Artículo científico
Propiedades espectrales de la cubierta de macro túneles y su relación con el crecimiento y rendimiento del chile poblano (Capsicum annuum L.)
Spectral properties of macro-tunnel covers and their relation with growth and yield of poblano pepper (Capsicum annuum L.)
Propiedades espectrales de la cubierta de macro túneles y su relación con el crecimiento y rendimiento del chile poblano (Capsicum annuum L.)
Terra Latinoamericana, vol. 37, núm. 3, pp. 253-260, 2019
Sociedad Mexicana de la Ciencia del Suelo A.C.
Recepción: 06 Diciembre 2018
Aprobación: 14 Marzo 2019
Resumen: Con la agricultura protegida se resguardan las plantas de las condiciones climáticas adversas y se modifica la radiación solar que incide sobre ellas, con el propósito de mejorar su productividad. Por lo que, el objetivo de este estudio fue evaluar el efecto del material y color de cuatro cubiertas de invernadero, en la tasa y características espectrales de la radiación que se transmite y su relación con el contenido de clorofila, crecimiento y rendimiento de un cultivo de chile poblano (Capsicum annuum L.) variedad Ébano. El estudio se realizó en cuatro macro túneles de forma ovalada de 4 m de ancho, 2.5 m de alto y 12 m de longitud. La cubierta de tres túneles fue de láminas de policarbonato de color rojo, azul y translúcido, el otro se cubrió con polietileno difuso de alta densidad. Las características espectrales de la radiación solar que se transmitió en cada cubierta se determinaron con un espectro radiómetro; mientras que, la tasa de radiación fotosintéticamente activa (PAR) dentro y fuera de los túneles, se obtuvo con sensores quantum. Los resultados del estudio mostraron que las plantas que crecieron bajo las láminas de policarbonato de los diferentes colores, tuvieron mayor contenido de clorofila que las del polietileno de alta densidad y las de campo abierto. Debido a una menor incidencia de radiación fotosintéticamente activa (PAR) y casi nula transmisividad de la radiación de 400 a 570 nm, las plantas que se desarrollaron en el túnel con cubierta de policarbonato rojo, fueron de mayor altura y desarrollo foliar, pero con menor rendimiento de frutos. El mayor rendimiento de frutos se obtuvo bajo la cubierta de policarbonato traslúcido y el polietileno difuso de alta densidad.
Palabras clave: Capsicum annuum L., policarbonato, polietileno, radiación fotosintéticamente activa, transmisividad.
Summary: With protected agriculture, plants are sheltered from adverse climatic conditions, and the solar radiation that impacts the plants is modified with the purpose of improving their productivity. Therefore, the objective of our study was to evaluate the effect of the material and color of four greenhouse covers over the rate and spectral characteristics of the transmitted radiation, and their relation with chlorophyll content, growth and yield of poblano pepper (Capsicum annuum L.) cv Ébano culture. The study was conducted in four oval shaped macro-tunnels (4 m wide, 2.5 m high and 12 m long). The covers of three macro-tunnels consisted of red, blue and translucent polycarbonate sheets, respectively, and the remaining macro-tunnel cover was high-density diffuse polyethylene. Spectral characteristics of the solar radiation transmitted in each cover were determined using a spectroradiometer. The photosynthetically active radiation (PAR) rate within and outside each macro-tunnel was obtained using quantum sensors. The results of our study showed that plants that grew under polycarbonate covers of different colors presented more chlorophyll content than plants under the high-density polyethylene cover and those from open field. Due to the lower rate of PAR and almost null radiation transmissivity from 400 to 570 nm, plants that grew under red polycarbonate sheets were taller and with more foliage, but with lower fruit yield. The highest fruit yield was observed under the translucent polycarbonate and high-density polyethylene covers.
Index words: Capsicum annuum L., photosynthetically active radiation, polycarbonate, polyethylene, transmissivity.
