Artículos
CAUSALITY BETWEEN CORRUPTION AND POVERTY: AN ANALYSIS FOR SOUTH AMERICAN COUNTRIES°
CAUSALIDADE ENTRE CORRUPÇÃO E POBREZA: UMA ANÁLISE PARA PAÍSES SUL AMERICANOS
CAUSALITY BETWEEN CORRUPTION AND POVERTY: AN ANALYSIS FOR SOUTH AMERICAN COUNTRIES°
ESTUDIOS ECONÓMICOS, vol. XXXIX, núm. 79, pp. 195-218, 2022
Universidad Nacional del Sur

Recepción: 15 Septiembre 2021
Aprobación: 28 Diciembre 2021
Abstract: This work aimed to analyze the causality between corruption and poverty in Brazil and a group of seven other South American countries, from 2002 to 2018, using the methodology applied by Dumitrescu and Hurlin (2012) for heterogeneous panels. The variables for corruption employed are the Corruption Perception Index (CPI) and the Control of Corruption (CC) index and, as measures of poverty, the indexes proposed by Foster, Greer, and Thorbecke (1984), considering the poverty and extreme poverty lines. Results suggest one-directional CC causality for all measures of the poverty line, as well as for the P2 indicator of extreme poverty.
Keywords: corruption, poverty, causality.
Resumo: Este artigo tem como objetivo analisar a causalidade entre corrupção e pobreza entre 2002 a 2018 para o Brasil e um grupo de mais sete países sul americanos por meio da metodologia aplicada em painéis heterogêneos de Dumitrescu e Hurlin (2012), tendo como variáveis de corrupção os índices IPC e o CC e como medidas de pobreza os índices da classe FGT (1984), considerando duas linhas, a de pobreza e a de extrema pobreza. Dentre os resultados, observou-se causalidade unidirecional do CC para todas as medidas da linha de pobreza, assim como para o indicador P2 da extrema pobreza.
Palavras-chave: corrupção, pobreza, causalidade.
INTRODUCTION
Corruption is a social problem that, when practiced, can distort resource allocation and make it less productive, thus creating barriers to economic growth (Sodré, 2014). This situation may be accentuated when government functions are directly or indirectly affected by corrupt acts, or when undue advantages are obtained. Consequently, a series of factors are generated, which undermine important determinants of the economy, including macro-financial stability, investment, accumulation of human capital, and total factor productivity, among others. In addition, when corruption affects state structures in general, distrust in government can become so great that it leads to violent civil strife, with devastating social and economic implications (IMF, 2016).
Chetwynd, Chetwynd, and Spector (2003) shared this perception and added that the increase in corruption compromises competition, rises business costs, and reduces the state’s ability to provide quality public services. That brings focus to one of the most perverse consequences of corruption: an escalation of poverty. The fact is that, once corrupted, institutions begin to operate for the benefit of those in power and those who have a privileged network, exacerbating income inequalities and, thereby, causing poverty (Gupta, Davoodi, & Alonso-Terme, 2002). Nevertheless, poverty can cause corruption, especially in places where it is a chronic problem, given the prevalence of social and income inequalities, informality, and perverse economic incentives (Chetwynd et al., 2003; Negin, Rashid, & Nikopour, 2010; Dobson & Ramlogan-Dobson, 2012).
In 2020, Brazil, for example, occupied the 94th position, from a total of 180 countries, in the Transparency International’s Corruption Perception Index (CPI) ranking, with a score of only 38 out of 100 (the higher this number, the lower the perception of corruption in that country). This mark is inferior to the world average, as well as the average for countries in the Americas. This position indicates how corrupt the country is, occupying a lower position than many of its South American neighbors such as Colombia, Ecuador, Argentina, and Chile, as well as less developed countries such as Namibia, Ghana, and Senegal. In addition, this situation is similar to the 2019 data from the World Bank’s Control of Corruption (CC) index, when Brazil ranked 121st out of the 209 countries and territories evaluated.
Due to the consequences of corruption, especially for the population in a state of vulnerability in developing countries, the academic literature, even in an incipient way, presents some studies that sought to verify the existence of causality between corruption and poverty. Bayar, Sasmaz, and Ozturk (2017), for instance, studied this relationship for ten European countries and concluded that it is poverty that causes corruption. Rahayu and Widodo (2012) and Sodré (2014), on the other hand, found that it is corruption that causes poverty when considering ASEAN1 countries and when analyzing Brazilian municipalities, respectively. However, in most cases, the researchers did not take into account heterogeneity among individuals. In this sense, this work innovates by applying a methodology that allows capturing such heterogeneity in the study of causality between corruption and poverty.
In this context, in addition to contributing to the respective research area, the purpose of this work is based on the hypothesis that corruption and poverty may be intertwined with bidirectional causality. Moreover, the results obtained here can be considered in the formulation of public policies directed to attenuate corrupt practices and/or mitigate poverty rates, directly or indirectly, in South American countries.
