ARTÍCULOS
EVALUACIÓN DE LAS REFORMAS QUE IMPULSAN EL EMPLEO FORMAL^
ASSESSING REFORMS THAT BOOST FORMAL EMPLOYMENT
EVALUACIÓN DE LAS REFORMAS QUE IMPULSAN EL EMPLEO FORMAL^
ESTUDIOS ECONÓMICOS, vol. XXXIX, núm. 78, pp. 33-59, 2022
Universidad Nacional del Sur

Recepción: 17 Mayo 2021
Aprobación: 30 Junio 2021
Resumen:
El objetivo del presente documento es determinar el efecto de las políticas implementadas entre 2007 y 2018 para incentivar el empleo formal en el Ecuador. Para aquello, se utiliza un modelo de proyecciones locales con los datos administrativos de empleo registrado. Los resultados muestran que el empleo formal aumenta un 4% en el mediano plazo, debido a las reformas laborales. Además, se evidencia que el comportamiento agregado está guiado por el efecto en las empresas grandes. Estos resultados positivos se evidencian después del año de implementación, sugiriendo un grado de rigidez al momento de impulsar el empleo formal. Códigos JEL: E24, J21, J41, C22.
Palabras clave: empleo, reformas laborales, proyecciones locales, Ecuador.
Abstract:
The objective of this document is to determine the effect of the policies implemented between 2007 and 2018 to encourage formal employment in Ecuador. For this purpose, a local projection model is used with administrative data on registered employment. The results show that formal employment increases by 4% in the medium term, due to labor reforms. In addition, it is evident that the aggregate behavior is guided by the effect on large companies. These positive results are evidenced after the year of implementation, suggesting a degree of rigidity in boosting formal employment. JEL Codes: E24, J21, J41, C22.
Keywords: employment, labor reforms, local projections, Ecuador.
INTRODUCCIÓN
Preguntarse ‘¿por qué en ciertos países los niveles de (in)formalidad son más bajos que en otros?’ o ‘¿qué mejora la calidad del empleo en las economías?’ han sido unos de los cuestionamientos fundamentales que se han hecho los investigadores y los hacedores de la política pública en el ámbito laboral. Con el afán de responder dichas preguntas, se han dado diferentes interpretaciones como modificaciones en las condiciones contractuales, liberalización del salario y hasta la penalización del incumplimiento de los derechos laborales (Alaimo et al., 2015; Borjas, 2020; Cornia, 2014).
Tras el fin del superciclo de los precios de las materias primas (commodities) a finales de 2014, la región latinoamericana ha mantenido un bajo crecimiento económico, sin lograr generar empleo de calidad, como principal determinante. En contraste, desde 2015 ha incrementado la informalidad y ha caído el empleo adecuado, deteriorándose el mercado laboral en la región (Comisión Económica para América Latina y el Caribe [CEPAL], 2019; Fondo Monetario Internacional [FMI], 2018). Se espera que las condiciones laborales empeoren aún más con la pandemia del COVID-19 (ver Comisión Económica para América Latina y el Caribe [CEPAL] y Organización Internacional del Trabajo [OIT], 2020).
En contraste con otros países, el desempleo en el mercado laboral ecuatoriano se ha mantenido relativamente bajo y estable. Indicadores como el desempleo muestran mantenerse alrededor del 4% (Olmedo, 2018), a pesar de que la tasa de variación del PIB haya sido cero o negativa después del choque petrolero de 2014. Sin embargo, otras variables del mercado laboral sí se han deteriorado. Así, el empleo adecuado se ha reducido y la informalidad ha incrementado en el Ecuador, denotando que las condiciones de los trabajadores se han empeorado, aunque se logre conseguir ingresos para subsistir (ver Arias, Carrillo-Maldonado & Torres-Olmedo, 2020; Olmedo, 2018).
Para la economía ecuatoriana, Díaz Cassou y Ruiz-Arranz (2018) evidencian de manera cualitativa que ciertas reformas institucionales han provocado una mejora en las condiciones laborales de los trabajadores. Entre otras, la eliminación de la tercerización (subcontratación de trabajadores) y la penalización a los empleadores por no afiliar a la seguridad social a sus empleados se han enmarcado como fundamentales para esta mejora en el mercado laboral. En contraste, Gachet y Uribe-Terán (2019) identifican analíticamente que dichas reformas han provocado distorsiones en el mercado laboral, reduciendo sus horas de trabajo promedio (como medida de productividad laboral). No obstante, hasta el momento no existen estudios que evalúen cuantitativamente el impacto de las reformas en el mercado laboral en la economía ecuatoriana, con base a la revisión de literatura realizada por los autores.
En este sentido, el presente documento tiene como objetivo el evaluar el efecto de las reformas legales en el mercado laboral del Ecuador en el período 2007-2018 enfocadas a mejorar la calidad del empleo. Para ello, se utiliza la metodología de proyecciones locales que permite evidenciar el efecto (impacto y dinámica posterior) que tuvieron estos cambios en el empleo formal. El modelo econométrico se aplica a la base de datos de empleo registrado del Laboratorio de Dinámica Laboral y Empresarial (LDLE) del Instituto Nacional de Estadísticas y Censos (INEC), el cual consolida la información del Instituto Ecuatoriano de Seguridad Social (IESS) con respecto a la afiliación de los trabajadores de las empresas formales (con registro tributario) del Servicio de Rentas Internas (SRI).
