
Recepción: 15 Septiembre 2015
Aprobación: 15 Enero 2016
Resumen: Las emisiones de gases efecto invernadero asociadas al carbono orgánico del suelo (COS) son importantes para estudiar cambios en los ecosistemas terrestres. Hay modelos simples que, ofrecen la oportunidad de analizar la dinámica de las alteraciones provocadas por los cambios en el uso de suelo, la vegetación y las prácticas de manejo. En México se dispone de información del COS total y la textura del suelo. En el presente trabajo se analizan diferentes esquemas para parametrizar el modelo COLPOS, el cual se desarrolló para caracterizar la distribución del COS en fracciones físicas del suelo. El modelo considera el COS de diferentes almacenes: materia orgánica particulada (MOP, materia orgánica lábil) y complejos organominerales (MO + arena-limo-arcilla). El carbono orgánico inerte (COI), con tiempos medios de residencia de cientos a miles de años, y el tamaño de partícula asociado, permiten precisar los parámetros del modelo COLPOS y determinar las pérdidas potenciales de carbono orgánico del suelo. La validación de los métodos de parametrización del modelo COLPOS permite su implementación operativa empleando solamente la información disponible en México (COS y textura del suelo). La parametrización se desarrolló con base en los datos de experimentos de distribución del carbono asociadas al fraccionamiento físico de los suelos, después de la aplicación de dispersión ultrasónica para lograr fraccionamientos completos.
Palabras clave: modelo COLPOS, complejos organominerales, fraccionamiento físico, tamaño de partículas, materia orgánica particulada.
Abstract: Greenhouse gases emissions related to soil organic carbon (SOC) are important in the study of changes in the terrestrial ecosystems. Simple operative models offer the opportunity to analyze the dynamics of alterations induced by land use change, vegetation and management practices. There are a reasonable number of studies reporting soil texture and SOC in Mexico that can be used to operate these simple models. The present study shows various alternatives for establishing parameters of the COLPOS model. This model was constructed to characterize the distribution of SOC in the physical fractions of the soil. The COLPOS model considers SOC in different soil pools: particulate organic matter (POM, labile organic matter) and organomineral complexes (organic matter + sand-silt-clay). Inert organic carbon (IOC), with mean residence times from hundreds to thousands of years and associated particle size, allow precise definition of the COLPOS model parameters and determination of potential SOC losses. Definition of these two parameters allows implementing the COLPOS model using only information on SOC and soil texture available in Mexico. The present approach to determine COLPOS model parameters was implemented from data obtained during physical soil fractionation after ultrasonic dispersion to ensure complete fractionation of soil.
Keywords: COLPOS model, orgamineral complexes, physical fractionation, particle size, particulate organic matter.
Introducción
En términos globales, el almacén de carbono (C) total del suelo es almacén, es cuatro veces mayor que el almacén biótico (árboles, arbustos, etc.) y, alrededor de tres veces más que el almacén atmosférico (Lal, 2004). Estas cifras ponen en perspectiva la importancia del carbono orgánico del suelo (COS). El análisis y síntesis de la distribución del COS en los suelos de México, mediante el uso de bases de datos históricas, plantean retos importantes en los ejercicios orientados a su modelación (Paz et al., 2014), ya que sólo se cuenta con valores asociados al carbono orgánico total y la textura del suelo. Si bien, los inventarios nacionales de gases efecto invernadero (GEI) muestran que alrededor de un tercio de las emisiones provienen de los suelos minerales (de Jong et al., 2010), en inventarios estatales alcanza valores de la mitad de las emisiones (de Jong et al., 2010[1]), aunque las incertidumbres de estas emisiones son altas (de Jong et al., 2010). La información disponible hace muy difícil realizar mejores aproximaciones a las definidas en el nivel 2 (tier en inglés) del Panel Intergubernamental sobre Cambio Climático (IPCC, por sus siglas en inglés) de las Naciones Unidas (IPCC, 2006).
El secuestro de C en los suelos puede ser resultado, principalmente de: el incremento en las tasas de entrada de materia orgánica (MO), el decremento en las tasas de descomposición de la MO, la reducción de las tasas de pérdida de C por respiración del suelo, la translocación de la MO hasta profundidades mayores a los 10 cm y la mejora de la protección física o química de los suelos (Lal, 2004).
Para considerar el potencial de captura de C de los suelos (Lal, 2004) es importante establecer sus límites, especialmente si se considera la existencia de una capacidad, aparentemente finita, de los suelos para almacenar C orgánico (Gulde et al., 2008; Stewart et al., 2008). Carter et al. (2003) encontraron que en suelos ricos en MO y cercanos a su capacidad de saturación, definida ésta por su contenido de arcilla y limo, el carbono se acumula solo en la fracción de MOP. El conocimiento de la capacidad límite, si existe, de almacenamiento de COS permite definir el potencial de ganancias en el suelo. En el otro extremo de los límites del suelo para almacenar carbono orgánico, el carbono orgánico inerte (COI) define el límite de pérdida de COS asociado a prácticas de intervención por actividades humanas. El conocimiento de la fracción de COS disponible (la diferencia entre el COS total y el inerte) en un uso del suelo y vegetación (USV) dados (INEGI, 1997), con sus prácticas de manejo, permite definir el potencial de pérdidas en el suelo.
Los modelos de la dinámica del C del suelo permiten explicar los cambios del COS y se pueden usar en términos predictivos cuando se comprenden los procesos que se asocian a los cambios de USV y esquemas de manejo, entre otros (Lal, 2009). A este respecto, una aproximación que se usa frecuentemente, es una síntesis hecha por el IPCC, que deriva de bases de datos de múltiples experimentos internacionales. En ésta, es común el uso de factores de cambio de almacenes de C (Ogle et al., 2005) y, aunque éstos generan resultados comparables con otros modelos de la dinámica del COS (González et al., 2010), se critican por no considerar en forma explícita la transición a estados no permanentes de éste (Sanderman y Baldock, 2010).
La mayoría de los modelos de la dinámica del C orgánico en los suelos supone un incremento lineal de este elemento, al incrementarse sus entradas (Paustian et al., 1997). Estos modelos dependen de la tasa de descomposición y asimilación de carbono en el sistema suelo. En algunas situaciones, los incrementos de ingresos de C no se manifiestan por aumentos del COS, especialmente en suelos ricos en C (Paustian et al., 1997). Los modelos como el RothC (Coleman y Jenkinson, 1996), SOCRATES (Grace et al., 2006) y Century (Parton et al., 1988), usan ecuaciones cinéticas de primer orden y almacenes virtuales para caracterizar el COS que se asocia a cambios de USV y esquemas de manejo. Aunque el RothC y SOCRATES se consideran como modelos con pocas necesidades de parametrización con datos, sus requerimientos de iniciación y caracterización de cambios en el pasado complican sus aplicaciones.
Elliot y Paustian (1996) describieron un esquema para aislar almacenes significativos para su modelación a través de mediciones analíticas, lo que permite modelar lo cuantificable, a diferencia de los almacenes que se usan en los modelos actuales, que se consideran virtuales y difíciles de parametrizar con técnicas de laboratorio. Aunque se han hecho numerosos intentos para asociar los almacenes virtuales a los físicos (Buyanovsky et al., 1994; Balesdent, 1996; Zimmermann et al., 2007), éstos han sido relativamente poco exitosos. Dichos trabajos tratan de relacionar los almacenes virtuales, cinéticamente definidos, con fracciones físicas o químicas del carbono orgánico del suelo. En particular, el fraccionamiento físico del suelo en materia orgánica particulada (MOP), complejos organominerales primarios (arcilla, limo y arena) y complejos organominerales secundarios (micro-agregados y macro-agregados, entre otros) ha sido la base de estos esfuerzos de asociar cinéticas de descomposición/asimilación a las fracciones físicas del suelo (Christensen, 2001),