Given the above, this work aimed to investigate the existence of a causal relationship between corruption and poverty for a group of eight countries in South America2. To this end, the methodology developed by Dumitrescu and Hurlin (2012) was applied, which presents the most recent panel causality test and considers, above all, the heterogeneity among individuals. In total, eight variables were used, where CPI and the CC estimate were applied as corruption indexes, the poverty indexes P0, P1, and P2, as proposed by Foster, Greer, and Thorbecke (1984), or FGT, were employed, with the World Bank’s poverty and extreme poverty lines as references.
In addition to this introductory section, this paper is structured as follows. The next section consists of a literature review, where corruption is conceptualized and its causal relationship with poverty is addressed. The following section presents the data and the causality model used. The fourth section provides the results and their discussion. The last section concludes with final considerations.
I. CORRUPTION, POVERTY AND CAUSALITY
Corruption is an ancient and global phenomenon that weakens all government functions, directly affects its monetary and fiscal policies, and causes socio-economic problems (İnam, Güzel, & Murat, 2019). However, what is corruption? It is nothing less than the misuse of public office for private gain, including, but not limited to, nepotism, bribery, extortion, influence peddling, and fraud (Chetwynd et al., 2003). More generally, it can also be defined as the abuse of power for personal gain (USAID, 2009).
In Brazil, corruption seems to be directly related to the collective identity of its people and, for many, is intrinsic to the jeitinho brasileiro, or the “Brazilian way” (Novaes, 2016), a popular expression in the country that roughly means taking shortcuts to achieve a goal. This results in creating conceptions of common sense about natural dishonesty of the population that, despite the successive signs of corrupt acts, there is a situation of impotence and tolerance on the part of society (Filgueiras, 2009). On the other hand, Cabral (2018) affirmed that, among Brazilians, the consensus prevails that corruption is a serious issue and that it deserves an urgent and effective confrontation.
So much so that during the 2018 elections in Brazil, the topic was one of the main issues for voters. President Jair Bolsonaro and many other politicians were elected based on promises to combat corruption and implement effective reforms. However, the first year of Bolsonaro’s government was marked by actions and setbacks that were far from fulfilling these commitments (Transparency International, 2020).
Corruption interferes with many important government functions, such as allocating resources, stabilizing the economy, and redistributing income. These functions directly or indirectly influence social policies and poverty to varying degrees (Gupta et al., 2002). In addition, they present adverse effects of inefficiency —causing lower growth for a given group of factors and technology— and distributive ones, by disproportionately harming the poor. The evil of corruption deepens poverty, reduces pro-poor public spending, and creates congestion in public services (Ndikumana, 2006).
Because of the benefits it brings to those who practice it, and due to these people’s ability to manipulate the institutional environment, corruption then becomes a self-perpetuating phenomenon. If the system is corrupted, this behavior is likely to become even greater (Ndikumana, 2006). In this line, You and Khagram (2005) affirmed that corruption is self-reproducing because of its causal link with income inequality, as one is the causal factor of the other, thus giving rise to vicious cycles of corruption and inequality. However, this conduct has a cause and effect relationship with many other socioeconomic indicators, such as poverty, in its monetary and multidimensional aspects. That is why many authors such as Gupta et al. (2002), Chetwynd et al. (2003), Ndikumana (2006), and Omoniyi (2018), among others, have focused on this issue.
I.1. Corruption and Poverty
Corruption is a cause of poverty and a barrier to its eradication. The relationship between the act of corrupting and the state of poverty is numerous and common. In the public sector, for example, corruption discourages growth and deepens poverty, weakening institutions (Negin et al., 2010). Corruption in the public sector is often seen as an intensifying ingredient of poverty conditions in countries that are already struggling with economic growth difficulties and that are in a state of democratic transition. On the other hand, chronically poor countries are seen as prone to systemic corruption due to income and social inequalities and perverse economic incentives (Chetwynd, 2003).
In a pioneering work, Gupta et al. (2002) investigated the impact of corruption on poverty and inequality, using models estimated applying OLS and instrumental variable (IV) techniques in a cross-section of countries over the period 1980–1997. These authors observed that high and growing corruption tends to increase income inequality and poverty.
Ünver and Koyuncu (2016) examined the effect of poverty on corruption using a panel data analysis in 154 countries from 2000 to 2013. Their main finding was that countries with the highest level of poverty experience a greater level of corruption.
Ndikumana (2006) studied, among other conditions, how corruption affects economic growth and undermines efforts to fight poverty. The author concluded that corruption has a disproportionate effect on the poor by reducing growth and income.
In another line of research, Chetwynd et al. (2003) discussed how an economic model and a governance one could explain the moderate link between corruption and poverty. The former postulates that corruption affects poverty, initially impeding growth factors, which, in turn, alter poverty levels. The latter shows that corruption impacts poverty by influencing governance factors, which, in turn, affect the quality of infrastructure and public services, restrict economic growth, and reduce social capital, by damaging public confidence.
Cabral (2017) used the computable general equilibrium (CGE) model to analyze the effects of corruption on economic growth, well-being, and poverty in Senegal. By assuming a 10% leakage of public investment due to corruption, the simulation showed that growth contracts, well-being deteriorates, and the incidence of poverty increases. In another study, Jeng (2018) noted the statistically significant and positive relationship between corruption and poverty in The Gambia, when analyzing data from 1992 to 2016. However, Omoniyi (2018) observed that, in Nigeria, corruption and other variables are not determinants of poverty.
