Artículos
IMPACTO DE LA GLOBALIZACIÓN Y LA APERTURA COMERCIAL EN EL GASTO PÚBLICO SOCIAL SUBNACIONAL
IMPACTO DE LA GLOBALIZACIÓN Y LA APERTURA COMERCIAL EN EL GASTO PÚBLICO SOCIAL SUBNACIONAL
ESTUDIOS ECONÓMICOS, vol. XXXIII, núm. 66, pp. 9-45, 2016
Universidad Nacional del Sur

Recepción: 01 Julio 2015
Aprobación: 01 Marzo 2016
Resumen:
El objetivo de este trabajo es estudiar los efectos de la apertura económica y la globalización sobre la estructura del gasto público provincial en la Argentina. En particular, resultan de interés los efectos sobre el gasto social y sus componentes como expresión del Estado de bienestar. La mayor parte de la literatura se ha ocupado de identificar esta relación a nivel de países y un aspecto novedoso de este trabajo es la extensión del análisis al sector subnacional. Otra contribución es la estimación de un índice de globalización provincial adaptada del índice KOF propuesto por Dreher (2006). Se estima un modelo dinámico mediante el método generalizado de momentos en diferencias, utilizando un panel de datos para las 24 jurisdicciones de la Argentina para el período 1993-2010. Los resultados indican que la apertura y la globalización de la economía impactan negativamente en la participación del gasto social, resultado esperable desde el punto de vista del efecto “eficiencia” versus el efecto “compensación”, aunque hay indicios de políticas compensatorias del gasto en educación. Código JEL: H71, H72.
Palabras clave: apertura, globalización, estructura del gasto, gasto social, gobiernos subnacionales.
Abstract:
The aim of this paper is to study the effects of economic liberalization and globalization on the structure of provincial government spending in Argentina. In particular, the effects on social expenditure and its components as an expression of the welfare state. Most of the literature has focused on identifying this relationship at the country level and a novel aspect of this work is to extend the analysis to the province. Another contribution is to estimate an index of provincial globalization adapted from Index KOF (Dreher, 2006). A dynamic model is estimated using the generalized method of moments and a panel data for 24 jurisdictions of Argentina for the period 1993-2010. The results indicate that openness and globalization of the economy, negatively impact the share of social spending, the result expected from the point of view of the “efficiency” effects versus the “compensation” effects; although there are indications of compensatory policies related to education spending. JEL Code: H71, H72.
Keywords: openness, globalization, expenditure structure, social spending, subnational governments.
INTRODUCCIÓN
El tamaño y la composición del gasto público dependen de variables políticas y económicas. Entre las primeras, Musgrave (1996) enseña que diferentes teorías del Estado están asociadas con un diferente rol de la política fiscal, distinguiendo tres nexos que corresponden a teorías individualistas del Estado. En primer lugar, el Estado de servicios que le asigna un rol muy limitado proveyendo aquellos bienes que posibilitan que los mercados funcionen en forma eficiente (por ejemplo, seguridad, derechos de propiedad, grandes obras públicas). En segundo lugar, el Estado de bienestar que agrega a las funciones anteriores la de corregir la distribución del ingreso que resulta del funcionamiento de los mercados, así como también estabilizar la economía y asegurar el acceso a educación y salud para los más pobres. En tercer lugar, la teoría que cambia el centro de la atención, desde el fracaso del mercado al fracaso del gobierno, y propone nuevos instrumentos de política y restricciones constitucionales para la acción gubernamental.
Como muchos países de América Latina, el rol del Estado de bienestar del Gobierno argentino es importante y ha crecido en los últimos años. El gasto social representa el 60% del presupuesto nacional y el 16,4% del PIB. Las provincias siguen el lineamiento nacional, el gasto social representaba el 40% del gasto total en 1969 y en el 2010 esa participación ascendió a 70%, destinado principalmente a educación y cultura, y programas de asistencia social.
Entre las variables económicas se encuentran las restricciones que enfrenta el Estado debido a las reacciones de los agentes económicos privados ante cambios en la economía y en la sociedad (patrones migratorios). Uno de los principales cambios enfrentados por todos los países del mundo está relacionado con las políticas de integración comercial y financiera, y el fenómeno de la globalización experimentado en los últimos 60 años. Por ejemplo, mientras que en el año 1960 las exportaciones e importaciones representaban el 24% del PIB mundial total, en el año 2012 la participación ascendió al 60,6%. La caída en los costos de transporte, los avances tecnológicos y las políticas de integración comercial llevadas a cabo en los últimos 30 años han potenciado también la apertura comercial y el proceso de globalización mundial. Otro dato de interés muestra que desde la década del 70 la mayor parte de los países del mundo ha adherido a diferentes tratados comerciales existiendo actualmente 260 acuerdos comerciales en vigencia que involucran a países de todos los continentes (Organización Mundial del Comercio, 2013). La Argentina no ha sido ajena a estos cambios y ha experimentado también un intenso proceso de apertura: mientras que en 1960 las exportaciones e importaciones representaban el 11% del PIB, en 2014 alcanzaban el 29%. La Argentina forma parte del MERCOSUR desde el año 1991 y ha establecido relaciones comerciales bilaterales con varios países en estos últimos tiempos (Chile, Venezuela, China, entre otros).
La literatura teórica ha identificado factores explicativos del impacto de la apertura y la globalización sobre el gasto público social. Mientras que los factores del lado del efecto “eficiencia” de la globalización reducirían el tamaño del gasto público (debido al incremento del costo marginal de los fondos públicos), aquellos del lado del efecto “compensación” actuarían en forma opuesta (para atender las necesidades de las personas y las regiones afectadas negativamente). En los dos casos también se modificaría la estructura de los gastos. Cuando la cuestión se traslada al campo empírico, no ha sido posible encontrar una respuesta única. Lo sucedido en cada país o región y/o en cada momento del tiempo se convierte en una cuestión específica de cada caso, a lo que se agrega cierta diversidad de resultados encontrados en función de la metodología aplicada.
El objetivo de este trabajo es estudiar los efectos de la apertura económica y la globalización sobre la estructura de los gastos provinciales y, en especial, sobre el gasto público social, en una economía en desarrollo como la Argentina, caracterizada por una alta participación del sector público. Se estima un modelo dinámico de datos de panel para las 24 jurisdicciones (23 provincias y CABA) de la Argentina para el período 1993-2010 utilizando el método generalizado de momentos en diferencias. Las estimaciones se realizan para cuatro finalidades de gasto (funcionamiento del Estado, social, servicios económicos y servicios de deuda), aunque el interés central del trabajo se encuentra en los resultados sobre el gasto social y sus componentes como expresiones del Estado de bienestar.
Por disponibilidad de datos se trabaja, por un lado, con una medida de apertura comercial dada por la relación entre exportaciones y PBG (producto bruto geográfico)1 y, por otro lado, con una medida de globalización desarrollada para este trabajo denominada KOFA (primera adaptación a nivel subnacional del índice de globalización KOF propuesto por Dreher, 2006).2 Si bien es posible encontrar una extensa literatura concentrada en el análisis empírico del problema en países en desarrollo y desarrollados, son escasos los trabajos enfocados a la región y, para conocimiento de la autora, no existen otros que empleen un análisis a nivel subnacional.
