Artículo científico
Crecimiento de Citrange troyer y atributos químicos-microbiológicos del suelo en respuesta a diferentes fertilizantes orgánicos
Citrange troyer growth and chemical-microbiological attributes of the soil in response to different organic fertilizers
Crecimiento de Citrange troyer y atributos químicos-microbiológicos del suelo en respuesta a diferentes fertilizantes orgánicos
Terra Latinoamericana, vol. 38, núm. 3, pp. 519-528, 2020
Sociedad Mexicana de la Ciencia del Suelo A.C.
Recepción: 31 Julio 2019
Aprobación: 27 Marzo 2020
Resumen: La producción citrícola depende principalmente en la disponibilidad de portainjertos sanos, apropiados y vigorosos; parte de su reproducción está asociada con el uso de fertilizantes químicos, que contribuyen en la contaminación de los ecosistemas. El uso de fertilizantes orgánicos son alternativas para reducir el uso de fertilizantes químicos. El objetivo de este trabajo fue evaluar el efecto de tres fertilizantes orgánicos (estiércol de gallina, cachaza (1 y 2) y pinzote) suministrados en tres dosis (1, 2 y 3%), en las propiedades químicas y microbiológicas del suelo y en el crecimiento del portainjerto Citrange troyer, en invernadero. Se utilizó un diseño completamente al azar con 14 tratamientos y seis repeticiones cada uno, incluyendo dos testigos (absoluto y fertilizado). Mediante diluciones seriadas en medios específicos se cuantificó Azospirillum, Azotobacter, y bacterias solubilizadoras de fosfatos y de potasio. Los hongos micorrízicos arbusculares fueron evaluados según la técnica de clareo y tinción con azul tripano. El pH del suelo se incrementó 0.9 unidades al agregar 1% de cachaza-2; mientras que el carbono orgánico se elevó 0.7% con el estiércol de gallina al 1%. Las bacterias Azospirillum, Azotobacter y solubilizadoras de fosfatos, se incrementaron en los tratamientos suministrados con cachaza-1 1% y estiércol de gallina 1%. La cachaza-1 2%, indujo mayor colonización micorrízica y mayor crecimiento de la planta. Ocho de los doce tratamientos con fertilizantes orgánicos utilizados, modif icaron positivamente las propiedades químicas y microbiológicas del suelo, dando como resultado un mejor crecimiento de Citrange troyer comparado con los testigos.
Palabras clave: Azospirillum, Azotobacter, cachaza, hongo micorrízico arbuscular, Poncirus trifoliata × Citrus sinensis.
Summary: Citrus production depends principally on the healthiest, appropriate and vigorous rootstock available; part of its reproduction is associated with the use of chemical fertilizers, that contribute to ecosystem contamination. Uses of organic fertilizers are alternatives to reduce the use of chemical fertilizers. Therefore, the objective of this study was to evaluate the effect of three organic fertilizers (chicken manure, sugarcane residue (1 and 2), and banana waste) supplied in three doses (1, 2 and 3%), in chemical and microbiological soil properties and in Citrange troyer rootstock growth in greenhouse. A complete randomized design was used with 14 treatments and six replicates each, including two control groups (absolute and fertilized). Serial dilutions in specific media were used to quantify Azospirillum, Azotobacter, phosphate and potassium solubilizing bacteria. Arbuscular mycorrhizal fungi were evaluated according to the clearing and dyeing technique with trypan blue. Soil pH increased 0.9 units when adding 1% sugarcane residue-2; while organic carbon increased 0.7% with chicken manure 1%; Azospirillum, Azotobacter and phosphate solubilizing bacteria increased in the treatments supplied with sugarcane residue-1 1% and chicken manure 1%. The cachaza-1 2% induced greater mycorrhizal colonization and increased plant growth. Nine of twelve treatments with the organic fertilizers used, positively modified soil chemical and microbiological properties, resulting in a better growth of Citrange troyer compared with the control groups.
Index words: Azospirillum, Azotobacter, sugarcane, residue arbuscular mycorrhizal fungi, Poncirus trifoliata × Citrus sinensis.
Introducción
Las frutas de los cítricos tienen gran valor a nivel mundial, su producción ha sido estimada en más de 123 millones de toneladas en 2016, incluidos las naranjas, limas, limones, mandarina y tangerinas en sus diversas variedades o cultivares (FAOSTAT, 2018). Debido a la fácil hibridación de los cítricos, los árboles se obtienen al injertar las especies deseadas sobre portainjertos debidamente seleccionados. Los portainjertos son de vital importancia, debido a que estos pueden afectar el crecimiento y vigorosidad de los árboles, incrementar el rendimiento y calidad de la fruta y proporcionar tolerancia a plagas y enfermedades (Spina et al., 2008; Borgoni et al., 2014; Continella et al., 2018).
Citrange troyer (P. trifoliata × C. sinensis) es utilizado como portainjerto de limoneros, naranjas y toronjas, debido a su capacidad para adaptarse en suelos con problemas de salinidad y de climas fríos (Yildiz et al., 2013; Sharma et al., 2015); presenta resistencia a enfermedades radicales causadas por fitopatógenos del suelo (Spina et al., 2008), resistencia a enfermedades aéreas como el virus de la tristeza de los cítricos, el tizón bacteriano (Pompeu y Blumer, 2009) y el Huanglongbing de los cítricos (Borgoni et al., 2014).
