
Recepción: 01 Noviembre 2015
Aprobación: 01 Enero 2016
Resumen: Ante los retos que plantea la mitigación del cambio climático en el sector AFOLU (agricultura, forestería y otros usos del suelo), es necesario plantear actividades que, a la vez que disminuyan las emisiones de CO2 a la atmósfera tengan un impacto socio-económico positivo. En Chiapas, el 76% de las emisiones de gases de efecto invernadero están ligadas a las actividades que realizan los productores rurales, por lo cual es fundamental que los tomadores de decisiones cuenten con herramientas sencillas de planeación que les permitan desarrollar actividades y programas de política pública encaminados a contribuir en la resolución de esta problemática. Por otra parte, en el estado, aproximadamente la mitad de las emisiones provienen de los suelos. En este trabajo, mediante análisis cartográfico, se identificaron las principales dinámicas de cambio de uso del suelo en Chiapas entre 2007 y 2011 a nivel regional, las cuales fueron: deforestación de bosques secundarios templados para establecer parcelas agrícolas de subsistencia (milpa) en los Altos, deforestación de vegetación secundaria de selva alta perennifolia por ganadería extensiva en La Selva y degradación forestal de bosques de pino encino en la Sierra Madre. Utilizando modelos de dinámica de uso del suelo asociado a carbono para distintas regiones de Chiapas, se analizaron sus impactos sobre el carbono edáfico y sus costos de oportunidad para los productores. Además utilizando estos mismos modelos se propusieron actividades de política pública con impactos positivos sobre el almacén de carbono edáfico y sobre indicadores socio-económicos. Los sistemas propuestos como alternativa sustentable fueron: la labranza de conservación y el MIAF (maíz intercalado con árboles frutales), en los Altos, sistemas silvopastoriles en la Selva y protección de bosques secundarios, bosques con plan de manejo forestal y plantaciones forestales en la Sierra.
Palabras clave: deforestación, degradación forestal, modelo, actividades REDD+, carbono orgánico del suelo.
Abstract: Regarding the challenges that face climate change mitigation for the AFOLU sector (Agriculture, Forestry and Other Land Uses), it is necessary to propose activities which, while reducing CO2 emissions to the atmosphere have a positive socio-economic impact. In Chiapas, 76% of GHG (greenhouse gases) emissions are linked to the activities undertaken by farmers in rural areas and therefore it is essential that decision makers can use simple tools that allow them to develop policy programs and identify activities that are able to resolve the problems. On the other hand, about half of the GHG emissions in Chiapas come from the soil. In this paper the main land use change dynamics in Chiapas for the period 2007-2011 were identified at the regional level using maps, and were: deforestation of temperate secondary forest for subsistence agriculture plots (milpa) in the Highlands of Chiapas, deforestation of secondary vegetation of tropical evergreen rain-forest for cattle ranching La Selva and degradation of pine-oak forests in the Sierra Madre. Using regional land use change dynamic models associated with vegetation/land uses carbon stocks, impacts of land-use change dynamic, on edaphic carbon and opportunity costs were assessed. Moreover, using these same models public policy activities with positive impacts on edaphic carbon and socio-economic indicators were identified. Sustainable land use activities proposed were: conservation tillage and MIAF (maíz interspersed with fruit trees) for the Highlands of Chiapas, silvopastoral systems for La Selva region and secondary forest protection, forest management and commercial plantation of forest species for La Sierra.
Keywords: deforestation, forest degradation, models, REDD+ activities, soil organic carbon.
Introducción
El estado de Chiapas, situado en el sur de México es predominantemente agrícola. La población rural es alrededor del 51% (INEGI, 2010a) del total. Sin embargo, las actividades que se desarrollan en el medio rural suponen únicamente el 7% del PIB (INEGI, 2015), lo cual se debe a que, de manera general, la agricultura está poco tecnificada y en amplias regiones tiene fines principalmente de subsistencia.
Los diferentes tipos de productores en el medio rural tratan de cumplir sus objetivos internos (asegurarse alimento, disponer de efectivo, tener ahorros, proveerse de energía y seguridad social) al implementar diferentes sistemas de producción, los cuales, en ocasiones se relacionan con dinámicas de cambio de uso del suelo. Según Kragten et al. (2001)[1] los elementos básicos en los cuales los productores basan sus decisiones para alcanzar estos objetivos son las opciones y restricciones con las que se enfrentan, las cuales se dan a dos niveles: a) en el hogar, en relación a su posición y acceso a bienes y recursos y b) fuera del hogar, en relación a las condiciones del medio ambiente externo, donde juegan un papel preponderante las políticas públicas.
El medio rural en el estado, por tanto, no es un ambiente estático, su dinamismo se refleja en el cambio de uso del suelo que es una actividad frecuente y se relaciona con la pérdida y disminución de la cobertura forestal. Según Vaca et al. (2012) en el estado se perdieron 2027 km2 en el periodo 1990-2007, lo que equivale al 5.4% de la superficie inicial de bosques. Por otra parte, la degradación forestal definida como el paso de bosques conservados (cobertura > 30%) a bosques degradados (cobertura entre 10-30%), ascendió a 7693 km2durante el periodo 1990-2009, de acuerdo con Paz et al. (2010)[2].
Como consecuencia de este dinamismo, según el IEGEI (Inventario Estatal de Gases de Efecto Invernadero), para el año 2005 el sector USCUSyS (Uso del Suelo, Cambio de Uso del Suelo y Silvicultura) contribuyó con el 57% de las emisiones totales de GEI (gases de efecto invernadero; 28 161.08 Gg CO2e), siendo la principal fuente de emisiones, seguido del sector agropecuario, con el 19%. En conjunto, las actividades desarrolladas en el sector rural suponen un 76% del total de emisiones, correspondiendo el 24% restante a los sectores de energía, residuos y procesos industriales (PACCCH, 2012). La tendencia actual las emisiones del sector agrícola indica que se incrementarán en los próximos años a una tasa del 25-35 % anual (Jiménez et al., 2010)[3]. Estos datos nos dan una idea de la importancia de la planeación de estrategias encaminadas a establecer economías bajas en carbono en el sector rural chiapaneco.
