Número especial
Promoción del crecimiento de Agave potatorum Zucc. por bacterias fijadoras de nitrógeno de vida libre
Agave potatorum Zucc. growth promotion by free-living nitrogen-fixing bacteria
Promoción del crecimiento de Agave potatorum Zucc. por bacterias fijadoras de nitrógeno de vida libre
Terra Latinoamericana, vol. 38, núm. 3, pp. 555-567, 2020
Sociedad Mexicana de la Ciencia del Suelo A.C.
Recepción: 07 Julio 2019
Aprobación: 02 Enero 2020
Resumen: Las bacterias fijadoras de nitrógeno de vida libre (BFNVL) pueden ser una importante alternativa para reemplazar los fertilizantes nitrogenados en la agricultura. Agave potatorum Zucc., coloquialmente conocido como maguey tobalá, es una especie silvestre de la cual se obtiene un mezcal muy demandado debido a su alta calidad. Al ser una especie silvestre, no existe mucha información referente a su manejo agronómico. En este estudio se evaluó el efecto de BFNVL en el crecimiento y contenido de sólidos solubles totales (SST) en plantas de A. potatorum bajo condiciones semi-controladas. Bajo un diseño en bloques completamente al azar se evaluaron tres BFNVL (1) Burkholderia cepacia, (2) Flavobacterium sp., (3) Paenibacillus amylolyticus y un control (sin BFNVL). En total se tuvieron 4 bloques con 15 plantas de agave por bloque, dentro de cada bloque a cada planta de agave se le aplicó al azar una BFNVL diferente. Las variables de crecimiento vegetal evaluadas después de 48 semanas fueron: altura de la planta (AP), diámetro de roseta (DRO), diámetro del tallo (DT), número de hojas desplegadas (NHD), volumen radicular (VR), densidad de raíz (DR), biomasa seca del tallo (BST), biomasa total (BT), área foliar (AF) y, SST en el tallo ((Bx). El análisis de varianza y la prueba de comparación múltiple de medias (Tukey, P ≤ 0.05) revelaron que con respecto al control, B. cepacia incrementó 322.2% el VR, 42.6% el NHD y 72.9% los SST. P. amylolyticus incrementó 317.1% la BST. B. cepacia, Flavobacterium sp. y P. amylolyticus incrementaron aproximadamente 50.3% el DT, 48.6% el DRO, 127.2% el AF y 51.8% la AP. Flavobacterium sp. incrementó 164.8% la BT. Estos resultados sugieren que las BFNVL promueven el crecimiento de A. potatorum, por lo que pueden ser una tecnología ambientalmente amigable y económica para la producción de este agave.
Palabras clave: bacterias diazótrofas, crecimiento vegetal, maguey tobalá.
Summary: The free-living nitrogen-fixing bacteria (FLNFB) can be an important alternative to replace mineral fertilizers in agriculture. Agave potatorum Zucc., commonly known as “maguey tobalá”, is a wild species from which a highly demanded “mezcal” (liquor) is obtained and distinguished by its high quality. As it is a wild species, not much information is available referring to its agricultural management. This study assessed the effect of FLNFB inoculation on plant growth and solid soluble content (SSC) of the stem of A. potatorum plants under semi-controlled conditions and a randomized complete block design; three FLNFB (1) Burkholderia cepacia, (2) Flavobacterium sp., (3) Paenibacillus amylolyticus and a control (without FLNFB) were assessed in four blocks with 15 agave plants per block; each plant in the same block was randomly assigned to a different FLNFB. The plant growth variables assessed after 48 weeks were: plant height (PH), plant rosette diameter (ROD), plant stem diameter (PSD), unfolded leaves number (ULN), root volume (RV), root density (RD), stem dry biomass (SDB), total dry biomass (TDB), leaf area (LA) and SSC (°Bx). An analysis of variance and Tukey’s multiple range test for means separation (P ≤ 0.05) revealed that with respect to the control, B. cepacia increased RV 322.2%; ULN 42.6%; and SSC 72.9%. P. amylolyticus increased SDB 317.1%. B. cepacia, Flavobacterium sp., and P. amylolyticus increased the PSD approximately 50.3%; ROD 48.6%; LA 127.2%; and PH 51.8%. Flavobacterium sp. increased TB 164.8%. These results suggest that the FLNFB promoted growth of A. potatorum plants, making this environmentally friendly and inexpensive technology a good alternative for agave production.