Se estima un dato de panel dinámico mediante MGM en diferencia y en sistema. Los resultados indican que la apertura y la globalización de las economías provinciales disminuyen la participación del gasto social (fundamentalmente, el gasto en salud) y en servicios de deuda, y aumentan el gasto en servicios económicos. Los efectos encontrados respecto del gasto social —el de mayor interés en este trabajo— son consistentes con la hipótesis de “eficiencia” versus la hipótesis de “compensación”. Aunque hay indicios de un efecto “compensación” en el gasto en educación.
El trabajo está estructurado de la siguiente manera. La sección I presenta una breve revisión de la literatura. La sección II desarrolla un modelo teórico sencillo referido a los determinantes del tamaño y la composición del gasto público. La sección III realiza un análisis descriptivo y la sección IV describe la metodología de estimación, presenta las estimaciones realizadas y los resultados encontrados. Finalmente, la sección V presenta las conclusiones.
I. REVISIÓN DE LITERATURA
En la literatura se distinguen los efectos de la globalización no sólo sobre las estructuras de gastos sino también sobre otras variables del sector público, tales como la estructura de ingresos tributarios (Garrett, 1995; Quinn, 1997; Rodrik, 1997; Swank, 1997), el nivel de deuda pública (Azzimonti et al., 2011)3 y el tamaño del presupuesto (Rodrik, 1998; Heinemann, 2000). Al mismo tiempo, si bien se reconocen importantes avances teóricos en relación con estos temas, existe aún un amplio margen de ambigüedad y la evidencia empírica, además de estar concentrada principalmente en los aspectos referidos a estructuras impositivas (Schulze y Ursprung, 1999; Heinemann, 2000), es incipiente y no concluyente.
La literatura que analiza específicamente el impacto de la globalización en las estructuras de gasto de los gobiernos distingue dos efectos: “eficiencia” y “compensación”. El enfoque de “eficiencia” sostiene que el gobierno, para favorecer el comercio y atraer inversiones, reducirá sus impuestos, lo que llevará, consecuentemente, a la necesidad de reducir gastos de tipo social preservando solamente las funciones de defensa, seguridad y bienes públicos esenciales (Breton y Ursprung, 2002; Hettich, 2002; Sinn, 2003). Bajo este marco, la globalización reduce el rango y tamaño de los programas de bienestar de los gobiernos (Dreher et al., 2006). Por su parte, el enfoque de “compensación” va en la dirección opuesta, enfatizando el rol del gobierno como asegurador, compensando —mediante programas de bienestar social— a aquellos individuos y/o regiones que pueden resultar perjudicados como consecuencia de los procesos de apertura económica (Cameron, 1978; Rodrik, 1998; Hettich, 2002).4 Dadas las direcciones opuestas de cada una de estas fuerzas, la literatura ha argumentado también que podrían contrarrestarse dando lugar a que apertura y globalización finalmente no tengan influencia sobre la estructura de los gastos del gobierno.
Algunos trabajos como Schulze y Ursprung (1999), Ursprung (2008), Gemell et al. (2008), Vera et al. (2011), entre otros, realizan revisiones de la literatura y concluyen que existe diversidad en los resultados encontrados.
Por ejemplo, en Schulze y Ursprung (1999) la revisión de la literatura se basa en identificar la relación entre la globalización y el estado del bienestar. Los autores concluyen que, a nivel agregado, muchos de estos estudios no encuentran relación negativa entre la globalización y la capacidad de los estados para llevar a cabo políticas fiscales independientes. Por el lado de los ingresos, una interpretación cuidadosa de la evidencia empírica sugiere que no puede rechazarse la hipótesis acerca de que la estructura tributaria ha sido influenciada por el proceso de globalización (a modo de ejemplo puede citarse la caída en la tasa efectiva del impuesto a las corporaciones así como la convergencia de estas tasas entre países). Considerando el lado del gasto, no hay evidencia fuerte de que la globalización haya inducido un cambio en el nivel de gasto público o en su composición. Para los autores estos resultados pueden deberse a la falta de desagregación de las series de gasto público utilizadas en la mayoría de los trabajos. De acuerdo con Meinhard y Potrafke (2011), este es el enfoque en la “literatura de primera generación” sobre la relación entre globalización y estado del bienestar (década del 90).
Por su parte, la “literatura de segunda generación” se basa en la utilización de técnicas más sofisticadas, datos más desagregados y la definición de distintas proxies tanto para la variable de globalización como para la del tamaño del estado.5 Algunos de los trabajos son Heinemann (2000), Garrett (2001), Dreher (2003), Dreher et al. (2006), Kittel y Winner (2005), Ursprung (2008), Gemmell et al. (2008) y Saenz Rodriguez et al. (2010). No obstante, a pesar de los esfuerzos realizados, tampoco bajo este enfoque se encuentra un consenso acerca de la relación entre globalización y tamaño del estado del bienestar.
Un ejemplo interesante sobre los efectos en la composición del gasto, utilizando varias medidas de globalización y empleando dos subconjuntos de datos dependiendo de la apertura de la clasificación del gasto, es el artículo de Dreher et al. (2006).67 Los autores concluyen que la globalización no ha afectado la composición del gasto público —coincidente con lo encontrado por Iversen y Cusack (2000), Heinemann (2000) y Dreher (2003)— y sugieren tres explicaciones para este resultado. En primer lugar, como fue mencionado anteriormente, los efectos “eficiencia” y “compensación” podrían neutralizarse entre sí. En segundo lugar, el impacto de la globalización sobre los gastos puede ser difuso debido a posibles efectos indirectos sobre las distintas categorías de gasto. En tercer lugar, los autores consideran que, en algunos casos, los efectos de la globalización pueden ser exagerados en la discusión popular y podrían, simplemente, no existir.
Es posible también encontrar un conjunto de la literatura que avala la hipótesis de eficiencia (Bretschger y Hettich, 2002 [para impuestos], Busemeyer, 2009; entre otros) y otro que sostiene la de compensación (Rodrik, 1998; Cameron, 1978; Bretschger y Hettich, 2002 [para gastos]).
Un aspecto adicional que es interesante mencionar es que parte de la literatura incorpora factores propios de los países que pueden explicar adicionalmente los diferentes comportamientos de las estructuras del gasto. Por ejemplo, el carácter democrático o no de los países (Rudra, 2005); la ideología de los gobiernos (Potrafke, 2009) y el número de votantes (Ha, 2008), entre otros. La mayoría de los trabajos han basado la evidencia en una muestra de países de la OECD (Rodrik, 1997; Dreher et al., 2006), de América Latina (Kaufman y Segura-Ubiergo, 2001; Avelino et al., 2005), países en desarrollo en general (Rudra, 2005), algunos países de Europa del Este (Leibrecht et al., 2010) y, en menor medida, de África (Adams y Sakyi, 2012). Otro grupo de trabajos se han focalizado en investigar los efectos de la globalización dentro de los distintos tipos de gastos, por ejemplo, gastos en educación o seguridad social (Baskaran y Hessami, 2011; Leibrecht et al., 2010).
De la revisión de la literatura se desprende que no existen resultados concluyentes, identificándose efectos teóricos en la relación entre apertura y/o globalización con la composición y/o el tamaño del sector público, que actúan en direcciones opuestas. Al mismo tiempo, la evidencia empírica tampoco muestra resultados únicos. En ese sentido, este trabajo es un aporte adicional para identificar la línea de estos comportamientos en un país como la Argentina, con el enfoque novedoso de que se estudia la relación entre la composición del gasto público, y la apertura comercial (X/PBG) o la globalización (KOFA), a nivel de unidades subnacionales.