Introducción
El uso de cubiertas de diferentes materiales reduce las limitaciones que el medio ambiente impone al desarrollo de las plantas. En las últimas décadas se han desarrollado varios tipos de estructuras para proteger las plantas, que mantienen condiciones ambientales óptimas para el desarrollo de cultivos, de acuerdo con los requerimientos de clima de cada especie y los factores climáticos de cada región (Juárez et al., 2011). Los materiales plásticos empleados como cubiertas en la agricultura pueden ser películas plásticas, placas rígidas y mallas. De estas, el uso de las películas plásticas es más frecuente que las otras dos opciones, y su aplicación en la agricultura permite obtener mejores cosechas, con mayor frecuencia y de mejor calidad (Díaz et al., 2001). Estas películas pueden transmitir, bloquear o reflejar diferentes longitudes de onda, con lo que se puede tener mejor control en la radiación que incide sobre los cultivos (Espi et al., 2005).
El color de la cubierta plástica de un invernadero, macro túnel o malla sombra modifica la cantidad y características de la radiación solar total y la fotosintéticamente activa que incide sobre las plantas que crecen bajo éstos (Ombódi et al., 2015). El tipo de material, calibre y color de la cubierta plástica afecta las características espectrales de la radiación que se transmite en el rango de 400 a 700 nm, que corresponde a la radiación fotosintéticamente activa (PAR), que usan las plantas en el proceso de fotosíntesis (Espi, 2012).
Estudios previos han demostrado que las características y color de las cubiertas plásticas afectan el crecimiento y rendimiento de los cultivos. Fallik et al. (2009) encontraron que con la malla de color amarillo se incrementa el rendimiento de pimiento morrón y la calidad de los frutos en comparación con las redes negras tradicionales. El rendimiento de un cultivo de tomate (Solanum lycopersicon L.) cultivado bajo una malla sombra de color perla, fue mayor al que se obtuvo bajo mallas de color negro, gris, azul y rojo (Ayala-Tafoya et al., 2011).
El crecimiento y rendimiento de los cultivos bajo las mallas sombras, depende tanto del color como de la relación de sombreo. Estudios realizados por Rodríguez y Morales (2015) mostraron que el rendimiento de un cultivo de arándano (Vaccinium corymbosum L.) fue mayor en una malla sombra de color rojo con 40% de sombreo, y que el rendimiento menor fue con malla del mismo color, pero con 18% de sombreo.
El chile (Capsicum annuum L.) es la segunda hortaliza de mayor importancia en México (Acosta y Chávez, 2003). La producción de chile a nivel mundial ha mostrado un gran crecimiento, ya que en 1996 se cosecharon 25 millones de toneladas, que se incrementó a 42 millones en el año 2006 y a 56 millones en 2016 (FAOSTAT, 2016). Bajo agricultura protegida (macro túneles e invernaderos) se puede mejorar el rendimiento y calidad de frutos de este cultivo. El tipo de material y color de la cubierta de un invernadero o macro túnel modifica la tasa de flujo y características espectrales de la radiación que se transmite, esto a su vez, tiene efecto en el crecimiento y rendimiento de las plantas que crecen bajo dichas cubiertas. Por lo que, el objetivo de este estudio fue evaluar el efecto del material y color de cuatro cubiertas en la tasa y características espectrales de la radiación que se transmite y su relación con el contenido de clorofila de las hojas, crecimiento y rendimiento de un cultivo de chile poblano (Capsicum annuum L.) cv Ébano.
Materiales y Métodos
Ubicación y características de los macro túneles
El estudio se realizó de mayo a agosto de 2017 en la propiedad rancho Las Varas, municipio de Sabinas Hidalgo, Nuevo León, cuyas coordenadas geográficas son: 26° 30’ 3” N, 100° 8’ 36” O, a una altitud de 292 m. La temperatura media anual es 28 °C, los vientos dominantes son del Noreste y el Este, y la precipitación promedio anual de 700 mm. El clima de la región es seco estepario (INAFED, 2017).
