é um vetor de variáveis explicativas, α é um intercepto, β é um vetor de coeficientes associado às variáveis explicativas e εi é o erro não observado.
Assim, deduzem-se duas situações excludentes:
(5)onde τ é um valor limiar em que a variável latente assumirá e definirá se a resposta corresponderá ao valor 0 ou 1. Ou seja, y assume valor igual a 1 caso a pessoa não opte por procurar outro emprego e assume valor igual a zero caso o trabalhador procure emprego, mesmo já estando empregado.
II.2.2. Probit ordenado
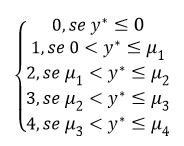
No caso do probit ordenado, o indivíduo revela suas preferências diante de um resultado específico. Ou seja, a variável dependente está dividida em várias categorias, as quais podem ser ordenadas.
O modelo é construído em torno de uma regressão de variável latente que é contínua e pode ser escrita como função linear de um vetor de variáveis X, tal como o probit binomial. No entanto, nesse caso, os valores que y assume variam em uma escala maior.
(6)em que μ’s são parâmetros desconhecidos que serão estimados com os β’s.
A estimação pode ser realizada por meio do método de Máxima Verossimilhança, supondo que os termos de erro possuem uma distribuição normal. Podemos escrever a probabilidade de que a variável dependente seja igual ao número associado à primeira categoria da seguinte forma:
(7)em que F é a função de distribuição acumulada normal. A função de máxima verossimilhança deste problema de estimação é a seguinte:
(8)O problema de otimização implica escolher os valores dos parâmetros β que maximizem a expressão acima.
II.2.3. SUR
Para testar a hipótese de sindicalização sobre a satisfação do trabalhador, optou-se pelo método de regressões aparentemente não relacionadas (seemingly unrelated regression - SUR), designado por Zellner (1962), o qual se caracteriza por apresentar uma estrutura de equações que não possuem relações entre os seus regressores, porém, seus termos de erro apresentam correlação. Duas vantagens associadas ao uso de um SUR se sobressaem. Em primeiro lugar, o ganho de eficiência na estimação ao combinar a informação de diferentes equações. Em segundo, a possibilidade de impor e testar restrições que envolvam parâmetros de diferentes equações.
Pindyck & Rubinfeld (2004) salientam que, quando os erros são não correlacionados, modelos como o Mínimos Quadrados Ordinários (MQO) são adequados para a estimação das diversas equações, no entanto, quando a correlação entre os erros é diferente de zero, tais modelos estimam ineficientemente os parâmetros, ainda que eles sejam consistentes.
Formalmente, considere um conjunto de regressões múltiplas individuais que estejam ligadas estatisticamente, mesmo que não estruturalmente, por meio da distribuição conjunta dos termos de erro e por intermédio da não-diagonalidade da matriz de variância e covariância dos erros associada.
Suponha que yit é a variável dependente, xit =(1, xit,1, xit,2, ... , xit, ki-1)´ é um vetor Ki de variáveis explanatórias para uma unidade observada i, e uité o termo de erro não observado, em que it denota a t-ésima observação da i-ésima equação do sistema. Uma estruturação mais simples do SUR pode ser representada da seguinte forma:
(9)Neste molde, assume-se que para cada
é uma matriz Ki de posto cheio, e condicional em todos os regressores X' = [X1, … ,XT], os erros Ut são independentes e identicamente distribuídos em t, com média zero e variância homocedástica ∑ = E(Ut Ut' │X). Ademais, assume-se que ∑ é positiva, definida e denotada por σijo elemento de ∑. Sob essa hipótese, a matriz de covariância do vetor de erro é dada por
.
Para este trabalho foi utilizado o método de Mínimos Quadrados Generalizados Factíveis (Feasible Generalized Least Squares – FGLS), que é o mais recomendado quando a matriz de covariância ∑ não é conhecida, recorrendo-se, então, a um estimador:
(10)Em que
e
são os resíduos dos Mínimos Quadrados Ordinários (OLS) da kth equação, isto é
, k=i,j. Então,
(11)O estimador FGLS é um estimador de duas etapas em que o MQO é usado na primeira etapa para obter os resíduos Importar imagen e um estimador de ∑. A segunda etapa computa Importar imagen baseado na estimação de ∑ realizada anteriormente.
O estimador FGLS é um estimador de duas etapas em que o MQO é usado na primeira etapa para obter os resíduos
e um estimador de ∑. A segunda etapa computa
baseado na estimação de ∑ realizada anteriormente.
II.3. Fonte dos dados
Os dados são oriundos da Pesquisa Nacional por Amostra de Domicílios (PNAD) para o ano de 2015, especialmente o suplemento de Relações de Trabalho e Sindicalização. A PNAD é aplicada anualmente, exceto nos anos em que é realizado o Censo Demográfico pelo Instituto Brasileiro de Geografia e Estatística (IBGE) e tem por objetivo coletar dados demográficos, sociais e econômicos de uma amostra representativa da população.
O Suplemento de Relações de Trabalho e Sindicalização de 2015 coletou informações sobre a satisfação laboral diante de diversos aspectos e sobre a participação e grau de sindicalização dos membros do sindicato. Assim, a partir de tal suplemento, as variáveis dispostas na Tabela 1 são as variáveis dependentes que serão utilizadas no modelo empírico. As variáveis que contém valor mínimo igual a zero referem-se à ausência de tal benefício. As respostas na presença de benefícios variam entre insatisfeito (igual à unidade) até muito satisfeito (igual a 5). A variável de busca de emprego é binária, com zero representando as pessoas que buscaram emprego e a unidade representando as pessoas que não buscaram. Esta variável é uma proxy utilizada na literatura de job satisfaction (Machado e Silva, 2014; Monte, 2012; Scott et al., 2006).
| Variável | Descrição | Min | Max |
| V3703 | Quanto às condições prometidas e encontradas | 1 | 5 |
| V37091 | Quanto ao salário e gratificações salariais | 1 | 5 |
| V37092 | Quanto ao valor do auxílio alimentação | 0 | 5 |
| V37093 | Quanto à jornada de trabalho | 1 | 5 |
| V37094 | Quanto à flexibilidade do horário | 0 | 5 |
| V37095 | Quanto ao processo de capacitação profissional | 0 | 5 |
| V37096 | Quanto à promoção de igualdade de oportunidades e de tratamento | 1 | 5 |
| V37097 | Quanto à salubridade e segurança | 1 | 5 |
| V37098 | Quanto aos benefícios sociais complementares | 0 | 5 |
| V9117 | Não tomou alguma providência para conseguir trabalho nos últimos 30 dias | 0 | 1 |
A Tabela 2 apresenta a estatística descritiva de cada uma das variáveis utilizadas nos modelos, sendo separada por linha o grupo das nove variáveis dependentes do grupo das variáveis independentes utilizadas nos modelos de regressão, que são: logaritmo natural do salário por hora, escolaridade em anos, experiência no mercado de trabalho, experiência específica na empresa em que trabalha, horas de trabalho semanais, idade em anos, possuir cônjuge (casado), ser chefe do domicílio, morar em região metropolitana, em zona urbana, ser homem e ser sindicalizado.
Além das variáveis apresentadas, serão adicionadas variáveis binárias para cada unidade federativa brasileira, cada ocupação da Classificação Brasileira de Ocupações (CBO) e cada ramo de atividade da Classificação Nacional de Atividades Econômicas (CNAE). Tais variáveis são importantes porque tiram os efeitos endógenos da escolha por trabalho e da região onde mora.