I.2. Causality and Empirical Evidence
Bayar and Aytemiz (2019) investigated the relationship between the misery index and the corruption rate with the high level of income inequality in Latin American countries during the period 2002-2014. They found that increases in the misery index and corruption contributed to greater income inequality. Moreover, the test results revealed one-directional causality from the misery index to income inequality and bidirectional causality between corruption and income inequality.
Using annual data from 2008 to 2017 for 24 of the 32 departments of Colombia, Sáenz-Castro and García-González (2019) analyzed the relationship between corruption and income inequality and observed a positive correlation between those two variables.
Adeleye (2016) proposed the Pareto theory of poverty-induced corruption to explain the nature of poverty and its relation to corruption. In that work, 61 countries were analyzed, which were divided into three groups according to their place in the 2014 corruption perception index. The first group consisted of the 20 countries with the highest positions in that index, the second group comprised the 20 countries occupying the medium ones, and the third group included the 20 countries with the lowest positions, in addition to Nigeria, which at the time occupied the 31st place. The results suggest that poverty causes corruption because of the presence of Pareto disability in the economy3.
Gundlach and Paldam (2009) tested the direction of long-term causality between corruption and income —with prehistoric biogeography measures used as instruments for modern income levels— and found that there is long-term causality between the variables and it is entirely in the direction of income towards corruption. These authors used two regression estimates. One is the OLS, which explains corruption with income. The other is the corresponding instrumental variables (IV) estimate, where income is instrumented by measures of biogeography that are necessarily exogenous to the current pattern of income. The results suggest that the cross-country pattern of corruption can be fully explained by that of income and that corruption disappears as countries become rich, transitioning from a state of poverty (with the presence of corruption) to one of honesty.
Bayar et al. (2017) analyzed the causal interaction between corruption, inequality of income, and poverty in ten countries in Central and Eastern Europe, from 2005 to 2016, employing the Dumitrescu and Hurlin (2012) panel causality test. The authors observed the presence of one-directional causality both from poverty to corruption and from income inequality to poverty.
On the other hand, Rahayu and Widodo (2012) examined the Granger causality between corruption and poverty using panel data from nine countries of the Association of Southeast Asian Nations (ASEAN) during the period 2005-2009 and concluded that there was causality from corruption to poverty. That is, the data revealed that poverty is caused by corruption, but the opposite is not the case.
Yunan and Andini (2018) analyzed causality between corruption, poverty, and economic growth in a smaller sample of ASEAN countries than that of Rahayu and Widodo (2012) and over a longer period (2002-2015). Due to similarities in their indicators, four countries were chosen, these being the Philippines, Thailand, Indonesia, and Malaysia. The study employed the Granger causality tests and the random effects model. The results show that, in the Philippines, there was one-directional causality of economic growth in corruption, and from poverty to corruption, while, in Thailand, causality was solely from economic growth to poverty. In the other two countries, no causality was observed.
N’zue and N’guessan (2006) also studied the causal relationship between corruption, poverty, and economic growth, but analyzing the panel data of 18 African countries from 1996 to 2001. The empirical evidence of this research suggests that there is no causal relationship between corruption and poverty, although there is one-directional causality from corruption to income inequality. Other relevant results were that growth causes corruption and poverty causes growth. Furthermore, when considered together, poverty and corruption generate growth, in the same way that poverty and growth together lead to corruption.
In another work, Mehregan and Mohseni (2012) examined the causal relationship between poverty and corruption. For this, one-hundred panel data and twenty developing countries were used during the period 1998-2006. The results revealed that corruption and poverty are linked, that is, poverty causes corruption and vice versa.
Negin et al. (2010) applied the generalized method of moments (GMM) in a sample of 97 developing countries during the period 1997-2006 to investigate the Granger causality. In line with Mehregan and Mohseni (2012), the authors concluded that corruption and poverty have bidirectional causality. Likewise, Azad and Feshari (2013) also observed bidirectional causality between the CPI and the Human Poverty Index in the Middle East and North Africa countries (MENA) between 2003 and 2011.
Lastly, Sodré (2014) investigated the impact of governmental corruption on socio-economic indicators in Brazilian municipalities. To do this, the author used the instrumental variables method and data from reports of the Brazilian Controladoria-Geral da União (Comptroller General of the Union - CGU). The number of irregularities identified by the CGU was applied as a corruption variable. The results show the existence of a positive correlation between the number of irregularities and the proportion of the poor. Furthermore, the increase to fifty irregularities rises the proportion of the poor in the cities analyzed and decreases income by 5%. There was also a causal relationship between corruption and poverty, where an increase in the level of corruption leads to a rise in the fraction of the poor in the municipalities.