La deforestación implica emisiones considerables de CO2 producto de la combustión y descomposición de la biomasa vegetal, así como de la pérdida de carbono orgánico de los suelos (COS). En Chiapas, las emisiones procedentes del suelo son más o menos similares a las de la biomasa viva, aunque la tasa de recuperación de éstos es muy lenta en comparación con la regeneración de la biomasa viva en la vegetación (de Jong et al. (2000), citados por Covaleda et al., 2013).
De acuerdo a la discusión previa, este trabajo está orientado a mostrar cuales han sido los principales procesos de cambio de uso del suelo en el estado de Chiapas, sus impactos en cuanto al carbono edáfico y los efectos sobre algunas variables e indicadores socio-económicos. Además, se presentan propuestas de políticas públicas encaminadas a conservar o incrementar el carbono en los suelos junto con los impactos socio-económicos asociados.
MATERIALES Y MÉTODOS:
Área de estudio
El área de estudio abarca todo el estado de Chiapas, el cual posee una extensión de 73 311 km2 y está cubierto por bosques y selvas en aproximadamente un 50%, según la Serie V (año base 2011) del mapa de Uso del Suelo y Vegetación de INEGI (Instituto Nacional de Estadística, Geografía e Informática).
La regionalización ecológico-fisiográfica del estado para entender los procesos de cambio de uso del suelo regionales en Chiapas basada en varias clasificaciones (ecorregiones tipo 1, regiones fisiográficas, regiones económicas y regiones culturales), la cual fue modificada para adaptarse a los límites municipales fue propuesta por Paz et al. (2012)[4]. Esta regionalización fue utilizada como base para generar modelos de dinámica de carbono (Figura 1)

Análisis del cambio de uso del suelo
El análisis del cambio de uso del suelo en Chiapas se realizó con la información reportada en las dos últimas series del Mapa de Uso del Suelo y Vegetación (USV; escala 1:250 000) del INEGI: Serie IV con año base 2007 (INEGI, 2010b) y Serie V con año base 2011(INEGI, 2013). Esta misma información (Mapa USV de INEGI) ha sido empleada en la propuesta del nivel de referencia nacional de emisiones forestales (CONAFOR, 2015).
Las categorías de vegetación y uso del suelo utilizadas en las series de este mapa fueron agrupadas y reclasificadas en seis clases generales (Figura 2), con el fin de evaluar la deforestación y degradación forestal en el estado : a) Bosque: incluye todas las clases de bosques y selvas en estado primario; b) Bosque degradado: incluye todas las clases de bosques y selvas en estado de sucesión secundario (estrato herbáceo, arbustivo y arbóreo); c) No bosque 1: incluye todas las clases de agricultura; d) No bosque 2: incluye todas las clases de pastizal; e) No bosque 3: asentamientos humanos, zonas urbanas, áreas desprovistas de vegetación y áreas sin vegetación aparente.; f) Otra vegetación: incluye aquellas clases de vegetación que no corresponden a bosques ni selvas. Los datos de superficie de cambio de uso del suelo se obtuvieron tras el traslape de la información de las series de INEGI (Figura 2). Las clases de cambio analizadas fueron: a) Deforestación por agricultura: cambio de las categorías de Bosque y Bosque degradado a No bosque 1; b) Deforestación por ganadería: cambio de las categorías de Bosque y Bosque degradado a No bosque 2 y c) Degradación forestal: cambio de la categoría de Bosque a Bosque degradado.

Modelos de dinámica de cambio de uso del suelo en Chiapas
En el estado de Chiapas se desarrollaron modelos de dinámica de uso del suelo asociados a carbono, tomando la base conceptual de los modelos de estados y transiciones (Westoby et al., 1989). Los almacenes de carbono considerados fueron la biomasa aérea y el carbono orgánico del suelo (hasta 30 cm de profundidad).
Los modelos de estados y transiciones (METs) se componen de tres elementos básicos: los estados, las transiciones y los umbrales. Cada estado representa un tipo de vegetación/estado sucesional/uso del suelo característico en el área de estudio (denominaciones locales de los usos del suelo), expresado por un conjunto específico de comunidades vegetales (Stringham et al., 2001). Las transiciones, por su parte, se refieren a trayectorias de cambio, que tienen su origen en perturbaciones naturales o antrópicas (acciones de manejo) con capacidad para degradar la integridad de uno o más de los procesos ecológicos primarios responsables del mantenimiento del equilibrio en el estado. Las transiciones pueden ser reversibles o irreversibles, cuando se cruza un umbral. Por último, los umbrales señalan puntos en el espacio y tiempo que indican que se ha sobrepasado la capacidad de “auto-reparación” y, en ausencia de restauración activa, se forma un nuevo estado y también un nuevo umbral.
Los METs se desarrollaron con el objetivo de servir como herramientas sencillas de planeación que permitan conocer los impactos que tiene sobre los servicios ecosistémicos (SE) y variables socio-económicas, el pasar de un estado inicial “A” a otro “B”. La transición entre estados, por tanto, en el caso del carbono, suponen el mejoramiento o no de los almacenes de carbono del sistema y, además, permiten evaluar los costos e impactos socio-económicos asociados al paso de un estado a otro (Figura 3).

Los procesos de generación y parametrización de los METs para Chiapas se encuentran documentados en algunas publicaciones (Paz, 2009, datos inéditos; Covaleda, 2010[5]; Covaleda et al., 2012a y b; Paz et al., 20124), donde se detallan los procesos de generación y parametrización.
En Chiapas se elaboraron ocho METs regionales, además de un MET genérico simplificado (Figura 4). La primera versión de estos modelos fue desarrollada por Paz (2009) datos inéditos y Covaleda (2010)5y una segunda versión fue presentada en Paz et al. (2012)4. En este último caso, los modelos se enfocaron a la generación de escenarios de mitigación potenciales asociados a la implementación de actividades REDD+ (reducción de emisiones por deforestación y degradación forestal, incremento de los almacenes de carbono, conservación y manejo forestal sustentable) y RETUS (reducción de emisiones en todos los usos del suelo).