II. UN MODELO SIMPLE DE GASTO PÚBLICO: TAMAÑO Y COMPOSICIÓN
En esta sección se presenta un modelo simple de determinantes del tamaño y la composición del gasto público. Se supone un solo nivel de gobierno (o el gasto consolidado de varios niveles). El gobierno provee tres bienes (G1, G2, G3). El beneficio de cada tipo de gasto es separable, los beneficios marginales son positivos y decrecientes. El gasto total se financia con un impuesto único, con costo marginal de recaudación positivo y creciente. X es una variable exógena que modifica el beneficio de los bienes y el costo de la recaudación. El gobierno maximiza el beneficio neto dado por

Siendo las condiciones de primer orden

Donde B´i es el beneficio marginal de los gastos, C´r es el costo marginal de la recaudación y es el multiplicador de Lagrange. El equilibrio se presenta en la figura 1.

Supóngase un cambio exógeno en X. Este cambio modifica el beneficio de los gastos (algunos o todos) y el costo de recaudación. La dirección depende del tipo de cambio exógeno. Por ejemplo, si el cambio en X representa un movimiento hacia la apertura económica, aumentará el beneficio marginal del gasto destinado a compensar a personas afectadas negativamente (por pérdida de empleo, menor salario, menos cantidad de horas trabajadas, etc.). Siendo B´1el beneficio marginal de ese gasto, será

La apertura puede afectar también el costo de recaudación incrementándolo por mayor competencia tributaria debida a la movilidad de bienes y factores, resultando

En el caso más simple en el que B´i (i = 2,3) no se modifiquen, el nuevo equilibrio se presenta en la figura 2. Las líneas llenas representan la situación inicial y las punteadas la situación final. Disminuyen G2 y G3 y es ambiguo el resultado para G1 y R. En la figura se supone que G1 aumenta y el gasto total baja.

Una alternativa más realista es suponer que el cambio en X afecta a los tres bienes, ya sea en forma directa o bien por la existencia de relaciones de complementariedad o sustitución (brutas) entre ellas. En la figura 3 se representa la situación en la que hay un efecto directo de X sobre G1 y R, siendo G1 y G2 complementos brutos, y G1 y G3 sustitutos brutos. El resultado para G1, G2 y R es ambiguo dado que depende de las elasticidades y de los desplazamientos de las funciones. El único resultado no ambiguo es la disminución de G3.8

III. GASTO PÚBLICO PROVINCIAL TOTAL Y SEGÚN FINALIDAD. COMPOSICIÓN Y EVOLUCIÓN
En esta sección se realiza una breve descripción del comportamiento del gasto público, su evolución y su composición en las provincias argentinas y la Ciudad de Buenos Aires para el período 1993-2010.9 Se muestra la evolución del gasto público provincial total, per cápita, y en porcentaje del PBG, y algunos datos descriptivos a nivel subnacional (distintos tipos de gastos, coeficiente de apertura e índice KOFA).



III.1. Gasto público agregado y a nivel subnacional
En la figura 4 a) se presenta el gasto público provincial conjunto (en millones de pesos del 2008) para el período 1993-2010. En la figura 4 b), el gasto público provincial conjunto per cápita (GPpc) muestra una tasa promedio de crecimiento anual del orden del 5,4% (con el deflactor oficial) y del 4,1% (con el deflactor alternativo). Finalmente, en la figura 4 c) se presenta el gasto público provincial total en términos del Producto Bruto Geográfico (PBG) que creció del 13% en los primeros años de la década del 90 al 17% en el año 2010. En la tabla 1, columna correspondiente al total país, se observa la composición del gasto, por finalidades (funcionamiento del Estado, social, servicios económicos y servicios de deuda) y para distintos años. En 1993-2010, el gasto social representa entre el 60% y el 70% del gasto público total, el gasto en funcionamiento alcanza una participación de entre el 20% y el 30%, y los gastos en servicios económicos y en servicios de la deuda representan conjuntamente el 10% del gasto total.