En este trabajo se plantea un procedimiento para parametrizar el modelo de cinética lineal simple de Paz et al. (2012a, 2013 y 2014) únicamente con el uso de información del COS total, dato disponible en forma espacialmente exhaustiva en México (Etchevers, 2013). El modelo de Paz y colaboradores se renombra en este trabajo como COLPOS (Carbono y otros elementos: componentes Organomineral, Lábil-Particulado y de Orden inerte de los Suelos).
Modelo simplificado de cinética lineal
Los desarrollos que se presentan en esta sección son con base en Paz et al. (2012a, 2013 y 2014), para el caso de complejos organominerales primarios (arena, limo y arcilla), que se obtienen después de la dispersión completa del suelo (Christensen, 2001; Chenu y Plante, 2006). Estas partículas se pueden considerar, de manera más precisa, como almacenes virtuales, debido a que las arcillas son realmente microagregados donde está secuestrada la materia orgánica, ya sea incrustada en los minerales o, en forma de recubrimientos en los mismos (Chenu y Plante, 2006). Al usar modelos de cinética lineal entre fracciones del carbono en los suelos, Stewart et al. (2008) plantean una relación entre el carbono de una fracción física del suelo (C.) y el C total (C.), ambos expresados en kilos de C por kilo de suelo:
(1)La relación (1), en cinéticas lineales, implica que la concentración de C en cualquier fracción (en términos acumulados) es función lineal de la concentración total y depende de la proporción de C de ingreso en cada fracción y sus tasas de descomposición (Stewart et al., 2008).
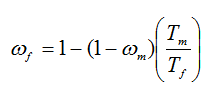
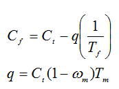
El modelo COLPOS de la distribución del C por fracciones físicas T (tamaño de las partículas), con base en balances de masa de la cinética lineal, plantea la siguiente relación para la distribución de las partículas organominerales:
(2)donde: T. es el tamaño de las partículas asociado a la fracción . del suelo; ω. es la fracción de carbono asociada al tamaño mínimo; (T.) de las partículas que se considere; el valor de C. se refiere al C total del suelo con referencia a un tamaño máximo de partículas T. (normalmente T. = 2000 micras, 1/T. = 0.0005). En lo siguiente, para considerar el tamaño de la fracción gruesa del suelo como límite, a los valores de 1/T. se les restará (1/2000), de tal manera que el C. tiene asociada 1/T. = 0.
Con base en lo anterior, la relación (2) se puede reescribir como:
(3)Fraccionamiento físico de los suelos
El modelo de la distribución del carbono orgánico que se presenta para los complejos organominerales, en las fracciones físicas, considera la dispersión completa del suelo y ausencia de contaminación debida al uso del ultrasonido. La dispersión del suelo en partículas primarias organominerales y de MOP, mediante ultrasonido, se ha usado ampliamente para el fraccionamiento físico del carbono en los suelos (North, 1976; Christensen, 1992). Cabe señalar que, aun cuando los métodos de disrupción del suelo con energía ultrasónica permiten lograr un buen nivel de dispersión, sin la introducción de elementos químicos o de cambio de las condiciones (p. ej.: pH) del medio (Christensen, 1992), el fraccionamiento de C de las fracciones físicas de los suelos depende del tipo de tratamiento que se utiliza en las muestras de suelos (Oorts et al., 2005), por lo que es necesario definir un criterio objetivo para determinar cuándo el fraccionamiento es mínimamente producto de la energía de dispersión y no presenta contaminación entre fracciones. El uso de un nivel bajo de energía de dispersión puede provocar la dispersión incompleta del suelo y, en el otro extremo, un nivel alto puede producir la abrasión de los complejos primarios organominerales (Christensen, 1992).
Uno de los problemas de la dispersión del carbono orgánico total en fracciones organominerales y particuladas, es la contaminación de las fracciones menores por efecto de productos de la abrasión, carbonato de calcio impropiamente removido o moléculas orgánicas de tamaño similar (Baldock y Skjemstad, 2000; Balesdent et al., 1998). En el caso de la fracción arcilla, la inclusión de la materia orgánica particulada y de partículas de limo y microagregados, puede ser importante (Chenu y Plante, 2006) y ocasionar patrones erráticos en el modelo propuesto. La combinación de fracciones organominerales y particuladas (suelo mineral y no mineral, respectivamente) presenta tasas de descomposición que dependen de condiciones locales como la incorporación de residuos vegetales o animales que se convierten en MOP (Christensen, 1996), por lo que resulta más complejo caracterizarlas.
El efecto de las energías de dispersión fueron analizadas por Paz et al. (2012b) e Hidalgo et al. (2013) en el modelo de cinética lineal COLPOS y definieron criterios para considerar cuando la dispersión del suelo está completa. Una discusión detallada de protocolos y metodologías para definir las energías de dispersión, así como los problemas de contaminación entre fracciones, se presenta en Báez et al. (2011).
Materiales y Métodos
Fraccionamiento físico del carbono orgánico en suelos mexicanos
Los trabajos sobre fraccionamiento físico de la distribución de COS en suelos mexicanos, son escasos, por lo que sólo se describen brevemente los procedimientos de laboratorio de dos grupos de muestreos y análisis publicados en la literatura.
Suelos de cultivos agrícolas y sitios pareados de bosques-cultivos
La técnica de análisis de laboratorio que se utilizó fue la de Balesdent et al. (1991). El suelo se separó primero en dos fracciones: 2000-250 µm y < 250µm. La primera estuvo constituida por la MOP y por arena gruesa y, la segunda, por arena fina, limo y arcilla. Se colocaron 50 g de suelo seco al aire y tamizado en abertura de malla de 2 mm en vasos de acero inoxidable de 500 ml; se les agregó 180 ml de agua destilada y se dejaron reposar durante 24 h a temperatura ambiente. A cada vaso se adicionaron 10 esferas de vidrio de 5 mm de diámetro y se colocaron en un agitador de vaivén de acción recíproca regulado a 60 ciclos min-1 por 16 h; la separación se hizo por tamizado en húmedo a través de una malla de 250 µm. Las fracciones se secaron en vasos de vidrio de 600 ml en estufa a 60 °C de 7 a 10 días. La fracción <250 µm se disgregó en un mortero de ágata, se tomó una muestra de 10 g y se colocó en un vaso de precipitado de 250 ml. Se adicionaron 100 ml de agua destilada y la muestra se dejó saturar por 12 h a temperatura ambiente. La suspensión en agua se sometió a cinco niveles de energía con una sonda de ultrasonido: 0, 228, 455, 910 y 1365 J ml-1, energías que se alcanzaron al hacerla funcionar por 0, 10, 20, 40 y 60 min, respectivamente. Las muestras sonificadas se colocaron en columnas de vidrio y las partículas de limo (50 a 2 µm) y arcilla (< 2 µm) se separaron por medio de un sifón, después de un tiempo determinado de agitación y reposo, acorde con la Ley de Stokes. Las fracciones recolectadas después de cada proceso de agitación se pusieron en vasos de precipitado de 600 ml y se secaron en estufa a 60 °C. Las muestras secas se homogenizaron y se disgregaron en un mortero de ágata. Las partículas más gruesas correspondientes a las arenas finas (250 a 50 µm) se recolectaron después de separar completamente las partículas más finas. La concentración de C en cada fracción de tamaño se determinó con un analizador automatizado para carbono total TOC-5050A Shimatzu.
La descripción de los sitios y métodos que se usaron en este grupo de experimentos se describe en Matus et al. (2011) y Báez et al. (2011). En el Cuadro 1 se presentan las características de los sitios y suelos que se usaron (segunda mitad inferior del cuadro).