Considering the results presented above, it is observed that, in the literature, numerous works dealt with the effects between corruption and poverty. However, those that studied the causal relationship between these variables are scarce and, among them, most found some causality between corruption and poverty, except for N’zue ‘and N’guessan (2005). In addition, those works that explored a larger sample of developing countries, without specifying a region, generally found bidirectional causality. It is also noted that there are no studies on causality between corruption and poverty for the South American region, a gap that this paper aims to fill.
II. METHODOLOGY
II.1. Data
This work considered a total of eight variables related to corruption and poverty measures, for a group of eight South American countries (Brazil, Bolivia, Chile, Colombia, Ecuador, Paraguay, Peru, and Uruguay), from 2002 to 2018. In terms of corruption, two measures were used. The first is the CPI4, developed by Transparency International, and which currently varies between 0 and 100, where the higher the score, the lesser the perception of interviewees about corruption. The second index is the CC5, belonging to the group of Governance Indicators of the World Bank, which ranges from approximately -2.5 to 2.5, where the higher the level of this indicator, the greater the control of corruption.
To carry out a more robust study on causality between poverty and corruption, in addition to taking into account the proportion of the poor (P0), the poverty hiatus (P1 ), which measures the intensity of causality, and the poverty hiatus squared (P2), which determines its severity, were also included. For each of these three indices, two poverty lines established by the World Bank were considered. One that captures people that live with less than US$ 1.90/day —who, in this study, are called extremely poor— and another that identifies those living with US$ 3.20/day6, who are regarded as poor. These poverty indices are made available by the World Bank.
Although the poverty indicators used here are exclusively related to income, it is worth noting that this phenomenon, according to Barros et al. (2006) and UNDP (2019), is essentially multidimensional, since it must encompass the various deprivations that people experience in their daily lives, such as health, education, security, housing, sanitation, drinking water, and electricity, among others. However, Barros et al. (2006) concluded that income insufficiency indicators are a strong candidate for measuring poverty, given that most households access markets for goods and services to meet their aforementioned welfare needs, and, to participate in these markets, it is necessary that they have monetary resources. The table below presents a summary description of the variables.

Some of the variables presented in Table 1 have already been widely applied in empirical studies, and this justifies their use in this work. As Transparency International (2020) pointed out, the CPI, for instance, is the most common corruption indicator in the world. Rahayu and Widodo (2012), Negin et al. (2010), and N’zue and N’guessan (2005) used this indicator in their works on causality between corruption and poverty. Likewise, Bayar et al. (2017), Becherair and Tahtane (2017), and Sodré (2014) applied the CC indicator in their respective works.
Table 2 presents the descriptive statistics for grouped variables. Each variable contains 136 observations, being 17 for each country. A priori, it is possible to draw at least two relevant conclusions on these preliminary results.

The first concerns the CPI and CC variables, which have a difference of 59 and 2.986506 among their minimum and maximum values, respectively. For those two variables, Chile obtained the maximum values and Paraguay, the minimum ones. The second conclusion is that, for all poverty measures, Colombia was the country with the most poverty and Uruguay, the one with the least. In addition, among the results shown in the table above, the maximum value for the proportion of the poor was 38.25%, while the minimum was 0.37%, and the mean of the proportion of extreme poverty was around 5.80%.
II.2. Heterogeneous Panel Causality Model
To investigate the causal relationship between corruption and poverty in Brazil and seven other South American countries, the causality test by Dumitrescu and Hurlin (2012) was used. Granger (1969) suggested a causality test in which variable X causes Y if the ability to predict Y was greater when applying all the available information, compared to the case where the information set does not include X. Dumitrescu and Hurlin (2012), using panel data, proposed a test in which heterogeneity is considered. The method is the latest contribution in this direction and has been employed in several areas of knowledge to measure causality in heterogeneous panels. However, except for the work of Bayar et al. (2017), there are practically no studies on causality between corruption and poverty that have applied this test. These reasons justify its use in this paper.
To express the model, Dumitrescu and Hurlin (2012) denoted as X and Y two stationary variables observed for N individuals, for T periods. For each and in time , the following linear model is taken into account:
(1)with
and
. The individual effects of
are assumed to be fixed in time. It is also considered that the K lag orders are identical for all cross-section units and that the panel is balanced. The auto-regressive parameters
and the slopes of the regression coefficients
are allowed to differ among the groups. However, these are constant in time.
As discussed in Granger (2003), the usual panel causality test analyzes whether some variable, say yt, causes another variable, say xt, everywhere in the panel, this being a strong null hypothesis. Consequently, what Dumitrescu and Hurlin (2012) proposed is a simple Granger non-causality test for heterogeneous panel data models. Such a test allows taking into account both dimensions of heterogeneity present in this context. The first source of heterogeneity is standard and comes from the presence of individual effects of
. The second one, which is more crucial, is related to the heterogeneity of the parameters
. This type of heterogeneity directly affects the paradigm of the representative agent and, therefore, the conclusions regarding causal relationships.