Los datos muestran que los gobiernos aumentaron la participación del gasto público social considerablemente en 30 años, en detrimento, principalmente, del gasto público en servicios económicos. Sin embargo, desde 1993 la importancia de cada gasto se ha mantenido relativamente constante. A su vez, la evolución de las participaciones de los gastos convergen entre provincias (ver Porto, 2014). A fines del período, en todas las provincias, el gasto destinado a funcionamiento en porcentaje del gasto público total alcanza valores cercanos al 20% y el gasto en servicios de deuda se acerca a valores entre 1,6% y 1,7%. Para los otros dos gastos hay diferencias entre las provincias avanzadas y los otros grupos: la participación del gasto social es de 70% en las provincias avanzadas y cerca de 60% en el resto, mientras que la participación del gasto en servicios económicos es de 4% en las provincias avanzadas y entre 10% y 13% para las otras provincias (tabla 1).
El mayor incremento del gasto social se debe principalmente al crecimiento del gasto en educación y cultura y a gastos en asistencia social y servicios públicos.
III.2. Gasto público y apertura comercial
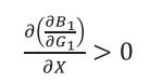
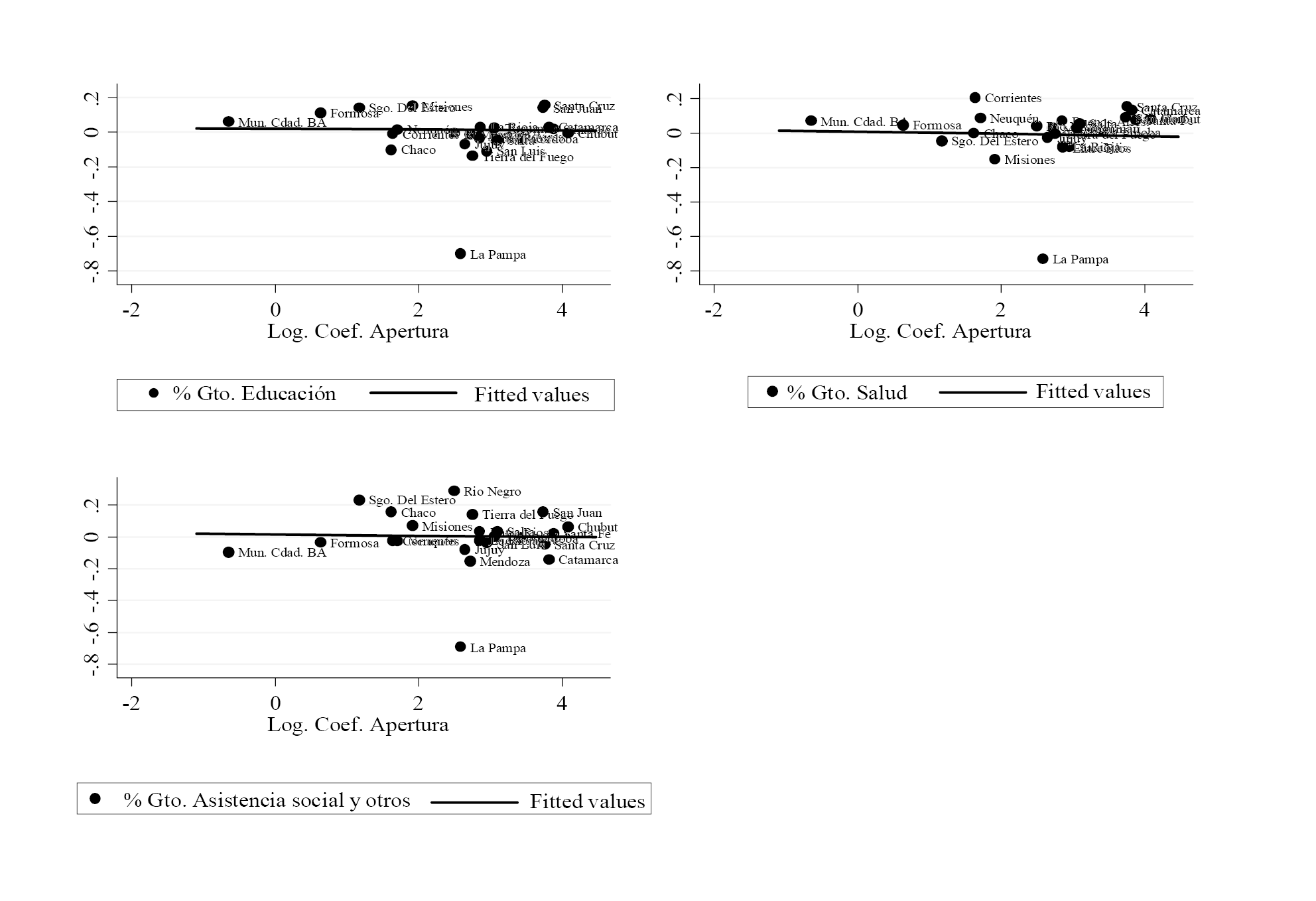
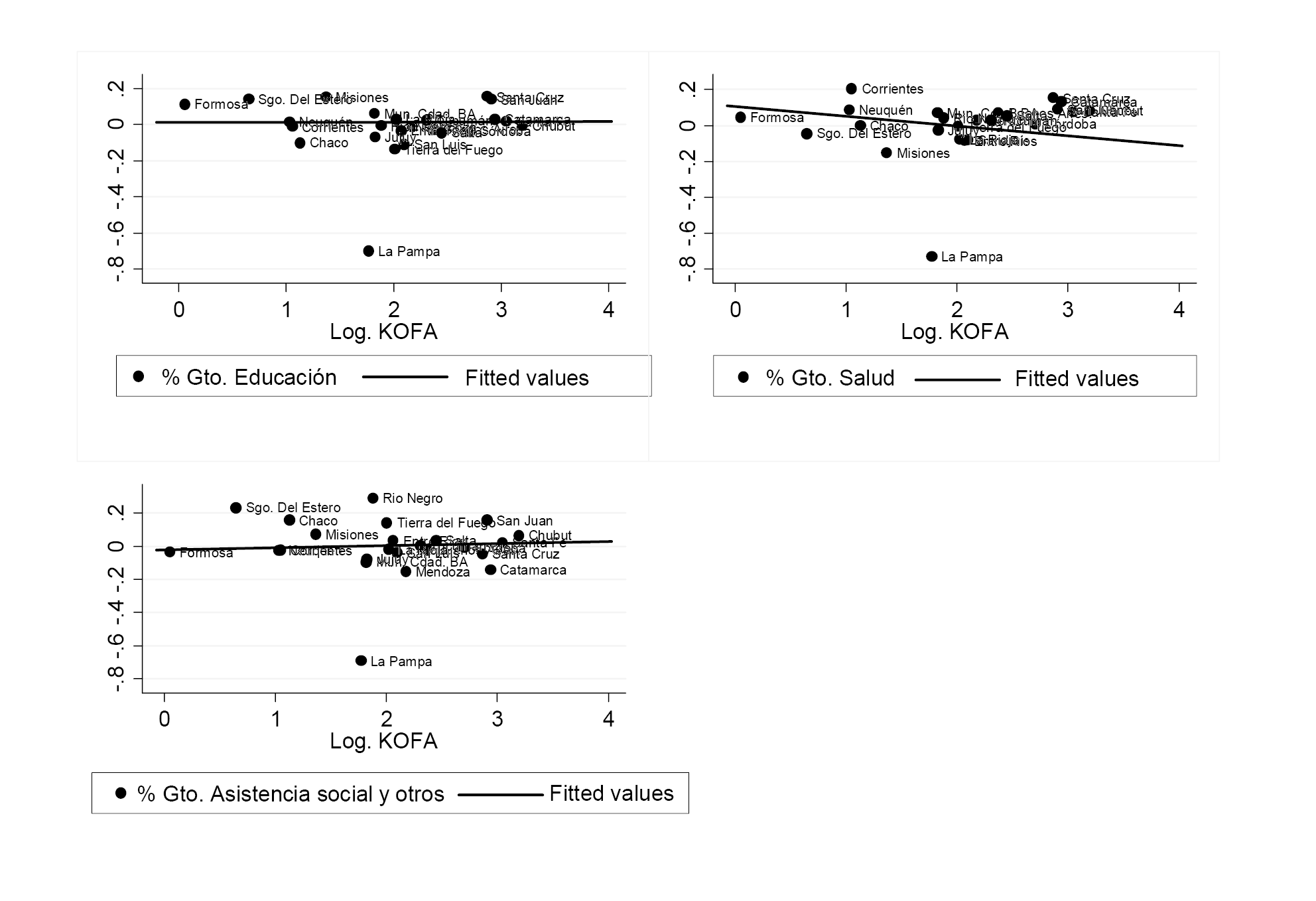
Dado el objetivo de este trabajo de identificar los efectos de la apertura económica sobre la estructura del gasto público subnacional en las provincias argentinas, la figura 5 muestra la relación entre el coeficiente de apertura (X/PBG) y la participación de cada tipo de gasto. Los datos indican cierta inclinación a favor de la hipótesis de “eficiencia”. Las provincias que han experimentado un mayor nivel de apertura comercial conforman su estructura de gasto con mayor participación del gasto en funcionamiento y menor participación del gasto social. Un análisis de correlación simple revela un relación de 0,013 significativa al 10% entre la participación del gasto en funcionamiento y el coeficiente de apertura, una correlación de -0,11 y significativa al 1% para la participación del gasto social, una relación no significativa con la participación del gasto en servicios económicos, y una correlación de -0,17 y significativa al 1% para la participación del gasto en servicios de deuda. Estas relaciones resultan de un análisis parcial, sin considerar el efecto de otras variables de control, las que se contemplan en las estimaciones econométricas que se realizan en la sección IV. Los mismos resultados se obtienen utilizando el índice KOFA de globalización.
En cuanto a los componentes del gasto social provincial, puede observarse una relación positiva de la apertura comercial y globalización con el gasto en educación y en programas de asistencia social y negativa con el gasto en salud.







IV. METODOLOGÍA Y ESPECIFICACIÓN EMPÍRICA
En esta sección se estiman los efectos de la apertura y/o globalización sobre la composición del gasto público provincial en la Argentina (23 provincias y CABA). La variable de interés es la participación de cada tipo de gasto público provincial en el gasto público provincial total y el análisis se centra en los efectos sobre los gastos sociales. Se realizan estimaciones de un modelo dinámico de datos de panel desbalanceado para el período comprendido entre los años 1993 y 2010, debiéndose la elección del período principalmente a la disponibilidad de los datos necesarios para el abordaje empírico elegido. Se trabaja con un panel de datos con 24 observaciones durante 17 años. La fuente de información es la Dirección de Análisis de Gasto Público y Programas Sociales de la Secretaría de Política Económica.