Los estados identificados en el MET genérico construido para Chiapas contienen cada uno información de los almacenes de carbono de la biomasa aérea y suelo. Considerando la información disponible en cuanto a los contenidos de carbono en los ecosistemas identificados, se asignaron valores promedio de carbono a cada almacén de cada estado, como se presenta en el Cuadro 1. Dada la variabilidad intrínseca del carbono contenido en algunos ecosistemas y, también, a la escasez de datos disponibles para otros, las desviaciones estándar en ocasiones resultaron altas. Posteriormente se utilizó una matriz para calcular los cambios en los contenidos de carbono de la biomasa aérea y el suelo a consecuencia de la transición de un estado a otro. Puesto que no todas las transiciones entre estados son posibles, se señalaron en rosa las transiciones prohibidas. En el Cuadro 2 se presenta la matriz elaborada para la biomasa aérea, esta matriz indica, por ejemplo, que si se corta el bosque de referencia para transformarlo en un terreno agrícola se perderían 132.5 Mg C ha-1 en la biomasa aérea. En el Cuadro 2 los valores positivos señalan ganancias de carbono y los valores negativos pérdidas.
Estados: Cuadros (tipos de vegetación/usos del suelo); Transiciones (letras verdes): l: extracción de leña; m: extracción de madera; rc: recuperación; mf: manejo forestal; rtq: roza-tumba-quema; rt: roza-tumba; rq: roza-quema; r: roza; a: abandono; d: descanso; ed: eliminación del descanso; pc: plantación de café; pav: plantación de árboles de valor. Dirección de la transición (flechas): rojo: deforestación; rosa: degradación; morado: incremento de los almacenes de carbono; verde: manejo forestal sustentable; azul: conservación. Umbrales: Líneas rojas discontinuas

Estados: Cuadros (tipos de vegetación/usos del suelo); Transiciones (letras verdes): l: extracción de leña; m: extracción de madera; rc: recuperación; mf: manejo forestal; rtq: roza-tumba-quema; rt: roza-tumba; rq: roza-quema; r: roza; a: abandono; d: descanso; ed: eliminación del descanso; pc: plantación de café; pav: plantación de árboles de valor. Dirección de la transición (flechas): rojo: deforestación; rosa: degradación; morado: incremento de los almacenes de carbono; verde: manejo forestal sustentable; azul: conservación. Umbrales: Líneas rojas discontinuas

Para llevar a cabo el cálculo de las tasas de cambio anual entre almacenes primero se determinaron los tiempos de paso de un estado a otro (en años) y después, operando las matrices de los Cuadros 2 y 3 se obtuvo la tasa de cambio anual.
Los tiempos de paso para la biomasa aérea se presentan en el Cuadro 3 y el Cuadro 4 permite saber cuál va a ser la pérdida o ganancia media anual de carbono durante la transición de un estado a otro.
El Cuadro 3 indica, por ejemplo, que un potrero tras ser abandonado, tardará 10 años en convertirse en un acahual arbóreo. Por último, de acuerdo a la matriz del Cuadro 4, por ejemplo, en el caso de un terreno utilizado para la producción agrícola de manera permanente, el establecimiento de una plantación forestal supondría una ganancia de 2.4 Mg C ha-1 anuales, durante 20 años.



Los METs, por tanto, son genéricos e independientes de decisiones tomadas a una escala local particular. Estos modelos son herramientas que permiten transformar las decisiones de ordenamiento territorial en balances de carbono de los almacenes y tienen la ventaja de que pueden ser instrumentados en forma de niveles agregados (municipios, microcuencas, subcuencas, etc.), generando información rápida para evaluar para tomar decisiones relacionadas con los usos del suelo en una escala menor.
Este tipo de modelos puede utilizarse para el manejo de los bosques, ya que permiten evaluar el impacto de estrategias y decisiones en relación a los recursos naturales basándose en diferentes consideraciones como, por ejemplo, su papel como sumidero (captura) o fuente (liberación) de carbono, por ello, al definirse las trayectorias de manejo, es posible estimar las variaciones en los almacenes de carbono asociados a los cambios de un estado a otro y evaluar los costos asociados (Paz et al., 20124; Covaleda et al., 2012a, b; Reyes et al., 2012).
Es importante tener en cuenta que los METs representan un número finito de estados posibles, que no son todos los que existen en una determinada región; sin embargo, con el apoyo de información cartográfica es posible determinar la relevancia espacial de cada estado existente y con la información de carbono, su importancia en cuanto a reducción de emisiones/captura de carbono. Además, con estas herramientas se puede valorar la consideración de usos del suelo o prácticas de manejo poco representadas en un momento determinado, o no existentes, pero con gran potencial de mitigación. Por tanto, los METs son capaces de incorporar actividades que entrarían en los mecanismos REDD+ (Reducción de Emisiones por Deforestación y Degradación Forestal), proponer prácticas de manejo que eviten la degradación de los ecosistemas forestales y mantengan o incrementen los almacenes de carbono en otras actividades productivas (agricultura, ganadería, etc.). Estos modelos, por otra parte, pueden proporcionar retroalimentación adecuada y oportuna a los diseñadores de políticas sobre la efectividad de las estrategias REDD+ para controlar los factores que promueven la deforestación y degradación de los bosques (Covaleda et al., 2012b). La consideración de mapear todas las actividades productivas o de conservación, incluyendo eventos climáticos o de otro tipo, en términos de carbono, permite instrumentar planes de ordenamiento territorial armonizados a escalas superiores y vinculantes (municipio, subcuenca, estado).
Para los METs regionales de Chiapas, los datos de carbono empleados en la construcción de los modelos provienen de la mejor información científica disponible, incluyendo los datos de los inventarios forestales nacionales, inventario estatal de gases de efecto invernadero (PACCCH, 2012) y de investigaciones desarrolladas a nivel local, parte de las cuales corresponden a tesis e informes técnicos (Covaleda et al., 2013); de la Piedra (1997)[6]; INE-SEMARNAP (1998); INE-SEMARNAP (1999a); INE-SEMARNAP (1999b); INE-SEMARNAP (2000);Mendoza et al. (2003);Peeters et al. (2003); Roncal et al. (2008); Soto-Pinto et al. (2010); Vargas et al. (2011); Covaleda et al. (2013), analizan la parametrización de los METs en Chiapas y la estimación de sus incertidumbres.