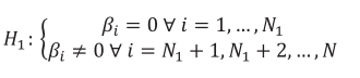
Because of these observations, Dumitrescu and Hurlin (2012) intended to test the hypothesis of Homogeneous Non-Causality (HNC), considering both the heterogeneity of the regression model and that of the causal relationship. The null hypothesis of HNC is defined as:
(2)In the alternative hypothesis (model heterogeneity), therefore, a subgroup of individuals for whom there is no causal relationship and another one for whom the variable is allowed, X causes Y. Thus,
I can differ among the groups. It is assumed that, in , there are individual processes without causality from X to Y. It is concluded that the test is not an assumption of causality and non-causality of X and Y for all panel units. It is more general, as there is evidence of non-causality for some individuals under the alternative hypothesis:
(3)where N1 is unknown, but satisfies the condition
. In this context, if H0 is accepted, the variable X does not cause the variable Y for all the units in the panel. In contrast, when H0 is rejected and N1=0, it follows that X causes Y for all the individuals in the panel: in this case, a homogeneous result is obtained concerning causality. The regression model considered may not be homogeneous, that is, the estimators of the parameters vary between groups, but causal relationships are observed for all individuals. As for when N1>0, the causal relationship is heterogeneous: the regression model and the causal relationships are different from one individual in the sample to another.
In situations where there is theoretical evidence that one variable mutually causes the other, the Dumitrescu and Hurlin (2012) model can be used to test whether or not bidirectional causality exists. The process is described below. In the initial stage, as in Equation 1 of this model, Y is the dependent variable and X, the independent one. When H0 is rejected, X causes Y for at least one individual in the panel. The next step involves the same procedures, but now X is the dependent variable and Y, the independent one. If the new H0 is also rejected, then Y causes X for at least one individual in the panel, meaning that these variables have bidirectional causality. In case is accepted at both stages, there is no causal relationship between the variables. Lastly, if H0 is accepted in just one step, the causality is unidirectional.
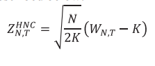
Continuing with the description of the model, Dumitrescu and Hurlin (2012) suggested the use of the average of the individual Wald statistics associated with the non-causality hypothesis test for units i = 1, ..., N.
(4)where Wi,T is the individual Wald statistic for the i-th cross-section unit that corresponds to the individual test
. The authors also proposed the corresponding standardized statistics at asymptotic moments
and an approximate semi-asymptotic standardized statistic, able to accommodate the problems of small samples
, which are described below:
(5)and
(6)However, Lopez and Weber (2017) noted that the selection of the lag order (K) is a missing point in the methodology of Dumitrescu and Hurlin (2012). This problem can be solved by selecting the number of lags based on an information criterion (AIC/BIC/HQIC)7. In this process, all estimates must be conducted on the same sample to be grouped and, therefore, comparable. This paper used the optimum number of lags to minimize the Akaike Information Criteria (AIC) and, for that purpose, a method developed by Lopez and Weber (2017) was performed.
Lastly, it is worth mentioning that, before applying the causality model, it was necessary to use the unit root test to determine the stationarity of the variables, given that it is a requirement of the Dumitrescu and Hurlin (2012) model. For this, the Harris-Tzavalis test (1999) was employed, which considers the number of periods, T, as fixed and the number of individuals, N, tending to infinity. These characteristics make this test suitable for the data under analysis.
III. EMPIRICAL EVIDENCE
Table 3 presents the results of the unit root test of the corruption variables (CPI and CC) and of the poverty measures (Proportion of the Poor; Poverty gap, and Poverty Gap Squared) for the poverty lines corresponding to US$1.9 and US$3.2 a day. As highlighted in the previous section, this paper implemented the Harris-Tzavalis (1999) unit root test for panel data, which has as a null hypothesis the presence of unit root.
When considering the results presented above, it can be observed that the null hypothesis is rejected for the corruption indexes (CPI and CC), which indicates the presence of a unit root. However, the poverty indicators are stationary. In addition, due to this non-uniformity of the test results, it was necessary to take the first difference8 of all the variables to make the series stationary.
Once this was done, the homogeneous non-causality test developed by Dumitrescu and Hurlin (2012) for heterogeneous panels was estimated to identify Granger causality between corruption and poverty. If the null hypothesis is rejected, it is possible to conclude that there is a causal relationship between the variables for at least one unit of the panel. The results are shown in Table 4, which can be divided into two groups. In the first one, the CPI variable is used as a proxy for corruption, while, in the second group, the CC variable takes this position. The analysis below Table 4 considers the 5% significance level.


In the first group, there is no causal relationship between the corruption (CPI) and poverty indicators. On the other hand, in the second group, this non-causality is restricted only between corruption (CC) and the proportion of the poor (P0) and the poverty gap (P1) indicators of the extremely poor – US$1.9 a day. These results are consistent with those obtained by N’zue ‘and N’guessan (2006), who studied the causal relationship, also considering the CPI, with the Human Development Index (HDI) as a proxy for poverty, for a panel data of 18 African countries in the period 1996-2001.
Continuing with the analysis of the results, the estimates of the second group point to one-directional causality of the CC index towards the poverty indicators, regarding both the threshold of US$3.2 a day (poverty), as in the case of the corresponding line of US$1.9 a day (extreme poverty).