La producción citrícola depende principalmente de la disponibilidad de portainjertos adecuados, sanos y vigorosos, por lo que su reproducción está asociada con el uso de fertilizantes químicos, los cuales contribuyen en la contaminación de los ecosistemas agua-suelo-atmosfera. En la región Sureste de México, principalmente en el estado de Tabasco, se producen residuos derivados de la industria azucarera (cachaza), industria animal (estiércol de gallina) e industria bananera (pinzote); los cuales al ser desechados en tiraderos a cielo abierto contaminan al medio ambiente. La cachaza y el estiércol de gallina, generan lixiviados de nutrientes y formación de gases de efecto invernadero (amoniaco, metano, bióxido de carbono) (Hernández et al., 2008; Pinos-Rodríguez et al., 2012), la contaminación por pinzote es más por lixiviados nutrimentales y olores desagradables que esta genera en su acumulación. Sin embargo, estos residuos pueden ser utilizados como fertilizantes orgánicos, al mejorar las propiedades físicas, químicas y microbiológicas del suelo (Romero-Yam et al., 2015; Estrada-Bonilla et al., 2017), siendo así una de las alternativas para reducir el uso de fertilizantes químicos.
Los fertilizantes orgánicos que han sido utilizados para mejorar la calidad de los portainjertos son residuos de banano, estiércol de pollo, cáscara de naranja y cachaza en naranjo agrio (Citrus aurantum L.) (Rivera-Cruz et al., 2008; González-Mancilla et al., 2013); vermicomposta a base de estiércol de bovino y residuos citrícolas en naranjo agrio (Sorrenti et al., 2008); y sustrato comercial a base de corteza de Pinus y turba en lima Rangpur (Citrus limonia Osbeck) (Carneiro et al., 2011), los cuales han proporcionado mayor altura, número de hojas y mayor producción de biomasa seca en planta, resultando mayor vigorosidad y mayor rapidez para su uso como potainjerto.
Los suelos fertilizados orgánicamente tienen mayor actividad y diversidad de organismos, que incluye bacterias, hongos, actinomicetos, nematodos, lombrices de tierra, insectos y artrópodos que interactúan sinérgicamente en el ecosistema (Mader et al., 2002). Los microorganismos benéficos también son favorecidos por la implementación de fertilizantes orgánicos. Los más estudiados son las bacterias promotoras de crecimiento vegetal (BPCV) y los hongos micorrízicos arbusculares (HMA).
Las BPCV promueven el crecimiento de las plantas, mediante mecanismos como aumento en la movilización de nutrientes, fijación de nitrógeno, solubilización de fosfatos, control biológico de patógenos, síntesis de sustancias reguladoras del crecimiento (auxinas, giberelinas, citoquininas) y mayor capacidad de absorción de agua y nutrientes (Etesami y Maheshwari, 2018). Los HMA permiten mejorar las condiciones hídricas del sistema radical, facilitan la absorción de nutrientes, permiten mejor adaptación de las plantas y su posterior crecimiento y desarrollo (Knappová et al., 2016). Por lo anterior, el presente trabajo tuvo como objetivo evaluar el efecto de diferentes tipos y dosis de fertilizantes orgánicos sobre el crecimiento del portainjerto Citrange troyer y su influencia en las propiedades químicas y microbiológicas del suelo.
Materiales y Métodos
Suelo y fertilizantes orgánicos utilizados
Se utilizó un suelo clasificado como Acrisol Umbri-Plíntico, según la Base de Referencia Mundial del Recurso Suelo (FAO-ISRIC-SICS, 2007), colectado hasta 30 cm de profundidad del horizonte superficial Ap1 cultivado en campo con limón persa (Citrus latifolia Tanaka), ubicado a 17° 45’ N y 93° 44’ O, altitud de 30 m, en Huimanguillo, Tabasco, México. Las características químicas del suelo fueron pH de 4.7 (Potenciometría, suelo: agua; 1:2), contenido de materia orgánica de 2.7% según el método de Walkley y Black (Nelson y Sommers, 1996), carbono orgánico de 1.6% determinado a partir de la materia orgánica (% carbono = % materia orgánica/1.724), además de 0.21% de nitrógeno total (micro Kjeldhal), 31.3 mg kg-1 de fósforo disponible (Bray y Kurtz, 1945) y textura areno francosa (Bouyoucos).
Se utilizaron tres fertilizantes orgánicos, que incluyen dos de origen vegetal: cachaza (1 y 2) y pinzote (PIN); y uno de origen animal: estiércol de gallina (EG). La cachaza-1 (CA1, zafra 2007-2008) y cachaza-2 (CA2, zafra 2008-2009) son derivados de la molienda industrial de la caña de azúcar expuesta al ambiente durante 11 y tres meses respectivamente, colectados en el Ingenio Santa Rosalía, Cárdenas, Tabasco, México. La CA1, con mayor exposición al ambiente, presenta mayor mineralización comparado con la CA2; presenta menor relación carbono/nitrógeno y mejores contenidos de nitrógeno total, fósforo disponible, calcio y zinc (González-Mancilla et al., 2013). El PIN es un producto originado de la descomposición natural del raquis central del racimo de banano, colectado en un tiradero a cielo abierto y expuesto al ambiente durante tres años, en la f inca bananera AGRISNA S.P. de R.L., localizada en Cunduacán, Tabasco.