Pp = precipitación; T = temperatura
Suelos de cultivos agrícolas y toposecuencia de degradación forestal
El COS se determinó por combustión seca en un analizador LECO. Para el fraccionamiento físico por tamaño de partícula, el equipo de ultrasonido que se utilizó fue un VibracellMR (Sonics & Materials Inc., USA) con una potencia máxima de 600 W y una sonda de 13 mm de diámetro. Previo a su uso, el equipo se calibró por el método calorimétrico (Roscoe et al., 2000; Oorts et al., 2005). Para el fraccionamiento físico, de cada muestra se pesaron 20 g de suelo seco equivalente, que se tamizaron a malla 2 mm y se transfirieron a un vaso de precipitados de 150 ml. En seguida, se añadieron 100 ml de agua destilada (relación suelo: suspensión 1:5) y se introdujo la sonda de 20 mm dentro de la suspensión. Para determinar la cantidad mínima de energía necesaria para dispersar las muestras completamente, se hicieron pruebas con los tres tipos de suelos, aplicando cantidades crecientes de energía a las muestras. Tras este proceso se decidió aplicar 244 J ml-1 a las muestras de Andosoles y Cambisoles y 354 J ml-1 a las muestras de Acrisoles. Una vez sonificadas las muestras con la energía necesaria para su dispersión completa, se procedió a la separación de las fracciones. En primer lugar, se separaron las fracciones arena gruesa (2000-200 µm) y arena fina (200-50 µm) mediante tamizado en húmedo. En cada una de estas fracciones, además, se separó la fracción mineral de la MOP mediante un proceso de flotación-decantación en agua. El resto de la suspensión se sometió a centrifugación para conseguir la separación de las fracciones limo (50-2 µm) y arcilla (< 2 µm). Una vez separadas las fracciones se transfirieron a botes para su secado en estufa. Tras el fraccionamiento, las muestras de suelo quedaron divididas en las siguientes fracciones: arcilla, limo, arena fina, arena gruesa, MOP tamaño arena fina y arena gruesa.
La descripción de los sitios y métodos que se usaron en este grupo de experimentos se describe en Covaleda et al. (2006 y 2011).
Las características de los sitios y suelos que se consideraron se presentan en la mitad superior del Cuadro 1.
Datos complementarios de experimentos en México
El uso de fraccionamientos físicos parciales, sin sonificación, de los suelos en México, puede utilizarse para complementar los fraccionamientos con energías ultrasónicas de dispersión.
En el caso de suelos mexicanos, se analizaron dos experimentos: bosques de pino-encino localizados en Ixtlán de Juárez, Oaxaca, México, en suelos Acrisoles, con diferentes grados de recuperación después de la extracción maderable y en dos regiones climáticas: seca y húmeda (Saynes et al., 2012) y tres sitios en Yucatán, México, en suelos Leptosoles, de bosques tropicales caducifolios, distribuidos en tres regiones climáticas: seca, transicional y húmeda (Cuevas et al., 2013a). La toma de muestras por sitio y región climática, se realizó en la época de sequía y lluvias de los años de medición.
El protocolo de análisis que se utilizó en las separaciones (Cuevas et al., 2013b), fue el fraccionamiento secuencial de Meijboom et al. (1995), el cual consta de tres fases: separación por tamaño de partícula, suspensión en agua y separación por densidades. Brevemente, el método consiste de los siguientes pasos: las muestras colectadas frescas se mezclan y se remueve las fracciones mayores con una malla de 8 mm. Se toma una muestra de suelo (100 g) de la fracción que pasa la malla y se separa por tamizado en húmedo en mallas de 2000 y 150 μm. Esta separación en las fracciones 2000-150 μm y < 150 μm, permite obtener una fracción no pesada y una pesada, respectivamente. El material retenido en cada malla se suspende en agua y el material orgánico flotante se separa por decantación. El material orgánico recuperado se fracciona con ludox (líquido denso formado por una dispersión coloidal acuosa de cristales de silicio), fracción 2000-150 μm (no pesada): fracción ligera (flota a 1.13 g cm-3), fracción intermedia (flota entre 1.13 y 1.3 7g cm-3) y fracción pesada (flota a > 1.37 g cm-3).
La fracción que pasa la malla 150 μm puede considerarse como una aproximación al C. (total) de ese tamaño de partícula y difiere de los fraccionamientos físicos discutidos previamente, al no utilizar métodos adicionales (p. ej.: ultrasonido) de separación de MOP.
Patrones del modelo de cinética lineal
Para el modelo COLPOS, la relación implica un equilibrio meta-estable entre las tasas de descomposición, transferencia y asimilación, las cuales varían de acuerdo con los ingresos de C (evaluado indirectamente como C orgánico total, solo el organomineral). Esto es más claro si se analiza la cronosecuencia de bosque a maíz descrita en Balesdent et al. (1998), Figura 1. Esta figura muestra la distribución del COS en función de los tamaños de las fracciones físicas de los suelos. Al perder C el suelo (bosque a cultivo), la pendiente del modelo se modifica en forme coherente y se mantienen las proporciones constantes (Paz et al., 2012a, 2013 y 2014). Así, con solo el conocimiento del carbono total y el de la fracción mínima (medido o inferido), es posible modelar en forma completa la distribución del carbono para cualquier fracción física.
La existencia de dos cinéticas en el carbono orgánico del suelo (organomineral primario y particulado), puede visualizarse fácilmente si se realiza un análisis similar al de la Figura 1, pero ahora al considerar el carbono orgánico total e incluir la MOP. La Figura 2 muestra esta condición, en donde se observa que el carbono de la fracción inferior a la arcilla + limo no varía al considerar o no a la MOP, ya que esta fracción supuestamente no la contiene.