Los datos de carbono se asociaron con los estados iniciales y finales de los METs que, además, incluyen información sobre el tiempo de paso entre estados. Sin embargo, para modelar la dinámica del carbono en términos anuales fue necesario expandir el uso de los METs. Así, considerando la información disponible, se utilizó un modelo de crecimiento sigmoide asimétrico (Yin et al., 2003; Paz et al., 2015):
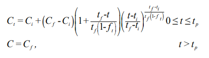
(1)donde: C es carbono (biomasa aérea o suelo), ti es el tiempo de inicio de la transición, tp es el tiempo de paso y el tiempo final está dado por tf = ti + tp. Las restricciones de la Ecuación 1 son: Cf > Ci y ti ≤ fttf < tf ó 0 ≤ ft < 1. El parámetro ft = tm/(tf-ti) define la posición de tm en relación a tp (= tf – ti). La ventaja del modelo asimétrico es que, dados ti y tf o ti y tp, solo requiere de un parámetro (ft) para ser parametrizado por completo. En el caso de la dinámica del carbono orgánico del suelo (COS), a diferencia de la biomasa aérea, el modelo es de decrecimiento (pérdida de COS) para la transición de bosque a vegetación herbácea, donde esto solo implica un cambio de signo para ft. Para el caso del COS, Paz et al. (2015) justificaron el uso de ft = 1.
La parametrización definida por la Ecuación 1 permite el seguimiento temporal de actividades o METs compuestos (estados que implican la realización de diferentes actividades con una dinámica temporal). La generalización de este modelo al caso de actividades múltiples es discutida por Paz y Covaleda (2015). Por ejemplo, en la Figura 5 se simula el comportamiento del sistema acahual-milpa, usando un proceso de regeneración del bosque (selva) con Bi = 0, Bf = 100 Mg C ha-1 (B = biomasa aérea viva, B = C en la relación 1), ti = 0, tp = 20 años, ft = 0.6. En el punto de partida, el bosque fue cortado (roza, tumba y quema) totalmente en el año 0 y se regeneró hasta el año 10, donde fue cortado para sembrar una milpa de maíz; la cual fue mantenida por 4 años (año 14) y en el año 15 se restableció el acahual que fue mantenido por 15 años y después se volvió a convertir a milpa (año 31) y permaneció así por 4 años, para ser abandonada finalmente (año 35), permitiendo que la vegetación se regenerara a su condición inicial después de 20 años (año 54).

En la Figura 6 se muestra otro ejemplo, en el que se utilizan los mismos parámetros empleados para el bosque en la Figura 5. El proceso inició en el año 0 cuando el bosque tenía una biomasa de 50 Mg C ha-1 y se dejó crecer por 10 años (biomasa = 69.9 Mg C ha-1). En el año 11 se realizó una extracción de biomasa del 20%, en el año 12 una del 10% y, finalmente, en el año 13 se extrajo un 10% adicional (los porcentajes de extracción hacen referencia a la biomasa en el año 10). A partir del año 14, se permitió la regeneración del bosque por 20 años (año 33) y después fue cortado totalmente para establecer una milpa que se mantuvo por 7 años, hasta su abandono en el año 41 para que el bosque se regenerara y pasara a bosque secundario.

El caso que se presenta en la Figura 6 tiene el problema de que al usarse la Ecuación 1 en forma directa, se supone que la biomasa inicial (Bi) en cualquier tiempo del crecimiento está en estado estacionario. Para evitar esta situación, es necesario reajustar los tiempos iniciales (ti) con el fin de que puedan reflejar adecuadamente el estado previo del crecimiento. Así, para el año 0 el tiempo asociado a B = 50 Mg C h-1 es 11.3 años y para B = 64.8 Mg C ha-1 (remanente después de las extracciones después del ajuste al crecimiento inicial antes de las extracciones) es 13.1 años. La Figura 7 muestra los resultados después de los ajustes mencionados.

El problema de los ajustes se resuelve fácilmente si se considera como requisito en la parametrización del modelo, además de la definición del estado inicial, el saber cuánto tiempo ha permanecido en ese estado. Este tiempo de permanencia en el estado inicial previo a la transición al estado final define ti y con este valor se estima Bi en el año 0. Así, bajo esta consideración tenemos que tf = tp en la Ecuación 1.
Para poder analizar los costos de oportunidad en términos de carbono, se estimó el carbono en un periodo de 30 años y se determinó su promedio (White y Minang, 2011). Los costos e ingresos asociados a los cambios de actividades de los METs fueron evaluados usando proformas de proyectos para la parte económico-financiera. La Figura 8 muestra un ejemplo de los costos e ingresos anuales de un estado de un MET, en este caso la palma africana.

Finalmente, los beneficios (ingresos – costos) fueron evaluados a valor presente para estimar las utilidades y poder compararlos con los valores promedio de 30 años de la dinámica del carbono. La percepción de subsidios para realizar actividades fue evaluada, para analizar su impacto.
Para poder identificar el tipo de cambio que se produce entre un estado inicial y otro final, las transiciones entre estados fueron clasificadas en función de distintos aspectos: a) El tipo de actividad, práctica y manejo a implementarse, también se diferenciaron las actividades REDD+ y el componente de REDD+ con el que se asocia cada transición; b) Los valores de algunos indicadores socio-económicos. En una versión más actualizada de algunos de los METs regionales desarrollados, Covaleda (2014)[7] ampliaron la capacidad analítica de los modelos incorporando 80 variables diferentes para evaluar los impactos de la transición entre los distintos estados, de tal forma que se pueden discriminar de manera más efectiva las transiciones más adecuadas de acuerdo a los objetivos planteados.