A diferencia de los otros trabajos (ver Escudero, 2018), la propuesta de este documento realiza una evaluación macroeconómica de las reformas laborales. Para medir el efecto en el empleo, se identifica con un enfoque narrativo, donde se establece el período específico de implementación de los cambios normativos. Esta metodología ha sido ampliamente utiliza en estimación del impacto de la política económica (Ramey, 2016), reformas institucionales (Antoun de Almeida & Balasundharam, 2018) o crisis financieras (Teulings & Zubanov, 2014).
Olmedo (2018) resalta que el país ha sido examinado como base para análisis de las perspectivas regionales. Así, se ha utilizado al Ecuador para sugerir políticas públicas en favor de mejorar las condiciones de vida de los trabajadores. Estas perspectivas regionales han sido las establecidas de acuerdo con la OIT (2017), en el cual se establecieron las tendencias del mercado laboral para la región.
El documento tiene la estructura detallada a continuación: la segunda parte presenta la política pública implementada para mejorar la calidad del empleo; la tercera expone la estrategia para la evaluación de las reformas laborales; en la cuarta se realiza el análisis del efecto de las reformas en el empleo informal del Ecuador; la quinta presenta el análisis de robustez del modelo; y, finalmente, en la sexta se presentan las conclusiones.
I. POLÍTICA PÚBLICA IMPLEMENTADA PARA LA CALIDAD DEL EMPLEO
En el mercado laboral ecuatoriano se destacan tres problemas centrales: el desempleo, el subempleo y la informalidad laboral. La presente investigación se centra en identificar cuáles ha sido las políticas públicas implementadas en el período 2008-2018, cuál ha sido la efectividad de estas políticas para promover el empleo formal y cuáles son los principales desafíos para el futuro.
I.1. Marco legal y de políticas públicas aplicadas en el Ecuador
A continuación, se mencionarán brevemente las diferentes políticas aplicadas para promover el empleo adecuado en el Ecuador, desde 2008 hasta la 2018, considerando los principios estipulados en la Constitución de la República del Ecuador, Código del Trabajo y los diferentes Planes de Desarrollo desde el 2007-2013 hasta el 2017-2021.
I.1.1. Salario digno
Se aplicó una política activa de salario mínimo con miras a lograr el llamado “salario digno”. El artículo 8 del Código Orgánico de la Producción, Comercio e Inversiones indica que el salario digno es “el que cubra al menos las necesidades básicas de la persona trabajadora, así como de su familia, y corresponde al costo de la canasta básica familiar dividido para el número de perceptores del hogar”. El costo de la canasta básica familiar y el número de perceptores del hogar serán determinados por el organismo rector de las estadísticas y censos nacionales oficiales del país, de manera anual, lo cual servirá de base para la determinación del salario digno establecido por el Ministerio del Trabajo.
I.1.2. Cobertura de seguridad social
Las políticas del Plan Nacional de Buen Vivir 2009-2013 incluyeron la promoción de la seguridad social y la ampliación de su cobertura, el desarrollo de condiciones de trabajo dignas y el respeto de los derechos laborales. Con este fin se estableció una tasa objetivo para la cobertura de la seguridad social en 2013 en el 40% de la población (Secretaría Nacional de Planificación y Desarrollo [SENPLADES], 2007).
Asimismo, se fortalecieron los mecanismos de penalización en caso del no pago de aportes patronales. El 10 de febrero de 2014, la Asamblea Nacional publicó el Código Orgánico Integral Penal, que define en tres artículos el delito por no proporcionar cobertura del IESS. El artículo 242 menciona:
[…] La persona que retenga los aportes patronales o personales o efectúe los descuentos por rehabilitación de tiempos de servicio o de dividendos de préstamos hipotecarios y quirografarios de sus trabajadores y no los deposite en el Instituto Ecuatoriano de Seguridad Social dentro del plazo máximo de noventa días, contados a partir de la fecha de la respectiva retención, será sancionada con pena privativa de libertad de uno a tres años. [...] Si se determina responsabilidad penal de la persona jurídica, será sancionada con la clausura de sus locales o establecimientos, hasta que cancele los valores adeudados (COIP, 2014).
El artículo 243 establece:
[…] En el caso de personas jurídicas que no cumplan con la obligación de afiliar a uno o más de sus trabajadores al Instituto Ecuatoriano de Seguridad Social, se impondrá la intervención de la entidad de control competente por el tiempo necesario para precautelar los derechos de las y los trabajadores y serán sancionadas con multa de tres a cinco salarios básicos unificados del trabajador en general, por cada empleado no afiliado, siempre que estas no abonen el valor respectivo dentro del término de cuarenta y ocho horas después de haber sido notificado (COIP, 2014).
Por último, el artículo 244 menciona:
[…] La o el empleador que no afilie a sus trabajadores al seguro social obligatorio dentro de treinta días, contados a partir del primer día de labores, será sancionado con pena privativa de libertad de tres a siete días. […] Las penas previstas se impondrán siempre que la persona no abone el valor respectivo, dentro del término de cuarenta y ocho horas después de haber sido notificada (COIP, 2014).