Os resultados para o teste de médias mostram que apenas a variável de satisfação quanto à flexibilidade de horários é estatisticamente igual entre os grupos, indicando que a sindicalização pode ser um importante instrumento para o aumento da chamada job satisfaction. Destaca-se o fato de que em duas variáveis a média observada é baixa: satisfação quanto ao auxílio alimentação e quanto aos benefícios sociais complementares. Esse resultado sugere que há baixa satisfação ou baixo número de indivíduos com benefícios.
| Não Sindicalizados | Sindicalizados | ||||
| Variável | Média | Desvio-Padrão | Média | Desvio-Padrão | t |
| Dependentes | |||||
| V3703 | 3.65 | 0.91 | 3.70 | 0.91 | *** |
| V37091 | 3.24 | 1.12 | 3.29 | 1.13 | ** |
| V37092 | 1.37 | 1.78 | 2.01 | 1.84 | *** |
| V37093 | 3.53 | 0.93 | 3.57 | 0.95 | *** |
| V37094 | 3.07 | 1.52 | 3.06 | 1.60 | |
| V37095 | 2.38 | 1.82 | 2.67 | 1.79 | *** |
| V37096 | 3.61 | 0.85 | 3.67 | 0.86 | *** |
| V37097 | 3.55 | 0.93 | 3.62 | 0.98 | *** |
| V37098 | 1.71 | 1.79 | 1.81 | 1.85 | *** |
| V9117 | 0.980 | 0.14 | 0.985 | 0.12 | ** |
| Independentes | |||||
| ESCOLARIDADE | 9.46 | 3.85 | 10.21 | 3.65 | *** |
| EXPERIÊNCIA | 20.08 | 12.58 | 22.63 | 11.98 | *** |
| EXPERIÊNCIA ESPECÍFICA | 4.97 | 6.16 | 6.81 | 7.29 | *** |
| LN_SALÁRIO | 2.00 | 0.74 | 2.23 | 0.82 | *** |
| IDADE | 35.71 | 11.34 | 38.14 | 10.68 | *** |
| HORAS | 41.59 | 9.41 | 41.99 | 9.19 | *** |
| CASADO | 0.57 | 0.50 | 0.65 | 0.48 | *** |
| CHEFE DOMICÍLIO | 0.52 | 0.50 | 0.61 | 0.49 | *** |
| METROPOLITANO | 0.41 | 0.49 | 0.46 | 0.50 | *** |
| URBANO | 0.92 | 0.27 | 0.94 | 0.24 | *** |
| BRANCO | 0.46 | 0.50 | 0.46 | 0.50 | |
| HOMEM | 0.61 | 0.49 | 0.63 | 0.48 | ** |
| Observações | 11.698 | 3.608 | |||
Nota: A coluna t indica o teste de diferença de médias.
Variáveis de Satisfação: V3703: quanto às condições prometidas e encontradas; V37091: quanto ao salário e gratificações salariais; V37092: quanto ao valor do auxílio alimentação; V37093: quanto à jornada de trabalho; V37094: quanto à flexibilidade do horário; V37095: quanto ao processo de capacitação profissional; V37096: quanto à promoção de igualdade de oportunidades e de tratamento; V37097: quanto à salubridade e segurança; V37098: quanto aos benefícios sociais complementares; V9117: não tomou alguma providência para conseguir trabalho nos últimos 30 dias.
Fonte: Elaborado pelos autores a partir dos dados disponibilizados pela PNAD (2015).*** Significante a 1%** Significante a 5%* Significante a 10%V3703 quanto às condições prometidas e encontradasV37091 quanto ao salário e gratificações salariaisV37092 quanto ao valor do auxílio alimentaçãoV37093 quanto à jornada de trabalhoV37094 quanto à flexibilidade do horárioV37095 quanto ao processo de capacitação profissionalV37096 quanto à promoção de igualdade de oportunidades e de tratamentoV37097 quanto à salubridade e segurançaV37098 quanto aos benefícios sociais complementaresV9117 não tomou alguma providência para conseguir trabalho nos últimos 30 diasA inclusão de variáveis dependentes está baseada na literatura a respeito de satisfação laboral (Fiorillo & Nappo, 2014; Garcia-Serrano, 2009; Guerra & Patuelli, 2016; Holland et al., 2011). A princípio é possível constatar que, entre sindicalizados e não sindicalizados, todas as variáveis são estatisticamente diferentes, exclusive a variável de etnia, dividida em brancos (autodeclarados brancos e amarelos) e não brancos.
Os sindicalizados têm maiores salários por hora que os não sindicalizados. Da mesma forma, os sindicalizados possuem, em média, mais anos de escolaridade (10,2 contra 9,46 dos seus pares não sindicalizados), de experiência e de experiência específica. É notório que tanto na experiência do mercado de trabalho quanto na experiência específica, os sindicalizados têm uma diferença média de dois anos. Os sindicalizados trabalham, em média, mais horas por semana (a diferença, estatisticamente significativa, não chega a meia hora a mais de trabalho por semana).
Quanto às variáveis ao nível pessoal, os não sindicalizados são mais jovens, em média, que os seus pares sindicalizados. Em média, os não sindicalizados vivem menos com o cônjuge, são menos chefes de domicílio e são mais do gênero feminino do que os sindicalizados. Percebe-se, porém, que a maior parte da amostra é composta por homens. A moradia dos indivíduos mostra que a maior parte mora em zona urbana (92% dos não sindicalizados e 94% dos sindicalizados) e que mais de 40% está morando em regiões metropolitanas (46% dos sindicalizados e 41% dos não sindicalizados).
III. RESULTADOS
III.1. Mínimos Quadrados Ordinários
A Tabela 3 apresenta os resultados do modelo de Mínimos Quadrados Ordinários (MQO) para as variáveis de satisfação apresentadas na Tabela 1. A filiação a sindicatos mostra que os membros ou não possuem diferença estatística ou são mais satisfeitos que seus pares não sindicalizados. Os trabalhadores sindicalizados se mostram mais satisfeitos em relação às condições prometidas e encontradas, quanto ao valor do auxílio alimentação, quanto ao processo de capacitação profissional e à promoção de igualdade de oportunidade, destacando o papel equitativo dos sindicatos.