Index words: diazotrophic bacteria, plant growth, maguey tobalá.
Introducción
Las plantas requieren nitrógeno en grandes cantidades porque este elemento es un componente esencial de las proteínas, ácidos nucleicos y otros constituyentes celulares (Shridhar, 2012). La elevada cantidad de nitrógeno en la atmósfera terrestre (cerca de 80% en la forma de N2 gaseoso) no puede utilizarse de manera directa por los sistemas biológicos en la producción de los compuestos químicos necesarios para su crecimiento y reproducción (Shin et al., 2016). La reducción de N2, comúnmente conocida como “fijación de nitrógeno” se lleva a cabo química o biológicamente (Shin et al., 2016). La fijación biológica de nitrógeno (FBN) es uno de los procesos más importantes que provee la mayor fuente externa de N para los diferentes ecosistemas y agroecosistemas, lo que constituye una opción importante para la recuperación y mantenimiento de la fertilidad edáfica (Figueiredo et al., 2013). Algunas de las bacterias que viven en el suelo se denominan de vida libre porque no dependen de los exudados de la raíz de la planta para su supervivencia (Sharma et al., 2014). Los microorganismos que llevan a cabo la FBN son un grupo limitado de bacterias simbióticas y de vida libre denominadas diazótrofas que tienen la capacidad de reducir y transformar el nitrógeno atmosférico (N2) a amonio (NH4+), una forma de nitrógeno asimilable para las plantas (Bano e Iqbal, 2016). Entre las bacterias fijadoras de nitrógeno de vida libre (BFNVL) se pueden encontrar algunas anaeróbicas obligadas o facultativas como Azospirillum sp., Clostridium pasteurianum, Klebsiella spp., Desulfovibrio sp.; otras aeróbicas obligadas como Azotobacter spp., Beijerinckia sp. y fotosintéticas como las bacterias púrpuras sulfurosas y no sulfurosas y bacterias verdes sulfurosas (Allan y Graham, 2002). Algunas BFNVL pueden promover el crecimiento de las plantas mediante la síntesis y la liberación de fitohormonas como auxinas, giberelinas, citocininas y ácido abscísico (Hernández-Rodríguez et al., 2014). Algunas cepas de Azotobacter, por ejemplo, tienen la capacidad de producir aminoácidos que promueven el crecimiento vegetal, también son capaces de producir sideróforos, los cuales pueden proporcionar hierro a las plantas (Jnawali et al., 2015). Resultados de estudios previos sobre la incorporación a los suelos de BFNVL han mostrado altos rendimientos en una gran diversidad de cultivos, como arroz, maíz, frijol y tomate, minimizando el uso de fertilizantes químicos, especialmente los nitrogenados (Hernández, 1998; Bonilla et al., 2000; Meunchang et al., 2005). Hay reportes que muestran que la inoculación con Azospirillum lipoferum en plantas de arroz bajo condiciones de invernadero aumentó el rendimiento por arriba de 6.7 g planta-1 (Mirza et al., 2000). La altura y la biomasa seca de plantas de algodón incrementaron con la inoculación con Azospirillum brasiliense bajo condiciones de invernadero (Bashan, 1998).