Las características químicas y microbiológicas de los fertilizantes orgánicos fueron descritas por González-Mancilla et al. (2013), en un trabajo anterior, encontrándose un mayor porcentaje de carbono orgánico (17.9%) en el EG, evidenciando además un valor alto en N total (3%) y fósforo disponible (1370 mg kg-1); en la CA 1 encontraron 9.1% de carbono orgánico, 1.2% de nitrógeno total y 1220 mg kg-1 de fósforo disponible; la CA2 presentó 14.1% de carbono orgánico, 1.1% de nitrógeno total y 850 mg kg-1 de fósforo disponible; finalmente en el PIN encontraron 14.3% de carbono orgánico, 3.3% de nitrógeno total y 170 mg kg-1 de fósforo disponible. Las colonias bacterianas Azospirillum, Azotobacter y solubilizadoras de fosfatos fueron de 112, 146 y 138 × 101 UFC g-1 de fertilizante orgánico seco.
Establecimiento del experimento y variables evaluadas
Para la producción de plántulas de Citrange troyer, las semillas se sembraron en charolas de germinación de plástico con 144 cavidades (28 × 11 mm, alto × ancho), llenadas con 15 g del suelo colectado, después de tres meses se logró obtener las plántulas de Citrange troyer y fueron trasplantadas en macetas cuando alcanzaron una altura promedio de 7.7 cm. El experimento se realizó en invernadero durante 11 meses. La temperatura promedio fue de 28±4 °C y la humedad relativa fluctuó de 60 y 95% (T-RhInstrument Datalogger); el riego se realizó cada tercer día con aproximadamente 600 (±200) mL de agua corriente, para reducir lixiviación en las macetas. Los tratamientos fueron distribuidos en un diseño completamente al azar, con seis repeticiones cada uno, en total 84 unidades experimentales. La unidad experimental consistió de una bolsa negra de polietileno 30 × 30 cm (alto × ancho) con 5.6 kg de suelo seco y tamizado en malla de 5 mm de diámetro, una planta de C. troyer, y su respectivo tipo y nivel de fertilizante orgánico.
Se estableció un experimento completamente al azar con 14 tratamientos, utilizando cuatro fertilizantes orgánicos (EG, CA1, CA2 y PIN) suministrados en tres dosis (1, 2 y 3%) de 10, 20 y 30 g por kg de suelo, equivalentes a 20, 40 y 60 Mg ha-1. En total se tuvieron 12 tratamientos con fertilizantes orgánicos (EG 1%, EG 2%, EG 3%, CA1 1%, CA1 2%, CA1 3%, CA2 1%, CA2 2%, CA2 3%, PIN 1%, PIN 2% y PIN 3%), más dos testigos: un absoluto (TA) y un fertilizado con urea (TF, 120 kg ha-1), dosis recomendada para suelos plantados con naranja valencia en el estado de Tabasco (Pastrana et al., 1995), distribuido en tres aplicaciones.
Los efectos de los diferentes tratamientos con fertilizantes orgánicos fueron evaluados mediante las propiedades químicas del suelo (pH, MO, N total, C/N y P), en la densidad de bacterias benéficas (Azospirillum, Azotobacter y BSP), en la colonización por hongos micorrízicos arbusculares (HMA) y en el crecimiento de planta (altura, diámetro de tallo y biomasa).
El pH, MO, N total y P disponible en suelos se determinaron con los métodos descritos en el apartado de propiedades químicas de suelos y fertilizantes orgánicos de este artículo. Se cuantificaron unidades formadoras de colonias (UFC) de bacterias promotoras del crecimiento vegetal (BPCV) en suelo rizosférico siguiendo la técnica de diluciones seriadas, utilizando medios de cultivos específicos: Agar rojo congo para Azospirillium (Rodríguez, 1982), Ashby para Azotobacter (Subba-Rao, 1982) y Pikovskaya para las BSP (Pikovskaya, 1948). La colonización por HMA fue evaluado en raíces de C. troyer, siguiendo el método de clareo y tinción con azul tripano (Phillips y Hayman, 1970) y el porcentaje de colonización por hifas, arbusculos y vesículas fue estimado por el método de Biermann y Linderman (1981).
La altura de planta, el diámetro basal de tallo, la biomasa seca aérea y radical se determinaron a los 11 meses, tiempo que duró el experimento. La altura se determinó con una regla graduada en cm de la base del tallo hasta la yema apical (primordio foliar), el diámetro basal en tallo se midió en la base del tallo con un vernier electrónico. La parte aérea y radical de las plantas, fueron secadas hasta peso constante en un horno (TECSA, Modelo HDP-867) a 70 °C por 72 h, posteriormente se determinó la biomasa seca aérea y radical con una balanza analítica (Sartorius, Modelo Analytic AC 210S, Illinois, EUA). Los datos obtenidos fueron analizados mediante el paquete estadístico SAS para Windows (SAS, 2002), realizando un análisis de varianza (ANDEVA) y prueba de comparación de medias (Tukey, P ≤ 0.05).