Homologación de clases de uso del suelo
Los METs son representativos de los usos del suelo a la escala local, de modo que, las clases que éstos utilizan en las evaluaciones no necesariamente coinciden con las clases que se reportan en fuentes generadas a otras escalas (municipal, nacional, cuencas, entre otras), como las clases empleadas en las series de INEGI.
Para la estimación de los impactos relacionados con el carbono edáfico que son provocados por el cambio de uso del suelo o prácticas de manejo a nivel regional, fue necesario contar con información de las superficies asociadas a los diferentes usos del suelo (INEGI, 2010b,2013), homologadas a las clases o estados de los modelos de carbono desarrollados (METs) por lo que se realizó un proceso de homologación de clases (Paz et al., 2012)4.
El problema del ejercicio de homologación fue que a una misma clase del INEGI le correspondieron más de una clase de los METs, es decir, se presenta un problema típico de asignación de “uno a muchos”, por lo que la estimación de carbono en las categorías del INEGI (originales o agregadas) produjeron un amplio rango de valores, dependientes de las actividades específicas a nivel local (Paz, 2015).
Análisis del impacto sobre el carbono edáfico y variables socio-económicas en las principales transiciones detectadas en Chiapas entre 2007 y 2011
La sobreposición de la información de las series de INEGI permitió identificar cuáles han sido los principales procesos de cambio de uso del suelo en cada región del estado Los procesos de cambio identificados son: deforestación por agricultura, deforestación por ganadería y degradación forestal.
La selección de zonas para el análisis se realizó bajo el criterio del proceso que más afectó al contenido de carbono edáfico y a las variables socio-económicas asociadas a las transiciones correspondientes.
Propuesta de políticas públicas
Los METs, además de aportar información sobre el impacto de las transiciones asociadas con los cambios de uso del suelo que se han producido en un determinado periodo temporal incluyen, entre sus estados, usos del suelo y prácticas de manejo sustentables con potencial para implementarse en cada región.
Las principales dinámicas de deforestación y degradación forestal identificadas conllevan la transformación de un estado inicial a otro final, caracterizado por contener menos carbono. Los METs permiten identificar transiciones desde estos nuevos estados hacia otros que contribuyan a frenar las dinámicas detectadas, acumulen más carbono y tengan impactos socio-económicos positivos.
RESULTADOS Y DISCUSIÓN
Principales cambios de uso del suelo en las regiones de Chiapas
En el Cuadro 5 se presentan los cambios de uso del suelo detectados en cada una de las regiones de Chiapas, tras el análisis cartográfico, tanto en términos de superficie como en términos relativos.
Como se observa en el Cuadro 5, en términos de superficie, la región donde se ha producido la mayor deforestación y degradación forestal es la Selva Maya, donde se ubica la Selva Lacandona. En términos relativos, sin embargo, la región donde se ha presentado la mayor deforestación por agricultura es en Los Altos, la mayor deforestación por ganadería se detecta en la Selva Maya y la mayor degradación forestal en la región Sierra Madre.

Impactos sobre el carbono edáfico y variables socio-económicas
Las transiciones consideradas en este estudio fueron aquellas que representaron los mayores cambios detectados en términos relativos en el análisis de cambio de uso del suelo, es decir: a) Deforestación por ganadería en la Selva Maya; b) Deforestación por agricultura en Los Altos; c) Degradación forestal en la Sierra Madre.
En el Cuadro 6 se presentan las clases de vegetación que fueron deforestadas y degradadas, según la nomenclatura de INEGI, la correspondencia de dichas clases con los estados de los METs y la superficie afectada por el cambio de uso del suelo entre 2007 y 2011.

Como se observa en el Cuadro 6, en la región de Los Altos, la vegetación secundaria arbustiva de distintos tipos de bosque templado (bosque mesófilo, de pino, pino-encino y encino), que equivale en los METs al estado de acahual arbustivo templado, es la principal afectada por la deforestación para fines agrícolas. Este tipo de vegetación es transformada en cultivos anuales (clase TA, según la nomenclatura de INEGI), la cual equivale a varios estados de los METs, que representan diferentes tipos de cultivo y manejo, que son actividades locales específicas de los usos del suelo. La deforestación normalmente se produce hacia prácticas productivas convencionales (INE-SEMARNAP y Ghionas, 2010) y, en la región, los sistemas de milpa itinerante (AI-MF-templ) y milpa permanente (AP‑MF) son los tradicionalmente utilizados, muchas veces en laderas con fuertes pendientes, lo que favorece la degradación del suelo.
El uso de los METs permite conocer el impacto de la transición de un acahual templado arbustivo a los sistemas de AI-MF-templ y AP-MF en cuanto al carbono y los costos de oportunidad asociados.
El Cuadro 7 muestra las transiciones que resultan en pérdidas de carbono edáfico, siendo el cultivo permanente de la milpa el que, a largo plazo supone un mayor impacto. El establecimiento de una milpa permanente bajo los sistemas de manejo actuales (escasa utilización de insumos, ausencia de obras de conservación de suelos que eviten la pérdida de fertilidad edáfica), hacen que la producción vaya disminuyendo paulatinamente hasta que, en ocasiones, deja de ser no solo redituable, sino hasta insuficiente para cubrir las necesidades de autoconsumo (Ramos et al., 2009). Únicamente se cuenta con datos de costos de oportunidad para el caso de la transición hacia AI-MF-templ, los cuales no son muy elevados (3.9 US Mg CO2).

La agricultura de subsistencia (sobre todo maíz o combinaciones maíz-frijol, maíz-frijol-calabaza) en la región de Los Altos, juega un papel clave entre las estrategias de vida de los productores. La técnica habitual es la roza-tumba-quema (práctica muy extendida en todo Chiapas), la cual, afecta principalmente a la vegetación arbustiva debido a que los terrenos, tras ser cultivados durante algunos años (dependiendo de la fertilidad del suelo), se dejan descansar durante un periodo, el cual dura más o menos en función de la disponibilidad de tierra por parte de los productores. Actualmente la degradación de los suelos y la presión demográfica no hacen posible que los periodos de descanso sean muy largos, permitiendo únicamente a la vegetación alcanzar estados arbustivos antes de ser sometida a un nuevo periodo de cultivo.