En México, los agaves han tenido y tienen una gran importancia económica y cultural para numerosos pueblos indígenas y mestizos, que los han aprovechado desde hace 7000 años como fuente de alimento, medicina, combustible, cobijo, ornato, ixtle, abono, construcción de viviendas, elaboración de implementos agrícolas y principalmente en la producción de diferentes tipos de bebidas alcohólicas como el mezcal y el tequila (García-Mendoza, 2007). Estudios recientes indican que los agaves también tienen un alto potencial para la fijación de carbono (García-Moya et al., 2010; Núñez et al., 2010). En el estado de Oaxaca se utilizan alrededor de nueve especies de agave de las cuales Agave angustifolia Haw. es la de mayor demanda y la única que se cultiva de forma significativa en suelos semiáridos, aproximadamente 8422.7 ha se encuentran cultivadas con este agave (OEIDRUS-SAGARPA, 2011). Las otras ocho especies de agave son colectadas de poblaciones silvestres o semi-cultivadas principalmente en cercos vivos con poco o nulo manejo cultural. Tal es el caso del Agave potatorum Zucc., coloquialmente conocido como maguey papalomé o maguey tobalá, una especie de la cual se obtiene un mezcal muy demandado (Sánchez-López, 2005) que se distingue por su alta calidad debido a la proporción de compuestos aromáticos volátiles que contiene (Vera et al., 2009). En el año 2018 se produjeron a nivel nacional 5.9 millones de litros de mezcal. Oaxaca contribuyó con el 92.3% de esta producción, de la cual el 3.3% se elaboró con A. potatorum (CRM, 2019). Este agave se desarrolla en suelos áridos y semiáridos poco fértiles, se estima que hay 42 ha de dicha especie en las regiones de Valles Centrales y Sierra Sur de Oaxaca, lo cual representa 0.45% del total de plantas del género Agave existentes en el estado (OEIDRUS-SAGARPA, 2011). Al ser una especie silvestre, no existe mucha información referente a su manejo agronómico, por lo que es necesario realizar investigación en diferentes aspectos incluyendo su nutrición, dentro de un contexto agroecológico. El análisis de azúcares en los tallos o “piñas” (tallos sin hojas) de agave es importante porque el alcohol obtenido en la fermentación depende de la cantidad de azúcares reductores. En las tequileras y mezcaleras se practican dos tipos de análisis como la medición de grados Brix (°Bx) y la determinación de azúcares reductores empleando el reactivo de Fehling. Los °Brix representan una escala arbitraria para medir densidades de soluciones de azúcares y equivalen al porcentaje en peso de sólidos solubles de una muestra, que principalmente son azúcares. Por ejemplo, en A. tequilana las piñas deben tener al menos 24% de azúcares totales para que se consideren de buena calidad (Bautista-Justo et al., 2001). En este estudio se evaluó el efecto de BFNVL en el crecimiento y contenido de sólidos solubles totales (SST) en plantas de A. potatorum bajo condiciones semi-controladas.
Materiales y Métodos
Se utilizaron tres cepas de BFNVL aisladas previamente de la rizósfera de A. angustifolia cultivado en el distrito de Tlacolula, Oaxaca, México en las comunidades de Magdalena Teitipac (16° 54´ N y 96° 33´ O), San Baltazar Guelavila (19° 80´ N y 96° 29´ O) y San Juan del Río (16° 53´ N y 96° 09´ O). Con base en el sistema Analytical Profile Index (API20 NE, bioMérieux, Inc., Durham, NC, USA) se confirmó la identidad de Burkholderia cepacia con características fenotípicas de bacterias gram negativas, colonias grandes de color blanco, bordes enteros, forma circular mucoide con pigmentación amarilla en su centro; Flavobacterium sp. bacterias gram negativas, colonias de color amarillo con bordes enteros, forma circular con pigmento excretado verdoso; y Paenibacillus amylolyticus bacterias gram positivas, colonias traslucidas con bordes enteros y forma circular. Estas BFNVL se seleccionaron por su alta eficiencia para fijar N atmosférico in vitro mediante la cuantificación del ion NH4+. La capacidad diazótrofica obtenida fue de 1.10 µg N-NH4+ mL-1 para B. cepacia, 1.54 µg N-NH4+ mL-1 para Flavobacterium sp. y 1.68 µg N-NH4+ mL-1 para Paenibacillus amylolyticus.