Según lo menciona la OIT (2014), las políticas antes mencionadas podrían fomentar la afiliación y la posibilidad de utilizar servicios médicos públicos y privados, debido a que generan incentivos para que los empleadores afilien a sus trabajadores y así evitar sanciones. Sin embargo, como se mencionó anteriormente es importante evaluar el impacto que tuvieron efectivamente estas políticas sobre la cobertura y acceso a la seguridad social.
I.1.3. Estandarización de condiciones de trabajo doméstico
Para el grupo de trabajadores domésticos, con la aprobación de la Ley Orgánica para la Defensa de los Derechos Laborales en el 2012 se reformaron una serie de artículos del Código de Trabajo que no son exclusivos para el trabajo doméstico pero que lo incluye (OIT, 2016). A través de las mismas, se promovió un aumento del salario mínimo para igualar al de los trabajadores en general, al igual que su afiliación obligatoria a la seguridad social, el derecho a vacaciones y pago de horas extra, el fondo de reserva y la décimo tercera y cuarta remuneración1.
En su libro Mejores pensiones mejores trabajos: hacia la cobertura universal en América Latina y el Caribe, Bosch, Melguizo y Pagés (2013) establecen que como resultado de las políticas mencionadas, el empleo informal en los servicios domésticos disminuyó, el porcentaje de trabajadoras domésticas afiliadas aumentó. Sin embargo, el número total de trabajadores domésticos disminuyó, lo que sugiere que algunos hogares eliminaron esos servicios, ya sea porque no pudieron cubrir los costos involucrados en el pago del mínimo salario y las cotizaciones a la seguridad social o para evitar ser penalizados optaron por prescindir de este tipo de servicios.
I.2. Planes para promoción de empleo de calidad del Ministerio de Trabajo
El Ministerio del Trabajo alineado al Plan Nacional de Desarrollo Toda una Vida 2017-2021 ha desarrollado varios proyectos enfocados en promover el empleo de calidad, los mismos que se describen a continuación.
I.2.1. Reducción de brechas de acceso a empleo de calidad
La Red Socio Empleo nace en el 2009 con el objetivo de brindar un espacio para el encuentro entre los trabajadores y contratistas del sector de la construcción. No obstante, ante la demanda laboral de la ciudadanía, se convirtió en una bolsa de empleo pública estableciendo mecanismos de vinculación con empresas e instituciones del sector público y privado. Los ciudadanos en busca de empleo registran su hoja de vida y realizan la búsqueda de ofertas laborales a través de una plataforma activa desde el 2012.
La red tiene como objetivo principal impulsar la generación de empleo en condiciones dignas, articulando la oferta y demanda del mercado laboral ecuatoriano. El Ministerio del Trabajo realiza el seguimiento a los procesos registrados en la plataforma con el fin de gestionar el cierre de los mismos y obtener una retroalimentación para evaluar la efectividad del instrumento de política pública.
La estrategia fue ejecutada en diciembre del 2018 y propone alternativas de reincorporación al mercado de trabajo para personas con experiencia laboral previa y que están en búsqueda de empleo. En tal sentido, mediante la mencionada estrategia se oferta un taller de orientación en alternativas de búsqueda de empleo para facilitar la reinserción laboral en el mercado de trabajo.
Adicionalmente, existe un taller dirigido a la generación de ideas de negocio y orientación sobre servicios de asesoría que brindan otras instituciones para elaborar el plan de negocio y acceder a un financiamiento para emprender. Se genera alianzas con varias instituciones públicas y privadas, para ofertar servicios que fortalezcan el perfil laboral a través de capacitaciones técnicas. La estrategia mencionada beneficia a personas en búsqueda de empleo que no estén vinculadas de manera formal al sector público o privado y cuenten con más de doce meses continuos de experiencia laboral.
I.2..2. Estrategias de inserción laboral para jóvenes
El proyecto “Empleo Joven” que lleva a cabo el Ministerio del Trabajo está dirigido a empresas del sector privado con la finalidad de generar alianzas estratégicas e impulsar la inserción laboral de jóvenes de entre 18 a 26 años. Este proyecto tiene como objetivo incluir a los jóvenes como actores estratégicos en la economía del país, a través de la generación de oportunidades laborales, por lo que, la empresa privada se constituye como un eje fundamental para llevar a cabo esta iniciativa. El proyecto inició en agosto de 2018, con la intención de complementar al proyecto “Mi Primer Empleo” que estaba dirigido a promover pasantías y prácticas preprofesionales, pero no vinculación como tal.
El proyecto inició en julio del 2007, y tiene como objetivo el generar oportunidades para que jóvenes profesionales puedan realizar sus prácticas preprofesionales y pasantías mediante la firma de un convenio que permite a los socios estratégicos obtener algunas ventajas, según se detalla a continuación:
Pasantías:
− Son remuneradas y se realizan en el sector privado.
− Durante el período de pasantía, el Estado entrega a las empresas un incentivo económico correspondiente al 50% del tercio del Salario Básico Unificado vigente y el 50% del aporte al IESS.
Prácticas preprofesionales:
− Las prácticas preprofesionales se realizan en el sector público y las pueden realizar los estudiantes habilitados por sus instituciones de educación superior.