IV.1. Método de estimación
Con el objetivo de identificar la relación entre la composición de los gastos provinciales y la apertura y/o globalización, en este trabajo se estima un modelo dinámico en donde la variable dependiente es la participación del gasto por finalidad de los gobiernos provinciales como porcentaje del gasto público total de la provincia. Se distingue entre la participación del gasto público en funcionamiento, social, en servicios económicos y en servicios de la deuda pública. A su vez, dentro del gasto social se distingue entre gastos en educación, en salud y gastos en asistencia social y otros. La especificación del modelo dinámico a estimar es la siguiente:
(1)Donde gjit es la participación del gasto j de la provincia i en el año t, LA(K)it es el logaritmo del coeficiente de apertura (exportaciones/PBG) de la provincia i en el año t (LAit) o el logaritmo del coeficiente del índice de globalización (KOFA) de la provincia i en el año t (LKit), Xites un vector que incluye otros determinantes de la participación del gasto j, εi son características específicas del país i no observables y fijas en el tiempo, δt son efectos temporales no observables y μit es el término de error aleatorio. La variable dependiente rezagada (gjit-1) se incluye con el objetivo de captar persistencia en el tiempo de la participación de cada gasto público y teniendo en cuenta que la composición de los gastos provinciales cambia y se ajusta lentamente a lo largo del tiempo.
Dada la definición de la variable dependiente como la participación de cada tipo de gasto en relación con el gasto total provincial, es posible que estas participaciones estén afectadas por los mismos factores no observables (como por ejemplo, creencias del partido político gobernante, corrupción, entre otros factores). De este modo, los términos de error pueden estar correlacionados contemporáneamente y los parámetros de las distintas ecuaciones pueden estar relacionados entre sí. Una forma de obtener estimadores consistentes y eficientes en este caso es estimar este modelo mediante Seemingly Unrelated Regressions Models (SUR), una metodología que toma en consideración la correlación contemporánea entre los residuos.
Sin embargo, en caso de dinamizar el modelo introduciendo un rezago de la variable dependiente como variable explicativa, surgen problemas en las estimaciones ya que se encuentra correlacionada con el término de error. Es así como las estimaciones de los coeficientes bajo la metodología SUR resultan sesgadas. Una forma usual para solucionar este problema, propuesta por Arellano y Bond (1991), es el estimador del Método Generalizado de los Momentos (MGM) que permite estimar modelos de datos de panel con una variable endógena rezagada (AR (1)). La primera diferencia permite remover el efecto fijo por provincia. A su vez, se instrumentan las variables endógenas con sus rezagos en niveles. La principal ventaja respecto de un método usual cuando hay variables endógenas, como lo es el método de variables instrumentales, es que en este caso se estima un modelo dinámico sin necesidad de incorporar instrumentos externos. Esto es válido tanto para el rezago como para otro regresor endógeno y el modelo puede incluir regresores (estrictamente) exógenos que en el procedimiento se usan como instrumento de sí mismos. A diferencia del método SUR, se considera cada ecuación por separado.
Diversos estudios han mostrado que estos estimadores están afectados por un considerable sesgo en muestras finitas (Kiviet, 1995; Blundell y Bond, 1998; Hsiao et al., 1999), en presencia de autocorrelación en los términos de error, y con muchas condiciones de momentos. También se presentan sesgos cuando el coeficiente de la variable autorregresiva está muy cercano a 1, es decir, cuando la serie es altamente persistente o cercana a un proceso de raíz unitaria, por lo que el parámetro no puede ser identificado usando las condiciones de momentos para las ecuaciones de primeras diferencias. En estos casos, Blundell y Bond (1998) muestran que el estimador estará fuertemente sesgado por defecto, en particular, cuando el período de tiempo sea corto. Si las variables explicativas son persistentes en el tiempo, sus rezagos en niveles tienen una correlación débil con la primera diferencia por lo que fallan como instrumentos y pueden generar sesgos en los resultados.
Un estimador alternativo que evita estos problemas es el sugerido por Arellano y Bover (1995) y Blundell y Bond (1998), conocido con el nombre de estimador MGM extendido o de sistema, que combina en un sistema la regresión en diferencia con la regresión en niveles. Los instrumentos de la regresión en diferencias son los rezagos de las dependientes y de otras variables explicativas, mientras que los instrumentos de la regresión en niveles son los rezagos de las diferencias de las variables explicativas.10
Dadas las características del modelo a estimar, se considera a MGM como el método de estimación más adecuado. Al mismo tiempo, como se dispone de un panel con un período de tiempo similar al número de observaciones y que los coeficientes de las variables rezagadas no son cercanos a uno, se supone que MGM en diferencia muestra un buen desempeño en las estimaciones. Se presentan las estimaciones por MGM en diferencias y en sistema.
IV.2. Apertura, globalización y otros determinantes
La apertura de la economía se aproxima con el valor de las exportaciones provinciales en relación con el PBG provincial (APER), aunque tradicionalmente la literatura emplea como medida de apertura el valor de las exportaciones más las importaciones en relación con el PBG.1112
A su vez, uno de los principales aportes del trabajo a la literatura consiste en la creación de un índice de globalización a nivel provincial para la Argentina. Si bien este índice sigue la metodología del conocido índice KOF (ver Dreher, 2006), los datos son de recolección propia13 y la estrategia no ha sido usada previamente por ningún trabajo. Aún más, no se conoce una adaptación previa del índice KOF a nivel subnacional. El anexo presenta el detalle del índice KOFA.
Los efectos de la apertura y globalización sobre la composición del gasto público provincial son inciertos, dependiendo de varios factores cuyos movimientos pueden responder tanto a la hipótesis de “eficiencia” como a la de “compensación”. A su vez, la participación del gasto público en el total así como la composición de la canasta de gasto se ven afectadas por otros factores adicionales a la apertura y globalización, tal como se presenta en el modelo de la sección II, que se incluyen en el vector de las X. En la elección de estas variables se sigue a la literatura citada previamente.
La población (POB), como variable que controla por el tamaño de la provincia, afectará al gasto y su composición dependiendo de la elasticidad-población resultante de factores tales como economías de escala y grado de congestión en los distintos tipos de gastos. Para esta variable, Alesina y Wacziarg (1998) encuentran una relación negativa a nivel de países.
Se incluye el PBG per cápita (PBGpc) como una variable proxy del nivel de desarrollo y riqueza de cada una de las unidades subnacionales. El impacto de las variaciones del PBG sobre la estructura de los gastos depende de la elasticidad-ingreso de cada tipo. Ceteris paribus, se espera que aumente la participación del gasto social en las regiones de mayor riqueza.14
La correspondencia fiscal a nivel de cada provincia (CORR), medida por la relación entre impuestos propios y gasto total, puede tener impacto sobre la estructura del presupuesto. En teoría, se espera que un gobierno sea más prudente en la asignación de sus gastos si el financiamiento se realiza con impuestos que le generan costos políticos de recaudación versus el financiamiento con transferencias del nivel superior de gobierno.15
Una variable explicativa adicional es la estructura de gastos en otras provincias. En la teoría del federalismo fiscal se han estudiado dos efectos de interés de interdependencia en las estructuras fiscales de los países o provincias: por un lado, la competencia tributaria y, por otro lado, la “emulación competitiva” para los gastos. Para controlar por este efecto se agrega en la estimación la variable IMITACIÓN que tiene en cuenta la influencia del gasto de otras provincias, que será mayor al considerar la cercanía económico-social entre las unidades subnacionales.