Efecto de bacterias fijadoras de nitrógeno de vida libre en el crecimiento de Agave potatorum Zucc.
Las BFNVL seleccionadas se inocularon por la técnica de estría masiva en agar específico para bacterias fijadoras de nitrógeno (NFb) y se incubaron en condiciones aeróbicas durante 48 h a 30 °C. Se tomaron colonias de cada cepa desarrollada en agar NFb y se transfirieron a un tubo con 10 mL de solución salina estéril al 0.85% y se ajustó a una concentración de 1.5 × 108 células mL-1, utilizando la escala de Mc Farland como referencia. Posteriormente se inoculó 1 mL de esta suspensión bacteriana en 9 mL de medio nutritivo estéril que contenía (g L-1): glucosa 0.5; extracto de levadura 0.5; peptona 0.5; caseína 0.5; almidón 0.5; K2HPO4 0.30; MgSO4 0.05; pH 7.0 (Sánchez-López y Pérez-Pazos, 2018) y se incubó a 30 (C por 24 h, obteniendo así un pre-inóculo por cepa. Para la producción del inoculante, se re-inocularon 5 mL del pre-inóculo en 45 mL de medio nutritivo estéril y se incubaron a 30 (C, durante 48 h a 150 rpm. Transcurrido el tiempo de incubación cada cultivo bacteriano se centrifugó a 10 000 rpm durante 10 min. El pellet celular obtenido se diluyó en medio nutritivo estéril hasta obtener una concentración de 15 × 108 células mL-1 de acuerdo con la escala de Mc Farland (Sánchez-López y Pérez-Pazos, 2018).
Las plántulas de agave empleadas en este experimento se obtuvieron a partir de semillas de plantas maduras de Agave potatorum Zucc. con un promedio de 5 a 7 años de edad. Se emplearon semilleros de 200 cavidades con suelo estéril de la zona de San Baltazar Chichicapam, distrito de Ocotlán, Oaxaca, donde crece A. potatorum de manera silvestre. Este suelo presentó las siguientes características: materia orgánica (1.7%), NO3- (470 mg kg-1), pH (7.5) y fósforo disponible (5.8 mg kg-1). Se depositó una semilla de agave por cavidad y se realizaron riegos cada tercer día hasta la emergencia de hojas verdaderas. Después de 60 días las plántulas se transfirieron a macetas que contenían 2000g de suelo no estéril con la finalidad de que las BFNVL fueran capaces de colonizar las raíces de las plantas de agave considerando las posibles relaciones sinérgicas o antagónicas que pudiera haber entre ellas y la biota existente de manera natural en el suelo. Bajo un diseño en bloques completamente al azar se evaluaron tres BFNVL (1) Burkholderia cepacia, (2) Flavobacterium sp., (3) Paenibacillus amylolyticus y un control con medio nutritivo estéril sin BFNVL con la finalidad de contrarrestar el efecto de los nutrientes presentes en el medio de cultivo sobre el crecimiento de las plantas. En total se tuvieron 4 bloques con 15 plantas de agave por bloque, dentro de cada bloque a cada planta de agave se le aplicó al azar una BFNVL diferente. Se aplicaron 50 mL de inoculante directamente a la raíz de la planta de agave, la concentración final de UFC g-1 de suelo fue de 3.75 ( 107. Se realizaron dos riegos por semana. El experimento se estableció en condiciones semi-controladas dentro de un macro túnel (temperatura de día 26-32 (C, temperatura nocturna 18-20 (C; fotoperiodo, 14 h luz: 10 h de obscuridad). Las variables de crecimiento de la planta evaluadas después de 48 semanas a partir del trasplante fueron: altura de la planta (AP) y diámetro de roseta (DRO) con un flexómetro graduado en centímetros, diámetro del tallo (DT) con un vernier digital, el número de hojas desplegadas (NHD) se contabilizó visualmente, el volumen radicular (VR) se determinó por el método aproximado de la probeta, la densidad de raíz (DR) se obtuvo por medio de la relación masa-volumen. De acuerdo a lo propuesto por Huang et al. (2017) solamente se consideraron variables base peso seco, de esta manera se determinó la biomasa seca del tallo (BST) después del secado a 70 (C durante 72 h, la biomasa total (BT) se cuantificó por el peso seco total de cada planta, el área foliar (AF) se estimó con el software ImageJ y, el SST ((Bx) se midió con un refractómetro.
