Artículos originales

Recepción: 21 Julio 2022
Aprobación: 15 Septiembre 2022
DOI: https://doi.org/10.37135/ee.04.16.06
Resumen: El sobrepeso y la obesidad como forma de malnutrición en la adolescencia constituye un importante problema de salud mundial. El objetivo de la investigación fue determinar la correlación entre el índice triglicéridos glucosa con el estado nutricional en adolescentes atendidos en consulta externa del Hospital General Riobamba IESS, durante el 2021. Se realizó un estudio observacional, descriptivo de corte transversal que incluyó las historias clínicas de los 140 adolescentes atendidos en consulta externa de Nutrición y Endocrinología. La edad promedio fue de 14,5 ± 1,9 años, el 59,3% perteneció al sexo femenino y la media del índice de masa corporal fue 26,2 ± 5,0 kg/m.. El estado nutricional se distribuyó de la siguiente manera: 4,3% bajo, 39,3% normal y 56,4% obeso. Se encontró una correlación significativa, positiva y débil entre el índice triglicéridos glucosa e índice de masa corporal (r=0,2; p<0,05). Los participantes con obesidad tuvieron valores más altos de glucemia, triglicéridos y colesterol total que los otros grupos, pero sin que esta fuera estadísticamente significativa.
Palabras clave: estado nutricional, adolescente, triglicéridos, glucosa.
Abstract: Being overweight and obese as a form of adolescent malnutrition constitutes a major global health problem. The research aimed to determine the correlation between the glucose triglyceride index and the nutritional status of adolescents treated in the outpatient clinic of the General Hospital Riobamba IESS in 2021. An observational, descriptive cross-sectional study was carried out that included the clinical histories of the 140 adolescents seen in the Nutrition and Endocrinology outpatient clinic. The mean age was 14.5 ± 1.9 years, 59.3% were female, and the mean body mass index was 26.2 ± 5.0 kg/m2. The nutritional status was as follows: 4.3% low, 39.3% normal, and 56.4% obese. A significant, positive, and weak correlation was found between the glucose triglyceride and body mass index (r=0.2; .<0.05). Obese participants had higher values than the other groups regarding blood glucose, triglycerides, and total cholesterol. There was no statistically significant between them.
Keywords: Nutritional Status, Adolescent, Triglycerides, Glucose.
INTRODUCCIÓN
Según la Clasificación Internacional de las Enfermedades 11 (CIE-11), la obesidad se define como una enfermedad crónica compleja caracterizada por un exceso de adiposidad que afecta la salud humana. Su origen se considera multifactorial, pudiendo ser producida a causa de estilos de vida inadecuados, factores genéticos y psicosociales. En niños y adolescentes puede establecerse a partir del índice de masa corporal (IMC): por encima de 3 para menores de 5 años y más de 2 a partir de esa edad.(1)
Las tasas de prevalencia e incidencia indican que la obesidad en la etapa pediátrica resulta un problema de salud pública a nivel global, además de estar relacionada con varias enfermedades crónicas.(2) Para 2016, se calculó que el número de esos pacientes se incrementó en 10 veces comparado con la cifra de 1975, reportándose una cifra de 124 millones de afectados en ese grupo etario.(3)
Entre las enfermedades crónicas no transmisibles relacionadas con esta patología en niños y adolescentes se mencionan: hipertensión arterial, hipercolesterolemia, intolerancia a la glucosa o resistencia a la insulina, trastornos articulares y enfermedad hepática.(4) También se ha asociado con trastornos psicológicos como ansiedad, depresión, problemas de autoestima y dificultades para socializar.(5) La obesidad afecta el crecimiento saludable durante el desarrollo y reduce la calidad de vida en general.(6)
Según el Atlas Global de Obesidad de 2022, 71 millones de niños con edades entre 5 y 9 años se diagnosticaron obesos (11% de la población infantil) en 2020, además de un 7% de prevalencia en edades entre 10 y 19 años. Para 2030, se proyecta una prevalencia global del 15%.(7) En países como Argentina, Corea del Sur, México y España se informan incrementos significativos de la prevalencia de la obesidad en la adolescencia vinculada con algunas enfermedades crónicas.(8,9,10,11)
En Ecuador, los datos del Observatorio Global de Obesidad en 2018 indican que la prevalencia de sobrepeso y obesidad en niños y adolescentes era de 20,6% y 14,8% respectivamente.(12) Esa situación provocó una transición epidemiológica y nutricional que se expresa en el incremento de este problema de salud en la población general.(13)
Teniendo en cuenta el impacto de esa situación de malnutrición, se realizó una investigación con el objetivo de determinar la correlación entre el índice triglicéridos glucosa con el estado nutricional en adolescentes atendidos en consulta externa del Hospital General Riobamba IESS, durante el 2021.