Resultados y Discusión
Propiedades químicas del suelo
Las características químicas del suelo se vieron mejoradas al agregar los fertilizantes orgánicos (Tukey, P ≤ 0.05) (Cuadro 1). El pH en los tratamientos TA y TF fueron de 6.2 y 5.7, mientras que en los suelos tratados con el EG fluctuaron entre 6.4 y 6.9, entre 6.6‑7.0 en suelos con CA1, entre 6.3-7.1 con CA2 y con pH entre 6.5-6.9 en suelos con PIN. El tratamiento CA2 1% obtuvo mayor incremento de pH (0.9 unidades) comparado con el TA. Esta variable presentó correlación significativa [-0.313(*) y 0.328(*)] con el nitrógeno total y fósforo disponible.

El contenido de CO, se incrementó en la mayoría de los tratamientos con fertilizantes orgánicos, sobresaliendo el tratamiento con EG 1% al presentar 5.6% de CO, siendo 0.7% mayor respecto al TA (4.9%). El contenido de N total varió significativamente entre los tratamientos, siendo mejor el CA2 2% con 0.15% de N total, 2.5 veces mejor que el TA (0.06%). Los tratamientos con 1 y 2% de PIN permitieron mayor relación C/N (124.8 y 126.9), 1.5 veces mejor que el TA (81.7). El mayor contenido de P disponible en suelo fue encontrado en el suelo con EG 2% (127.9 mg kg-1), representando 11 veces más de P disponible comparado al TA (11 mg kg-1). El N total presentó correlación significativa [-0.319(*) y -0.369(*)] con Azospirillum y con la colonización micorrízica; en cambio el P disponible se correlacionó de forma significativa [0.356(*)] con Azotobacter y altamente significativa [-0.452(**)] con la colonización micorrízica; los incrementos en P y N total posiblemente están relacionados con el aporte de estos nutrientes por parte de los fertilizantes orgánicos.
Diversos autores han estudiado los beneficios que proporcionan los fertilizantes orgánicos; al aplicar estiércol de pollo en suelos, se ha reportado incrementos de nitrógeno, fósforo, potasio, calcio y magnesio, los cuales inciden en el crecimiento y desarrollo de los cultivos, la mayoría de los autores atribuyen este efecto al N y C orgánico que resulta al incorporar este fertilizante (Ahmad et al., 2009; Moeskops et al., 2010); los residuos animales pueden incrementar hasta 0.14% del CO en suelo (Moeskops et al., 2010), pero en este trabajo el incremento fue de 0.7% con el EG 1%. La cachaza, también ha sido utilizado como fertilizante y se han reportado mejora en las propiedades químicas del suelo (González-Mancilla et al., 20113; Romero-Yam et al., 2015; Estrada-Bonilla et al., 2017; Shehzadi et al., 2017); en este trabajo se incrementó 2.5 veces más el N total comparado con el testigo absoluto, siendo mejor que lo reportado por Rivera-Cruz et al. (2010), al encontrar incrementos de 1.1 veces más en N total bajo el mismo fertilizante y la misma dosis.
Densidad de BPCV y colonización por HMA en Citrange troyer
La densidad de BPCV en suelo rizosférico de Citrange troyer fue diferente en cada uno de los tratamientos evaluados (Tukey, P ≤ 0.05) (Cuadro 2). La fertilización con CA1 1%, promovió mayor densidad de bacterias Azospirillum con 935 × 104 UFC g s-1, 2.5 veces mejor que el TA (368 × 104 UFC g s-1), EG 1% presentó mayor población de Azotobacter (124 × 104 UFC g s-1) y BSP (514 × 104 UFC g s-1), siendo 413 y 4.4 veces mayor respecto a lo obtenido en el TA. El TF promovió menor densidad de las BPCV Azospirillum y BSP comparado con el TA.

La densidad de Azospirillum fue más baja (103 UFC g-1 s.s.) en naranjo agrio cultivado con CA1 1% (Rivera-Cruz et al., 2010), sin embargo, los resultados de este trabajo coinciden con González-Mancilla et al. (2013), al reportar poblaciones altas de Azospirillum (118 × 104 UFC g-1 s.s.) en rizósfera de Citrange troyer bajo el mismo fertilizante, pero en condiciones de vivero. Los efectos positivos de la gallinaza en la densidad de Azotobacter y BSP han sido reportados en otros estudios, por ejemplo, Wu et al. (2005), encontraron incrementos de 1.1 veces en BSP; Rivera-Cruz et al. (2010), obtuvieron incrementos de 15 veces más en Azotobacter al incorporar la gallinaza 1% a un suelo cultivado con naranjo agrio; finalmente Romero-Yam et al. (2015), demostraron que la gallinaza suministrada con la cachaza induce mayor población de bacterias totales, atribuyendo este efecto al nitrógeno y CO concentrado en la gallinaza. En este trabajo Azotobacter y BSP tuvieron correlación altamente significativa [0.636(**) y 0.536(**)] con el contenido de CO, lo que indica su influencia en la densidad de estas colonias bacterianas.