IV.3. Resultados
La tabla 3 presenta los resultados de las estimaciones por MGM en diferencias. El interés principal de este trabajo se refiere a los efectos de la apertura y globalización sobre la participación del gasto social por lo que se centra el análisis de los resultados en el mismo. No obstante, se presenta también el impacto sobre el resto de las finalidades. Las especificaciones incluyen, como controles, las variables mencionadas previamente.16
Tanto una mayor apertura como un mayor grado de globalización impactan negativamente sobre el gasto social. Este resultado es consistente con la hipótesis de “eficiencia” y coincide con el obtenido, a nivel de países, por Breton y Ursprung (2002), Hettich (2002) y Sinn (2007), entre otros.
Al desagregarse los distintos componentes del gasto social, los coeficientes de educación y otros gastos sociales son positivos y en algunos casos significativos, mostrando indicios de políticas educativas y sociales para compensar a los perjudicados por la globalización y la apertura comercial. Por su lado, el gasto en salud es afectado negativamente (y significativamente) por la globalización y la apertura comercial.
Es posible identificar esta relación negativa con el gasto social en los datos a nivel provincial. Por ejemplo, en San Juan la apertura pasó de 1,8% a 41,8% (el KOFA de 1,4% a 18,3%) y fue acompañado por una disminución de la participación del gasto social del 66,8% al 60,7%; en Catamarca la apertura pasó del 1% al 45,5% (el KOFA de 0,8% a 19%) en tanto que la participación del gasto social disminuyó del 72,5% al 59%. En el otro extremo, Formosa, con un grado de apertura del 2,4% en 1993 que disminuyó al 1,8%, tuvo una participación del gasto social en aumento del 48,4% al 67,9%.
Comparativamente, el efecto negativo de la globalización sobre el gasto social es mayor que el efecto negativo de la apertura. Existen otros aspectos de la globalización distintos a la apertura de la economía (otros aspectos económicos sociales o políticos) que inducen a los gobiernos provinciales a reducir su gasto social y canalizarlo hacia otros destinos.
Con respecto a los servicios de la deuda, se observa una relación negativa y significativa, lo que puede adjudicarse a que una mayor inserción comercial con el exterior permite obtener mayor acceso a los mercados de crédito y disminuir en consecuencia los pagos de deuda debido a refinanciaciones, bajas de la tasa de interés y alargamiento de plazos. Los coeficientes para los gastos en funcionamiento son positivos indicando complementariedad (débil) con la apertura y/o globalización. Para los gastos en servicios económicos el signo es positivo y no significativo.
En general, el resto de los coeficientes de las variables de control se encuentran en línea con lo esperado y con los resultados obtenidos en otros trabajos de la literatura.
El coeficiente de la población (POB) no es, en general, significativo, excepto para los gastos en servicios económicos para los que la relación es negativa y para los gastos en educación para los que la relación es positiva. La elasticidad-población del gasto en educación es mayor que la elasticidad-población del gasto total, resultado esperable dado que en el período hubo un proceso de mayor acceso. En sentido inverso, la elasticidad-población del gasto en servicios económicos es menor que la elasticidad-población del gasto total, que puede resultar de economías de escala.
En el caso del PBGpc el coeficiente es significativo y negativo para la participación de los gastos en servicios de la deuda y para los gastos en salud. En el primer caso, implica que un mayor PBG genera una mayor base imponible, una menor necesidad de créditos y por lo tanto, un menor pago de los servicios de deuda. En el segundo caso, la relación negativa significa que al aumentar el ingreso se sustituye la atención de la salud en establecimientos públicos por los privados. Para el resto de los gastos, los coeficientes son no significativos o significativos solo al 10%. La poca o no significatividad estadística y económica del signo puede ser explicada con el argumento de Adulnate y Martner (2006), quienes sostienen que la elasticidad del gasto es menor en los países (provincias) que han tenido una alta participación del gasto social a comienzos de los años 90. Esta podría ser una explicación para la Argentina.
El coeficiente correspondiente a CORR es positivo y significativo para los gastos en educación y salud con distintos niveles de significatividad, y negativo para el gasto en servicios económicos (al 5% de significatividad para la variable apertura y al 10% para KOFA). Esta distinta asignación de los recursos públicos en provincias con distinta correspondencia fiscal puede reflejar una mejor asignación de los gastos. Devarajan et al. (1996) encuentran un resultado relacionado interesante: en los países desarrollados los gastos de capital pueden tener un impacto negativo sobre la convergencia de los ingresos debido a sobredimensionamientos, mala programación, altos precios, etc. Grotz y Llach (2013) encuentran que una medida relacionada con CORR favorece la convergencia entre regiones.
El coeficiente de la variable rezagada (Gt-1) es positivo y significativo en todos los casos, mostrando así su influencia sobre las participaciones de cada tipo de gasto provincial. La participación del gasto actual está influenciada por la participación en los períodos anteriores indicando persistencia de la estructura de los gastos provinciales en el tiempo.
El efecto imitación es positivo para todas las categorías de gasto —con distinta significatividad— excepto en el caso de gastos de funcionamiento. El signo positivo es esperable en los gastos sociales y económicos por ser los más visibles entre jurisdicciones. La significatividad es mayor para el gasto social y, dentro de este, es significativo para el gasto en salud y otros gastos sociales mientras que no es significativo en educación. El signo negativo en los gastos en funcionamiento puede indicar también “imitación”; si una jurisdicción baja sus gastos en funcionamiento, generalmente asociados a gastos burocráticos que se valúan negativamente, las otras seguirán el ejemplo.
Los resultados encontrados son robustos al método de estimación empleado.17 En todos los casos, el coeficiente de apertura y/o globalización es negativo y significativo para la participación del gasto social. Para las variables de control también se mantienen, en general, los resultados.
En resumen, hay evidencia de que las políticas de liberalización comercial y la globalización afectan la participación del gasto social induciendo a los gobiernos a reducir la misma en pos de realizar otros tipos de gastos. Sin embargo, la participación del gasto social se encuentra principalmente determinada por sus valores pasados y por las políticas de gasto social llevadas a cabo por las provincias “vecinas”. La rigidez del gasto social a las variaciones en el tiempo y la emulación del mismo tienen un mayor impacto que la globalización y la apertura comercial.


CONCLUSIONES PRELIMINARES
En este trabajo se estudian los efectos de la apertura económica y la globalización sobre la estructura del gasto público provincial en la Argentina, en particular, sobre el gasto social. La literatura identifica dos efectos que van en direcciones opuestas: por el lado de la “eficiencia”, el gasto en bienestar social tiende a disminuir ante mayor apertura y globalización, ya que se incrementa el costo marginal de los fondos públicos, y, por otro lado, tiende a aumentar debido a la necesidad de compensar a los perdedores del proceso (efecto “compensación”).
Los principales aportes del trabajo a la literatura previa van en dos direcciones. Por un lado, la mayoría de las investigaciones se refieren a la relación a nivel de países siendo una novedad de este trabajo extender el análisis al sector subnacional de gobierno. Por otro lado, innova en la creación un Índice de Globalización Provincial adaptado del índice KOF.