MATERIAL Y MÉTODOS
Se realizó un estudio observacional, descriptivo de corte transversal que incluyó a la totalidad de la población: 140 adolescentes atendidos en consulta externa de Nutrición y Endocrinología del Hospital General Riobamba - IESS en 2021, cuyas edades estuvieron comprendidas entre 12 y 18 años con historias clínicas que contenían los datos antropométricos, bioquímicos y clínicos de interés, los que se recolectaron a través de una ficha diseñada con ese fin y luego se organizaron en una hoja del paquete estadístico SPSS versión 25.0, facilitando su posterior procesamiento.
La normalidad en la distribución de los datos fue establecida mediante la prueba de Kolmogorov-Smirnov, lo que permitió un análisis de los datos mediante estadísticas inferenciales paramétricas: Pearson (r) para establecer la correlación, t de Student en la comparación de las categorías del estado nutricional y odds ratio como medidas de efecto expresada a través de la curva de COR.
El estudio contó con la autorización del Centro de Investigación y Docencia del Hospital General Riobamba – IESS, la información obtenida de las historias clínicas se procesó garantizando su confidencialidad y los resultados se emplearon exclusivamente con fines investigativos en concordancia con lo establecido en la Declaración de Helsinki.(14)
RESULTADOS
La edad promedio de los adolescentes incluidos en el estudio fue de 14,5 ± 1,9 años (tabla 1), con un predominio del sexo femenino, que estuvo representado por el 59,3% de la población.
Con respecto a la distribución de los adolescentes según estado nutricional (media de 26,2), se observó un predominio del peso normal (39,3%), seguido por la obesidad grado I y II con una frecuencia del 34% y el 20% respectivamente. Las medias de los indicadores de laboratorio clínico mostraron la existencia de valores por encima de los considerados dentro de los parámetros normales (tabla 1).

Al comparar las variables analíticas de laboratorio entre los pacientes adolescentes según presencia de obesidad, no se observaron diferencias estadísticamente significativas en ninguna de estas; aunque las medias con mayores discrepancias fueron las referentes a los triglicéridos, con p=0,06.
Gráfico 1. Comparación de medias del índice triglicéridos glucosa según índice de masa corporal

La comparación de las medias de los índices de triglicéridos glucosa en los grupos establecidos a partir del estado nutricional, posibilitó apreciar la presencia de una diferencia con respecto al grupo de obesos de grado III, en los que se observó la cifra de 5,3 (gráfico 1).

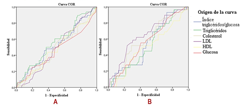
Las curvas de COR reflejaron la presencia de potencia predictiva del 53-55% inherente al índice triglicéridos glucosa con respecto al desarrollo de sobrepeso u obesidad (gráfico 2), pudiendo establecer un punto de corte en 4,8 para la ocurrencia de sobrepeso u obesidad, con una sensibilidad y especificidad de entre 81-86% y 26-28% respectivamente.

El índice de triglicéridos glucosa se correlacionó significativamente con el índice de masa corporal de manera directa y con intensidad leve (r=0,208; p<0,05); lo que se puede apreciar en la dispersión de los valores al graficarlos (gráfico 3).
DISCUSIÓN
A diferencia de lo observado en la presente investigación, autores chinos estudiaron una población adolescente cuya edad promedio fue de 10,5 años en 2916 participantes, predominando el sexo masculino;(15) sin embargo, en otro estudio ecuatoriano acerca del mismo fenómeno fue de 15,8 años y el género masculino representó el 55%.(16) También en Perú se reportaron resultados similares a esos últimos.(17)
La frecuencia observada de casos de alteraciones en el estado nutricional en cuanto a sobrepeso y obesidad en adolescentes resultó superior a la informada por Latacunga Salazar (Ecuador) y Salcedo Távara (Perú).(16,17) De manera similar, Vale et al.(18) hallaron un 10% de incidencia en una cohorte de 16556 adolescentes brasileños.
Galfo et al.(19) identificaron un 23% de presencia de obesidad en una muestra de 369 adolescentes italianos, concluyendo que dichos hallazgos tenían relación con hábitos nutricionales inadecuados y escasa práctica de ejercicio físico. Al respecto, Salcedo Távara et al.(17) determinó un predominio del normopeso entre 83 participantes y García Vilela(20) (también en Perú) comunicó un 19% con sobrepeso.