− En esta modalidad no existe una remuneración, según Reglamento del Régimen Académico, debido a que son tareas exclusivamente de formación académica.
Adicionalmente, el proyecto cuenta con un componente de capacitación con el objetivo de generar capacidades en los beneficiarios para que cuenten con herramientas adicionales para su inserción en el mercado laboral.
II. ESTRATEGIA PARA LA EVALUACIÓN DE LAS REFORMAS DE EMPLEO FORMAL
Debido a la información disponible en el país, es complejo implementar una metodología microeconométrica que permita realizar la evaluación de impacto robusta de las reformas descritas en la sección anterior. La principal dificultad es que no se puede diferenciar entre la implementación de las políticas y otros cambios institucionales ocurridos en el país en ese período (OIT, 2014) para lograr tener grupos de control y tratamiento como se exige en las metodologías microeconómicas (Athey & Imbens, 2017; Imbens & Wooldridge, 2009). En este sentido, la ENEMDU, principal fuente del mercado laboral ecuatoriano, no permite diferenciar entre las personas que participaron o no en alguna política laboral específica (o todas).
En este sentido, se propone utilizar el enfoque narrativo implementado en los modelos de series de tiempo. Esta metodología propone introducir una variable dicotómica (dummy), donde la variable tiene el valor de 1 en el tiempo que entró en vigor cada una de las reformas y tiene el valor 0 si no existió alguna intervención de política. Esta estrategia permite evaluar el efecto conjunto que ha tenido una política o intervención en un período en específico. Estos modelos han sido ampliamente utilizados para medir el efecto de la política económica, crisis bancarias o reformas estructurales.
Autores como Romer y Romer (2010) o Mertens y Ravn (2014) mencionan que las estimaciones mejoran y reducen su sesgo en la estimación cuando se obtiene información del potencial impacto antes de la ejecución de las políticas. Para el análisis de este documento, no existe un detalle del número de personas que hubieran sido empleadas en el sector formal anunciado por el gobierno con cada una de las políticas laborales analizadas. En resumen, la metodología descrita a continuación permite medir el efecto conjunto de las medidas de política laboral atadas a la formalidad/informalidad en el país.
II.1. Modelo
Para medir el efecto conjunto que tuvieron las políticas de penalización por el no pago de aportes de seguridad social o de formalización del empleo doméstico en el empleo formal, se propone estimar la función de impulso respuesta (IRF) con la metodología de proyecciones locales de Jordà (2005). En este modelo se propone utilizar proyecciones directas de los modelos de series de tiempo para conocer el efecto de una variable (o su shock) sobre otra. En este caso eso implica analizar los cambios en el empleo formal como producto de sus determinantes económicas y de las reformas antes analizadas. En comparación con otros métodos de series de tiempo, como Vectores Autorregresivos (VAR), las proyecciones locales tienen la ventaja de reducir el sesgo de estimación por mala especificación en una regresión dinámica (Teulings & Zubanov, 2014). En contraste, un problema que tiene esta metodología es que su estimación es menos precisa cuando la muestra (número de observaciones) es pequeña(Kilian & Kim, 2011)2.
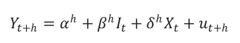
De manera formal, el método de proyecciones locales se puede expresar como:
(1)Donde Yt+h es el logaritmo de empleo formal en el período t+h (h= 0,1,2,..,H); es la constante; Xtes el vector de variables de control; es el vector de coeficientes asociado al vector Xt; y, utes el residuo o error estocástico del modelo, que tiene una distribución normal Ν(0,σ2). It es la variable dummy que toma el valor de 1 en la fecha que se implementó la política de mejora del empleo, caso contrario toma el valor de 0, y es el coeficiente que muestra el efecto en el período h (meses) después de la vigencia de las políticas laborales. Así, si es positivo se podría interpretar como incremento en puntos porcentuales de empleo formal debido a la implementación de estas políticas y si es negativo la interpretación es contraria.
Para identificar plenamente el efecto de las políticas mencionadas, se incluyen variables de control que podrían afectar la creación de empleo formal además de las laborales, reduciendo así el sesgo por mala especificación. Así, se incluyeron el Índice de Actividad Empresarial No Petrolera (IAENP) del Servicio de Rentas Internas para controlar el efecto de demanda existente en la economía, ya que el mejor desempeño económico también conlleva mayor empleo, pudiendo este hecho confundirse con el incremento por las políticas de formalización. Además, se añade al precio de petróleo ya que este permite controlar los efectos internacionales en el país; tal como muestra Carrillo-Maldonado y Díaz-Cassou (2019), los choques petroleros son unos de los más importantes para explicar la macroeconomía de Ecuador. Por último, se incluyen rezagos tanto de las variables de control como de las variables de empleo y de las reformas para obtener el comportamiento dinámico en la economía. Se introducen dos rezagos en las variables de empleo y actividad económica, basado en el criterio de información de Schwartz, tres rezagos para el WTI, y la tendencia. En el modelo se incluye también adelantos con la idea de que las reformas para mejorar las condiciones laborales tienen una dinámica independiente del término de error, en todas las realizaciones hacia adelante y hacia atrás, permitiendo que las estimaciones tengan el menor sesgo posible (ver Teulings & Zubanov, 2014).