Los efectos de los fertilizantes orgánicos, sobre la colonización por HMA, fueron significativos (Cuadro 2). El mayor porcentaje de colonización por hifas (93%), arbusculos (69%) y vesículas (51%) fue localizado en el tratamiento con CA1 2%, siendo 1.3, 1.4 y 2.4 veces mejor comparado con la colonización micorrízica en el TA. Los tres tratamientos con EG no lograron incrementar la colonización micorrízica respecto al TA, posiblemente, se debe al alto contenido de fósforo encontrado en este fertilizante orgánico (1370 mg kg‑1), y es reafirmado por Douds et al. (1997), al atribuir que el impacto negativo en los HMA se debe al alto contenido de fósforo en el estiércol de pollo.
Existen diversas investigaciones sobre el efecto de los sustratos orgánicos en la diversidad y colonización por HMA; algunos de ellos, han concluido que los fertilizantes orgánicos no siempre van a mejorar la colonización, la efectividad y la diversidad micorrízica (Focchi et al., 2004; Gosling et al., 2006) debido a la cantidad de nutrientes que estos incorporan, principalmente de nitrógeno y fósforo; en esta investigación la colonización micorrízica presentó correlación significativa [-0.369(**)] con N total y altamente significativa [-0.452(**)] con el P disponible.
Crecimiento de Citrange troyer
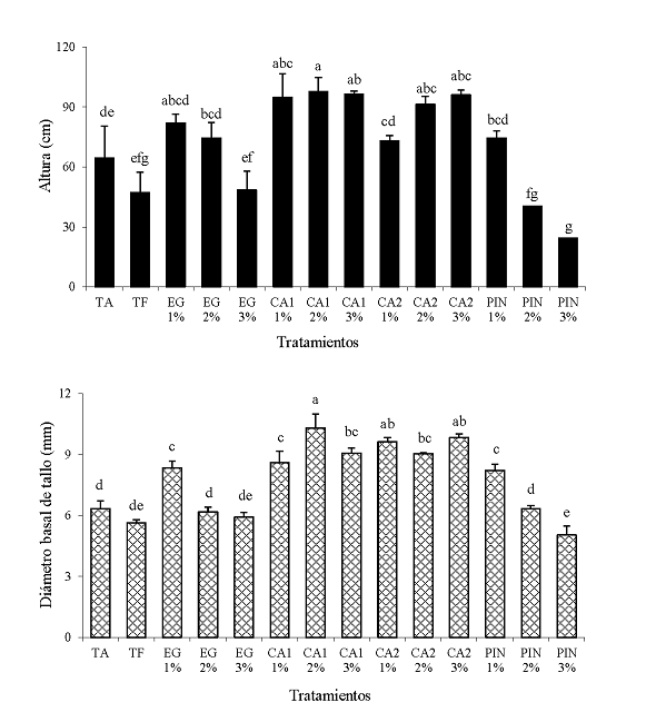
El crecimiento de Citrange troyer (altura, diámetro de tallo y biomasa seca), se mejoró en ocho de los doce tratamientos orgánicos (Figuras 1 y 2). La CA1 2% permitió mayor altura (98 cm), seguido de CA1 3% (96 cm) evaluados a los 11 meses después del trasplante, valores que representan 1.5 veces más respecto a la altura obtenida en el TA (64 cm) y 2 veces más que el TF (47 cm) (Figura 1).


El diámetro de tallo (10.3 mm) y la acumulación de biomasa seca aérea (13.2 g) fueron mejores en las plantas tratadas con la CA1 a dosis 2 y 3%, estos representan incrementos de 1 y 2 veces mejor que el TA, quien permitió en promedio 6.3 mm en diámetro basal de tallo y 6.6 g en biomasa seca aérea, respectivamente. La mayor acumulación de biomasa seca radical (13.4 g) en las plantas Citrange troyer fue obtenida al aplicar la CA2 1%, siendo dos veces mejor la acumulación de biomasa seca respecto al TA (13.2 g) y tres veces mejor que el TF (8.2 g) (Figura 2).
En este estudio se observó mejor crecimiento al fertilizar con la CA1 2%, pero en condiciones de vivero fue mejor el EG 2% (González-Mancilla et al., 2013). La diferencia entre la producción de portainjertos en invernadero y en vivero, radica en que en invernadero se cultivan bajo un ambiente controlado; en este estudio se controlaron factores como las lluvias, temperaturas e incidencia de plagas y malezas, no así para los lixiviados en las bolsas de crecimiento, los cuales no fueron controlados.
Diversos estudios han demostrado que los cultivos manifiestan una respuesta positiva en el crecimiento con la aplicación de fertilizantes orgánicos (Lee, 2010; Baldi et al., 2010; Puerta et al., 2012; González-Mancilla et al., 2013; Shehzadi et al., 2017), sin embargo, en este trabajo, las plantas fertilizadas con estiércol de gallina y pinzote en sus dosis 2 y 3%, afectaron el crecimiento de Citrange troyer debido al exceso de N incorporado con estos fertilizantes. Los efectos positivos de los fertilizantes orgánicos se deben a que estos aportan casi todos los nutrimentos que las plantas necesitan mediante la mineralización gradual a la que están sometidos (Bouajila y Sanaa, 2011), además de que modifican la abundancia y diversidad microbiana (Aparna et al., 2014).