Los datos se sometieron a un análisis de varianza y pruebas de comparación múltiple de medias (Tukey con un nivel de significancia de 5%), con el paquete estadístico SAS(, versión 9.1 (SAS, 2004).
Resultados y Discusión
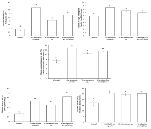
El análisis de varianza y la prueba de comparación múltiple de medias (Tukey, P ≤ 0.05) revelaron que con respecto al control, B. cepacia incrementó 322.2% el VR, 42.6% el NHD y 72.9% los (Bx. P. amylolyticus incrementó 317.1% la BST (Figura 1). B. cepacia, Flavobacterium sp. y P. amylolyticus incrementaron aproximadamente 50.3% el DT (Figuras 1 y 5), 48.6% el DRO, 127.2% el AF y 51.8% la AP (Figuras 2 y 3). Flavobacterium sp. incrementó 164.8% la BT (Figura 2).




La DR fue la única variable de crecimiento evaluada que no presentó cambios estadísticamente significativos entre las plantas inoculadas y el control. El incremento en las variables de crecimiento de las plantas de agave se puede atribuir a diversos mecanismos llevados a cabo por las BFNVL, las cuáles han sido reportadas previamente como promotoras del crecimiento vegetal (Requena et al., 1997). Entre estos mecanismos se encuentran (1) un incremento en la elongación y multiplicación celular debido a una mejora en la absorción de nutrientes como N; (2) producción de fitohormonas, entre ellas auxinas, citocininas, giberelinas y ácido abscísico; (3) producción de sideróforos, los cuales pueden proporcionar hierro a las plantas; (4) síntesis de enzimas como la 1-aminociclopropano-1-carboxilato desaminasa, la cual disminuye los niveles de etileno en las plantas (Lucy et al., 2004; Podile y Kishore, 2006; Appanna, 2007).
El VR (Figura 4), el NHD y el AF en las plantas de agave incrementó con la inoculación de B. cepacia. Resultados que coinciden con los establecidos por Argüello-Navarro y Moreno-Rozo (2014). Estos autores inocularon plantas de cacao con BFNVL, tales como Burkholderia sp. y después de 120 días de evaluación en vivero encontraron incrementos en el número de hojas, AF, BT y longitud de la raíz en las plantas inoculadas con relación al control. Similarmente, Roesch et al. (2005) evaluaron el efecto de la inoculación de bacterias diazotrófas del género Azospirillum en trigo y observaron un incremento en el tamaño y número de pelos radiculares en comparación con el control. Numerosos estudios han mostrado que las bacterias diazótrofas pueden promover el crecimiento vegetal, principalmente al cambiar la morfología del sistema radicular, mejorando el desarrollo y la productividad de varios cultivos de interés económico (Bashan et al., 2004; Somers et al., 2004).