II.2. Datos
Para la evaluación se utiliza la base de datos del Laboratorio de Dinámica Laboral y Empresarial. Esta fuente de información permite obtener el empleo registrado en el IESS de las empresas formales que tienen un RUC y de personas naturales independientes3. Esta información tiene el beneficio de i) realizar una desagregación consistente en base a sectores económicos, tamaño de la empresa por trabajador, nivel de educación de los trabajadores, entre otros (ver Carrillo-Maldonado & Vásconez, 2019); y, ii) obtener información mensual comparable que permite realizar ejercicios econométricos consistentes debido al número de observaciones (ver García, Garzón, Palacios & Puebla, 2018), en contraste con las encuestas de empleo del país.
En este sentido, se utiliza el empleo registrado mensual de las empresas al primer nivel de desagregación de la Clasificación Internacional de Industrias Unificado (CIIU revisión 4) y por tamaño de empresas según el número de trabajadores entre 2007 y 2018. Tanto las variables de empleo por CIIU y tamaño como las variables de control fueron transformadas a logaritmos. Además, estas variables, como las de control, tuvieron un ajuste estacional con X-13ARIMA-TRAMO.
III. EL EFECTO DE LAS REFORMAS EN EL EMPLEO FORMAL
En base a la metodología antes descrita, en esta sección se presentan los resultados del efecto de las políticas laborales implementadas en el período 2007 a 2018. Los resultados se exponen de manera agregada para el empleo formal total, seguido por el tamaño de las empresas y finalmente por sectores económicos. Como se mencionó se incluyeron variables que controlan la actividad económica y efectos internacionales, por lo cual el incremento en el empleo formal podría ser exclusivamente por las reformas laborales antes expuestas.
El gráfico 1 muestra el efecto de las reformas laborales implementadas en el empleo formal después de 24 meses (función de impulso respuesta). Como se observa, se evidencia que dichas políticas no tuvieron impacto en el corto plazo, ya que la obtención de la función de impulso-respuesta no es estadísticamente significativa. Dicho efecto se torna positivo permanentemente desde el décimo mes después de la implementación de las reformas. Entre 20 y 24 meses después de las reformas, se observa que el efecto se estabiliza por encima del 4.3%, lo que significa que las políticas en evaluación en este documento han provocado un incremento del 4.3% del empleo formal en el mediano plazo.

Este efecto podría explicarse primero porque las empresas no se lograban adaptar a las nuevas reformas que impulsaron el empleo formal. Al final del año se observa ya un efecto positivo debido que las firmas lograron incrementar su empleo formal, dado que probablemente se terminaba el año contable o fiscal, y se logra adaptar a las nuevas normas laborales. Así, se muestra que la contratación laboral es rígida en el corto plazo, pero logra incrementarse en el medio plazo.
Al observar los resultados por tamaño de empresa se evidencia resultados heterogéneos con efecto temporales en las firmas pequeñas y mediana A. Las microempresas y medianas B muestran un incremento del 8% y 3.8% del empleo formal, desde el período 19 y 23 (aproximadamente dos años) después de la implementación de las reformas laborales. Por su parte, se muestra que las empresas grandes tienen una dinámica similar al empleo formal antes analizado con un impacto de corto plazo sin significancia estadística, pero con un efecto positivo de mediano plazo. En este tamaño de firmas se presenta un incremento del empleo formal a partir del décimo mes posterior de la ejecución de las reformas laborales. Este efecto incrementa el empleo formal de la gran empresa hasta un 2.8% entre el décimo sexto y noveno, posteriormente se observa un incremento, pero a un menor porcentaje llegando hasta 1.8% del empleo formal.
En primera instancia se evidencia que el efecto total está guiado por el incremento en las empresas grandes, debido que estas firmas podrían soportar el costo laboral de contratar ya que probablemente tienen costos fijos marginales para el proceso de selección de personal. Por ello, se evidencia efectos temporales o después de dos años en los otros tamaños de empresas, puesto que estas firmas no podrán soportar dicho costo laboral. Tal como muestran Ruiz Arranz y Deza (2018), la legislación ecuatoriana tiene costos salariales (sueldo, pago de seguridad social, etc.) y no salariales (vacaciones, indemnización por despido, entre otros) mayores al promedio de América Latina.
Al observar los resultados por sectores económicos (Clasificación Internacional de Industrias Unificadas, CIIU), se pueden evidenciar también diferentes efectos por persistencia, duración o signo (gráfico 3). Sectores como Agricultura (A), Construcción (F), Actividades inmobiliarias (L), Enseñanza (P), Actividades artísticas (R) y Otras actividades de servicios (S) tienen efectos temporales y positivos; mientras que, Actividades de salud (Q) muestran una caída del empleo formal, aunque también temporal, producto de las reformas laborales. Las empresas de Distribución de agua (E) muestran un efecto negativo y temporal entre el primer y quinto mes después de la ejecución de las reformas; posteriormente, se presenta un resultado positivo y permanente de 8%, por las mismas políticas laborales.