Los cítricos han sido cultivados en suelos con fertilizantes orgánicos y se han encontrado efectos positivos en el crecimiento; por ejemplo, vermicompostas con estiércol de bovino más residuos citrícolas aplicadas en tangerinas injertadas sobre naranjo agrio (Sorrenti et al., 2008), residuos de maíz más estiércol de borrego en cultivos de mandarina injertados sobre Citrange carrizo (Martínez-Alcántara et al., 2016) y gallinaza en cultivos de mandarina (Gamal y Ragab, 2003), incrementan altura, número de hojas y ramas, área foliar, producción de biomasa seca, diámetro de tallo y contenidos nutrimentales tanto en hojas como en tallo, comparadas con plantas sin fertilización orgánica y en algunos casos comparadas con plantas sometidas a fertilización química.
Conclusiones
Las propiedades químicas y microbiológicas del suelo fueron modificados al incorporar los fertilizantes orgánicos en sus diferentes dosis. Se observó mayor contenido de CO en suelo y mayor densidad de BPCV Azotobacter y BSP con EG 1%, Azospirillum fue mejor cuando se incorporó al suelo la CA1 1%. Ocho de los 12 tratamientos con fertilizantes orgánicos mejoraron el crecimiento del portainjerto Citrange troyer (altura, diámetro basal de tallo y producción de biomasa seca) respecto al testigo absoluto, siendo mejor las plantas tratadas con CA1 2%, quien además de mejorar en altura, diámetro basal de tallo y producción de biomasa seca, indujo mayor colonización micorrízica. Incorporar a los suelos fertilizantes orgánicos como el estiércol de gallina (dosis 1%), la cachaza (dosis 1, 2 y 3%) y el pinzote (dosis 1%), contribuyen a mejorar las propiedades químicas y microbiológicas del suelo resultando un mejor crecimiento y desarrollo del portainjerto, cultivado en invernadero. Los autores recomiendan incorporar las dosis antes mencionadas y no utilizar el estiércol de gallina, ni el pinzote, especialmente en las dosis 2 y 3% (40 y 60 Mg ha-1), ya que estas dosis afectan negativamente el crecimiento del cultivo.
Literatura Citada
Ahmad, A. A., A. Fares, F. Abbas, and J. L. Deenik. 2009. Nutrient concentrations within and below root zones from applied chicken manure in selected Hawaiian soils. J. Environ. Sci. Health B 44: 828-843. doi: 10.1080/03601230903238723.
Aparna, K., M. A. Pasha, D. L. N. Rao, and P. U. Krishnaraj. 2014. Organic amendments as ecosystem engineers: Microbial, biochemical and genomic evidence of soil health improvement in a tropical arid zone field site. Ecol. Engin. 71: 268-277. doi: https://doi.org/10.1016/j.ecoleng.2014.07.016.
Baldi, E., M. Toselli, and B. Marangoni. 2010. Nutrient partitioning in potted peach (Prunus persica L.) trees supplied with mineral and organic fertilizers. J. Plant Nutr. 33: 2050-2061. doi: https://doi.org/10.1080/01904167.2010.519080.
Biermann, B. and R. G. Linderman. 1981. Quantifying vesicular-arbuscular mycorrhizae: A proposed method towards standardization. New Phytol. 87: 63-67. doi: https://doi.org/10.1111/j.1469-8137.1981.tb01690.x.
Borgoni, P. C., J. D. Vendramim, A. L. Lourencão, and M. A. Machado. 2014. Resistance of citrus and related genera to Diaphorina citri Kuwayama (Hemiptera: Liviidae). Neotrop. Entomol. 43: 465-469. doi: https://doi.org/10.1007/s13744-014-0230-0.
Bouajila, K. and M. Sanaa. 2011. Effects of organic amendments on soil physic-chemical and biological properties. J. Mater. Environ. Sci. 2: 485-490.
Bray, R. H. and L. T. Kurtz. 1945. Determination of total, organic and available forms of phosphorus in soil. Soil Sci. 59: 39-45. doi: 10.1097/00010694-194501000-00006.
Carneiro, P. A. P., P. S. N. Lopes, N. C. C. Oliveira, L. A. Fernandes, and B. Melo. 2011. Produção de porta-enxerto de limão cravo, em resposta à adubação organomineral. Biosci. J. 27: 427-432.
Continella, A., C. Pannitteri, S. La Malfa, P. Legua, G. Distefano, E. Nicolosi, and A. Gentile. 2018. Influence of different rootstocks on yield precocity and fruit quality of ‘Tarocco Scirè’ pigmented sweet orange. Scientia Horticulturae 230: 62-67. doi: https://doi.org/10.1016/j.scienta.2017.11.006.
Douds, D. D., L. Galvez, M. Franke-Snyder , C. Reider, and L. E. Drinkwater. 1997. Effect of compost addition and crop rotation point upon VAM fungi. Agric. Ecosyst. Environ. 65: 257-266. doi: https://doi.org/10.1016/S0167-8809(97)00075-3.