Os anos de escolaridade estão, via de regra, diretamente relacionados com mais satisfação, porém quanto aos salários e gratificações, os mais escolarizados se sentem mais insatisfeitos. A escolaridade não afeta ter tomado atitudes quanto à busca de um novo emprego, não afeta a satisfação quanto as condições prometidas e encontradas, quanto à jornada e à flexibilidade do horário e tampouco quanto à promoção de igualdade.
| Variáveis | V3703 | V37091 | V37092 | V37093 | V37094 | V37095 | V37096 | V37097 | V37098 | V9117 |
| SINDICALIZADO | 0.0377* | 0.0266 | 0.386*** | 0.0225 | -0.0228 | 0.133*** | 0.0488*** | 0.0227 | -0.0412 | 0.0009 |
| (0.02) | (0.0241) | (0.038) | (0.0201) | (0.034) | (0.038) | (0.018) | (0.02) | (0.04) | (0.002) | |
| ESCOLARIDADE | 0.001 | -0.0101*** | 0.017*** | -0.0014 | 0.005 | 0.0178*** | -0.0008 | 0.0061** | 0.016*** | -0.0002 |
| (0.003) | (0.004) | (0.005) | (0.003) | (0.005) | (0.006) | (0.003) | (0.003) | (0.006) | (0.0004) | |
| EXPERIÊNCIA | -0.0044* | -0.008*** | -0.0036 | -0.0058** | 0.0005 | -0.0189*** | -0.0001 | -0.0055** | -0.0152*** | -0.0002 |
| (0.002) | (0.003) | (0.004) | (0.002) | (0.004) | (0.005) | (0.002) | (0.002) | (0.005) | (0.0003) | |
| EXPERIÊNCIA | 0.00198 | 0.003* | -0.0096*** | 0.0008 | 0.007*** | 0.0092*** | -0.0005 | 0,0000 | 0.0083*** | 0.0011*** |
| ESPECÍFICA | (0.00139) | (0.002) | (0.003) | (0.0014) | (0.002) | (0.003) | (0.001) | (0.001) | (0.003) | (0.000) |
| LN_SALÁRIO | 0.132*** | 0.294*** | 0.276*** | 0.0743*** | 0.0529** | 0.210*** | 0.0656*** | 0.0878*** | 0.217*** | 0.0065*** |
| (0.0167) | (0.02) | (0.031) | (0.017) | (0.026) | (0.03) | (0.016) | (0.016) | (0.031) | (0.002) | |
| IDADE | 0.0054** | 0.0071** | 0.0051 | 0.0077*** | 0.002 | 0.0189*** | 0.0011 | 0.0072*** | 0.0187*** | 0.0005* |
| (0.002) | (0.003) | (0.005) | (0.002) | (0.004) | (0.005) | (0.002) | (0.003) | (0.005) | (0.000) | |
| HORAS | 0.0043*** | 0.0103*** | 0.0138*** | -0.0075*** | -0.0069*** | 0.0043** | 0.0028*** | 0.0011 | 0.0034* | 0.0003** |
| (0.001) | (0.001) | (0.002) | (0.001) | (0.002) | (0.002) | (0.001) | (0.0012) | (0.002) | (0.000) | |
| CASADO | -0.0383** | -0.0353* | -0.0744** | -0.0175 | 0.0027 | -0.0188 | -0.0289* | -0.0227 | -0.0693** | 0.0016 |
| (0.017) | (0.021) | (0.032) | (0.017) | (0.028) | (0.033) | (0.016) | (0.017) | (0.034) | (0.002) | |
| CHEFE DOMICÍLIO | -0.0144 | -0.0552*** | -0.0192 | 0.0039 | 0.043 | -0.0006 | 0.0044 | -0.0005 | -0.0632* | -0.0003 |
| (0.017) | (0.021) | (0.032) | (0.018) | (0.029) | (0.034) | (0.017) | (0.018) | (0.034) | (0.002) | |
| METROPOLITANO | -0.144*** | -0.188*** | 0.516*** | -0.16*** | -0.27*** | -0.104** | -0.155*** | -0.0992*** | 0.0697* | 0.0036 |
| (0.021) | (0.026) | (0.041) | (0.021) | (0.035) | (0.041) | (0.02) | (0.021) | (0.042) | (0.003) | |
| URBANO | -0.0721** | -0.0593 | 0.0247 | -0.0542 | -0.0488 | 0.198*** | 0.0038 | 0.018 | 0.0369 | 0.0051 |
| (0.033) | (0.041) | (0.06) | (0.033) | (0.057) | (0.068) | (0.032) | (0.036) | (0.067) | (0.006) | |
| BRANCO | 0.0273 | 0.0537** | -0.0882*** | 0.051*** | 0.0738** | 0.048 | 0.0231 | 0.0527*** | 0.0932*** | 0.0015 |
| (0.018) | (0.022) | (0.034) | (0.018) | (0.03) | (0.035) | (0.017) | (0.018) | (0.036) | (0.003) | |
| HOMEM | 0.0536** | 0.0077 | 0.0058 | 0.0251 | 0.0666* | 0.164*** | 0.0139 | 0.0138 | 0.029 | -0.0026 |
| (0.022) | (0.027) | (0.042) | (0.022) | (0.037) | (0.043) | (0.021) | (0.021) | (0.044) | (0.003) | |
| R² | 0.083 | 0.093 | 0.218 | 0.098 | 0.089 | 0.129 | 0.082 | 0.105 | 0.120 | 0.049 |
Nota: Erro padrão robusto entre parênteses
Número de observações: 15 576
Variáveis de Satisfação: V3703: quanto às condições prometidas e encontradas; V37091: quanto ao salário e gratificações salariais; V37092: quanto ao valor do auxílio alimentação; V37093: quanto à jornada de trabalho; V37094: quanto à flexibilidade do horário; V37095: quanto ao processo de capacitação profissional; V37096: quanto à promoção de igualdade de oportunidades e de tratamento; V37097: quanto à salubridade e segurança; V37098: quanto aos benefícios sociais complementares; V9117: não tomou alguma providência para conseguir trabalho nos últimos 30 dias. Foram adicionados controles para CNAE, CBO, Unidades Federativas e tipos de emprego.
*** p<0.01** p<0.05* p<0.10III.2. Probit ordenado e probit binomial
A Tabela 4 apresenta os resultados do modelo de escolha binária e do modelo de escolhas múltiplas ordenadas. A variável de interesse (ser sindicalizado) mostra-se não significativa na opção por manter-se no emprego e na satisfação quanto aos ganhos salariais, à flexibilidade de horários e aos benefícios sociais complementares. Porém, quando se tratam das demais variáveis de satisfação, a sindicalização está positivamente correlacionada, indicando que as instituições sindicais melhoram o bem-estar de trabalhadores associados.
A escolaridade está positivamente associada aos ganhos do auxílio alimentação, ao processo de capacitação profissional, à salubridade e segurança e aos benefícios sociais complementares. De acordo com Siebern-Thomas (2005), a satisfação laboral está positivamente relacionada ao treinamento da mão de obra, uma vez que determinadas habilidades são desenvolvidas para aplicações específicas, o que leva a maior eficiência produtiva.
A maior parte de tais variáveis possui a opção de não benefício, logo a escolaridade pode estar diretamente associada a ter estes benefícios ou a estes benefícios serem bons o suficiente para agradar tais pessoas. Cabe destaque quanto à salubridade e segurança que é indicador de que empregos para trabalhadores mais escolarizados geram maior satisfação nesse quesito. As pessoas que investiram mais em capital humano não são tão satisfeitas quanto aos seus rendimentos e gratificações salariais como os seus pares menos escolarizados. Esses resultados podem indicar efeitos de características não observáveis da satisfação, tais como aspirações mais altas da vida profissional, que levam os indivíduos a se sindicalizarem e a sentirem-se mais insatisfeitos com o trabalho (Bryson, Cappellari & Lucifora, 2004).
A experiência no mercado de trabalho está, em geral, negativamente correlacionada com a satisfação. Por outro lado, a experiência dentro da empresa está diretamente correlacionada com a satisfação laboral, inclusive aumentando a probabilidade de permanência na empresa. Porém, para o caso de auxílio alimentação, as pessoas com mais anos de empresa relatam menor satisfação à medida que o tempo avança. Segundo Belfield & Harris (2002), as pessoas com menor experiência e menor nível educacional têm baixas expectativas em relação à procura de outro trabalho, o que diminui consideravelmente a sua satisfação.