Para el desarrollo del experimento, se establecieron cuatro macro túneles de forma ovalada de 4 m de ancho, 2.5 m de alto y 12 m de longitud, separados 6 m. Los macro túneles se orientaron norte-sur con la puerta de acceso en el lado sur. La cubierta de tres de los macro túneles fue de láminas de policarbonato celular de color rojo, azul y traslúcido. Estas láminas son de protección contra la radiación ultravioleta (UV), de un espesor de 6 mm, son resistentes al impacto y la intemperie. El otro macro túnel se cubrió con polietileno difuso de alta densidad (0.94 g cm-3). Para reducir la incidencia de radiación solar y tener menor calentamiento de las plantas dentro de los macro túneles, se instaló una pantalla termo reflectora “Aluminet” (Polysac Plastci Industries). Estas pantallas están construidas por una malla de aluminio cubierta en ambas caras por una película de polietileno (tres capas) de alta densidad.
Las características espectrales de la radiación solar que se trasmite en cada lamina de policarbonato (rojo, azul y translucido), y el polietileno difuso de alta densidad en el rango de 400 a 700 nm fueron determinadas por Del Ángel-Hernández et al. (2017) (Figura 1). Nótese que el policarbonato azul tiene alta transmitancia en el rango de 450 a 500 nm, decrece de 500 a 600 nm y nuevamente aumenta de 600 a 700 nm. El policarbonato rojo tiene casi nula transmitancia en el rango de 400 a 575 nm, pero aumenta significativamente de 600 a 700 nm. La transmisividad del polietileno difuso de alta densidad es menor que la del policarbonato traslúcido, pero con el mismo patrón de variación.

Establecimiento y manejo del cultivo
Se utilizó el cultivo de chile poblano (Capsicum annuum L.) variedad Ébano. En cada macro túnel y a campo abierto, se establecieron dos camas de 0.60 m de ancho con 1 m de separación. Las plantas se trasplantaron el 12 de abril de 2017, cuando tenían 20 cm de altura a una profundidad de 4 y 40 cm de distancia entre plantas. El riego se aplicó por goteo (en los túneles y a campo abierto), con manguera de 16 mm de diámetro calibre 6000, con emisores cada 30 cm y un gasto de 1.6 LPH. Se aplicaron dos riegos diarios de 15 min a las 10:00 y las 16:00 h, durante el ciclo de crecimiento del cultivo.
Mediciones e instrumentación
Al centro de cada macro túnel y a 90 cm sobre la superficie del suelo se instaló un sensor Quantum (Apoge Instruments, Logan, Utah, USA) para medir la radiación fotosintéticamente activa (PAR) transmitida. Fuera de los macro túneles también se midió la PAR. Los sensores se conectaron a dos datalogger (CR1000, Campbell, Sci. Inc., Logan, Utha) y se realizaron mediciones a una frecuencia de 1 s, y promedios de 30 min en forma continua durante el ciclo de crecimiento del cultivo. Cada 15 días entre las 12:00 y las 14:00 h se midió en cada macro túnel y a campo abierto el contenido relativo de clorofila de las hojas con un medidor portátil (SPAD 502 Plus, Konica Minolta Optics, Inc., Japón).
Crecimiento y rendimiento del cultivo
Durante el ciclo de crecimiento del cultivo y a una frecuencia de 15 días se midió en cada macro túnel y a campo abierto el número de hojas por planta, altura y diámetro del tallo. En la cosecha se cuantificó el número de frutos cosechados por planta, diámetro (vernier digital, marca Mitutoyo modelo 500-197-30), longitud (cinta métrica) y peso (balanza electrónica, marca Ohaus, modelo FD6H) de los frutos.
Evaluación estadística
El efecto del color y material de la cubierta de los macro túneles en el contenido de clorofila de las hojas, temperatura foliar, crecimiento y rendimiento de las plantas se evaluó con un diseño estadístico completamente al azar con submuestreo con cinco tratamientos, correspondientes a los cuatro macro túneles de diferente color y material, y el testigo (a campo abierto), cuatro submuestras y cuatro repeticiónes por submuestra. La unidad experimental correspondió a una planta; esto representó 16 plantas evaluados por tratamiento.