Estrada-Bonilla, G. A., C. M. Lopes, A. Durrer, P. R. L. Alves, N. Passaglia, and E. J. B. Cardoso. 2017. Effect of phosphate-solubilizing bacteria on phosphorus dynamics and the bacterial community during composting of sugarcane industry waste. Syst. Appl. Microbiol. 40: 308-313. doi: https://doi.org/10.1016/j.syapm.2017.05.003.
Etesami, H. and D. K. Maheshwari. 2018. Use of plant growth promoting rhizobacteria (PGPRs) with multiple plant growth promoting traits in stress agriculture: Action mechanisms and future prospects. Ecotoxicol. Environ. Saf. 156: 225-246. doi: 10.1016/j.ecoenv.2018.03.013
FAOSTAT (Food and Agriculture Organization Corporate Statistical Database). 2018. Crops. Crop statistics are recorded for 173 products. FAO. Disponible en: Disponible en: http://www.fao.org/faostat/en/#data/QC (Consulta: junio 5, 2018).
FAO-ISRIC-SICS (Organización de las Naciones Unidas para la Agricultura y la Alimentación - Centro Internacional de Referencia e Información en Suelos y Sociedad Internacional de las Ciencias del Suelo). 2007. Base Referencial Mundial del Recurso Suelo. Informes sobre recursos mundiales de suelos 103. Organización de las Naciones Unidas para la Agricultura y la Alimentación-Centro 330 Internacional de Referencia e Información en Suelos-Sociedad Internacional de las Ciencias del Suelo. Roma, Italia.
Focchi, S. S., F. K. D. Soglio, R. Carrenho, P. V. D. Souza, and P. E. Lovato. 2004. Fungos micorrízicos arbusculares em cultivos de citros sob manejo convencional e orgánico. Pesq. Agropec. Bras. 39: 469-476. doi: https://doi.org/10.1590/S0100-204X2004000500009.
Gamal, A. M. and M. A. Ragab. 2003. Effect of organic manure source and its rate on growth, nutritional status of the trees and productivity of Balady mandarin trees. Assiut J. Agric. Sci. 34: 253-264.
González-Mancilla, A., M. C. Rivera-Cruz , C. F. Ortiz-García, J. J. Almaraz-Suárez, A. Trujillo-Narcía y G. Cruz-Navarro. 2013. Uso de fertilizantes orgánicos para la mejora de propiedades químicas y microbiológicas del suelo y del crecimiento del cítrico Citrange troyer. Univ. Cienc. 28: 123-139.
Gosling, P., A. Hodge, G. Goodlass, and G. D. Bending. 2006. Arbuscular mycorrhizal fungi and organic farming. Agric. Ecosyst. Environ. 113: 17-35. doi: https://doi.org/10.1016/j.agee.2005.09.009.
Hernández M., G. I., S. Salgado G., D. J. Palma L., L. C. Lagunes-Espinoza, M. Castelán-Estrada y O. Ruiz R. 2008. Vinaza y composta de cachaza como fuente de nutrientes en caña de azúcar en un gleysol mólico de Chiapas, México. Interciencia 33: 860-855.
Knappová, J., H. Pánková, and Z. Münzbergová. 2016. Roles of arbuscular mycorrhizal fungi and soil abiotic conditions in the establishment of a dry grassland community. Plos One 11: 1-24. doi: https://doi.org/10.1371/journal.pone.0158925.
Lee, J. 2010. Effect of application methods of organic fertilizer on growth, soil chemical properties and microbial densities in organic bulb onion production. Sci. Hortic. 124: 299-305. doi: https://doi.org/10.1016/j.scienta.2010.01.004.
Mader, P., A. Fliebbach, D. Dubois, L. Gunst, P. Fried, and U. Niggli. 2002. Soil fertility and biodiversity in organic farming. Science 296: 1694-1697. doi: 10.1126/science.1071148.
Martínez-Alcántara, B., M. R. Martínez-Cuenca, A. Bermejo, F. Legaz, and A. Quiñones. 2016. Liquid organic fertilizers for sustainable agriculture: Nutrient uptake of organic versus mineral fertilizers in citrus trees. Plos One 11: e0161619. doi: 10.1371/journal.pone.0161619.
Moeskops, B., Sukristiyonubowo, D. Buchan, S. Sleutel, L. Herawaty, E. Husen, R. Saraswati, D. Setyorini, and S. D. Neve. 2010. Soil microbial communities and activities under intensive organic and conventional vegetable farming in West Java, Indonesia. Appl. Soil Ecol. 45: 112-120. doi: https://doi.org/10.1016/j.apsoil.2010.03.005.
Nelson, D. W. and L. E. Sommers. 1996. Total carbon, organic carbon, and organic matter. pp. 961-1010. In: D. L. Sparks, A. L. Page, P. A. Helmke, R. H. Loeppert, P. N. Soltanpour, M. A. Tabatabai, C. T. Johnston, and M. E. Sumner (eds.). Methods of soil analysis part 3 - chemical methods. SSSA book series. Madison, WI, USA. doi: https://doi.org/10.2136/sssabookser5.3.c34.