Os salários são estatisticamente significativos e estão positivamente correlacionados com a satisfação laboral em todas as variáveis, inclusive aumentando a probabilidade de manter-se na empresa. A idade tem relação positiva e estatisticamente significativa com a maioria das variáveis correspondentes à satisfação à exceção dos aspectos relacionados ao valor do auxílio alimentação e quanto à flexibilidade de horário, cujas estimativas não se mostraram significativas. Cabe destaque, no entanto, o fato de que as horas de trabalho aumentam a satisfação em todas as variáveis exclusive as variáveis de satisfação quanto à carga horária e quanto à flexibilidade de horários.
Em geral, ser casado, assim como ser chefe de família, estão negativamente associados com satisfação laboral. Tais resultados indicam que a permanência no emprego é principalmente por necessidade financeira e não pelo bem-estar proporcionado pelo trabalho. Pessoas em zona urbana têm menor satisfação quanto às condições prometidas e encontradas, mas se mostra mais satisfeito em relação à capacitação profissional. Neste mesmo aspecto, os homens se mostram mais satisfeitos que as mulheres.
Pessoas em região metropolitana são, via de regra, menos satisfeitas, assim como aqueles que se autodeclaram não brancos. Parte desse resultado pode ser decorrente, segundo levantamento realizado pelo Instituto de Pesquisa Econômica aplicada (IPEA) com dados da PNAD sobre mobilidade urbana de 2012, de que o brasileiro gasta, em média, trinta minutos para chegar ao trabalho. Ainda segundo a pesquisa, 20% dos moradores de regiões metropolitanas gastam mais de uma hora por dia no deslocamento.
Os membros sindicalizados reconhecem que seus empregos são mais seguros e com melhor remuneração em relação aos empregos não-sindicalizados. Maiores ganhos no emprego também estão associados a uma maior satisfação com a remuneração. Os homens são mais do que mulheres e trabalhadores altamente escolarizados e aqueles que trabalham muitas horas percebem que seus empregos não têm segurança e que seus salários são baixos (Meng, 1990).
Na Tabela A1 (Apêndice) é possível observar o efeito marginal de ser sindicalizado. Quanto às condições prometidas e encontradas, ser sindicalizado reduz as chances de ser pouco satisfeito ou indiferente em 0.84% e 0.39%. Quanto ao auxílio alimentação, os sindicalizados têm 9.58% a mais de probabilidade de ter o auxílio e 7.4% a mais de chances de se considerarem satisfeitos quanto ao valor do auxílio.
Quanto à jornada de trabalho, os sindicalizados têm menor probabilidade de serem pouco satisfeitos ou indiferentes. Os sindicalizados têm 3.41% menos chances de não ter processo de capacitação profissional e 0.14 menos chances de se sentirem insatisfeitos com o processo. Os membros de sindicatos possuem 3,21% e 0,67% de chances a mais de serem satisfeitos e muito satisfeitos quanto à capacitação profissional.
Quanto à igualdade de oportunidades e tratamento, os sindicalizados têm menor probabilidade de responder que são pouco satisfeitos ou insatisfeitos e têm maior probabilidade de afirmar serem indiferentes, satisfeitos ou muito satisfeitos. E quanto à salubridade e segurança, os sindicalizados têm 0,69 menos probabilidade se sentirem pouco satisfeitos e 0,63% menos chance de serem indiferentes. Quanto às demais variáveis, a sindicalização não tem efeito significativo em nenhuma das opções de satisfação.
III.3. SUR
Os resultados dispostos na Tabela 5 referem-se ao modelo SUR empregado com todas as variáveis dependentes juntas, possibilitando a estimação corrigida com os erros correlacionados. Percebe-se, primeiramente, que o fato de ser sindicalizado não afeta a satisfação laboral na maior parte das variáveis, porém, é significativo e positivo quanto ao valor do vale alimentação, ao processo de capacitação profissional e quanto à promoção de igualdade de oportunidades e tratamento. Esses resultados indicam que os sindicatos podem ser atuantes no sentido da conquista do benefício do vale alimentação e capacitação profissional (visto que, em ambos os casos, pode não haver tais benefícios) e/ou que os sindicatos melhoram a vida daqueles que já têm estes benefícios.
Quanto à igualdade de oportunidades e tratamento, os sindicalizados relatam que os sindicatos têm poder de equidade, uma vez que os membros de sindicatos relatam melhor satisfação quanto à tal variável. Também é positivo e significativo o efeito da sindicalização quanto às condições prometidas e encontradas no trabalho. Este resultado indica uma forte atuação do sindicato no sentido de manter as condições de trabalho minimamente de qualidade para os trabalhadores. Em relação aos modelos probit, há clara superestimação dos efeitos dos sindicatos, pois, naqueles modelos, o efeito de ser sindicalizado é significante e positivo em mais variáveis que mensuram a satisfação.
De acordo com Bryson, Cappellari & Lucifora (2004), uma menor satisfação laboral entre os membros sindicalizados pode refletir heterogeneidade não observada no nível da empresa ou do local de trabalho, no caso da sindicalização ser mais provável em locais onde as condições de trabalho são precárias. A sindicalização está associada a certas condições de trabalho, sendo que os mesmos, com frequência, consideram a segurança do trabalho e demais condições como alta prioridade nas negociações contratuais e podem estimular o conhecimento e a conscientização sobre questões de segurança, envolvendo ativamente os funcionários (Sinclair et al., 2010).
O grau de escolaridade, via de regra, está diretamente associado a uma maior satisfação laboral ou não tem efeito significativo. Apenas na variável de gratificação salarial e salários é que as pessoas mais escolarizadas se sentem menos satisfeitas, indicando que os salários desagradam os indivíduos que mais investiram em capital humano ou que tais indivíduos sentem que deveriam receber mais do que recebem devido ao seu indicativo de produtividade (anos de escolaridade). Os resultados para os anos de educação estão em linha com os encontrados nos modelos probit.
Uma maior experiência no mercado de trabalho torna a pessoa mais insatisfeita quanto à maior parte das variáveis. Todavia, a experiência dentro da empresa aumenta a satisfação na maior parte das variáveis, exclusive quanto aos benefícios relativos ao auxílio alimentação. A experiência específica também é importante para manter-se no emprego, uma vez que está positivamente correlacionada com o fato de não ter procurado emprego nos últimos 30 dias. Quanto à experiência dentro da empresa, o modelo SUR, ao considerar a correlação dos erros, mostra que mais tempo de empresa aumenta a satisfação em relação à gratificação salarial, enquanto o modelo probit ordenado mostrava que não havia correlação significativa entre as variáveis. Há, ainda, uma maior chance de pessoas que possuem maior experiência específica continuarem mais tempo na empresa, aumentando a produtividade.