Se estima un modelo MGM en diferencias, utilizando un panel de datos para las 24 jurisdicciones de la Argentina (23 provincias y Ciudad Autónoma de Buenos Aires) para el período 1993-2010, realizando luego una estimación alternativa vía MGM en sistemas. Un resultado importante es que la apertura económica —medida por la relación entre las exportaciones y el PBG para cada una de las provincias— y el índice de globalización KOFA impactan negativamente en la participación del gasto social en el gasto total. El resultado es compatible con la hipótesis de “eficiencia” para el gasto social en su conjunto y el gasto en salud. No obstante, hay indicios de un efecto compensación para el gasto destinado a educación y programas sociales.
En cuanto a las variables de control, en general, los efectos son los esperados y encontrados en la literatura. Las estimaciones resultan también robustas al método de estimación, no solo en términos del signo de los coeficientes, sino también de la significatividad estadística y de la magnitud. El coeficiente del efecto rezago Gt-1 es positivo y muy significativo para todos los tipos de gasto, lo que revela que existe un elemento de rigidez en la estructura de los gastos provinciales.
Los resultados deben tomarse con precaución —dadas las medidas parciales de la apertura y la globalización— pero son, en muchos casos, similares a los estudios sobre la relación entre apertura-globalización-gasto público para distintos países del mundo. Ambas medidas no consideran las importaciones provinciales, como consecuencia de la disponibilidad de datos, por lo que al momento se está trabajando en estimaciones propias de las mismas.
El trabajo se refiere solo a los gastos que realizan los gobiernos provinciales sin considerar los gastos nacionales por provincia, y ese aspecto parcial en la consideración del gasto público condiciona los resultados. Avances futuros del trabajo implican considerar el impacto de apertura/globalización sobre el gasto público nacional y provincial por provincias.
Anexo I. Metodología del índice KOFA
El índice KOF de globalización (Konjunkturforschungsstelle KOF de la Escuela Politécnica Federal de Zúrich) fue propuesto por Dreher (2006) y consiste en un índice global que cubre aspectos económicos, sociales y políticos de la globalización (ver detalle en Dreher, Gaston y Martens, 2008). Clark (2000), Norris (2000) y Keohane and Nye (2000) definen a la globalización como el proceso que elimina las barreras nacionales, integra las economías nacionales, las culturas, las tecnologías y los gobiernos a las vez que produce relaciones complejas de mutua dependencia. Bajo esta idea de globalización fue creado el índice, el cual está formado por tres subíndices de acuerdo con cada dimensión:
El índice se encuentra disponible para 270 países durante el período 1970-2011. Sin embargo, no hay cálculos a nivel subnacional, siendo este el primer trabajo en adaptar el índice a este nivel. Se presenta una primera aproximación a la estimación del índice KOF para las 24 jurisdicciones argentinas (23 provincias y CABA) durante el período 1993-2010, teniendo en cuenta las mismas dimensiones que el indicador calculado para el total país, pero a nivel subnacional (índice KOFA). En esta instancia se calculó el índice usando las siguientes variables de globalización:
Para el cálculo del índice global se sigue la metodología utilizada en el Instituto de investigación económica Konjunkturforschungsstelle KOF de la Escuela Politécnica Federal de Zúrich así como se especifican los mismos pesos a las variables de interés.
La tabla 1 muestra las fuentes de datos de cada variable y la ponderación correspondiente en el índice KOFA, teniendo en cuenta que en aquellos años en donde alguna información no está disponible, se reestima la ponderación del resto de las variables. Por ejemplo, si en un año no hay información del stock de deuda extranjera en relación con el PBG, el coeficiente de apertura tendría un peso de 0,36 en vez de 0,18.

Anexo II. Cuantificación del efecto imitación entre las provincias
Un factor que influye en la estructura de gastos de una jurisdicción es la interdependencia con la estructura de gastos de las jurisdicciones (Shannon, 1991). En la función de utilidad de la jurisdicción i entra como argumento la estructura de gasto de la jurisdicción j y viceversa. De esa forma, la probabilidad de que un estado adopte un nuevo programa es alta si otros estados, que se consideran un punto de comparación, lo han adoptado. Cada jurisdicción emula a sus vecinos económico-sociales (Case, Rosen and Hines Jr, 1993). Algo similar ocurre con la política tributaria (Besley y Case, 1995). El indicador para las provincias argentinas se calcula, preliminarmente, de una manera simple siguiendo la metodología planteada a continuación.
La provincia k dentro de un grupo (avanzadas, intermedias, baja densidad o rezagadas) “mira” o “imita” a las restantes j provincias del grupo a la hora de definir la participación que tiene el gasto i en el año t, o sea,
gikt = es función de ∑nj=1. wjt. gijt
La participación del gasto i en la provincia k en el año t, gikt, depende de la participación del gasto i en el resto de los provincias en el año t, gijt, cada una ponderado por wijt.
Los ponderadores, wijtse calculan como la participación del PBGpc de j en el año t en el PBGpc conjunto de todas las provincias que conforman el grupo de interés en el año t.
REFERENCIAS BIBLIOGRÁFICAS
Adams, S., & Sakyi, D. (2012). Globalization, democracy, and government spending in SubSaharan Africa: Evidence from panel data. in: Delic, Z. (Ed.) Globalization and Responsibility. Rijeka: InTech. 137-152
Aldunate, E., & Martner, R. (2006). Política fiscal y protección social. Revista de la CEPAL, 90. Recuperado de http://archivo.cepal.org/pdfs/revistaCepal/Sp/090087104.pdf
Alesina, A., & Wacziarg, R. (1998). Openness, country size and government. Journal of Public Economics 69(3), 305-321.
Arellano, M., & Bond, S. (1991). Some tests of specification for panel data: Monte Carlo evidence and an application to employment equations. The Review of Economic Studies, 58 (2), 277-297.
Arrellano, M., & Bover, O. (1995). Another look at the instrumental variable estimation of error-components models. Journal of Econometrics, 68 (1), 29-51.
Avelino, G., Brown, D. S., & Hunter, W. (2005). The effects of capital mobility, trade openness, and democracy on social spending in Latin America, 1980–1999. American Journal of Political Science, 49(3), 625-641.
Azzimonti, M., de Francisco, E., & Quadrini, V. (2013). Financial globalization and the raising of public debt. The American Economic Review, 104 (8), 2267-2302. Recuperado de http://marina-azzimonti.com/papers/PubDebt-March-10-2013.pdf
Baskaran, T., & Z.Hessami. (2011). Public education spending in a globalized world: is there a shift in priorities across educational stages. Working Paper Series No. 42. University of Konstanz.
Bello, O. & Ruiz del C. R. (2011). La elasticidad PIB del gasto social en países seleccionados de América Latina. Coyuntura Económica, 41 (2), 159-184. Recuperado de http://www.repository.fedesarrollo.org.co/bitstream/11445/293/2/Co_Eco_Sem2_2011_Bello_y_Ruiz.pdf
Besley, T., & Case, A. (1995). Incumbent behavior: vote-seeking, tax-setting, and yardstick competition. The American Economic Review, 85 (1), 25-45.
Blundell, R., & Bond, S. (1998). Initial conditions and moment restrictions in dynamic panel data models. Journal of Econometrics, 87 (1), 115-143.
Breton, A., & Ursprung, H. W. (2002). Globalisation, competitive governments and constitutional choice in Europe. In H. Kierzkowski (Ed.). Europe and Globalization. Houndmills: Palgrave Macmillan.