Resultados y Discusión
Radiación fotosintéticamente activa incidente y la que se transmite a través de cada cubierta de los macro túneles
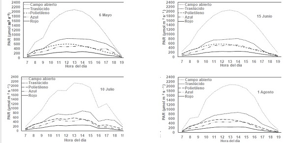
Debido a las propiedades espectrales de las cubiertas plásticas (Figura 1), la transmisividad a la radiación solar de cada cubierta fue diferente, por lo que, la radiación fotosinteticamete activa (PAR) que las plantas recibieron a través de su ciclo de crecimiento fue desigual. Además, el efecto de la pantalla termo reflectora, redujo apreciablemente la radiación que incidió sobre las plantas en cada túnel, ya que dicha pantalla tiene 50% de sombra a la radiación solar directa (Figura 2).

Las plantas que crecieron bajo el policarbonato traslúcido recibieron mayor radiación (PAR) a través de las horas del día, seguida por el polietileno de alta densidad, el policarbonato azul y en mucha menor proporción las plantas en el policarbonato rojo (Figura 2). De igual forma fue la PAR total diaria transmitida en cada cubierta (integrada de 7:00 a 19:00 h) y el total mensual durante los meses de crecimiento del cultivo (Cuadro 1). De abril a septiembre (ciclo de crecimiento del cultivo), en el policarbonato rojo se transmitió solo 12.42% de la PAR que incidió sobre la cubierta, 23.93% para policarbonato azul, 41.84% para el translucido y 26.38% para el polietileno de alta densidad (Cuadro 1).
| Mes | Policarbonato rojo | Policarbonato azul | Policarbonato translúcido | Polietileno difuso | PAR incidente |
| Abril | 192.31 | 385.66 | 646.24 | 437.04 | 1446.35 |
| Mayo | 179.53 | 358.43 | 589.69 | 400.36 | 1372.85 |
| Junio | 200.95 | 384.89 | 612.11 | 430.07 | 1415.75 |
| Julio | 194.57 | 356.99 | 673.72 | 435.48 | 1611.75 |
| Agosto | 160.30 | 302.83 | 579.19 | 296.68 | 1439.7 |
| Septiembre | 113.20 | 217.16 | 406.10 | 211.37 | 1095.28 |
| Total | 1040.86 | 2005.96 | 3507.05 | 2211.00 | 8381.68 |
La notablemente menor incidencia de radiación PAR y la casi nula transmisividad de radiación en el rango de 400 a 570 nm (Figura 1) en el policarbonato rojo, pueden tener un gran efecto en el desarrollo de las plantas, la floración y el crecimiento de frutos. Las características espectrales de la radiación fotosintéticamente activa (PAR) captada por una planta, determinan la producción de fotosintatos, influyendo en el crecimiento, la productividad y calidad de frutos (Ferree, 1980). Estudios realizados por Lin (2000) mostraron que la cantidad relativa de luz dentro del espectro del azul tiene diversos efectos en el crecimiento y desarrollo de las plantas. (López-Marín et al., 2012) reportaron que la tasa de fotosíntesis de plantas de pimiento (Capsicum annuum L.), decreció de 22.4 a 8.8 µmol CO2 m-2 s-1 (39.29%) cuando la tasa de la PAR incidente se redujo 60%. En otro estudio Sandri et al. (2003) observaron que un sombreo de 52% por una malla sombra, resultó en una reducción de 25% del rendimiento de un cultivo de tomate (Solanum lycopersicum L.).
Contenido relativo de clorofila en las hojas
El contenido menor de clorofila de las hojas, a través de todo el ciclo de crecimiento del cultivo se observó en las plantas que crecieron en el macro túnel con la cubierta de polietileno difuso de alta densidad, que fue igual al de las plantas a campo abierto y menor al de las plantas en los macro túneles con policarbonato de diferentes colores (Cuadro 2) (P ≤ 0.05). Esto probablemente se debió al efecto de difusividad de este material, propiedad que no tienen las láminas de policarbonato. Una mayor difusividad de la PAR permite una mejor distribución y penetración de la PAR en todos los estratos del follaje de las plantas. Esto permite mayor absorción de radiación con menor contenido de clorofila, ya que no se tiene efecto de sombreo de los estratos superiores de follaje sobre los estratos medios e inferiores. Por el contrario, en las plantas de los macro túneles con las láminas de policarbonato de los diferentes colores se presentó efecto de sombreo por incidencia de radiación solar directa. Al respecto, Casierra-Posada et al. (2014) encontraron que en plantas de chile pimiento (Capsicum annuum L.) el contenido de clorofila bajo películas de polipropileno de color azul, verde y transparente fue mayor al observado en las plantas que crecieron a campo abierto.