Flavobacterium sp. incrementó la BT de las plantas de agave, otros estudios también han reportado que la inoculación con BFNVL como Herbaspirillum seropedicae en plantas de arroz incrementó la BT en 71.5% con respecto al control. Bajo condiciones de cultivo en maceta, bacterias del género Paenibacillus sp. RFNB4 aumentaron significativamente la AP y la BT de plantas de canola (Brassica campestris) en 42.3 y 29.5%, respectivamente (Islam et al., 2009). Kifle y Laing (2016) encontraron que la inoculación con bacterias diazótrofas de los géneros Bacillus, Pseudomonas y Enterobacter en plantas de maíz bajo condiciones de invernadero incrementó la BT en comparación con las plantas no inoculadas. Govindarajan et al. (2006) evaluaron la inoculación con Burkholderia vietnamiensis MG43 en las variedades Co 86032 y Co 86027 de caña de azúcar micropropagada y encontraron incrementos de 20 y 19% en la producción de materia seca de Co 86032 y Co 86027, respectivamente.
Algunos autores han reportado que cuando las plantas establecen asociaciones con los hongos endófitos o con las BFNVL su contenido de azúcar y desarrollo aumenta (Obledo et al., 2003; Ruiz et al., 2011). De la Torre-Ruiz et al. (2016) inocularon plantas de Agave americana con Rhizobium daejeonense, Acinetobacter calcoaceticus y Pseudomonas mosselii y encontraron efectos positivos en la BT, DT, número de hojas, longitud de la raíz y contenido de azúcar en las piñas en comparación con las plantas de agave no inoculadas. Estos resultados concuerdan con lo reportado en este estudio donde la inoculación con B. cepacia aumentó el SST (Bx en las piñas de las plantas de agave. Los (Brix equivalen al porcentaje en peso de sólidos solubles de una muestra, que principalmente son azúcares (Bautista-Justo et al., 2001). El contenido de azúcares en las plantas de agave también puede variar con la etapa fisiológica de la planta (Arrizon et al., 2010). Las plantas jóvenes de A. tequilana, por ejemplo, poseen niveles más altos de monosacáridos (p. ej. glucosa, fructosa) que las plantas adultas, las cuales acumulan fructanos a partir de los 8-10 años de edad (Cedeño, 1995).
Conclusiones
La inoculación con bacterias fijadoras de nitrógeno de vida libre en plantas de Agave potatorum tuvo un efecto positivo en 90% de las variables de crecimiento evaluadas. Burkholderia cepacia incrementó 322.2% el volumen radicular, 42.6% el número de hojas desplegadas y 72.9% los (Brix. Paenibacillus amylolyticus incrementó 317.1% la biomasa seca del tallo. B. cepacia, Flavobacterium sp. y P. amylolyticus incrementaron aproximadamente 50.3% el diámetro del tallo, 48.6% el diámetro de roseta, 127.2% el área foliar y 51.8% la altura de la planta. Flavobacterium sp. incrementó 164.8% la biomasa total. Resultados que sugieren que estas bacterias son capaces de promover el crecimiento de A. potatorum, por lo que pueden ser una tecnología ambientalmente amigable y económica para la producción de este agave en el estado de Oaxaca, México y en otros sitios con condiciones similares de manejo.
Agradecimientos
Este estudio formó parte del proyecto Bacterias fijadoras asimbióticas de nitrógeno en Agave potatorum Zucc. SIP 20180051, financiado por el Instituto Politécnico Nacional. Las autoras agradecen los valiosos comentarios y sugerencias de dos revisores anónimos que contribuyeron a mejorar el trabajo, a D. Fischer por la traducción y la edición en inglés.
Referencias
Allan, D. and P. Graham. 2002. Soil 5611: Soil biology and fertility: Symbiotic nitrogen fixation, other N2-fixing symbiosis. Dep. of Soil, Water and Climate. University of Minnesota. http://www.soils.agri.umn.edu/academics/classes/soil3612/SymbioticNitrogen/Other.htm. (Consulta: mayo 28, 2019).
Appanna, V. 2007. Efficacy of phosphate solubilizing bacteria isolated from vertisols on growth and yield parameters of sorghum. Res. J. Microbiol. 2: 550-559. doi: 10.3923/jm.2007.550.559.