De acuerdo con el patrón lineal de la Figura 1, es necesario conocer dos puntos (tamaño de partícula y carbono) para caracterizar la línea recta, si se parte de que solo se conocen el C. y el Cmin (no particulado) total. Algo similar sucede con la Figura 2, en donde con el conocimiento del C total, es necesario conocer el C de la fracción limo + arcilla (Carc+lim) para caracterizar el patrón de la MOP. Con el conocimiento del Carc+lim, es necesario conocer el C de alguna fracción menor o mayor a la de arcilla-limo (T < 50 o T > 50 micras) para caracterizar este patrón.

Relaciones generales para simplificar la modelación
Carbono orgánico inerte (COI)
En el modelo RothC (Coleman y Jenkinson, 1996), uno de sus reservorios más críticos es el COI que tiene tiempos medios de residencia mayores de 50 000 años en este modelo. Este modelo aproxima el COI usando una relación derivada por Fallon et al. (1998):
(4)con R. = 0.6472.
La relación (4) ha sido reevaluada para definir intervalos de confianza que permiten caracterizar de mejor forma la incertidumbre de esta aproximación (Fallon et al., 2000).
La relación (4) se puede representar de acuerdo con el modelo desarrollado como:
(5)Al usar los datos originales de Fallon et al. (1998) y, con una regresión lineal simple forzada al origen, se obtiene ωCOI = 0.1053 (R. = 0.6559). Si se eliminan dos datos inconsistentes, entonces se obtiene ωCOI = 0.117 (R. = 0.7614). Finalmente, si se elimina un dato inconsistente adicional se obtiene ωCOI = 0.126 (R. = 0.8285). La Figura 3 muestra el ajuste de esta última relación, con los datos eliminados. La eliminación de datos se fundamente en la hipótesis de la ecuación (1), donde se espera una relación lineal. El ejercicio no tiene mayor trascendencia que analizar si el patrón es general, tal como se discute más adelante.
De acuerdo con la Figura 1 y, si se supone como conocido el Cmin, Paz et al. (2013) parametrizaron el modelo con ω. = ωCOI = 0.117 y T. = TCOI = 1.913 µm, en donde para valores de energías altas de dispersión, los ajustes experimentales resultaron aceptables. Por otro lado, al considerar fija ω. = ωCOI = 0.117, Hidalgo et al. (2013) estimaron el tamaño de partícula que se asocia de acuerdo con la relación (3), mediante un proceso de minimización del error cuadrático de estimación, con la función SolverMR de ExcelMR.
El esquema de parametrización del modelo con ωCOI y TCOI permitió obtener aproximaciones aceptables para tamaños de partículas T > 2 micras y mayor variabilidad en la fracción arcilla. Esta situación se puede explicar, en parte, por los problemas de contaminación de las fracciones más pequeñas en el proceso de sonificación.

Relación carbono orgánico total y el de la fracción arcilla + limo
Adicionalmente al uso del COI, se pueden establecer relaciones entre el C de la fracción arcilla + limo (Carc+lim) con el C total (C.), para definir la posición de la unión del patrón particulado y el organomineral que se muestra en la Figura 2. Bajo diferentes argumentos, se espera que esta relación sea estable para diferentes tipos de suelos, diferentes climas, diferentes usos del suelo, diferentes prácticas de manejo y diferentes mineralogías de los suelos.
Relación carbono orgánico total y el organomineral total
En forma similar al caso del carbono de la fracción arcilla+limo, de la Figura 1, se espera que exista una relación estable entre Cmin y C.. Adicionalmente, se espera una relación definida entre Carc+lim y Cmin.
Relaciones entre el carbono orgánico total y fracciones del particulado total
De la Figura 2 se espera que existan relaciones entre las fracciones del carbono orgánico particulado total y C., como derivada de las relaciones para la Figura 1.
Estimación directa del carbono orgánico inerte y su tamaño de partícula asociado
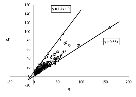
Dados dos (o más) usos del suelo provenientes de un tipo de vegetación (p. ej.: bosques), se pueden estimar directamente el COI y TCOI. Si se parte de que un conjunto de rectas con un punto de intersección común, sus parámetros (constante aditiva y multiplicativa) generan un línea recta en el espacio meta-paramétrico (Paz et al., 2009). De la Figura 1, los parámetros q y C. (ecuación 2) de las líneas rectas definen la relación (q con signo):
(6)La Figura 4 muestra la relación meta-paramétrica de la Figura 1, con COI = 5.64 y (1/TCOI) = 0.7592 (TCOI = 1.32 μm).