Estudios realizados por Casierra y Rojas (2009) observaron que el contenido de clorofila de las hojas de plantas de fresa (Fragaria vesca L.) creciendo bajo películas de polipropileno de color verde y rojo fue mayor al observado en las plantas que crecieron a campo abierto. La clorofila es esencial para el desarrollo de la planta, por la captura de la energía solar incidente necesaria para la fotosíntesis. Esta energía se transfiere a los productos fotosintetizados y por ello influyen directamente sobre el crecimiento y la calidad de los productos (Ferri et al., 2004).
| Cubierta del macro túnel | Clorofila (unidades spad) |
| Policarbonato azul | 58.297 a |
| Policarbonato translúcido | 57.880 a |
| Policarbonato rojo | 57.343 a |
| Campo abierto | 57.069 a,b |
| Polietileno difuso de alta densidad | 55.223 b |
Altura de planta y materia seca
Las plantas bajo el policarbonato rojo y azul tuvieron mayor altura (Cuadro 3) (Tukey, P ≤ 0.05). Esto probablemente se debió a que las plantas recibieron menos radiación fotosintéticamente activa (PAR) durante el día (Figura 2) y a través del ciclo de crecimiento de las plantas (Cuadro 1). Además, las plantas bajo el policarbonato rojo recibieron menos radiación en la banda de 400 a 570 nm de longitud de onda, y las plantas en el policarbonato azul menos en el rango de 600 a 700 nm (Figura 1). Cuando las plantas se desarrollan en un ambiente con déficit de radiación, desarrollan mayor altura para sobresalir sobre las plantas vecinas y poder captar la radiación incidente. Runkle y Heins (2006) observaron que el déficit de radiación afecta el crecimiento y desarrollo de las plantas. Martínez-Gutiérrez et al. (2016), reportaron mayor altura de plantas del cultivo de albaca (Ocimum basilicum L.) bajo malla sombra negra que las plantas a campo abierto. La altura de plantas y la producción de biomasa de un cultivo de Crisantemo (Chrysanthemum morifolium R.) fue mayor bajo una cubierta de polietileno translúcido que la observada en las plantas que crecieron bajo cubierta de polietileno azul, rojo y amarillo (Jin et al., 2012). Resultados similares fueron observados por Zhang et al. (2014) en el cultivo de soya (Glycine max L.) donde las plantas que crecieron bajo invernaderos con cubiertas de policarbonato y de vidrio tuvieron entrenudos más alargados y mayor altura de plantas que las que crecieron a campo abierto. En este estudio, las plantas que crecieron en condiciones de campo abierto recibieron mayor incidencia de radiación (Figura 2) (Cuadro1), pero fueron de menor altura que las plantas de los macro túneles con diferentes cubiertas de diferente color y material (Cuadro 3). Las plantas que crecieron en los diferentes macro túneles tuvieron igual desarrollo de materia seca, pero mayor al de las plantas en condiciones de campo abierto (Cuadro 3) (Tukey, P ≤ 0.05). El menor desarrollo de materia seca en las plantas a campo abierto, probablemente se debió a que el efecto de los frecuentes episodios de marchitez temporal por una demanda evaporativa de la atmosfera mayor que la tasa de transpiración foliar tuvo un impacto mayor en el crecimiento del área foliar, que la mayor incidencia de radiación fotosintéticamente activa. Estudios realizados por Casierra y Rojas (2009) reportaron mayor producción de materia seca de plantas de brócoli (Brassica oleracea L.) bajo películas de polietileno de color rojo, que las plantas a campo abierto.