Sectores como Industria manufacturera (C); Comercio (C); Actividades de alojamiento (I); Actividades de información y comunicación (J); Actividades financieras (K), Actividades profesionales, científicas y técnicas (M); y Actividades de servicios administrativos y de apoyo (N) presentan un incremento del empleo formal debido a la implementación de las reformas laborales. Estos sectores presentan el particular que su resultado positivo y estadísticamente significativo inicia después de un año de la vigencia de la nueva normativa laboral, tal como se observó en el total de empleo formal y las empresas grandes. Este resultado ratifica la rigidez en el corto plazo para contratar nuevos empleados formales aún existente en la legislación.

Nota: el tamaño de las empresas se clasifica como microempresa (que tiene de 1 a 9 trabajadores), pequeña (de 10 a 49 trabajadores), mediana A (de 50 a 99 trabajadores), mediana B (de 100 a 199 trabajadores) y grande (de 200 a más trabajadores).
Fuente: INEC.

Nota: A = Agricultura, ganadería, silvicultura y pesca. B = Explotación de minas y canteras. C = Industrias manufactureras. D = Suministro de electricidad, gas, vapor y aire acondicionado. E = Distribución de agua; alcantarillado, gestión de desechos y actividades de saneamiento. F = Construcción. G = Comercio al por mayor y al por menor; reparación de vehículos automotores y motocicletas. H = Transporte y almacenamiento. I = Actividades de alojamiento y de servicio de comidas. J = Información y comunicación. K = Actividades financieras y de seguros. L = Actividades inmobiliarias. M = Actividades profesionales, científicas y técnicas. N = Actividades de servicios administrativos y de apoyo. O = Administración pública y defensa; planes de seguridad social de afiliación obligatoria. P = Enseñanza. Q = Actividades de atención de la salud humana y de asistencia social. R = Artes, entretenimiento y recreación. S = Otras actividades de servicios. U = Actividades de organizaciones y órganos extraterritoriales.
Fuente: INEC.Por su parte se observa también un efecto positivo y permanente en el empleo doméstico, reformas que se enfocaron en mejorar condiciones laborales de este grupo de empleadas e igualar sus derechos al resto de trabajadores formales. Con la presente propuesta metodológica se evidencia un incremento de 8% del empleo formal (estadísticamente significativo) en el mediano plazo. En este grupo de trabajadores se vuelve a observar un incremento recién después de un año de la implementación de las reformas laborales.

En primera instancia se podría concluir que las reformas de mejora a las condiciones laborales en análisis en este documento presentan resultados positivos en el empleo formal. Estos efectos positivos se observan tanto a nivel agregado como por tamaño de empresas como por industrias. En los resultados se observa que el efecto positivo es aproximadamente después de un año de implementación de las reformas laborales, sin tener efectos en el corto plazo.
IV. SENSIBILIDAD DE LOS RESULTADOS
Dado los resultados antes analizados, la presente sección muestra modificaciones en la ecuación (1) para mostrar robustez de los efectos de las reformas laborales. En primera instancia se incluyen y retiran eventos fundamentales, que posiblemente incrementaron el empleo formal. En una segunda parte se presenta cambios en el modelo estadístico basado en los rezagos del modelo, tendencia y otros controles.
Autores como Díaz Cassou y Ruiz-Arranz (2018) y Arias et al. (2020) identifican la aprobación de la Constitución del 2008, donde se elimina la tercerización, y ratifican la seguridad social de los trabajadores como una de las reformas laborales más importantes para reducir la informalidad en el país. Una segunda reforma fundamental es la penalización si no se afilia y paga la seguridad social de sus trabajadores bajo relación de dependencia. Por su parte, autores como Carrillo-Maldonado y Vásconez (2019) mencionan que se pueden utilizar datos consistentes desde el 2010, a pesar de tener datos consolidados desde el 2007 en el Laboratorio de Dinámica Laboral y Empresarial del INEC, por lo cual se incluye una variable dummy que controla este evento en la información utilizada en este estudio. Si se retiran estos eventos de la dummy de reformas laborales (), en el gráfico 5 se evidencia que el empleo formal se podría incrementar (en la estimación puntual) aún más sin la penalización por la seguridad social. Además, se alcanzaría el mismo impacto si no se ratificaran los derechos de los trabajadores en la constitución. Por último, la corrección de los datos del 2010 muestra que el impacto podría ser menor llegando hasta un 3% y no al 4.5% después de dos años de la implementación de las reformas. No obstante, estos efectos mayores o menores no muestran diferencias estadísticas con la estimación base de la ecuación (1).

Modificar las variables incluidas para controlar las propiedades estadísticas es otra forma de probar la robustez de los resultados en el presente documento. Así, los cambios en el modelo fueron: i) se excluyeron los rezagos de la variable dummy de las reformas () y así se eliminó la dinámica persistente de las políticas implementadas en el empleo formal; ii) se modificó el número de rezagos del criterio de información de Schwartz por el de Hannan-Quin, así se incrementó el número de rezagos hasta tres rezagos; iii) se eliminaron los adelantos de la variable para analizar si existía algún efecto de expectativas ante las reformas; iv) se eliminó a la tendencia del modelo para eliminar el efecto persistente en las variables de empleo formal. Todas estas modificaciones en el modelo estadístico se evidencian en el Gráfico 6. Los resultados muestran que las estimaciones iniciales (base) son similares a los obtenidos con dichos cambios. Aunque se evidencia una considerable reducción en la estimación sin adelantos (cambio iii), se observa que esta no presenta diferencia estadística con el modelo base, ya que se muestra dentro del intervalo de confianza de la estimación inicial. Teulings y Zubanov (2014) exponen que la inclusión de adelantos y rezagos de la variable dummy permite obtener resultados con el menor sesgo posible.