According to the results presented, there is no evidence of bidirectional causality between the corruption and poverty indicators for the group of South American countries analyzed, contrary to what was observed in works such as Mehregan and Mohseni (2012), Negin et al. (2010), and Azad and Feshari (2013). Thus, the prevalence of causality from corruption to poverty evidenced in this work may be due to both direct and indirect effects, or even to the two combined effects. Regarding the indirect aspect, Chetwynd et al. (2003) argued that corruption affects poverty both through growth and governance factors, which impact the quality of public services. Surely, the one-directional causality result obtained in this analysis may be capturing one of the effects or both simultaneously.
Furthermore, an explanation for such causality can also emerge from the study of the definition of the CC indicator itself, developed by the World Bank, which measures the perception of the “capture” of the state by elites and private interests, including petty and grand forms of corruption.
In this sense, You and Khagram (2005) and Bayar and Aytemiz (2019) pointed out that the rich have both greater motivation and opportunity to engage in corruption, while the poor are more vulnerable to extortion and less able to be monitored and hold the rich accountable. This being true, a few individuals may be manipulating the institutional and regulatory environment in these countries to maintain the status quo, which triggers adverse effects on the economy, and thus leading to an increase in poverty.
Considering that corruption accentuates income disparities by discouraging economic growth and new sources of investment, presumably those who lose most from such a practice are non-elite groups, who might even ascend socially, but because of the corrupt conjecture, they end up perpetuating themselves in lower social classes.
Gupta et al. (2002) followed the same line of reasoning, postulating that when a country’s regulatory system is corrupt and favors the rich and “well-connected,” the poor and less connected face a higher risk premium in their decision-making for investments. This unfavorable situation discourages more diverse forms of investment from the least disadvantaged group, increasing income inequality and poverty. In addition, Sodré (2014) argued that corrupt practices call into question the credibility of institutions, influencing agents’ decisions regarding investments in the economy. The costs of entrepreneurship and public goods and services are higher with corruption and, therefore, directly influence income and the level of poverty.
Given the results obtained, it seems evident that corruption has a cause and effect relationship with poverty in the countries analyzed. Furthermore, although causality from poverty to corruption was not observed in any case, the empirical evidence of Gundlach and Paldam (2009) should not be refuted, which considers that long-term causality is one-directional from income to corruption, so that corruption tends to mitigate as the country gets richer. From the premise of these authors, the challenge is how to reduce poverty to alleviate corrupt practices if the first factor, poverty, is conditioned by corruption.
CONCLUDING REMARKS
This work aimed to analyze the causal relationship between corruption and poverty in the period 2002-2018 in Brazil and a group of seven South American countries (Bolivia, Chile, Colombia, Ecuador, Paraguay, Peru, and Uruguay). The methodology applied is the one developed by Dumitrescu and Hurlin (2012), which analyzes the Granger causality in heterogeneous panels, having as variables of corruption the Corruption Perception Index (CPI) and the Control of Corruption (CC) estimate. As for the measures of poverty, the class indices proposed by Foster, Greer, and Thorbecke (1984) were also used, regarding the lines of poverty and extreme poverty of the World Bank.
In short, when taking into account the CC index, one-directional corruption causality was found for all measures considered (P0, P1, and P2) of the poverty line, and for P2 of the extreme poverty line. On the other hand, there is no evidence of a causal relationship between the CC index and the P0 and P1 measures of the extreme poverty line, and between CPI and all the analyzed poverty measures. Regarding the FGT poverty measures, the results of this research indicate, above all, that corruption not only has an effect on poverty in proportional terms, but also on its intensity and severity.
In other words, corruption influences the gap between the income of the poorest and the poverty line. Hence, this allowed analyzing this effect on the income of the poor who are furthest from this line when considering the P2 index, weather of poverty or extreme poverty. Therefore, it was possible to know more accurately the effects of corruption on poverty.
The results obtained suggest that it would be recommended to create a legal apparatus in the countries analyzed that increases and encourages transparency and good governance of public bodies, and that makes the laws and penalties against those who are demonstrably corrupt even stricter. In addition, access to health, education, sanitation, and other public policies aimed at reducing social inequalities should be expanded. Any decrease in corruption rates can also reduce poverty indicators and vice versa.
According to Transparency International (2020), anti-corruption sentiment, for example, has been growing among South American countries and important steps have been taken. However, there is still a long way to go, so that the decrease in corruption is reflected in less poverty in these countries, allowing these regions to accelerate their economic development processes.
REFERENCES
Adeleye, E. O. (2016). The Pareto theory of poverty-induced corruption. Journal of Poverty, Investment and Development, 25, 73-8. Retrieved from https://iiste.org/Journals/index.php/JPID/article/view/31377/32216
Azad, M. ali M., & Feshari, M. (2013). The causal relationship between corruption and human poverty index: The case of MENA countries. The Journal of Planning and Budgeting, 18(2), 23-38. Retrieved from http://jpbud.ir/article-1-978-en.html.
Barros, R. P. de; Carvalho, M. de; Franco, S. (2006). Pobreza multidimensional no Brasil. (IPEA, Discussion paper No. 1227). Accesed on 14/12/2021, retrieved from http://repositorio.ipea.gov.br/handle/11058/1688.