| Cubierta del macro túnel | Altura de planta | Materia seca |
| cm | g planta -1 | |
| Policarbonato rojo | 214.37 a | 704.81 a |
| Policarbonato azul | 211.00 a | 642.50 a |
| Polietileno difuso de alta densidad | 193.81 b | 706.25 a |
| Policarbonato traslúcido | 186.31 b | 682.75 a |
| Campo abierto | 111.50 c | 386.93 b |
Rendimiento de frutos
Debido a las grandes diferencias en radiación fotosintéticamente activa (PAR) que recibieron las plantas bajo las diferentes cubiertas de los macro túneles y a campo abierto, la maduración y el rendimiento de frutos fue muy diferente. Los datos que se presentan en el Cuadro 1, son el resultado del promedio de cinco cortes realizados (para los parámetros de calidad del fruto), mientras que, para el rendimiento de frutos corresponde a la suma de los cinco cortes efectuados. Las plantas que crecieron en el macro túnel con polietileno difuso de alta densidad y el policarbonato traslúcido recibieron la mayor tasa de radiación PAR durante el día (Figura 2) y durante el ciclo de crecimiento del cultivo (Cuadro 1), y fueron las de mayor número de frutos por planta, mayor peso de fruto y mayor rendimiento (Cuadro 4). Por el contrario, las plantas bajo el policarbonato rojo recibieron la menor tasa de radiación PAR (Figura 2), y menor tasa de radiación en el rango de 400 a 570 nm de longitud de onda (Figura 1). Esto tuvo un fuerte impacto en la reducción del número de frutos por planta y el rendimiento total (Cuadro 4). El peso promedio del fruto y el rendimiento total de frutos fue mayor en las plantas bajo el policarbonato azul, que el observado bajo el policarbonato rojo y a campo abierto (Cuadro 4). Estudios previos han reportado que el rendimiento de cultivos bajo invernadero es mayor al obtenido a campo abierto. Por ejemplo, Khah (2011) obtuvo mayor rendimiento y calidad de frutos en cultivo de berenjena (Solanum melongena L.) bajo invernadero, que el obtenido a campo abierto. Resultados similares fueron reportados por Siwek y Lipowiecka (2004) en cultivo de pepino (Cucumis sativus L.). El rendimiento promedio por planta en cultivo de tomate de cascara (Physalis ixocarpa Brot.) fue mayor bajo polietileno translúcido que el observado en polietileno blanco y a campo abierto (Ramos-López et al., 2017).
| Cubierta del macro túnel | Número de frutos cosechados promedio por planta | Longitud promedio del fruto | Diámetro promedio del fruto | Peso promedio del fruto | Peso total de frutos por planta |
| - - - - - - cm - - - - - - | - - - - - - g - - - - - - | ||||
| Policarbonato translúcido | 18.06 a | 9.18 a | 53.46 a | 50.63 a | 840.91 a |
| Polietileno difuso de alta densidad | 14.75 a | 9.54 ab | 53.51 a | 52.69 a | 773.63 a |
| Policarbonato azul | 9.50 b | 8.77 b | 52.79 a | 44.19 b | 419.30 b |
| Campo abierto | 6.63 b | 7.16 d | 38.59 c | 25.33 c | 168.30 c |
| Policarbonato rojo | 0.50 c | 7.84 c | 44.89 b | 12.83 d | 17.48 d |
Conclusiones
Las plantas bajo la cubierta de policarbonato traslúcido y de polietileno difuso de alta densidad recibieron mayor radiación fotosintéticamente activa (PAR), y tuvieron más número de frutos por planta, de mayor peso y con más rendimiento de frutos. Por el contrario, las plantas bajo el policarbonato rojo y azul recibieron menos PAR y tuvieron menos frutos por planta, de menor peso y con menor rendimiento de frutos. Las plantas que crecieron bajo los macro túneles con láminas de policarbonato de los diferentes colores tuvieron mayor contenido de clorofila que las del polietileno de alta densidad y las de campo abierto. La casi nula transmisividad de 400 a 570 nm de longitud de onda del policarbonato rojo tiene un fuerte impacto en la reducción del número de frutos por planta y el rendimiento.