CONCLUSIONES
En este documento se realizó un análisis de las reformas legales y de las políticas públicas para impulsar el empleo formal en el Ecuador. Para ello, la presente investigación se centró en identificar cuáles ha sido las políticas públicas implementadas en el período 2008-2018. Posteriormente, se estimó el efecto de las reformas laborales en el empleo formal, mediante la metodología de proyecciones locales.
Se pueden resaltar las reformas de cobertura de seguridad social, que buscaron la afiliación obligatoria para los trabajadores en relación de dependencia, incentivar a los trabajadores a tiempo parcial y mejorar el acceso a la utilización de servicios médicos públicos y privados. Además, la estandarización de condiciones de trabajo doméstico, cuyo objetivo fue, de acuerdo al artículo 95 y 96 del Código de Trabajo, aumentar el salario, la afiliación a la seguridad social, el derecho a vacaciones y horas extra así como el respectivo pago de los fondos de reserva y décimos tal como lo establece la ley.
Por su parte, el Ministerio de Trabajo también ha desarrollado varios proyectos enfocados a promover el empleo de calidad. Se han creado políticas para la inserción laboral para jóvenes, con el proyecto “Empleo Joven”, así como también reduciendo la brecha de acceso a empleo de calidad, a través de la “Red Socio Empleo”.
Al momento de evaluar el efecto de estas políticas se evidencia que, en conjunto, estas reformas en el mercado laboral han provocado un incremento de 4% en el empleo formal en el mediano plazo. Además, se evidencia que este efecto recién muestra resultados estadísticamente significativos a partir del año de implementación aproximadamente. En principio, esto sugiere que las reformas no tienen un impacto en el corto plazo, debido que podría existir rigidez en el mercado laboral y que el empleo incrementa después del año (mediano plazo). No se podría asegurar si se debe a una planificación fiscal de las empresas o por la duración de los contratos que tiene la legislación laboral.
Las reformas además tuvieron un impacto significativo en el empleo formal en empresas grandes, pero igual manera después de año de implementación. El empleo en empresas de menor tamaño no muestra efectos o estos son meramente temporales. El mismo comportamiento de las empresas grandes se observa en los sectores de manufactura, comercio, entre otros, evidenciando que el tamaño de las empresas tiene efecto tanto en el comportamiento sectorial como agregado. Por su parte, se presentan un mayor empleo formal por parte del empleo doméstico, estabilizándose el efecto en el 8% de empleo formal inicial.
Al momento de evaluar las reformas no se tomó ningún aspecto sobre el bienestar de los trabajadores, principalmente por lograr obtener datos desagregados. No obstante, sería importante determinar si existieron cambios en indicadores de bienestar de los trabajadores para comprender si además de incrementar el empleo formal en el país, los empleados también tuvieron acceso a menores niveles de vida con estas reformas laborales.
BIBLIOGRAFÍA
Alaimo, V., Bosch, M., Kaplan, D. S., Pages, C., & Ripani, L. (2015). Empleos para crecer (2ª ed.). Washington DC: Inter-American Development Bank. doi:https://doi.org/10.18235/0000139
Antoun de Almeida, L., & Balasundharam, V. (2018). On the Impact of Structural Reforms on Output and Employment : Evidence from a Cross-country Firm-level Analysis (IMF, Working Papers No. 2018/073).
Arias, K., Carrillo-Maldonado, P., & Torres-Olmedo, J. (2020). Análisis del sector informal y discusiones sobre la regulación del trabajo en plataformas digitales en el Ecuador (CEPAL, Documentos de Proyectos No. LC/TS.2020/75). Recuperado de http://hdl.handle.net/11362/45866
Arias, K., Torres-Olmedo, J., & Carrillo-Maldonado, P. (2020). El empleo informal en Ecuador: una propuesta de cálculo. Valor Agregado: Revista para la Docencia de Ciencias Económicas y Administrativas en el Ecuador, 13, 29-61.
Athey, S., & Imbens, G. W. (2017). The State of Applied Econometrics: Causality and Policy Evaluation. Journal of Economic Perspectives, 31(2), 3-32. doi:https://doi.org/10.1257/jep.31.2.3
Borjas, G. (2020). Labor Economics. New York, NY: McGraw Hill.
Bosch, M., Melguizo, Á., & Pagés, C. (2013). Mejores pensiones mejores trabajos: Hacia la cobertura universal en América Latina y el Caribe (2ª ed.). Washington DC: Banco Interamericano de Desarrollo.
Carrillo-Maldonado, P., & Díaz-Cassou, J. (2019). An anatomy of external shocks in the Andean Region (IDB, Working Paper No. 1042). doi: http://dx.doi.org/10.18235/0001949
Carrillo-Maldonado, P., & Vásconez, V. (2019). Caracterización de la demanda laboral en el Ecuador con información administrativa. X-Pedientes Económicos, 3(5), 55-77.