De acordo com Guerra & Patuelli (2016), a experiência, nível educacional e as oportunidades de trabalho existentes podem ser vistas como um indicador das percepções sobre a vantagem comparativa de permanecer no emprego atual contra as aspirações de alternativas de sua vida profissional - que as levam à sindicalização e à maior insatisfação com o seu trabalho atual.
| Variáveis | V3703 | V37091 | V37092 | V37093 | V37094 | V37095 | V37096 | V37097 | V37098 | V9117 |
| SINDICALIZADO | 0.069** | 0.041 | 0.290*** | 0.047* | 0.020 | 0.106*** | 0.095*** | 0.065** | 0.006 | 0.037 |
| (0.028) | (0.026) | (0.026) | (0.028) | (0.026) | (0.026) | (0.026) | (0.027) | (0.025) | (0.075) | |
| ESCOLARIDADE | 0.001 | -0.011 | 0.012*** | -0.005 | 0.004 | 0.012*** | -0.000 | 0.008** | 0.018*** | -0.002 |
| (0.004) | (0.004) | (0.004) | (0.004) | (0.004) | (0.004) | (0.003) | (0.004) | (0.003) | (0.009) | |
| EXPERIÊNCIA | -0.004 | -0.009*** | -0.003 | -0.008** | 0.000 | -0.011*** | 0.002 | -0.007 | -0.010*** | -0.006 |
| (0.003) | (0.003) | (0.003) | (0.003) | (0.003) | (0.003) | (0.003) | (0.003) | (0.003) | (0.007) | |
| EXPERIÊNCIA | 0.003 | 0.003 | -0.008*** | 0.001 | 0.005*** | 0.006*** | -0.000 | 0.000 | 0.007*** | 0.096*** |
| ESPECÍFICA | (0.002) | (0.002) | (0.002) | (0.002) | (0.002) | (0.002) | (0.002) | (0.001) | (0.002) | (0.028) |
| LN_SALÁRIO | 0.209*** | 0.340*** | 0.226*** | 0.120*** | 0.056*** | 0.144*** | 0.097*** | 0.130 | 0.170*** | 0.181*** |
| (0.024) | (0.022) | (0.023) | (0.024) | (0.021) | (0.02) | (0.022) | (0.022) | (0.018) | (0.056) | |
| IDADE | 0.006* | 0.008** | 0.004 | 0.011*** | 0.002 | 0.011*** | -0.000 | 0.009** | 0.013*** | 0.012* |
| (0.004) | (0.003) | (0.004) | (0.004) | (0.004) | (0.003) | (0.003) | (0.004) | (0.003) | (0.007) | |
| HORAS | 0.007*** | 0.013*** | 0.012*** | -0.009*** | -0.005*** | 0.003** | 0.004*** | 0.002* | 0.003** | 0.006* |
| (0.002) | (0.001) | (0.001) | (0.002) | (0.001) | (0.001) | (0.001) | (0.001) | (0.001) | (0.003) | |
| CASADO | -0.056** | -0.048** | -0.054** | -0.028 | -0.003 | -0.024 | -0.045 | -0.042* | -0.034 | 0.008 |
| (0.023) | (0.022) | (0.024) | (0.023) | (0.022) | (0.022) | (0.022) | (0.022) | (0.021) | (0.058) | |
| CHEFE DOMICÍLIO | -0.008 | -0.049** | -0.008 | 0.016 | 0.038* | 0.002 | 0.020 | 0.018 | -0.029 | -0.031 |
| (0.024) | (0.022) | (0.024) | (0.024) | (0.022) | (0.022) | (0.023) | (0.023) | (0.022) | (0.061) | |
| METROPOLITANO | -0.221*** | -0.205*** | 0.368*** | -0.237*** | -0.234*** | -0.078*** | -0.238 | -0.153*** | 0.046* | 0.098 |
| (0.029) | (0.028) | (0.029) | (0.029) | (0.027) | (0.027) | (0.027) | (0.028) | (0.026) | (0.068) | |
| URBANO | -0.092** | -0.052 | 0.040 | -0.060 | -0.044 | 0.140*** | 0.021 | 0.030 | 0.002 | 0.023 |
| (0.045) | (0.043) | (0.054) | (0.044) | (0.044) | (0.045) | (0.043) | (0.043) | (0.040) | (0.101) | |
| BRANCO | 0.032 | 0.056** | -0.076*** | 0.062** | 0.053** | 0.034 | 0.025 | 0.070 | 0.058** | 0.055 |
| (0.024) | (0.023) | (0.025) | (0.025) | (0.023) | (0.023) | (0.024) | (0.024) | (0.023) | (0.063) | |
| HOMEM | 0.038 | 0.005 | -0.004 | 0.021 | 0.034 | 0.111*** | -0.008 | 0.014 | 0.029 | -0.081 |
| (0.030) | (0.029) | (0.03) | (0.031) | (0.028) | (0.028) | (0.030) | (0.029) | (0.023) | (0.063) | |
| Pseudo-R² | 0.0504 | 0.0448 | 0.106 | 0.0546 | 0.0404 | 0.0541 | 0.0441 | 0.0547 | 0.0225 | 0.0939 |
Nota: Erro padrão robusto entre parênteses
Número de observações: 15 576
Variáveis de Satisfação: V3703: quanto às condições prometidas e encontradas; V37091: quanto ao salário e gratificações salariais; V37092: quanto ao valor do auxílio alimentação; V37093: quanto à jornada de trabalho; V37094: quanto à flexibilidade do horário; V37095: quanto ao processo de capacitação profissional; V37096: quanto à promoção de igualdade de oportunidades e de tratamento; V37097: quanto à salubridade e segurança; V37098: quanto aos benefícios sociais complementares; V9117: não tomou alguma providência para conseguir trabalho nos últimos 30 dias. Foram adicionados controles para CNAE, CBO, Unidades Federativas e tipos de emprego.
| Variáveis | V3703 | V37091 | V37092 | V37093 | V37094 | V37096 | V37097 | V37098 | V9117 | |
| SINDICALIZADO | 0.038** | 0.027 | 0.386*** | 0.022 | -0.023 | 0.133*** | 0.049*** | 0.023 | -0.041 | 0.001 |
| (0.017) | (0.0214) | (0.032) | (0.018) | (0.029) | (0.034) | (0.016) | (0.018) | (0.034) | (0.003) | |
| ESCOLARIDADE | 0.001 | -0.01*** | 0.017*** | -0.001 | 0.005 | 0.018*** | -0.001 | 0.006** | 0.016*** | -0.000 |
| (0.003) | (0.003) | (0.005) | (0.003) | (0.004) | (0.005) | (0.002) | (0.003) | (0.005) | (0.000) | |
| EXPERIÊNCIA | -0.005** | -0.008*** | -0.004 | -0.006*** | 0.001 | -0.019*** | -0.000 | -0.005** | -0.015*** | -0.000 |
| (0.002) | (0.002) | (0.004) | (0.002) | (0.003) | (0.004) | (0.002) | (0.002) | (0.004) | (0.000) | |
| EXPERIÊNCIA | 0.002 | 0.003* | -0.010*** | 0.001 | 0.007*** | 0.009*** | -0.000 | -0.000 | 0.008*** | 0.001*** |
| ESPECÍFICA | (0.001) | (0.002) | (0.002) | (0.001) | (0.002) | (0.002) | (0.001) | (0.001) | (0.002) | (0.000) |
| LN_SALÁRIOS | 0.132*** | 0.294*** | 0.276*** | 0.074*** | 0.053** | 0.210*** | 0.066 | 0.088*** | 0.217*** | 0.006*** |
| (0.014) | (0.017) | (0.026) | (0.014) | (0.024) | (0.027) | (0.013) | (0.014) | (0.028) | (0.002) | |
| IDADE | 0.005** | 0.007*** | 0.005 | 0.008*** | 0.002 | 0.019*** | 0.001 | 0.007*** | 0.019*** | 0.000 |
| (0.002) | (0.003) | (0.004) | (0.002) | (0.004) | (0.004) | (0.002) | (0.002) | (0.004) | (0.000) | |
| HORAS | 0.004*** | 0.010*** | 0.014*** | -0.007*** | -0.007*** | 0.004** | 0.003*** | 0.001 | 0.003* | 0.0003** |
| (0.001) | (0.001) | (0.002) | (0.001) | (0.002) | (0.002) | (0.001) | (0.001) | (0.002) | (0.0001) | |
| CASADO | -0.038** | -0.035* | -0.074*** | -0.017 | 0.003 | -0.019 | -0.029** | -0.023 | -0.069** | 0.002 |
| (0.015) | (0.018) | (0.028) | (0.015) | (0.025) | (0.029) | (0.014) | (0.015) | (0.030) | (0.002) | |
| CHEFE DOMICÍLIO | -0.014 | -0.055*** | -0.019 | 0.004 | 0.043* | -0.001 | 0.004 | -0.001 | -0.063** | -0.000 |