La deforestación por ganadería en la Selva ha afectado principalmente a estados secundarios de selva alta perennifolia, tanto arbóreos como arbustivos, los cuales equivalen, en los METs a los estados de acahual arbóreo tropical húmedo y selva alta perennifolia degradada por extracción de leña y acahual arbustivo tropical húmedo, los cuales han sido transformados en pastizales cultivados principalmente (Cuadro 6). Esta dinámica ocasiona una disminución en el carbono edáfico a largo plazo, en diferente magnitud según sea el ecosistema original, estando asociadas las mayores pérdidas a la deforestación de acahuales arbóreos de selva alta perennifolia, aunque los costos de oportunidad son mayores para el caso del cambio de uso del suelo de áreas utilizadas con fines económicos, como la extracción de leña (Cuadro 7).
La ganadería extensiva en la región Selva es una actividad muy extendida que tiene sus orígenes en el proceso de colonización de la Selva (de Jong et al., 2000). Adicionalmente, los determinantes identificados que se relacionan con la expansión esta actividad son la cultura de ahorro a través del ganado, asociada con la dificultad de acceso a otras formas de ahorro y a crédito para realizar otras actividades productivas. Además de la existencia de un mercado ganadero bien establecido en la región (Covaleda et al., 2014)[8].
La degradación forestal en la región Sierra Madre, afecta principalmente al bosque de pino-encino (Cuadro 7) que se ha transformado en vegetación secundaria arbórea de bosque de pino-encino (según la nomenclatura de INEGI), la cual, en los METs, equivale a los estados de: bosque de pino-encino degradado por leña, bosque de pino-encino degradado por extracción no regulada de madera y acahual arbóreo templado.
Los bosques de pino-encino, en todo Chiapas, son utilizados como fuentes para la obtención de leña y madera para construcción local, en el primer caso las especies sometidas a extracción son las de encino y, en el segundo, las de pino. En muchas áreas la presión se ejerce principalmente sobre los mismos bosques secundarios, debido a que la superficie de bosque conservado ha disminuido considerablemente, debido a ello, el análisis de los mapas de INEGI no detecta adecuadamente la magnitud de esta dinámica en el estado (Covaleda et al., 2014)8.
La transición de un bosque conservado de pino-encino a un estado degradado implica la extracción de biomasa del mismo y, por tanto, de carbono, este proceso tiene también impactos sobre el carbono edáfico que disminuye a largo plazo (Cuadro 7), debido al menor aporte de material vegetal de los árboles, así como a la propia apertura de caminos asociada a los procesos de extracción. En cuanto a los costos de oportunidad, la venta de madera de pino resulta más redituable que la extracción de leña, aunque la extracción de madera comercializable de un bosque suele llevarse a cabo en pocos años, tras lo cual el bosque pierde su valor (por haberse extraído los mejores ejemplares).
Propuesta de políticas públicas de acuerdo con las opciones de los METs
Las actividades que se proponen para revertir o mitigar las dinámicas de cambio de uso del suelo detectadas en Chiapas parten de la información asociada a los METs, de tal forma que, el abanico de opciones en cuanto a actividades y prácticas sustentables deberá ir ampliándose conforme haya mayor información disponible. Considerando la información existente en este momento, las actividades propuestas se presentan en el Cuadro 8, el cual muestra el impacto de las transiciones sobre el COS, los costos de oportunidad y la diferencia entre los jornales necesarios para la actividad inicial y final (necesidad de empleo).
Deforestación por agricultura: Los Altos. La necesidad continua de abrir nuevos espacios para el cultivo agrícola de subsistencia genera esta dinámica, por ello, se propone como medida la sedentarización de la milpa, lo cual evita la degradación de suelos y permite, además, que los productores obtengan una producción sostenida en el tiempo y más diversificada, de tal forma que puedan asegurar o mejorar su seguridad alimentaria.

Teniendo en cuenta los estados de los METs, las prácticas mejoradas a considerar serían: la labranza de conservación (LC), el maíz de riego (AR) y el maíz intercalado con árboles frutales (MIAF). Estos sistemas ya han sido utilizados para generar escenarios de mitigación en el sector agrícola en Chiapas (Ranero et al., 2013)[9].
El Cuadro 8 muestra que los tres sistemas de manejo evaluados permiten incrementar el carbono edáfico, siendo el más efectivo en el MIAF, el cual, además podría tener impactos positivos en la creación de empleo localmente. Los costos de oportunidad son, en los tres casos, negativos, lo que significa que estas actividades podrían impulsarse únicamente con una reorientación de las políticas públicas existentes, sin costo adicional. Aunque, hay que tener en cuenta, que la agricultura de riego no es accesible para todos los productores, quedando restringida a áreas cercanas a ríos, con suficiente disponibilidad de agua.
Deforestación por ganadería: Selva. En la región Selva, la ganadería se practica de manera extensiva, es decir se utiliza mucha superficie para pocas cabezas de ganado. Por ello, en este caso el objetivo es la intensificación de la actividad ganadera, de tal forma que pueda liberarse espacio para la regeneración forestal. Entre los estados de los METs relacionados con la ganadería se incluyen las prácticas mejoradas de pastizal con árboles y pastizales con cercos vivos.
La incorporación de árboles a los sistemas ganaderos tiene un impacto positivo sobre los almacenes de carbono ya que, además de incorporar el almacén de biomasa arbórea, el carbono orgánico del suelo resulta favorecido al recibir mayores aportes de materia orgánica. En el Cuadro 8 se puede observar que las prácticas mejoradas analizadas permiten incrementar el almacén de carbono edáfico a largo plazo, de manera particular el sistema PA-troph. Al igual que en el caso anterior, los costos de oportunidad de implementar las actividades propuestas resultaron ser negativos.
Degradación forestal: Sierra. El destino de los bosques degradados suele ser la deforestación, una vez que son extraídos los ejemplares de interés. Este proceso, por tanto, puede conducir a mayores pérdidas en el carbono edáfico.