Literatura Citada
Acosta R., G. F. y N. Chávez S. 2003. Arreglo topológico y su efecto en rendimiento y calidad de la semilla de chile jalapeño. Agric. Téc. Méx. 29: 49-60.
Ayala-Tafoya, F., D. M. Zatarain-López, M. Valenzuela-López, L. Partida-Ruvalcaba, T. J. Velázquez-Alcaraz, T. Díaz-Valdés y J. A. Osuna-Sánchez. 2011. Crecimiento y rendimiento de tomate en respuesta a radiación solar transmitida por mallas sombra. Terra Latinoamericana 29: 403-410.
Casierra-Posada, F. Y J. F. Rojas B. 2009. Efecto de la exposición del semillero a coberturas de colores sobre el desarrollo y productividad del brócoli (Brassica oleracea var. italica) Agron. Colomb. 27: 49-55.
Casierra-Posada, F. , Y. A. Matallana-Díaz, and E. Zapata-Casierra. 2014. Growth of bell pepper plants (Capsicum annuum L.) affected by coloured covers. Gesunde Pflanzen 66: 149-155. doi: 10.1007/s10343-014-0328-7.
Del Ángel-Hernández, M., A. Zermeño-González, A. I. Melendres-Alvarez, S. G. Campos Magaña, M. Cadena-Zapata y G. A. del Bosque-Villarreal. 2017. Características de la cubierta de un túnel efecto en radiación, clorof ila y rendimiento de calabacita. Rev. Mex. Cienc. Agríc. 8: 1127-1142.
Díaz S., T., E. Espí, A. Fontecha, J. C. Jiménez, J. López. y A. Salmerón. 2001. Los f ilmes plásticos para la producción agrícola. Mundi-Prensa. Madrid, España. ISBN: 9788484760047.
Espi, E., A. Salmerón, A. Fontecha, I. García-Alonso, and A. I. Real. 2005. New ultrathermic f ilms for greenhouse covers. J. Plastic Films Sheeting 22: 59-68. doi: https://doi.org/10.1177/8756087906062764.
Espi, E. 2012. Materiales de cubierta para invernaderos. CEA 03: 71-88.
FAOSTAT (FAO Statistical Database. 2016. FAO Statistical Databases. Publishing Management Service, Information Division, Food and Agricultural Organization of the United Nations (FAO). Via delle Terme di Caracalla, Rome, Italy. http://faostat.fao.org. (Consulta: marzo 15, 2018).
Fallik, E., S. Alkalai-Tuvia, Y. Parselan, Z. Aharon, A. Elmann, Y. Offir , E. Matan, H. Yehezkel, K. Ratner, N. Zur, and Y. Shahak. 2009. Can colored shade nets maintain sweet pepper quality during storage and marketing. Acta Hortic. 830: 37-44. doi: 10.17660/ActaHortic.2009.830.3.
Ferree, D. C. 1980. Canopy development and yield efficiency of golden delicious apple trees in four orchard management systems. J. Am. Soc. Hortic. Sci. 105: 376-380.
Ferri, C. P., A. R. Formaggio, and M. A. Schiavinato. 2004. Narrow band spectral indexes for chlorophyll determination in soybean canopies (Glycine max L.) Merril. Braz. J. Plant Physiol. 16: 131-136. doi: http://dx.doi.org/10.1590/S1677-04202004000300002.
INAFED (Instituto Nacional para el Federalismo y el Desarrollo Municipal). 2017. Enciclopedia de los municipios y delegaciones de México estado de Nuevo León. Sabinas Hidalgo. ( (http://www.inafed.gob.mx/work/enciclopedia/EMM19nuevoleon/municipios/19044a.html) (Consulta: marzo 08, 2018).
Jin, M., Z. Zhu, Q. Guo, H. Shen, and Y. Wang. 2012. Growth and accumulation of bioactive compounds in medicinal Chrysanthemum morifolium Ramat. cv. Chuju under different colored shade polyethylene. J. Med. Plants Res. 6: 398-404. doi: https://doi.org/10.5897/JMPR11.1026.