Latacunga Salazar(16) estableció que en su población de estudio no existieron diferencias estadísticamente significativas en los valores de glucemia al agrupar atendiendo al índice de masa corporal; aunque, los pacientes con sobrepeso tuvieron valores de triglicéridos superiores a los observados en los de peso normal.
Los autores concuerdan con que una política de salud pública orientada a la prevención de esta patología y la promoción de estilos de vida favorables para el individuo y la colectividad es la manera más efectiva de mitigar este problema de salud.
La principal limitación de esta investigación está relacionada con el tamaño y homogeneidad contextual de la muestra, por lo que se recomienda diversificar más estas características para futuros estudios relacionados con este objeto investigado.
CONCLUSIONES
En el entorno estudiado, el género femenino predominó entre los adolescentes, además de aquellos con sobrepeso y obesidad.
Los participantes con obesidad tuvieron valores más altos de glucemia, triglicéridos y colesterol total que los otros grupos, pero sin que esta fuera estadísticamente significativa.
El índice triglicéridos glucosa tuvo una correlación débil, positiva y significativa con el estado nutricional en los pacientes incluidos en el estudio.
Conflicto de intereses: los autores declaran que no existen.
Declaración de contribución
Jeicob Stalin Paredes Moreno y María Solangge Pazmiño Ordoñez trabajaron en el proceso investigativo de manera integral y en la redacción del artículo.
Héctor Fabián Ortega Castillo asesoró la investigación y corrigió la redacción del manuscrito.
REFERENCIAS BIBLIOGRÁFICAS
1. World Health Organization. International Classification of Diseases [Internet]. 2022 [citado 5 jun 2022]. Disponible en: https://icd.who.int/browse11/l-m/en.
2. Calcaterra V, Vandoni M, Rossi V, Berardo C, Grazi R, Cordaro E. Use of Physical Activity and Exercise to Reduce Inflammation in Children and Adolescents with Obesity. Int J Environ Res Public Health [Internet]. 2022 [citado 10 Jun 2022]; 19(11): 1-3. Disponible en: https://www.mdpi.com/1660-4601/19/11/6908.
3. Abarca-Gómez L, Abdeen ZA, Hamid ZA, Abu-Rmeileh NM, Acosta-Cazares B, Acuin C. Worldwide trends in body-mass index, underweight, overweight, and obesity from 1975 to 2016: a pooled analysis of 2416 population-based measurement studies in 128·9 million children, adolescents, and adults. The Lancet [Internet]. 2017 [citado 12 Jun 2022]; 390(10113): 2627-2642. Disponible en: https://linkinghub.elsevier.com/retrieve/pii/S0140673617321293.
4. Sahoo K, Sahoo B, Choudhury A, Sofi N, Kumar R, Bhadoria A. Childhood obesity: causes and consequences. J Fam Med Prim Care [Internet]. 2015 [citado 10 Jun 2022]; 4(2). Disponible en: https://journals.lww.com/10.4103/2249-4863.154628.
5. Whitehead R, Berg C, Cosma A, Gobina I, Keane E, Neville F. Trends in Adolescent Overweight Perception and Its Association With Psychosomatic Health 2002–2014: Evidence From 33 Countries. J Adolesc Health [Internet]. 2017 [citado 10 Jun 2022]; 60(2): 204-211. Disponible en: https://linkinghub.elsevier.com/retrieve/pii/S1054139X16303780.
6. Morrison KM, Shin S, Tarnopolsky M, Taylor VH. Association of depression & health related quality of life with body composition in children and youth with obesity. J Affect Disord [Internet]. 2015 [citado 10 Jun 2022]; 172: 18-23. Disponible en: https://linkinghub.elsevier.com/retrieve/pii/S0165032714005680.
7. Lobstein T, Brinsden H, Neveux M. World Obesity Atlas 2022 [Internet]. London: World Obesity Federation; 2022 [citado 5 Jun 2022]. Disponible en: https://www.worldobesityday.org/assets/downloads/World_Obesity_Atlas_2022_WEB.pdf.
8. Aceves-Martins M, López-Cruz L, García-Botello M, Gutierrez-Gómez YY, Moreno-García CF. Interventions to Prevent Obesity in Mexican Children and Adolescents: Systematic Review. Prev Sci [Internet]. 2022 [citado 10 Jun 2022]; 23(4): 563-586. Disponible en: https://link.springer.com/10.1007/s11121-021-01316-6.