Las políticas que pretendan recuperar los bosques degradados pueden favorecer su protección e incluso llevar a cabo plantaciones de enriquecimiento con especies nativas. Además de los beneficios para el carbono edáfico, suponen beneficios económicos a largo plazo si se aplican esquemas de pago por servicios ambientales.
Otra estrategia podría ser el evitar la degradación de los bosques primarios, bien conservándolos o bien facilitando su aprovechamiento regulado mediante programas de manejo forestal. El aprovechamiento forestal bajo un plan de manejo, aunque pueda no tener impactos positivos sobre el carbono edáfico si permite limitar los impactos negativos del aprovechamiento forestal sobre el suelo al focalizar las áreas de apertura de caminos y vías de saca, además, permite la obtención de beneficios económicos por el aprovechamiento maderable del bosque y la generación de empleo localmente (Cuadro 8).
Adicionalmente, el fomento de las plantaciones forestales comerciales y dendroenergéticas pueden contribuir a aliviar la presión sobre los bosques y, su establecimiento en áreas degradadas trae aparejado, además, el incremento de los almacenes de carbono, con costos de oportunidad negativos (Cuadro 8).
CONCLUSIONES
En Chiapas existen en la actualidad procesos activos de cambio de uso del suelo, destacándose la deforestación de bosques secundarios templados para establecer parcelas agrícolas de subsistencia (milpa) en los Altos, la deforestación de vegetación secundaria de selva alta perennifolia por ganadería extensiva en la Selva y la degradación forestal de bosques de pino-encino en la Sierra Madre. El impacto de estos cambios sobre el carbono edáfico dependerá del tipo de vegetación inicial y del uso final del suelo, como indican los Modelos de Estados y Transiciones utilizados, los cuales permiten, además, conocer los costos de oportunidad de las posibles transiciones.
Con estos modelos es posible planificar actividades REDD+, de manera particular, y relacionadas con la mitigación de emisiones en el sector AFOLU, de manera general, permitiendo evaluar el impacto de distintas acciones en términos de carbono y también en términos socio-económicos, ya que las transiciones pueden etiquetarse en función de diferentes indicadores que permitan analizar distintos aspectos para diferentes objetivos de planificación, o plantear distintas perspectivas (desde el punto de vista de los intereses de los productores, de los tomadores de decisiones, etc.). Los sistemas propuestos como alternativa sustentable fueron: la labranza de conservación y el MIAF (maíz intercalado con árboles frutales) en Los Altos, sistemas silvopastoriles en La Selva y protección de bosques secundarios, bosques con plan de manejo forestal y plantaciones forestales en La Sierra. En una versión más actual de algunos de los modelos regionales de Chiapas se utilizaron hasta 80 indicadores para evaluar actividades.
En una visión más amplia, los METs pueden asociarse a información relacionada con otros Servicios Ecosistémicos (SE), además del carbono, para evaluaciones más integrales. Sin embargo, el problema es, muchas veces, la falta de información asociada a SE para distintos tipos de vegetación y, sobre todo, usos del suelo (más aun actividades sustentables).
Agradecimientos
Los autores agradecen a Ma. Isabel Marín el apoyo brindado con el análisis cartográfico de las series del mapa de INEGI y, al Programa Mexicano del Carbono y Conservation International México A.C., por el financiamiento para el desarrollo de los modelos y su contribución a la difusión de estos trabajos.
LITERATURA CITADA
Covaleda, S., F. Paz y B. de Jong. 2012a. Modelo genérico de estados y transiciones para los cambios en los almacenes de carbono en ecosistemas templados de Chiapas. pp. 356-363. In: F. Paz y R. Cuevas (eds.). Estado actual del conocimiento del ciclo del carbono y sus interacciones en México: Síntesis a 2011. Serie Síntesis Nacionales. Programa Mexicano del Carbono en colaboración con la Universidad Autónoma del Estado de México y el Instituto Nacional de Ecología. Texcoco, México.
Covaleda, S., F. Paz y B. de Jong. 2012b. Modelos de estados y transiciones: una herramienta para la planificación de estrategias REDD+. pp. 773-739. In: F. Paz y R. Cuevas (eds.). Estado actual del conocimiento del ciclo del carbono y sus interacciones en México: Síntesis a 2011. Serie Síntesis Nacionales. Programa Mexicano del Carbono en colaboración con la Universidad Autónoma del Estado de México y el Instituto Nacional de Ecología. Texcoco, México.
Covaleda, C., F. Paz y B. de Jong. 2013. Parametrización de modelos de estados y transiciones para el carbono y caracterización de la incertidumbre. pp. 85-91. In: F. Paz, M. Bazan y V. Saynes (eds.). Dinámica del carbono en el suelo 2012. Serie Avances Temáticos del Ciclo del Carbono y sus Interacciones. Programa Mexicano del Carbono en colaboración con la Sociedad Mexicana de Ciencias del Suelo. Texcoco, México.
de Jong, B. H. J., S. Ochoa, M. A. Castillo, N. Ramírez, and M. A. Cairns. 2000. Carbon flux and patterns of land use land cover change in the Selva Lacandona. Ambio 29: 504-511.
Gudynas, E. y S. Ghionas. 2010. Agricultura y ganadería, biodiversidad, cambio climático: Estrechamente vinculados. LEISA Rev. Agroecol. 26: 40-43.
INEGI (Instituto Nacional de Estadística y Geografía). 2010a. Censo de población y vivienda 2010. Aguascalientes, México.
INEGI (Instituto Nacional de Estadística y Geografía). 2010b. Conjunto de datos vectoriales de la carta de uso de suelos y vegetación escala 1:250,000 Serie IV. Aguascalientes, México.
INEGI (Instituto Nacional de Estadística y Geografía). 2013. Conjunto de datos vectoriales de la carta de uso de suelos y vegetación escala 1:250,000 Serie V. Aguascalientes, México.
INEGI (Instituto Nacional de Estadística y Geografía). 2015. PIB-entidad federativa, anual. Por actividad económica en valores corrientes 2013. Aguascalientes, México. http://www.inegi.org.mx/est/contenidos/proyectos/cn/pibe/default.aspx (Consulta: mayo 12, 2015).