Bretschger, L., & Hettich, F. (2002). Globalisation, capital mobility and tax competition: theory and evidence for OECD countries. European Journal of Political Economy. 18 (4), 695-716.
Busemeyer, M. (2009). From myth to reality: globalization and public spending in OECD countries revisited. European Journal of Political Research 48 (4), 455-482. Recuperado de http://www.mpifg.de/pu/mpifg_ja/EJPR_48_2009_Busemeyer.pdf
Cameron, D. (1978). The expansion of the public economy: a comparative analysis. American Political Science Review, 72 (4), 1243-1261.
Case, A. C., Rosen H. S., & Hines, J. R. (1993). Budget spillovers and fiscal policy interdependence. Evidence from States. Journal of Public Economics, 52 (3), 285-307.
Devarajan, S., Swaroop, V., & Zou, H. (1996). The composition of public expenditures and economic growth. Journal of Monetary Economics, 37 (2), 313-344.
Dreher, A. (2003). Does Globalization Affect Growth? Mimeo. Mannheim, Germany: University of Mannheim. Recuperado de https://www.gtap.agecon.purdue.edu/resources/download/1351.pdf
Dreher, A. (2006). The influence of globalization on taxes and social policy. An empirical analysis for OECD countries. European Journal of Political Economy, 22 (1), 179-201.
Dreher, A., Sturm, J., & Ursprung, H. (2006). The impact of globalization on the composition of government expenditures: evidence from panel data. CESifo Working Paper No. 1755.
Dreher, A., Gaston, N., & Martens, P. (2008). Measuring globalisation: Gauging its consequences. Springer Science & Business Media.
Ferris, J. S., Park, S., & Winer, S. (2008). Studying the role of political competition in the evolution of government size over long horizons. Public Choice, 137 (1-2), 369-401.
Garrett, G. (1995). Capital mobility, trade, and the domestic politics of economic policy. International Organization, 49 (4), 657-687.
Garrett, G., & Mitchell, D. (2001). Globalization, government spending and taxation in the OECD. European Journal of Political Research, 39 (2), 145-177.
Gemmell, N., Kneller, R., & Sanz, I. (2008). Foreign investment, international trade and the size and structure of public expenditures. European Journal of Political Economy, 24 (1), 151-171.
Grotz, M. & Llach, J. (2013). Coparticipación casi sin convergencia, 1950-2010. En C. Gervasoni, & A. Porto (Eds). Consecuencias económicas y políticas del federalismo fiscal argentino. Edición de Económica, Universidad Nacional de La Plata, pp. 105-160.
Ha, E. (2008). Globalization, veto players, and welfare spending. Comparative Political Studies 41, 783-813.
Heinemann, F. (2000). Does globalization restrict budgetary autonomy. Intereconomics, 35 (6), 288-298.
Hsiao, C., Pesaran, M. H., & Tahmiscioglu, A. K. (1999). Bayes Estimation of Short-Run Coefficients in Dynamic Panel Data Models. In C. Hsiao, K. Lahiri, L. Lee, & M. Pesaran (Eds.). Analysis of Panels and Limited Dependent Variables: A Volume in Honour of G. S. Maddala. Cambridge University Press, pp. 268-296.
Iversen, T., & Cusack, T. (2000). The causes of welfare state expansion: deindustrialization or globalization? World Politics, 52 (3), 313-349.
Judson, R. A., & Owen, A. L. (1999). Estimating Dynamic Panel Data Models: A Guide for macroeconomists. Economic Letters, 65 (1), 9-15.
Kaufman, R. R., & Segura-Ubiergo, A. (2001). Globalization, domestic politics, and social spending in Latin America: a time-series cross-section analysis 1973-1997. World Politics, 53 (4), 553-587.
Kittel, B., & Winner, H. (2005). How reliable is pooled analysis in political economy. The globalization-welfare state nexus revisited. European Journal of Political Research 44 (2), 269-293.
Kiviet, J. (1995). On bias, inconsistency, and efficiency of various estimators in dynamic panel data models. Journal of Econometrics, 68 (1), 53-78.
Leibrecht, M., Klein, M., & Onaran, O. (2011). Globalization, welfare regimes and social protection expenditures in Western and Eastern European countries. Discussion Paper No. 30. Working Paper. Vienna: University of Economics and Business.
Li, H., Squire, L., & Hengfu, Z. (1998). Explaining international and intertemporal variations in income inequality. Economic Journal, 108 (446), 26-43
Martner. R. & Aldunate, E. (2006). Política fiscal y protección social. Serie Gestión Pública No. 53. CEPAL-ILPES.
Meinhard, S., & Potrafke, N. (2011). The globalization-welfare state nexus reconsidered. Working Papers Series No. 27. University ok Konstanz.
Musgrave, R. A. (1996). The role of the state in fiscal theory. International Tax and Public Finance, 3 (3), 247-258
Núñez Miñana H. (1972). Indicadores de desarrollo regional en la Argentina. Resultado preliminares. Documento Interno No. 10 del Instituto de Investigaciones Económicas, FCE. UNLP.
Potrafke, N. (2009). Did globalization restrict partisan politics? An empirical evaluation of social expenditures in a panel of OECD countries. Public Choice, 140 (1-2), 105-124.
Porto, A. (2014). Estructura del gasto provincial en la Argentina 1959-2010: ¿Convergente o divergente? Mimeo. Universidad Nacional de La Plata.
Porto, A., N. Porto & Garbero, M. (2014). Estructura del gasto público subnacional en economías abiertas. El caso de las provincias argentinas. XVII Encuentro de Economía Aplicada. Gran Canaria, España.
Quinn, D. (1997). The correlates of change in international financial regulations. American Political Science Review, 91(3), 531-551.
Rodrik, D. (1996). Why do more open economies have bigger governments? National Bureau of Economic Research. Working Paper No. 5537. Recuperado de http://www.nber.org/papers/w5537.pdf
Rodrik, D. (1997). Trade, social insurance and the limits to globalization. National Bureau of Economic Research. Working Paper No. 5905. Recuperado de http://www.nber.org/papers/w5905.pdf
Rodrik, D. (1998). Why do more open economies have bigger governments? Journal of Political Economy, 106 (5), 997-1032.
Rudra, N. (2005). Globalization and the strengthening of democracy in the developing world. American Journal of Political Science, 49 (4), 704-730.
Saenz Rodriguez, E., Sabate Sort, M. & Gadea Rivas, M. (2011). ¿Condiciona la apertura exterior el tamaño del sector público? Un panorama. Hacienda Pública Española. Revista de Economía Pública, (198), 131-149.
Shannon, J. (1991). Federalism´s “Invisible regulator” –Interjurisdictional competition. En Kenyon. D., & Kincaid. J. (Eds.) (1991). Competition among states and local governments: Efficiency and Equity in American Federalism. (pp. 117-125).Washington D.C.: The Urban Institute Press.
Sinn, H. W. (2003). The new systems competition: Yrjo-Jahnsson Lectures. Oxford: Blackwell.
Swank, D. (1997). Global markets, democratic institutions, and the public economy in advanced industrial societies. Mimeo.
Schulze, G., & Ursprung, H. (1999). Globalisation of the Economy and the Nation State. The World Economy, 22 (3), 295-352.
Ursprung, H. W. (2008). Globalization and the welfare state. In S. N. Durlauf, & L. Blume (Eds.). The New Palgrave Dictionary of Economics. (2a. ed.). Houndmills: Palgrave Macmillan.
Notas