Código Orgánico Integral Penal [COIP] (10 de febrero de 2014). Asamblea Nacional República de Ecuador, Registro Oficial No. 180. Recuperado de https://tbinternet.ohchr.org/Treaties/CEDAW/Shared%20Documents/ECU/INT_CEDAW_ARL_ECU_18950_S.pdf
Comisión Económica para América Latina y el Caribe - CEPAL, & Organización Internacional del Trabajo - OIT. (2020). El trabajo en tiempos de pandemia: desafíos frente a la enfermedad por coronavirus (COVID-19). (Coyuntura Laboral en América Latina y el Caribe No. 22, LC/TS.2020/46). Recuperado de https://repositorio.cepal.org/bitstream/handle/11362/45557/4/S2000307_es.pdf
Comisión Económica para América Latina y el Caribe - CEPAL (2019). Políticas tributarias para la movilización de recursos en el marco de la Agenda 2030 para el Desarrollo Sostenible (Panorama Fiscal de América Latina y el Caribe 2019, LC/PUB.2019/8-P). Recuperado de https://repositorio.cepal.org/bitstream/handle/11362/44516/1/S1900075_es.pdf
Cornia, G. A. (2014). Falling inequality in Latin America: policy changes and lessons. New York: Oxford University Press. doi: 10.1093 / acprof: oso / 9780198701804.001.0001 https://global.oup.com/academic/product/falling-inequality-in-latin-america-9780198701804?cc=fi&lang=en&
Díaz Cassou, J., & Ruiz-Arranz, M. (eds.) (2018). Reformas y desarrollo en el Ecuador contemporáneo. Washington DC: Inter-American Development Bank. doi: https://doi.org/10.18235/0001378
Escudero, V. (2018). Are active labour market policies effective in activating and integrating low-skilled individuals? An international comparison. IZA Journal of Labor Policy, 7(1), 4. doi: https://doi.org/10.1186/s40173-018-0097-5
Fondo Monetario Internacional - FMI. (2018). Perspectivas de la Economía Mundial. Recuperado de https://www.imf.org/es/Publications/WEO/Issues/2018/09/24/world-economic-outlook-october-2018
Gachet, N., & Uribe-Terán, C. (2019). ¿Vacas flacas o salarios gordos? Distorsiones en el mercado laboral ecuatoriano. Koyuntura, 11(86), 3-14. Recuperado de https://www.usfq.edu.ec/sites/default/files/2020-09/koyuntura-2019-087.pdf
García, M. I., Garzón, N., Palacios, J. C., & Puebla, D. (2018). Desestacionalización del empleo asalariado registrado en la seguridad social 2009-2016. Quito: Instituto Nacional de Estadística y Censos (INEC).
Imbens, G. W., & Wooldridge, J. M. (2009). Recent Developments in the Econometrics of Program Evaluation. Journal of Economic Literature, 47(1), 5-86.
Jordà, Ò. (2005). Estimation and Inference of Impulse Responses by Local Projections. American Economic Review, 95(1), 161-182. doi: https://doi.org/10.1257/0002828053828518
Kilian, L., & Kim, Y. J. (2011). How Reliable Are Local Projection Estimators of Impulse Responses? Review of Economics and Statistics, 93(4), 1460-1466. https://doi.org/10.1162/REST_a_00143
Mertens, K., & Ravn, M. O. (2014). A reconciliation of SVAR and narrative estimates of tax multipliers. Journal of Monetary Economics, 68, 1-19. doi: 10.1016 / j.jmoneco.2013.04.004
Organización Internacional del Trabajo - OIT. (2014). Trends in informal employment in Ecuador: 2009-2012. Recuperado de https://www.ilo.org/wcmsp5/groups/public/---americas/---ro-lima/documents/publication/wcms_245886.pdf
Organización Internacional del Trabajo - OIT (2017). Panorama Laboral 2017 de América Latina y el Caribe. Recuperado de https://www.ilo.org/americas/publicaciones/WCMS_613957/lang--es/index.htm
Olmedo, P. (2018). El empleo en el Ecuador - una mirada a la situación y perspectivas para el mercado laboral actual. Ecuador: Friedrich-Ebert-Stiftung
Ramey, V. (2016). Macroeconomic Shocks and Their Propagation. Cambridge: National Bureau of Economic Research. doi: https://doi.org/10.3386/w21978
Romer, C. D., & Romer, D. H. (2010). The Macroeconomic Effects of Tax Changes: Estimates Based on a New Measure of Fiscal Shocks. American Economic Review, 100(3), 763-801. doi:https://doi.org/10.1257/aer.100.3.763
Ruiz-Arranz, M., & Deza, M. C. (eds.) (2018). Creciendo con productividad: Una agenda para la Región Andina. Washington, DC: Inter-American Development Bank. doi: https://doi.org/10.18235/0001178
Secretaría Nacional de Planificación y Desarrollo - SENPLADES (2007). Plan Nacional del Buen Vivir 2007-2013. Ecuador: Secretaría Nacional de Planificación y Desarrollo.
Teulings, C. N., & Zubanov, N. (2014). Is Economic Recovery a Myth? Robust Estimation of Impulse Responses. Journal of Applied Econometrics, 29(3), 497-514. doi:https://doi.org/10.1002/jae.2333
ANEXO

Notas