| (0.016) | (0.019) | (0.029) | (0.016) | (0.026) | (0.030) | (0.015) | (0.016) | (0.031) | (0.002) | |
| METROPOLITANO | -0.144*** | -0.188 | 0.516*** | -0.160*** | -0.270 | -0.104*** | -0.155*** | -0.099*** | 0.070* | 0.004 |
| (0.018) | (0.022) | (0.034) | (0.017) | (0.031) | (0.036) | (0.017) | (0.019) | (0.036) | (0.003) | |
| URBANO | -0.072** | -0.059 | 0.025 | -0.054* | -0.049 | 0.198*** | 0.004 | 0.018 | 0.037 | 0.005 |
| (0.031) | (0.038) | (0.058) | (0.031) | (0.052) | (0.060) | (0.029) | (0.031) | (0.061) | (0.004) | |
| BRANCO | 0.027* | 0.054*** | -0.088 | 0.051*** | 0.074*** | 0.048 | 0.023 | 0.053*** | 0.093*** | 0.001 |
| (0.016) | (0.019) | (0.030) | (0.016) | (0.027) | (0.031) | (0.015) | (0.016) | (0.031) | (0.002) | |
| HOMEM | 0.054*** | 0.008 | 0.006 | 0.025 | 0.067** | 0.164*** | 0.014 | 0.014 | 0.029 | -0.003 |
| (0.019) | (0.024) | (0.037) | (0.020) | (0.033) | (0.038) | (0.018) | (0.020) | (0.039) | (0.003) | |
| R² Ajustado | 0.083 | 0.093 | 0.218 | 0.098 | 0.089 | 0.129 | 0.082 | 0.105 | 0.120 | 0.049 |
Nota: Erro padrão robusto entre parênteses
Número de observações: 15 576.
Variáveis de Satisfação: V3703: quanto às condições prometidas e encontradas; V37091: quanto ao salário e gratificações salariais; V37092: quanto ao valor do auxílio alimentação; V37093: quanto à jornada de trabalho; V37094: quanto à flexibilidade do horário; V37095: quanto ao processo de capacitação profissional; V37096: quanto à promoção de igualdade de oportunidades e de tratamento; V37097: quanto à salubridade e segurança; V37098: quanto aos benefícios sociais complementares; V9117: não tomou alguma providência para conseguir trabalho nos últimos 30 dias. Foram adicionados controles para CNAE, CBO, Unidades Federativas e tipos de emprego.
Os salários estão positivamente correlacionados com todas as variáveis de satisfação laboral, inclusive com a proxy de estar satisfeito no emprego (não ter procurado emprego), indicando que uma maior valorização salarial está diretamente ligada a um trabalho mais satisfatório, conforme também apontado na Tabela 3, corroborando o modelo teórico (Clark & Oswald, 1996). A idade está positivamente correlacionada com a satisfação laboral, excluindo em relação à igualdade de oportunidades e de tratamento, aos benefícios de auxílio alimentação e à flexibilidade de horários. Além disso, também não há efeito da idade em relação à busca de emprego, nesse aspecto contraria o resultado do modelo probit binomial.
Em geral, pessoas que trabalham mais horas relatam serem mais satisfeitas com seus trabalhos, mas em duas variáveis relata-se menor satisfação: quanto à jornada de trabalho e quanto à flexibilidade de horário. Ou seja, em geral as pessoas que mais trabalham são mais satisfeitas com seus ganhos salariais, benefícios adicionais, entre outros, mas são mais insatisfeitas quanto às variáveis ligadas, exatamente, à jornada de trabalho, indicando uma possível correlação. Assim, os resultados sugerem que salários mais altos compensam parcialmente suas condições de trabalho e menor insatisfação, conforme apontado por Bryson, Cappellari & Lucifora (2004). Não há diferença significativa entre horas de trabalho e satisfação quanto à salubridade e segurança, porém, o modelo probit ordenado apontava correlação positiva. Tais resultados corroboram, em parte, o modelo teórico de Clark & Oswald (1996), que prevê que mais horas trabalhadas reduzem a satisfação laboral.
Quanto às variáveis binárias, mostra-se uma correlação negativa entre a satisfação laboral e as variáveis: ser chefe de domicílio e ser casado. Esses resultados podem expressar a necessidade de manter-se no emprego por motivos de sustento do lar, porém com insatisfação por parte dos trabalhadores. Os resultados mostram mais correlação com as variáveis de satisfação do que os resultados apontados pelos modelos probit ordenados.
Pessoas situadas na zona urbana e em região metropolitana, via de regra, têm menor satisfação, em média, que seus pares em zona rural e fora da região metropolitana. Pessoas de região metropolitana têm maior satisfação apenas em relação ao auxílio alimentação e quanto aos benefícios sociais complementares (em linha com o modelo probit ordenado). Ambas as variáveis possuem a opção de não recebimento de tais benefícios, indicando dois possíveis resultados: pessoas na região metropolitana recebem mais, em média, esses benefícios ou então esses benefícios são mais satisfatórios em relação às pessoas que não vivem em região metropolitana. As pessoas de zona urbana também possuem menor satisfação em relação às jornadas de trabalho, resultado não apontado na Tabela 3.
As regiões metropolitanas influenciam positivamente a satisfação dos trabalhadores em função da série de atrativos urbanos que oferecem e demais variáveis associadas ao território, como cultura e círculos sociais e familiares (Ferrada, 2017). Os resultados estimados implicam que residir em uma região metropolitana e deslocar-se para o centro da cidade pode levar a uma maior dependência de auxílios complementares como vales transporte e alimentação, já que a distância do domicílio ao trabalho evitaria ou dificultaria refeições caseiras.
Em geral, homens e mulheres relatam satisfações estatisticamente iguais, porém em relação à flexibilidade de horários e capacitação profissional, o gênero masculino tem, em média, maior satisfação. Ainda os homens relatam maior satisfação quanto às condições prometidas e encontradas no emprego. De acordo com o modelo de múltipla escolha, apenas quanto ao processo de capacitação profissional seria diferente entre homens e mulheres.
CONSIDERAÇÕES FINAIS
O Brasil é um país que até 2017 tinha a obrigatoriedade da Contribuição Sindical, cobrava-se de cada trabalhador formal o referente a um dia de trabalho do ano, fosse ele sindicalizado ou não. Com o fim do chamado imposto sindical, faz-se necessário avaliar o efeito das instituições sindicais sobre os trabalhadores, uma vez que estas perderam sua principal fonte de financiamento e precisarão repensar a estratégia de atuação a fim de continuar exercendo sua influência sobre os trabalhadores.