Bayar, Y., & Aytemiz, L. (2019). The misery index, corruption and income inequality in Latin American countries: A panel cointegration and causality analysis. Scientific Annals of Economics and Business, 66(3), 309-319. doi: 10.2478/saeb-2019-0024.
Bayar, Y., Sasmaz, M. U., & Ozturk, O. F. (2017). Corruption, income inequality and poverty in Central and Eastern European Union countries: A panel causality analysis. Journal of the Human and Social Sciences Researches, 6, 340-349. Retrieved from http://www.itobiad.com/tr/download/article-file/371602
Becherair, A., & Tahtane, M. (2017). The causality between corruption and human development in MENA countries: A panel data analysis. Journal of Economics and Business, 20(2), 63-84. Retrieved from https://www.u-picardie.fr/eastwest/fichiers/art218.pdf
Cabral, F. J. (2017). Risk of corruption for economic growth and poverty: The case of a developing country. Risk Governance & Control: Financial Markets & Institutions, 7(2), 129-139. https://doi.org/10.22495/rgcv7i2c1p1
Cabral, R. L. F. (2018). Corrupção: Uma perspectiva da filosofia da linguagem para o seu enfrentamento. Revista de Informação Legislativa: RIL, 55(220), 13-28. Retrieved from https://www12.senado.leg.br/ril/edicoes/55/220/ril_v55_n220_p13
Campos, F. A. O., & CASTELAR, L. I. M. (2013). Avaliação da corrupção municipal a partir de microdados. Trabalho apresentado em XLI Encontro Nacional de Economia da Associação Nacional dos Centros de Pós-Graduação em Economia (ANPEC). Retrieved from https://www.anpec.org.br/encontro/2013/files_I/i5-e80f32da48a7648db2c4609785a7b8f9.pdf
Chetwynd, E., Chetwynd, F., & Spector, B. (2003). Corruption and poverty: A review of recent literature. Washington DC: Management Systems International. Retrieved from https://pdf.usaid.gov/pdf_docs/PNACW645.pdf
Dobson, S., & Ramlogan-Dobson, C. (2012). Why is corruption less harmful to income inequality in Latin America? World Development, 40(8), 1534-1545. Retrieved from https://doi.org/10.1016/j.worlddev.2012.04.015.
Dumitrescu, E.I., & Hurlin, C. (2012). Testing for Granger non-causality in heterogeneous panels. Economic Modelling, 29(4), 1450-1460. Retrieved from: https://doi.org/10.1016/j.econmod.2012.02.014
Filgueiras, F. (2009). A tolerância à corrupção no Brasil: Uma antinomia entre normas morais e prática social. Opinião Pública, 15(2), 386-421. Retrieved from: https://doi.org/10.1590/S0104-62762009000200005
Foster, J., Greer, J. & Thorbecke, E. (1984). A class of decomposable poverty measures. Econometrica, 52(3), 761-766. Retrieved from https://doi.org/10.2307/1913475
Granger, C. W. J. (1969). Investigating causal relations by econometric models and cross-spectral methods. Econometrica, 37(3), 424-438. Retrieved from https://doi.org/10.2307/1912791.
Granger, C. W. J. (2003) Some aspects of causal relationships. Journal of Econometrics, 112(1), 69-71. Retrieved from https://doi.org/10.1016/S0304-4076(02)00148-3.
Gujarati, D. N., & Porter, D. C. (2011). Econometria Básica (5th ed.). São Paulo: AMGH.
Gundlach, E., & Paldam, M. (2009). The transition of corruption: From poverty to honesty. Economics Letters, 103(3), 146-148. Retrieved from https://doi.org/10.1016/j.econlet.2009.03.002
Gupta, S., Davoodi, H., & Alonso-Terme, R. (2002). Does corruption affect income inequality and poverty? Economics of Governance, 3(1), 23–45. Retrieved from https://pria-academy.org/pdf/ISA/m2/m2-1-Corruption-IncomeIneq-Pov.pdf
Harris, R. D. F., & Tzavalis, E. (1999). Inference for unit roots in dynamic panels where the time dimension is fixed. Journal of Econometrics, 91(2), 201-226. Retrieved from: https://doi.org/10.1016/S0304-4076(98)00076-1
İnam, B., Güzel, S., & Murat, D. (2019). The correlation between corruption and socioeconomic development: An application for OECD countries. Hacettepe University Journal of Economics and Administrative Sciences, 37(2), 325-339. Retrieved from https://doi.org/10.17065/huniibf.373711
International Monetary Fund (IMF). (2016). Corruption: Costs and Mitigating Strategies. Accesed on 4/02/2021, retrieved from https://www.imf.org/en/Publications/Staff-Discussion-Notes/Issues/2016/12/31/Corruption-Costs-and-Mitigating-Strategies-43888
Jeng, A. M. (2018). Studying the Relationship between Corruption and Poverty, Public Debt, and Economic Growth: A Case Study of the Gambia (1996-2016) [Master’s thesis, KTH Industrial Engineering and Management]. Stockholm, Sweden: KTH Industrial Engineering and Management. Retrieved from https://www.diva-portal.org/smash/get/diva2:1295375/FULLTEXT01.pdf
Kaufmann, D., Kraay, A., & Mastruzzi, M. (2011). The worldwide governance indicators: Methodology and analytical issues. Hague Journal on the Rule of Law, 3(2), 220-246. doi:10.1017/S1876404511200046
Lopez, L., & Weber, S. (2017). Testing for Granger causality in panel data. The Stata Journal, 17(4), 972–984. Retrieved from https://journals.sagepub.com/doi/pdf/10.1177/1536867X1801700412
Mehregan, N., & Mohseni, E. (2012). The causal relationship between poverty and corruption in developing countries. Social Welfare Quarterly, 12(46), 33-64. Retrieved from http://refahj.uswr.ac.ir/article-1-968-en.html.