La Figura 5 muestra el modelo que se plantea para el COI y TCOI.

Análisis de Resultados
Patrones generales de las relaciones entre fracciones del COS
La Figura 6 muestra la relación entre C. y Carc+lim (T. = 50 μm) para el caso de los fraccionamientos físicos con energía ultrasónica, que muestra un valor de Carc+lim ≈ 0.82 C..

En la Figura 7 se presentan los resultados al extrapolar los datos de la separación secuencial (Meijboom et al., 1995) de los suelos mexicanos descritos previamente y la fracción de C. de las fracciones 150 a 50 μm (arcilla + limo), mismos que ratifican la relación de la Figura 6.

Para el caso de la relación entre C. y Cmin, la Figura 8a muestra los resultados que se obtuvieron para los fraccionamientos físicos con ultrasonido y la Figura 8b para todos los datos (fraccionamiento con ultrasonido y fraccionamiento secuencial). Ambos patrones son similares y ratifican la generalidad que se planteó, hasta cierto grado (dados los usos y tipos de suelos que se utilizaron).
En la Figura 8, se utiliza el Cmin medido (o estimado de las mediciones del fraccionamiento secuencial), por lo que es importante desarrollar una aproximación que permita estimar Cmin a partir de fraccionamientos físicos, con dispersión ultrasónica, mediante el uso del carbono de la fracción arcilla y arcilla+limo. Al respecto, la Figura 9 muestra la estimación de Cmin a partir del ajuste de una relación en los puntos (Carc, Tarc) y (Carc+lim, Tarc+lim). Los resultados son precisos (R. > 0.98), por lo que este método se puede usar para estimar Cmin.

La relación entre Cmin y Carc+lim se muestra en la Figura 10, para el caso de usar Cmin medido y Cmin estimado de los datos de la fracción arcilla y arcilla+limo, para los datos asociados al fraccionamiento físico con ultrasonido, a partir de los cuales se obtiene un excelente ajuste experimental, como consecuencia de los patrones lineales de la Figura 1.
De la Figura 9 y la 10a, se tiene que de la relación de Cmin medida a la Cmin estimada, el valor de la proporción entre Cmin y Carc+lim es (0.9589/0.9834) = 0.9751, valor similar al de la Figura 10b.


Con relación a los datos del fraccionamiento secuencial, la Figura 11 muestra la relación entre C. y C150 (COS total asociado a la fracción de 150 μm).

Finalmente, para el caso de solo la MOP (macromateria orgánica), la Figura 12 muestra la relación entre la MOP. (total) y la fracción con densidad (d) menor a 1.37 g cm-3.

Estimación de COS por fracciones físicas
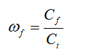
A partir del conocimiento de dos puntos se puede caracterizar una línea recta y se pueden plantear los patrones lineales de la Figura 1, en términos relativos, mediante ωfm = (Cfm/Cmin), ecuación (3), donde Cfm se refiere solo al carbono organomineral. De la relación de la Figura 10a para (Carc+lim/Cmin), donde Carc+lim es organomineral, es posible establecer la relación siguiente partiendo de la relación (3):
(7)La relación 7 genera valores negativos para la fracción arcilla (Tfm = 2), por lo que el usar este enfoque, en función de los patrones universales que se desarrollaron, no es adecuado.
Una solución al uso del formato de la relación (7) es determinar la constante multiplicativa por un proceso de minimización del error cuadrático de estimación (función SolverMR de ExcelMR). La relación que se obtiene, caso de Cmin medido, con este procedimiento se define como:
(8)
(9)La Figura 13 muestra la relación entre el Cfm medido y el estimado, de acuerdo con las relaciones (8) y (9).
Una variación del proceso de estimación previo es utilizar la relación (3), solo carbono organomineral y, estimar el valor de ω. = ωarc para T. = 2 μm. Para el caso de Cmin medida o estimada, con el proceso de optimización se obtuvo ωarc = 0.35 (= Carc/Cmin). La Figura 14 muestra los resultados de la estimación.


Si se ajusta la relación (2) a los datos experimentales por regresión lineal, se obtienen los parámetros (q, C.) para cada fraccionamiento físico por sonificación. Los resultados de la relación q-C. se muestran en la Figura 15, por lo que es posible estimar COI y TCOI de acuerdo con la relación (6).

La Figura 16a muestra los resultados que se obtienen al usar los datos de la Figura 15a y b y, la Figura 16b, muestra el ajuste al forzar la regresión lineal para COI = 6 g C kg-1 suelo (= 0.6%).

Las estimaciones que se obtienen con la línea recta entre los puntos (0, Ctm=1) y (TCOI=1.4, COI=6) mediante la relación de la Figura 16b para obtener estos puntos (relación 6), se muestran en la Figura 17.

De los análisis que se realizaron y, los errores de estimación que se obtuvieron, el esquema de usar una estimación general de (TCOI, COI) resulta mejor, además de que tiene la flexibilidad de que las ωfm (Cfm/Cmin) son variables, a diferencia de los otros dos esquemas analizados, que las dejan fijas. Al sustituir (TCOI, COI) de la Figura 16b, la relación (2) para carbono organomineral puede quedar como:
(10)La relación (10) estima Carc+lim en forma precisa (Figura 18), por lo que con este valor y el de C. es posible estimar el COS de cualquier fracción (particulado y organomineral) de acuerdo con:
(11)donde a (1/T.) debe restársele (1/2000) para tener origen en (0, C.).

La Figura 19 muestra los resultados de las estimaciones de C. total mediante la relación (11).

Análisis de una base de datos global de fraccionamiento de suelos y generalización del modelo
Para tener una perspectiva más allá de los grupos de experimentos en México, se analizaron los datos de la compilación realizada por Six et al. (2002), después de consultar las fuentes originales, para tener todos los datos de los fraccionamientos. Six et al. (2002) solo presentan datos de Carc+lim y la masa del suelo asociada.
Para la fracción que va desde la arcilla hasta los limos, la Figura 20 muestra los dos tipos de patrones que se encuentran, cuando hay datos del COS para fracciones intermedias.