Como representantes dos trabalhadores, essas entidades podem atuar no intuito de melhorar as condições de vida laboral, seja por meio de melhor remuneração, capacitação profissional, reduzir condições de insalubridade, flexibilidade nos horários, benefícios complementares (vale transporte e alimentação) entre outros. Espera-se que os sindicatos possam intervir na qualidade dos postos de trabalho de seus filiados, consequentemente, afetando diretamente a satisfação. Desta maneira, este artigo teve por objetivo avaliar a satisfação laboral (job satisfaction) no Brasil para diversos aspectos por meio do uso do Suplemento de Relações de Trabalho e Sindicalização da PNAD 2015 e o método o seemingly unrelated regression (SUR).
O modelo SUR é importante, pois agrega diversas relações individuais que não são compreendidas em vários modelos de MQO juntos, pois fazem parte do componente de resíduo. A partir dos resultados, é possível perceber que os sindicatos são atuantes na conquista de direitos, como auxílio alimentação e promoção de capacitação profissional, além de serem importantes para a equidade nas oportunidades dentro do emprego, uma vez que a satisfação laboral quanto a estas variáveis e a sindicalização são positivamente correlacionados e significantes. Nas outras variáveis, no entanto, não há significância em tal variável.
Os resultados evidenciam sugestões de estratégia da atuação sindical junto ao trabalhador, uma vez que o fim da obrigatoriedade na contribuição sindical poderá levar ao enfraquecimento e posterior desaparecimento de sindicatos ineficientes. Dessa forma, a atuação sindical que consiga melhorar o salário, as condições de trabalho e propicie o acesso a benefícios complementares junto aos seus filiados poderá trazer incentivos para o aumento no número de filiados, assim como reduzir os estímulos à rotatividade (busca por novos postos de trabalho). Por fim, aponta-se que esta pesquisa contribui com a literatura pertinente à mensuração da satisfação laboral e sindicalização por meio de estimações inéditas para o mercado de trabalho brasileiro. Para trabalhos futuros, sugere-se a segmentação regional e setorial da análise a fim de captar efeitos peculiares em função da heterogeneidade e mudanças no ambiente institucional brasileiro.
REFERÊNCIAS
Amadeo, E. J., & Camargo, J. M. (1993). Labour legislation and institutional aspects of the Brazilian labour market. Labour, 7(1), 157-180.
Antunes, R., & Silva, J. B. (2015). Para onde foram os sindicatos? Do sindicalismo de confronto ao sindicalismo negocial. Caderno CRH, 28(75).
Antunes, A., Bon, D., Monteiro, N., & Rodrigues, P. M. M. (2014). Indicadores avançados de crises bancárias : exploração de novos dados e instrumentos. In Boletim Económico. Lisboa: Banco de Portugal.
Antunes, R. (2011). Do novo sindicalismo ao sindicalismo negocial de Estado. Rio de Janeiro. Jornal Dos Economistas, (268).
Bardasi, E.; Francesconi, M. (2004). The impact of atypical employment on individual well‐being: evidence from a panel of British workers. Social Science and Medicine, 58, 1671–1688.
Barnes, A. J., Robert, N., & Bradley, C. J. (2014). Job attributes, job satisfaction and the return to health after breast cancer diagnosis and treatment. Psycho‐Oncology, 23(2), 158-164.
Belfield, C. R., & Harris, R. D. F. (2002). How well do theories of job matching explain variations in job satisfaction across education levels? Evidence for UK graduates. Applied Economics, 34(5), 535-548.
Booth, A. L., &; Van Ours, J. C. (2008). Job satisfaction and family happiness: the part-time work puzzle. The Economic Journal, 118(526), 77-99.
Borjas, G. (2009). Economia do Trabalho (5th ed.). Porto Alegre: AMGH Editora.
Borjas, G. J. (1979). Job satisfaction, wages, and unions. Journal of Human Resources, 14(1), 21-40.
Borra M. C., & Gómez G. F. (2012). Satisfacción laboral y salario:¿ compensa la renta laboral las condiciones no monetarias del trabajo? Revista de Economía Aplicada, 20(60), 25-51.
Bryson, A., & White, M. (2016). Not so dissatisfied after all? The impact of union coverage on job satisfaction. Oxford Economic Papers, 64(8), 898-919.
Bryson, A. C.; Cappellari, L., & Lucífora, C. (2010). Why so unhappy? The effects of unionization on job satisfaction. Oxford Bulletin of Economics and Statistics, 72(3), 357-380.
Bryson, A., Cappellari, L., & Lucifora, C. (2004). Does union membership really reduce job satisfaction? British Journal of Industrial Relations, 42(3), 439-459.
Campos, A. G., & Moura, A. C. (2017). Diferenças de Remuneração entre Trabalhadores Sindicalizados e não Sindicalizados: evidências sobre o mercado de trabalho brasileiro (No. 2323). Brasília: Rio de Janeiro: Instituto de Pesquisa Econômica Aplicada.
Cardoso, A., & Gindin, J. (2017). O movimento sindical na Argentina e no Brasil (2002-2014). Sociedade e Estado, 32(1), 13-37. Disponível em https://doi.org/10.1590/s0102-69922017.3201002
Clark, A. E. (2001). What really matters in a job? Hedonic measurement using quit data. Labour Economics, 8(2), 223-242.
Clark, A. E., & Oswald, A. J. (1996). Satisfaction and comparison income. Journal of Public Economics, 61(3), 359-381.
Clegg, C. W. (1983). Psychology of employee lateness, absence, and turnover: A methodological critique and an empirical study. Journal of Applied Psychology, 68(1), 88-101.
Cotti, C. D., Haley, M. R., & Miller, L. A. (2014). Workplace flexibilities, job satisfaction and union membership in the US workforce. British Journal of Industrial Relations, 52(3), 403-425.
Davis, R. S. (2013). Unionization and work attitudes: How union commitment influences public sector job satisfaction. Public Administration Review, 73(1), 74-84.
Doucouliagos, H., Freeman, R. B., Laroche, P., & Stanley, T. D. (2018). How Credible Is Trade Union Research? Forty Years of Evidence on the Monopoly–Voice Trade-Off. ILR Review, 71(2), 287-305.
Ferrada, L. M. (2017). Determinantes y diferencias territoriales en materia de satisfacción laboral: el caso de Chile. Revista CEPAL, (123), 137-157.
Fiorillo, D., & Nappo, N. (2014). Job satisfaction in Italy: individual characteristics and social relations. International Journal of Social Economics, 41(8), 683-704.
Freeman, R. B. (1978). Job Satisfaction as an Economic Variable. American Economic Review, 68(2), 135-141.
Freeman, R. B. (1980). The exit-voice tradeoff in the labor market: Unionism, job tenure, quits, and separations. The Quarterly Journal of Economics, 94(4), 643-673.
Garcia-Serrano, C. (2009). Job satisfaction, union membership and collective bargaining. European Journal of Industrial Relations, 15(1), 91-111.
Ghinetti, P. (2007). The Public–Private Job Satisfaction Differential in Italy. Labour, 21(2), 361-388.
Gordon, M. E., & Denisi, A. S. (1995). A re-examination of the relationship between union membership and job satisfaction. ILR Review, 48(2), 222-236.
Green, C., & Heywood, J. S. (2008). Does performance pay increase job satisfaction? Economica, 75(300), 710-728.
Green, C. P., & Heywood, J. S. (2015). Dissatisfied union workers: sorting revisited. British Journal of Industrial, 53(3), 580-600.