INE-SEMARNAP (Instituto Nacional de Ecología-Secretaría de Medio Ambiente y Recursos Naturales).1998. Programa de manejo de la reserva de la biósfera El Triunfo. México D. F.
INE-SEMARNAP (Instituto Nacional de Ecología-Secretaría de Medio Ambiente y Recursos Naturales).1999a. Programa de manejo de la reserva de la biósfera La Sepultura. México D.F.
INE-SEMARNAP (Instituto Nacional de Ecología-Secretaría de Medio Ambiente y Recursos Naturales).1999b. Programa de manejo de la reserva de la biósfera La Encrucijada. México D. F.
INE-SEMARNAP (Instituto Nacional de Ecología-Secretaría de Medio Ambiente y Recursos Naturales). 2000. Programa de manejo de la reserva de la biósfera Montes Azules. México D. F.
Mendoza, J., E. Karltum, and M. Olsson. 2003. Estimations of amounts of soil organic carbon and fine root carbon in land use and land cover classes, and soil types of Chiapas highlands, Mexico. For. Ecol. Manage. 177: 191-206.
Paz, F. 2015. ¿Es suficiente evaluar “datos de actividad × factores de emisión = emisiones” en mecanismos tipo REDD+ o RETUS. pp. 526-532. In: F. Paz y J. Wong (eds.). Estado actual del conocimiento del ciclo del carbono y sus interacciones en México: Síntesis a 2014. Serie Síntesis Nacionales. Programa Mexicano del Carbono en colaboración con el Centro de Investigaciones y Estudios Avanzados del Instituto Politécnico Nacional – Unidad Mérida y el Centro de Investigación y Asistencia en Tecnología y Diseño del estado de Jalisco. Mérida, Yucatán, México.
Paz, F. y S. Covaleda. 2015. Modelos de estados y transiciones (METs) compuestos para la modelación anual de la dinámica del carbono. pp. 541-546. In: F. Paz y J. Wong (eds.). Estado actual del conocimiento del ciclo del carbono y sus interacciones en México: Síntesis a 2014. Serie Síntesis Nacionales. Programa Mexicano del Carbono en colaboración con el Centro de Investigaciones y Estudios Avanzados del Instituto Politécnico Nacional – Unidad Mérida y el Centro de Investigación y Asistencia en Tecnología y Diseño del Estado de Jalisco. Mérida, Yucatán, México.
Paz, F., S. Covaleda y B. de Jong. 2015. Modelos de la dinámica temporal del carbono orgánico de los suelos asociada a cambios de uso del suelo en ecosistemas forestales. pp. 363-368. In: F. Paz y J. Wong (eds.). Estado actual del conocimiento del ciclo del carbono y sus interacciones en México: Síntesis a 2014. Serie Síntesis Nacionales. Programa Mexicano del Carbono en colaboración con el Centro de Investigaciones y Estudios Avanzados del Instituto Politécnico Nacional – Unidad Mérida y el Centro de Investigación y Asistencia en Tecnología y Diseño del Estado de Jalisco. Mérida, Yucatán, México.
Peeters, L. Y. K., L. Soto, H. Perales, G. Montoya, and M. Ishiki. 2003. Coffee production, timber, and firewood in traditional and Inga-shaded plantations in Southern Mexico. Agric. Ecosyst. Environ. 95: 481-493.
PACCCH (Programa de Acción Ante el Cambio Climático del Estado de Chiapas). 2012. http://www.cambioclimaticochiapas.org/portal/descargas/paccch/paccch.pdf (Consulta: febrero 5, 2015)
Ramos, P. P., M. R Parra, S. Hernández, O. Balente y J. Nahed, 2009. Estrategias de vida, sistemas agrícolas e innovación en el municipio de Oxchuc, Chiapas. Rev. Geog. Agríc. 42: 83‑106.
Reyes, M., S. Covaleda, M. J. Pérez y F. Paz. 2012. Ordenamientos territoriales e intervenciones a escala local en Chiapas en REDD+: carbono, costos de oportunidad y modelos de estados y transiciones. pp. 680-684. In: F. Paz y R. Cuevas (eds.). Estado actual del conocimiento del ciclo del carbono y sus interacciones en México: Síntesis a 2011. Serie Síntesis Nacionales. Programa Mexicano del Carbono en colaboración con la Universidad Autónoma del estado de México y el Instituto Nacional de Ecología. Texcoco, México.
Roncal, S., L. Soto, J. Castellanos, N. Ramírez y B. H. J de Jong. 2008. Sistemas agroforestales y almacenamiento de carbono en comunidades indígenas de Chiapas, México. Interciencia 33: 202-206.
Soto, P. L., M. Anzueto, J. Mendoza, G. Jiménez, and B. H. J. de Jong. 2010. Carbon sequestration through agroforestry in indigenous communities of Chiapas, Mexico. Agrofor. Syst. 78: 39-51.
Stringham, T. K., W. C. Krueger, and P. L. Shaver. 2001. States, transitions and thresholds: Further refinement for rangeland applications. Special Report 1024. Agricultural Experiment Station, Oregon State University. Corvallis, OR, USA.
Vaca, R. A., D. J. Golicher, L. Cayuela, J. Hewson, and M. Steininger. 2012. Evidence of incipient forest transition in southern Mexico. Plos ONE 7(8): e42309. doi:10.1371/journal.pone.0042309 (disponible en línea desde 8/VIII/2012).
Westoby, M., B. Walker, and I. Noy-Meir. 1989. Opportunistic management for rangelands not at equilibrium. J. Range Manage. 42: 266-274.
White, D. y P. Minang. 2011. Estimación de los costos de oportunidad de REDD+ Manual de capacitación. Versión 1.3, Banco Mundial. Washington, DC, USA.
Yin, X., J. Gourdriaan, E. A Lantinga, J. Vos, and H. J. Spiertz. 2003. A flexible sigmoid function of determinate growth. Ann. Bot. 91: 361-371.
Notas
Notas de autor