El patrón no lineal se puede deber a un fraccionamiento incompleto del suelo al usar energías de dispersión (Figura 21) o a problemas de contaminación de fracciones físicas, tal como ya se discutió. En lo general, el patrón lineal se presenta para fracciones menores a 20 μm, por lo que en los análisis realizados con la base de Six et al. (2002), casos de patrones no lineales, se eliminó este dato (solo uno) y se ajustó una línea recta al patrón del carbono entre la fracción arcilla y la arcilla+limo, tal como se discutió previamente. En todos los casos, al eliminar el dato el ajuste de la regresión lineal resultó en excelentes resultados.

Dado que no todos los fraccionamientos de la base de datos de Six et al. (2002) contienen el valor de la fracción arcilla+limo (T. = 50 μm), su valor se extrapoló bajo dos consideraciones: cuando el valor de la fracción limo fue mayor de 50 μm (p. ej.: 63 μm), la extrapolación se realizó con la información de 2000 μm hasta el valor de la fracción limo. Cuando el valor de la fracción limo fue menor a 50 μm (p. ej.: 45 ó 20 μm), entonces la extrapolación se realizó con los valores mayores o iguales a 2 μm, hasta el valor de la fracción limo.
La Figura 22 muestra los patrones entre fracciones del COS para la base de datos analizada, donde en lo general se muestran resultados similares al caso de los suelos mexicanos que se revisaron previamente.