Guerra, G., & Patuelli, R. (2016). The Role of Job Satisfaction in Transitions Into Self‐Employment. Entrepreneurship Theory and Practice, 40(3), 543-571.
Hamermesh, D. (1977). Economics for Job Satisfaction and Worker Alienation. In O. Ashenfelter & W. Oates (Eds.), Essays in Labor Market and Population Analysis (pp. 53-72). New York: Wiley.
Holland, P., Pyman, A., Cooper, B. K., & Teicher, J. (2011). Employee voice and job satisfaction in Australia: The centrality of direct voice. Human Resource Management, 50(1), 95-111.
Huang, Y., Lee, J., McFadden, A. C., Murphy, L. A., Robertson, M. M., Cheung, J. H., & Zohar, D. (2016). Beyond safety outcomes: An investigation of the impact of safety climate on job satisfaction, employee engagement and turnover using social exchange theory as the theoretical framework. Applied Ergonomics, 55, 248-257. Disponível em https://doi.org/10.1016/j.apergo.2015.10.007
Kalleberg, A. L. (1977). Work values and job rewards: A theory of job satisfaction. American Sociological Review, 124-143.
Kochan, T. A., & Helfman, D. E. (1981). The effects of collective bargaining on economic and behavioral job outcomes. In R. G. Ehrenberg (Ed.), Research in Labor Economics (4th ed., pp. 321-366). Greenwich: JAI Press.
Laroche, P., & Salesina, M. (2017). The Effects of Union and Nonunion Forms of Employee Representation on High‐Performance Work Systems: New Evidence from French Microdata. Human Resource Management, 56(1), 173-189.
Laroche, P. (2016). A Meta‐Analysis of the Union–Job Satisfaction Relationship. British Journal of Industrial Relations, 54(4), 709-741.
Laroche, P. (2017). Union membership and job satisfaction: Initial evidence from French linked employer–employee data. Human Resource Management Journal, 27(4), 648-668.
Locke, E. A. (1976). The nature and causes of job satisfaction. In M. Dunnette (Ed.), Handbook of industrial and organizational psychology (pp. 1297-1343). Chicago: Rand McNally.
Machado, D. C., & Silva, A. F. (2014). Um indicador de não satisfação no trabalho e a mobilidade do mercado de trabalho: um estudo para homens e mulheres. Nova Economia, 24(1), 123-140.
Menezes-Filho, N. A.; Zylberstajn, H.; Chahad, J. P., & Pazello, E. (2002). Unions and the economic performance of Brazilian establishments (No. Research Network Working Paper R464). Washington, D.C.: Inter-American Development Bank.
Meng, R. (1990). The relationship between unions and job satisfaction. Applied Economics, 22(12), 1635-1648.
Monte, P. A. (2012). Job dissatisfaction and labour turnover: evidence from Brazil. The International Journal of Human Resource Management, 23(8), 1717-1735.
Pindyck, R. S., & Rubinfeld, D. L. (2004). Econometria: modelos & previsões (4th ed.). Rio de Janeiro: Elsevier.
Powdthavee, N. (2011). Anticipation, free-rider problems, and adaptation to trade unions: Re-examining the curious case of dissatisfied union members. ILR Review, 64(5), 1000-1019.
Scott, A., Gravelle, H., Simoens, S., Bojke, C., & Sibbald, B. (2006). Job satisfaction and quitting intentions: a structural model of British general practitioners. British Journal of Industrial Relations, 44(3), 519-540.
Seago, J. A., Spetz, J., Ash, M., Herrera, C.-N., & Keane, D. (2011). Hospital RN job satisfaction and nurse unions. Journal of Nursing Administration, 41(3), 109-114.
Shields, M. A., & Ward, M. (2001). Improving nurse retention in the National Health Service in England: the impact of job satisfaction on intentions to quit. Journal of Health Economics, 20(5), 677-701.
Siebern-Thomas, F. (2005). Job quality in European Labour Markets. In S. Bazen, C. Lucifora, & W. Salverda (Eds.), Job quality and employer behaviour (pp. 31–66). London: Palgrave Macmillan.
Silva, J. B. (2013). Ação sindical, racismo e cidadania no Brasil. In R. Antunes (Ed.), Riqueza e miséria do trabalho (Vol. 1, pp. 383-402). São Paulo: Boitempo Editorial.
Sinclair, R. R.; Martin, J. E., & Sears, L. E. (2010). Labor unions and safety climate: Perceived union safety values and retail employee safety outcomes. Accident Analysis & Prevention, 42(5), 1477-148.
Skalli, A., Theodossiou, I., & Vasileiou, E. (2008). Jobs as Lancaster goods: Facets of job satisfaction and overall job satisfaction. The Journal of Socio-Economics, 37(5), 1906-1920. Disponível em https://doi.org/10.1016/j.socec.2008.04.003
Souza-Poza, A.; Souza-Poza, A. (2000). Well-being at work: a cross-national analysis of the levels and determinants of job satisfaction. Journal of Socio-Economics, 29, 517-538.
Van Solinge, H., & Henkens, K. (2008). Adjustment to and satisfaction with retirement: Two of a kind? Psychology and Aging, 23(2), 422-434.
Zellner, A. (1962). An efficient method of estimating seemingly unrelated regressions and tests for aggregation bias. Journal of the American Statistical Association, 57(298), 348-368.
Apêndice
| Variável | V3703 | V37091 | V37092 | V37093 | V37094 | V37095 | V37096 | V37097 | V37098 | V9117 |
| Y=0 | -0.0958*** | -0.0042 | -0.0341*** | -0.0023 | ||||||
| (0.01) | (0.006) | (0.01) | (0.01) | |||||||
| Y=1 | -0.0061 | -0.0066 | 0.0018 | -0.0048 | -0.0007 | -0.0014* | -0.008* | -0.0068 | -0.0000 | 0.0014 |
| (0.005) | (.0044) | (0.004) | (0.003) | (0.001) | (0.001) | (0.004) | (0.004) | (0.000) | (0.003) | |
| Y=2 | -0.0084*** | -0.0065 | 0.0057 | -0.0061* | -0.0012 | -0.002 | -0.0078*** | -0.0069** | 0.0000 | |
| (0.004) | (0.0042) | (0.007) | (0.003) | (0.002) | (0.002) | (0.003) | (0.003) | (0.000) | ||
| Y=3 | -0.0039*** | -0.0013 | 0.004 | -0.0032* | -0.0007 | -0.0013 | -0.0142*** | -0.0063*** | 0.0002 | |
| (0.002) | (0.001) | (0.003) | (0.002) | (0.001) | (0.003) | (0.004) | (0.003) | (0.001) | ||
| Y=4 | 0.01 | 0.0118 | 0.074*** | 0.0112 | 0.0051 | 0.0321*** | 0.0197* | 0.013 | 0.0019 | |
| (0.011) | (0.008) | (0.012) | (0.007) | (0.007) | (0.008) | (0.0113) | (0.009) | (0.008) | ||
| Y=5 | 0.0085 | 0.0026 | 0.0103 | 0.0029 | 0.0018 | 0.0067* | 0.0103* | 0.007 | 0.0002 | |
| (0.006) | (0.002) | (0.009) | (0.002) | (0.0025) | (0.004) | (0.005) | (0.004) | (0.001) |
Nota: Erros-padrão robustos entre parênteses.
Fonte: Elaboração própriaNotas