Pastrana, L. A., C. M. Rodríguez, A. I. E. León y D. G. Ramírez. 1995. Manual de producción de naranjo en suelos ácidos de Tabasco. INIFAP-CIRGOC-CAEHUI-ISPROTAB. Villahermosa, Tabasco.
Phillips, J. M. and D. S. Hayman. 1970. Improved procedures for clearing roots and staining parasitic and vesicular-arbuscular mycorrhizal fungi for rapid assessment of infection. Trans. Brit. Mycol. Soc. 55: 158-161. doi: https://doi.org/10.1016/S0007-1536(70)80110-3.
Pinos-Rodríguez, J. M., J. C. García-López, L. Y. Peña-Avelino, J. A. Rendón-Huerta, C. González-González y F. Tristán-Patiño. 2012. Impactos y regulaciones ambientales del estiércol generado por los sistemas ganaderos de algunos países de américa. Agrociencia 46: 359-370.
Pompeu, J. J. and S. Blumer. 2009. Híbridos de trifoliata como porta-enxertos para a laranjeira “Valência”. Pesq. Agropec. Bras. 44: 701-705. doi: http://dx.doi.org/10.1590/S0100-204X2009000700008.
Puerta, C. E., T. Russián y C. Ruíz. 2012. Producción de plántulas de pimentón (Capsicum annuum L.) en sustratos orgánicos a base de mezclas con f ibra de coco. Rev. Cient. UDO Agríc. 12: 298-306.
Pikovskaya, R. I. 1948. Mobilization of phosphorus in soil in connection with the vital activity of some microbial species. Microbiology 17: 362-370.
Rivera-Cruz, M. C., A. Trujillo-Narcía , G. Córdova-Ballona, J. Kohler, F. Caravaca, and A. Roldán. 2008. Poultry manure and banana waste are effective biofertilizer carrier for promoting plant growth and soil sustainable in banana crops. Soil Biol. Biochem. 40: 3092-3095. doi: https://doi.org/10.1016/j.soilbio.2008.09.003.
Rivera-Cruz, M. C. , A. Trujillo-Narcía y D. E. Alejo Pereira. 2010. Los biofertilizantes integrados con bacterias f ijadoras de N, solubilizadoras de P y sustratos orgánicos en el crecimiento de naranjo agrio Citrus aurantium L. Interciencia 35: 113-119.
Rodríguez-Cáceres, E. A. 1982. Improve medium for isolation of Azospirillum spp. Appl. Environ. Microbiol. 44: 990-991.
Romero-Yam, L. A., J. J. Almaraz-Suárez , J. Velasco-Velasco, A. Galvis-Spinola, and F. Gavi-Reyes. 2015. Microbial dynamics during composting of filter cake reactivated with chicken manure. Rev. Chapingo Ser. Hortic. 21: 21-31. doi: http://dx.doi.org/10.5154/r.rchsh.2013.09.032.
SAS Institute. 2002. Software: the SAS System for Windows version 9.0. Statistical Analysis System Institute Inc. Cary, NC, USA.
Sharma, R. M., A. K. Dubey, and O. P. Awasthi. 2015. Physiology of grapefruit (Citrus paradisi Macf.) cultivars as affected by rootstock. J. Hortic. Sci. Biotechnol. 90: 325-331. doi: https://doi.org/10.1080/14620316.2015.11513190.
Shehzadi, S., Z. Shah, and W. Mohammad. 2017. Impact of organic amendments on soil carbon sequestration, water use efficiency and yield of irrigated wheat. Biotechnol. Agron. Soc. Environ. 21: 36-49. doi: 10.25518/1780-4507.13435.
Sorrenti, G. B., J. C. Fachinello, D. D. Castilhos, V. J. Bianchi, andB. Marangoni . 2008. Influência da adubação orgânica no crescimento de tangerineira cv clemenules e nos atributos químicos e microbiológicos do solo. Rev. Bras. Frutic. 30: 1129-1135. doi: http://dx.doi.org/10.1590/S0100-29452008000400047.
Spina, S., V. Coco, A. Gentile, A. Catara, and G. Cirvilleri 2008. Association of fusarium solani with rolabc and wild type Troyer citrange. J. Plant Pathol. 90: 479-486. doi: http://dx.doi.org/10.4454/jpp.v90i3.691.
Subba-Rao, N. S. 1982. Biofertilizers in agriculture. CRC Press. Boca Raton, FL, USA. ISBN-10: 9061914051.
Wu, S. C., Z. H. Cao, Z. G. Li, K. C. Cheung, and M. H. Wong. 2005. Effects of biofertilizer containing N-f ixer, P and K solubilizers and AM fungi on maize growth: a greenhouse trial. Geoderma 125: 155-166. doi: https://doi.org/10.1016/j.geoderma.2004.07.003.
Yildiz, E., T. Hakan Demirkeser, and M. Kaplankiran. 2013. Growth, yield, and fruit quality of ‘Rhode Red Valencia’ and ‘Valencia Late’ sweet oranges grown on three rootstocks in eastern Mediterranean. Chilean J. Agric. Res. 73: 142-146. doi: http://dx.doi.org/10.4067/S0718-58392013000200009.
Notas
Notas de autor
‡Autor para correspondencia (apolinar.gonzalez@ujed.mx)