Con relación a la estimación del COI y TCOI, se realizaron modelaciones similares al caso donde Cmin se estima de los datos entre la fracción arcilla y arcilla+limo. La Figura 23 muestra los resultados que se obtuvieron.
En la Figura 23 se muestra el ajuste de los límites de los patrones (q, C.), donde ambos límites convergen en el punto (q = -12.5, C. = -8.5), por lo que la relación entre el TCOI y COI está dada por:
(12)Del modelo COLPOS generalizado, Ecuaciones (10) y (11), con el conocimiento de COI, TCOI calculado de la Ecuación (12), el modelo de distribución del COS, por fracciones físicas, queda totalmente parametrizado con el valor de C..
Al analizar los patrones de los diferentes experimentos de los datos de la Figura 23, la mayoría de los datos caen en líneas rectas con valores de COI por grupos: 0.5, 1.7, 4.0, 6.5 y 7.4 g C kg-1 suelo. De esta manera solo es necesario definir al COI en grandes grupos.
Discusión
Los análisis que se realizaron en este trabajo, regiones templadas, permiten obtener la distribución del carbono orgánico en los suelos por fracciones físicas (tamaño de partículas). Al usar como referencia el modelo COLPOS y una estimación del carbono orgánico inerte (COI) de 6 g C kg-1 suelo (= 0.6%) asociado al tamaño de partícula de 1.4 μm, es posible realizar estimaciones completas del COS por fracciones físicas, tanto a nivel solamente de complejos organominerales, o bien, de carbono total (complejos organominerales y carbono particulado). Estos resultados son solo válidos para regiones templadas en México, de donde provienen los datos que se analizaron.
Aun cuando los datos analizados para generar la parametrización del modelo COLPOS provienen de unos cuantos tipos de suelo y usos forestales y agrícolas en México, representativos de regiones templadas, el valor de COI = 6 es congruente con estimaciones de valores mínimos del COS para áreas con vegetación de bosques (Balbontín et al., 2009). Para suelos fuertemente áridos y climas muy secos y cálidos, el valor de COI es de alrededor de 1-3 g C kg-1 suelo (Balbontín et al., 2009).
El modelo parametrizado se puede usar para determinar el potencial de pérdidas de COS en los suelos de México, si se define la capacidad de almacenamiento actual como la diferencia entre el COS total y el COI. En términos dinámicos, puede establecerse que alrededor del 13% del COS total es lábil (particulado) y se perderá cuando el suelo pierda la cobertura vegetal. El resto del carbono es relativamente estable, por lo que puede perderse a medio plazo si se deja al suelo desnudo.
En otra perspectiva, la capacidad máxima de almacenamiento requiere de reevaluarse en términos de cambios momentáneos o permanentes, en relación a los ingresos de carbono al sistema suelo. Una aproximación para estimar el potencial de almacenamiento de COS es usar el valor máximo de COS para un tipo de uso de suelo y vegetación y, tipo de suelo. Así, el potencial estará definido por este valor máximo y el actual.
Finalmente, el carbono orgánico inerte (COI) no necesariamente representa una fracción totalmente inerte con tiempos medios de residencia de decenas de miles de años como en el modelo RothC, sino una fracción pasiva con tiempos medios de residencia de cientos a miles de años.
Conclusiones
- En México, las bases de datos espaciales del carbono orgánico de los suelos (COS) consisten, principalmente, solo de valores del total (organomineral y particulado), por lo que para implementar modelos de la dinámica del COS es necesario el desarrollo de modelos sólidamente sustentados en evidencia experimental y que puedan parametrizarse con la información disponible (COS total).
- Para avanzar en el objetivo de desarrollar modelos simples y operativos para México, en este trabajo se parametrizó el modelo COLPOS solo en función del COS total y el carbono orgánico inerte (asociado a regiones climáticas y tipos de vegetación), lo que permite realizar estimaciones razonablemente precisas de la distribución del COS por almacenes asociados a fracciones físicas (tamaño de partículas) del suelo.
Literatura Citada
Balbontín, C., C. O. Cruz, F. Paz, and J. D. Etchevers. 2009. Soil carbon sequestration in different ecoregions of Mexico. pp. 71-96. In: Lal R. and R. F. Follett (eds.). Soil Carbon Sequestration and the Greenhouse Effect. SSSA Special Publication 57. ASA-CSSA-SSSA. Madison, WI, USA.
Báez, A., C. Hidalgo, F. Matus, C. Prat y J. Etchevers. 2011 Fraccionamiento y acumulación de carbono orgánico en tres suelos volcánicos degradados de México. pp: 61-79. In: Gallardo J. A. (ed.). Materia orgánica edáf ica y captura de carbono en sistemas Iberoamericanos. Red POCAIBA. SiFyQA. Salamanca, España.
Baldock, J. A. and J. O. Skjemstad. 2000. Role of the soil matrix and minerals in protecting natural organic materials against biological attack. Org. Geochem. 31: 697-710.
Balesdent, J. 1996. The significance of organic separates to carbon dynamics and its modeling in some cultivated soils. Eur. J. Soil Sci. 47: 485-493.
Balesdent, J., E. Besnard, D. Arrouays, and C. Chenu. 1998. The dynamics of carbon in particle-size fractions of soil in a forest-cultivation sequence. Plant Soil 201: 49-57.
Balesdent, J., J. P. Pétraud, and C. Feller. 1991. Effets des ultrasons sur la distribution granulométrique es matieres organiques des sols. Sci. Sol 29: 95-106.
Buyanosky, G. A., M. Aslam, and G. H. Wagner. 1994. Carbon turnover in soil physical fractions. Soil Sci. Soc. Am. J. 58: 1167‑1173.
Carter, M. R., D. A. Angers, E. G. Gregorich, and M. A. Bolinder. 2003. Characterizing organic matter retention for surface soils in eastern Canada using density and particle size fractions. Can. J. Soil Sci. 83: 11-23.
Chenu, C. and A. F. Plante. 2006. Clay-sized organo-mineral complexes in a cultivation chronosequence: revisiting the concept of the ´primary organo-mineral complex´. Eur. J. Soil Sci. 57: 596-607.
Christensen, B. T. 1992. Physical fractionation of soil and organic matter in primary particle size and density separates. Adv. Soil Sci. 20:1-90.
Christensen, B. T. 1996. Carbon in primary and secondary organomineral complexes. pp: 97-165. In: M. R. Carter and B. A. Stewart (eds.). Advances in Soil Science. Structure and Organic Matter Storage in Agricultural Soils. CRC Lewis Publisher/CRC Press. Boca Raton, FL, USA.
Christensen, B. T. 2001. Physical fractionation of soil and structural and functional complexity in organic matter turnover. Eur. J. Soil Sci. 52: 345-353.
Coleman, K. and S. D. Jenkinson. 1996. RothC-26.3: A model of the turnover of carbon in soil. pp. 237-246. In: D. S. Powlson, P. Smith, and J. U. Smith (eds.). Evaluation of Soil Organic Matter Models using Existing Long-term Datasets. Spinger-Verlag. Berlin.
Covaleda, S., J. F. Gallardo, F. Garcia-Oliva, H. Kirchmann, C. Pratt, and M. Bravo. 2011. Land-use effects on the distribution of soil organic carbon within particle-size fractions of volcanic soils in the Transmexican Volcanic Belt (Mexico). Soil Use and Management doi:10.1111/j.1475-2743.2011.00341.x
Covaleda, S., S. Pajares, J. F. Gallardo, and J. D. Etchevers. 2006. Short-term changes in C and N distribution in soil particle size fractions induced by agricultural practices in a cultived volcanic soil from Mexico. Org. Geochem. 37: 1943-1948.
Cuevas, R. M., C. Hidalgo, F. Payan, J. D. Etchevers, and J. Campo. 2013a. Precipitation influences on active fractions of soil organic matter in seasonally dry tropical forests of the Yucatan: regional and seasonal patterns. Eur. J. Forest Res. doi: 10.1007/s10342-013-0703-4.
Cuevas, R. M, V. Saynes y F. Paz. 2013b. Modelación de las fracciones de carbono en la materia orgánica del suelo separadas por diferencias en densidad. pp. 180-189. In: F. Paz, M. Bazan y V. Saynes (eds.). Dinámica del Carbono en el Suelo 2012. Serie Avances Temáticos del Ciclo del Carbono y sus Interacciones. Programa Mexicano del Carbono en colaboración con la Sociedad Mexicana de Ciencias del Suelo. Texcoco, Estado de México, México.