Juárez-López, P., R. Bugarín Montoya, R. Castro-Brindis, A. L. Sánchez-Monteón, E. Cruz-Crespo, C. R. Juárez-Rosete, G. Alejo-Santiago y R. Balois Morales. 2011. Estructuras utilizadas en la agricultura protegida. Rev. Fuente 3: 21-27.
Khah, E. M. 2011. Effect of grafting on growth, performance and yield of aubergine (Solanum melongena L.) in greenhouse and open-f ield. Int. J. Plant Product. 5: 359-366. doi: 10.22069/IJPP.2012.746.
Lin, C. 2000. Plant blue-light receptors. Trends Plant Sci. 5: 337-342. doi: https://doi.org/10.1016/S1360-1385(00)01687-3.
López-Marín, J., A. Gálvez, A. González, C. Egea-Gilabert, and J. A. Fernández. 2012. Effect of shade on yield, quality and photosynthesis-related parameters of sweet pepper. plants. ActaHortic 956: 545-552. doi: 10.17660/ActaHortic.2012.956.65
Martínez-Gutiérrez, G. A., L. Nicolás-Santana, Y. D. Ortiz-Hernández, I. Morales y G. F. Gutiérrez-Hernández. 2016. Crecimiento y contenido de aceite en albahaca (Ocimum basilicum L.) bajo mallas sombra de colores. Interciencia 41: 428-432.
Ombódi, A., Z. Pék, P. Szuvandzsiev, Z. Tóthné-Taskovics, A. Kőházi-Kis, A. Kovács, H. Ledóné-Darázs, and L. Helyes. 2015. Effects of external coloured shade nets on sweet peppers cultivated in walk in plastic tunnels. Notulae Botanicae Horti Agrobotanici Cluj-Napoca 43: 398-403. doi: https://doi.org/10.15835/nbha4329863.
Ramos-López, B. I., G. A. Martínez-Gutiérrez, I. Morales, C. Escamirosa-Tinoco y A. Pérez-Herrera. 2017. Consumo de agua y rendimiento de tomate de cáscara bajo diferentes cubiertas de invernaderos. Hortic. Bras. 35: 265-270. doi: http://dx.doi.org/10.1590/s0102-053620170218.
Rodríguez B. M. M., y D. M. Morales U. 2015. Efecto de mallas sombreadoras sobre la producción y calidad de frutos de arándano (Vaccinium corymbosum L.) cv. Brigitta. Sci. Agropec. 6: 41-50. doi: http://dx.doi.org/10.17268/sci.agropecu.2015.01.04.
Runkle, E. S. and R. D. Heins. 2006. Manipulating the light environment to control flowering and morphogenesis of herbaceous plants. Acta Hortic. 711: 51-60. doi: 10.17660/ActaHortic.2006.711.4.
Sandri, M. A., J. L. Andriolo, M. Witter, and T. Dal Ross. 2003. Effect of shading on tomato plants grow under greenhouse. Hortic. Bras. 21: 642-645. doi: http://dx.doi.org/10.1590/S0102-05362003000400013.
Siwek, P. and M. Lipowiecka. 2004. Cucumber cultivation under plastic covers-economic results. Folta Hortic. Ann. 16: 49-55.
Zhang, L., L. Hartwell, M. M. Vaughan, B. A. Hauser, and K. J. Boote. 2014. Solar ultraviolet radiation exclusion increases soybean internode lengths and plant height. Agric. For. Meteorol. 184: 170-178. doi: https://doi.org/10.1016/j.agrformet.2013.09.011.
Notas
Zermeño González, A., J. Á. Marroquín Morales, A. I. Melendres Alvarez, H. Ramírez Rodríguez, M. Cadena Zapata y S. G. Campos Magaña. 2019. Propiedades espectrales de la cubierta de macro túneles y su relación con el crecimiento y rendimiento del chile poblano (Capsicum annuum L.). Terra Latinoamericana 37: 253-260. DOI: https://doi.org/10.28940/terra.v37i3.473
Notas de autor
‡ Autor para correspondencia (azermenog@hotmail.com)