9. Cesani MF, Garraza M, Zonta ML, Torres MF, Navazo B, Bergel Sanchís ML. Changes in the prevalence of undernutrition, overweight and obesity in children and adolescents from Buenos Aires, Mendoza, and Misiones provinces (Argentina) over the last two decades. Am J Hum Biol [Internet]. 2022 [citado 10 Jun 2022]; 23755: 8-13. Disponible en: https://onlinelibrary.wiley.com/doi/10.1002/ajhb.23755.
10. García-Solano M, Gutiérrez-González E, López-Sobaler AM, Ruiz-Álvarez M, Bermejo-López LM, Aparicio Vizuete A. Situación ponderal de la población escolar de 6 a 9 años en España: resultados del estudio ALADINO 2019. Nutr Hosp [Internet]. 2021 [citado 10 Jun 2022]; 38(5): 943-953. Disponible en: https://www.nutricionhospitalaria.org/articles/03618/show.
11. Park E, Ko Y. Trends in Obesity and Obesity-Related Risk Factors among Adolescents in Korea from 2009 to 2019. Int J Environ Res Public Health [Internet]. 2022 [citado 10 Jun 2022]; 19(9): 2-8. Disponible en: https://www.mdpi.com/1660-4601/19/9/5672.
12. World Obesity Federation. Global Obesity Observatory - Ecuador [Internet]. Global Obesity Observatory. 2022 [citado 10 jun 2022]. Disponible en: https://data.worldobesity.org/country/ecuador-59/#data_prevalence.
13. Ministerio de Salud Pública del Ecuador. Plan Intersectorial de Alimentación y Nutrición 2018-2025 [Internet]. Quito: Viceministerio de Gobernanza de la Salud Pública; 2018 [citado 5 Jun 2022]. Disponible en: https://www.salud.gob.ec/wp-content/uploads/2018/08/PIANE-2018-2025-final-compressed-.pdf.
14. World Medical Association. World Medical Association Declaration of Helsinki: Ethical Principles for Medical Research Involving Human Subjects. JAMA [Internet]. 2013 [citado 15 Dic 2021]; 310(20): 2191-2194. Disponible en: https://doi.org/10.1001/jama.2013.281053.
15. Wang J, Lin H, Chiavaroli V, Jin B, Yuan J, Huang K. High Prevalence of Cardiometabolic Comorbidities Among Children and Adolescents With Severe Obesity From a Large Metropolitan Centre (Hangzhou, China). Front Endocrinol [Internet]. 2022 [citado 10 Jun 2022]; 13(807380): 2-8. Disponible en: https://www.frontiersin.org/articles/10.3389/fendo.2022.807380/full.
16. Latacunga-Salazar DJ. Índice de triglicéridos/hdl colesterol >2.0 como indicador de insulinorresistencia en relación con el cálculo matemático homa en adolescentes sin antecedentes de riesgo cardiovascular de 14 a 18 años de edad en colegios del Distrito Metropolitano de Quito en el año 2018-2019 [tesis en Internet]. Quito: Universidad Central del Ecuador; 2022 [citado 16 May 2022]. Disponible en: http://www.dspace.uce.edu.ec/handle/25000/26372.
17. Salcedo-Távara CJ. Índice de masa corporal y dislipidemias en adolescentes atendidos en el Centro De Salud El Porvenir De Huaranga – San Ignacio, junio – septiembre 2017 [tesis en Internet]. Chiclayo: Universidad Particular de Chiclayo; 2019 [citado 16 May 2022]. Disponible en: http://repositorio.udch.edu.pe/handle/UDCH/252.
18. Vale D, da Costa-Andrade ME, Marinho-Dantas N, Andrade-Bezerra R, de Oliveira-Lyra C, Roncalli dacosta-Oliveira AG. Social Determinants of Obesity and Stunting among Brazilian Adolescents: A Multilevel Analysis. Nutrients [Internet]. 2022 [citado 10 Jun 2022]; 14(11): 2-11. Disponible en: https://www.mdpi.com/2072-6643/14/11/2334.
19. Galfo M, Censi L, D’Addezio L, Melini F, Martone D. Overweight/obesity and lifestyle factors among Italian adolescents: the ALIADO study. Minerva Pediatr [Internet]. 2022 [citado 10 Jun 2022]; 74(3): 251-258. Disponible en: https://www.minervamedica.it/en/journals/minerva-pediatrics/article.php?cod=R15Y2022N03A0251. https://doi.org/10.23736/s2724-5276.16.04708-3.
20. García-Vilela CA. Dislipidemias, glicemia y su asociación con indicadores antropométricos en escolares Colegio Ignacio Merino Piura 2018 [Internet]. Piura: Universidad Privada Antenor Orrego; 2020 [citado 16 May 2022]. Disponible en: http://repositorio.upao.edu.pe/handle/20.500.12759/6039.