de Jong, B., C. Anaya, O. Masera, M. Olguin, F. Paz, J. Etchevers, R. Martinez, G. Guerrero, and C. Balbontin. 2010. Greenhouse gas emissions between 1993 and 2002 from land-use change and forestry in Mexico. For. Ecol. Manage. 260: 1689-1701.
Elliot, E. T. and T. K. Paustian. 1996. Modelling the measurable or measuring the modelable: a hierarchical approach to isolating meaningful soil organic fractionation. pp. 161-179. In: D. S. Powlson, P. Smith, and J. U. Smith (eds.). Evaluation of Soil Organic Matter Models Using Long-Term Datasets. NATO ASI Series 1: Global Environment Change, 38, Springer-Verlag. Heidelberg.
Etchevers, J. D. 2013. Estado actual de la investigación de los almacenes de carbono en México. pp. 27-31. In: F. Paz, M. Bazán y V. Saynes (eds.). Dinámica del Carbono en el Suelo 2012. Serie Avances Temáticos del Ciclo del Carbono y sus Interacciones. Programa Mexicano del Carbono en colaboración con la Sociedad Mexicana de Ciencias del Suelo. Texcoco, Estado de México, México.
Fallon, P., P. Smith, K. Coleman, and S. Marshall. 1998. Estimating the size of the inert organic matter pool for use in the Rothamsted carbon model. Soil Biol. Biochem. 30: 1207-1211.
Fallon, P., P. Smith, K. Coleman, and S. Marshall. 2000. How important is inert organic matter for predictive soil carbon modelling using the Rothamsted carbon model? Soil Biol. Biochem. 32: 443-436.
González, L., J. D. Etchevers, F. Paz, R. Valdez, J. M. González, and E. C. Moreno. 2010. Estimation of changes in soil organic carbon in hillside systems on a regional scale. Trop. Subtrop. Agroecosyst. 12: 57-67.
Grace, P. R., J. N. Ladd, G. P. Robertson, and S. H. Gage. 2006. SOCRATES – A simple model for predicting long-term changes in soil organic carbon in terrestrial ecosystems. Soil Biol. Biochem. 38: 1172-1176.
Gulde, S., H. Chung, W. Amelung, C. Chang, and J. Six. 2008. Soil carbon saturation controls labile and stable carbon pool dynamics. Soil Sci. Soc. Am. J. 72: 605-612.
Hidalgo, C., F. Paz y J. Etchevers. 2013. Efecto de las energías de dispersión en la distribución del carbono orgánico por fracciones físicas del suelo. pp. 66-72. In: Paz, F., M. Bazan y V. Saynes (eds.). Dinámica del Carbono en el Suelo 2012. Serie Avances Temáticos del Ciclo del Carbono y sus Interacciones. Programa Mexicano del Carbono en colaboración con la Sociedad Mexicana de Ciencias del Suelo. Texcoco, Estado de México, México.
INEGI (Instituto Nacional de Estadística, Geografía e Informática). 1997. Diccionario de datos de uso del suelo y vegetación (vectorial) escala 1:250,000. Aguascalientes, México. 56 p.
IPCC (Intergovernmental Panel on Climate Change). 2006. Agriculture, forestry and other land use IPCC Guidelines for National Greenhouse Gas Inventories. Eggleston H. S., L. Buendia, K. Miwa, T. Ngara, and K. Tanabe (eds.). Prepared by the National Greenhouse Gas Inventories Programme. Institute for Global Environmental Strategies. Hayama, Japan.
Lal, R. 2004. Soil carbon sequestration to mitigate climate change. Geoderma 123: 1-22.
Lal, R. 2009. Challenges and opportunities in soil organic matter research. Eur. J. Soil Sci. 60: 158-169.
Matus, F., C. Hidalgo, C. Monreal, I. Estrada, M. Fuentes, and J. Etchevers. 2011. Land use impacts on physical-based soil organic matter fractions on three hillside ferrasols in Mexico. Chilean J. Agric. Res. 71: 283-292.
Meijboom, F. W., J. Hassink, and M. Van Noordwijk. 1995 Density fractionation of soil macroorganic matter using silica suspensions Soil Biol. Biochem. 27: 1109-1111.
North, P. F. 1976. Towards an absolute measurement of soil structural stability usning ultrasound. J. Soil Sci. 27: 451-459.
Ogle, S. M., F. J. Breidt, and K. Paustian. 2005. Agricultural management impacts on soil organic carbon storage under moist and dry climatic conditions of temperate and tropical regions. Biogeochemistry 72: 87-121.
Oorts, K., B. Vanlauwe, S. Recous, and R. Merckx. 2005. Redistribution of particulate organic matter during ultrasonic dispersion of highly weathered soils. Eur. J. Soil Sci. 56: 77‑91.
Parton, W. J., J. W. B. Stewart, and C. V. Cole. 1988. Dynamic of C, N, P and S in grassland soil: a model. Biogeochemistry 5: 109-131.
Paustian, K., H.P. Collins, and E.A. Paul. 1997. Management controls on soil carbon. pp: 15-49. In: E. A. Paul, K. H. Paustian, E. T. Elliott, and C. Vernon Cole (eds.). Soil organic matter in temperate agroecosystems: Long term experiments in North America. CRC Press. Boca Raton, FL, USA.
Paz, F., S. Covaleda y J. Etchevers. 2012a. Modelación de la distribución del carbono orgánico de los suelos por fracciones físicas. pp. 230-239. In: Paz F. y R. Cuevas (eds.). Estado Actual del Conocimiento del Ciclo del Carbono y sus Interacciones en México: Síntesis a 2011. Serie Síntesis Nacionales. Programa Mexicano del Carbono en colaboración con la Universidad Autónoma del Estado de México y el Instituto Nacional de Ecología. Texcoco, Estado de México, México. ISBN 978-607-715-085-5.
Paz, F., S. Covaleda y J. Etchevers. 2014. Distribución del carbono orgánico en los diferentes tamaños de partículas del suelo: Modelo simple de cinética lineal. Terra Latinoamericana 32: 127-142.
Paz, F., S. Covaleda, C. Hidalgo y J. Etchevers. 2013. Modelación de la distribución del carbono orgánico en las fracciones físicas de los suelos usando solo el carbono orgánico total. pp. 85-91. In: F. Paz, M. Bazan y V. Saynes (eds.). Dinámica del Carbono en el Suelo 2012. Serie Avances Temáticos del Ciclo del Carbono y sus Interacciones. Programa Mexicano del Carbono en colaboración con la Sociedad Mexicana de Ciencias del Suelo. Texcoco, Estado de México, México.
Paz, F., C. Hidalgo y J. Etchevers. 2012b. Análisis y modelación de las energías de dispersión en la distribución del carbono orgánico en los suelos por fracciones físicas. pp. 240-247. In: F. Paz y R. Cuevas (eds.). Estado Actual del Conocimiento del Ciclo del Carbono y sus Interacciones en México: Síntesis a 2011. Serie Síntesis Nacionales. Programa Mexicano del Carbono en colaboración con la Universidad Autónoma del Estado de México y el Instituto Nacional de Ecología. Texcoco, Estado de México, México. ISBN 978-607-715-085-5.
Paz, F., M. Odi, A. Cano, M. A. Bolaños y A. Zarco. 2009. Equivalencia ambiental en la productividad de la vegetación. Agrociencia 43: 635-648.
Roscoe, R., P. Buurman, and E. J. Velthorst. 2000. Disruption of soil aggregates by varied amounts of ultrasonic energy in fractionation of organic matter of a clay Latosol: Carbon, nitrogen and δ13 C distribution in particle-size fractions. Eur. J. Soil Sci. 51: 445-454.
Sanderman, J. and J. A. Baldock. 2010. Accounting for soil carbon sequestration in national inventories: a soil scientist´s perspective. Environ. Res. Lett. 5: 1-6.
Saynes, V., J. D. Etchevers, L. Galicia, C. Hidalgo, and J. Campo. 2012. Soil carbon dynamics in high-elevation temperate forests of Oaxaca (Mexico): thinning and rainfall effects. Bosque 33: 3-11.
Six, J., R. T. Conant, E. A. Paul, and K. Paustian. 2002. Stabilization mechanisms of soil organic matter: Implications for C-saturation of soils. Plant Soil 241: 155-176.
Stewart, C. E., A. F. Plante, K. Paustian, R. C. Conant, and J. Six. 2008. Soil carbon saturation: Linking concept and measurable carbon pools. Soil Sci. Soc. Am. J. 72: 379-392.
Tiessen, H. and J. W. B. Stewart. 1983. Particle-size fractions and their use in studies of soil organic matter: II Cultivation effects on organic matter composition in size fractions. Soil Sci. Soc. Am. J. 47: 509-514.
Turcheneck, L. W. and J. M. Oades. 1979. Fractionation of organo-mineral complexes by sedimentation and density techniques. Geoderma 21: 311-343.
Zimmermann, M., J. Leifeld, M. W. I. Schmidt, P. Smith, and J. Fuhrer. 2007. Measured soil organic matter fractions can be related to pools in the RothC model. Eur. J. Soil Sci. 58: 658‑667.
Notas