Ndikumana, L. (2006). Corruption and Pro-Poor Growth Outcomes: Evidence and Lessons for African Countries. (Political Economy Research Institute, Working Paper Series Nº 120). Retrieved from https://ideas.repec.org/p/uma/periwp/wp120.html
Negin, V., Rashid, Z., & Nikopour, H. (2010). The Causal Relationship between Corruption and Poverty: A Panel Data Analysis. University Library of Munich, MPRA Paper No. 24871. Retrieved from https://mpra.ub.uni-muenchen.de/id/eprint/24871
Novaes, C. S. (2016). Corrupção no Brasil: Uma visão da psicologia analítica. Junguiana, 34(2), 5-17. Retrieved from http://pepsic.bvsalud.org/pdf/jung/v34n2/v34n2a02.pdf
N’zue, F. F., & N’guessan, C. J. F. (2006). The Causality between Corruption,Poverty and Growth: A Panel Data Analysis. (SISERA, Working Paper Series ARCHIV No. 122423). Accesed on 24/05/2020, retrieved from https://idl-bnc-idrc.dspacedirect.org/bitstream/handle/10625/28166/122423.pdf
Omoniyi, B. B. (2018). An examination of the causes of poverty on economic growth in Nigeria. Africa’s Public Service Delivery Performance Review, 6(1), 1-10. Retrieved from https://doi.org/10.4102/apsdpr.v6i1.175
Organização Internacional do Trabalho (OIT). (2018). Women and men in the informal economy: A statistical picture. Geneva. (3rd ed.) Accessed on 4/02/2021, retrieved from https://www.ilo.org/global/publications/books/WCMS_626831/lang--en/index.htm
Rahayu, I. P., & Widodo, T. (2012). The causal relationship between corruption and poverty in ASEAN: A general method of moments/ dynamic panel data analysis. Journal of Economics, Business, & Accountancy Ventura, 15(3), 527–536. doi:10.14414/JEBAV.V1513.119
Sáenz-Castro, J. E., & García-González, J. D. (2019). The relationship between corruption and inequality in Colombia: Empirical evidence using panel data for the period 2008-2017. Iberoamerican Journal of Development Studies, 8(2), 28-43. Retrieved from https://dialnet.unirioja.es/descarga/articulo/7121071.pdf
Sodré, F. R. A. (2014). Os Impactos da Corrupção no Desenvolvimento Humano, Desigualdade de Renda e Pobreza dos Municípios Brasileiros [Master’s thesis, Departamento de Economia, Universidade Federal de Pernambuco]. Retrieved from https://repositorio.ufpe.br/bitstream/123456789/12549/1/DISSERTA%C3%87%C3%83O%20Flavius%20Raymundo%20Arruda%20Sodre.pdf
The World Bank. (2002/2018). Poverty and Equity: Worldwide Governance Indicators. Retrieved from DataBank https://databank.worldbank.org/
Transparency International (2020). Corruption Perceptions Index. Retrieved from https://www.transparency.org/en/cpi/2020/index/nzl
Transparency International. (2020). Retrospectiva Brasil 2019. Retrieved from https://transparenciainternacional.org.br/
United Nations Development Program (UNDP). (2019). Global Multidimensional Poverty Index 2019: Illuminating inequalities. Accessed on 14/12/2021, retrieved from http://hdr.undp.org/sites/default/files/mpi_2019_publication.pdf.
United States Agency for International Development. (2009). Anticorruption assessment Handbook. Final Report. Washington: Management Systems International Accesed on 23/05/2020, retrieved from https://pdf.usaid.gov/pdf_docs/pa00jp37.pdf
Ünver, M., & Koyuncu, J. Y. (2016). The impact of poverty on corruption. Journal of Economics Library, 3(4), 632-642. Retrieved from http://www.kspjournals.org/index.php/JEL/article/view/1096/1145
You, J.-S., & Khagram, S. (2005). A comparative study of inequality and corruption. American Sociological Review, 70(1), 136-157. Retrieved from: https://doi.org/10.1177/000312240507000107
Yunan, Z. Y., & Andini, A. (2018). Corruption, poverty, and economic growth: Causality studies among Asean countries. JEJAK: Journal of Economics and Policy, 11(2), 413-428. Retrieved from https://doi.org/10.15294/jejak.v11i2.16061
Notes