Argüello-Navarro, A. Z. y L. Y. Moreno-Rozo 2014. Evaluación del potencial biofertilizante de bacterias diazótrofas aisladas de suelos con cultivo de cacao (Theobroma cacao L.). Acta Agronómica 63: 238-245. doi: https://doi.org/10.15446/acag.v63n3.41033.
Arrizon, J., S. Morel, A. Gschaedler, and P. Monsan. 2010. Comparison of the water-soluble carbohydrate composition and fructan structures of Agave tequilana plants of different ages. Food Chem. 122: 123-130. doi: https://doi.org/10.1016/j.foodchem.2010.02.028.
Bano, S. A. and S. M. Iqbal. 2016. Biological nitrogen fixation to improve plant growth and productivity. Int. J. Agric. Innovat. Res. 4: 596-599.
Bashan, Y. 1998. Azospirillum plant growth-promoting strains are nonpathogenic on tomato, pepper, cotton, and wheat. Can. J. Microbiol. 44: 168-174. doi: https://doi.org/10.1139/w97-136.
Bashan, Y., G. Holguin, and L. E. Bashan. 2004. Azospirillum plant relationships: Physiological, molecular, agricultural and environmental advances (1997-2003). Can. J. Microbiol. 50: 521-577. doi: https://doi.org/10.1139/w04-035.
Bautista-Justo, M., L. García-Oropeza, R. Salcedo-Hernández y L. Parra-Negrete. 2001. Azúcares en agaves (Agave tequilana Weber) cultivados en el estado de Guanajuato. Acta Univ. 11: 33-38. doi: https://doi.org/10.15174/au.2001.325.
Bonilla Buitrago, R. R., R. Novo Sordo, N. Vanegas, A. M. Galvis Macias, M. M. Martínez S., D. Parra y O. Vanegas. 2000. Generación de tecnologías para la utilización de la fijación no simbiótica de nitrógeno como alternativa de fertilización. Corpoica. Regional tres. Boletín de Investigación núm. 5. Valledupar, Colombia.
Cedeño, M. C. 1995. Tequila production. Crit. Rev. Biotechnol. 15: 1-11. doi: https://doi.org/10.3109/07388559509150529.
CRM (Consejo Regulador del Mezcal). 2019. El crecimiento del mezcal 2018. Resumen del informe estadístico. pp. 10-19. In: El mezcal, la cultura líquida de México 2. http://www.crm.org.mx/publicaciones/revista/pdf/Revista_El_Mezcal2.pdf. (Consulta: mayo 30, 2019).
De la Torre-Ruiz, N., V. M. Ruiz-Valdiviezo, C. I. Rincón-Molina, M. Rodríguez-Mendiola, C. Arias-Castro, F. A. Gutiérrez-Miceli, H. Palomeque-Dominguez, and R. Rincón-Rosales. 2016. Effect of plant growth-promoting bacteria on the growth and fructan production of Agave americana L. Braz. J. Microbiol. 4: 587-596. doi: https://doi.org/10.1016/j.bjm.2016.04.010.
Figueiredo, M. V. B., A. C. E. S Mergulhão, J. Kuklinsky-Sobral, M. A. Lira Junior, and A. S. F. Araujo. 2013. Biological nitrogen fixation: Importance, associated diversity, and estimates. pp. 267-289. In: N.K. Arora (ed.). Plant microbe symbiosis: Fundamentals and advances. Springer. New Delhi. doi: https://doi.org/10.1007/978-81-322-1287-4_10.
García-Mendoza, A. J. 2007. Los agaves de México. Ciencias 87: 14-23.
García-Moya, E., A. Romero-Manzanares, and P. S. Nobel. 2010. Highlights for Agave productivity. Global Change Biol. Bioenerg. 3: 4-14. doi: https://doi.org/10.1111/j.1757-1707.2010.01078.x.
Govindarajan, M., J. Balandreau, R. Muthukumarasamy, G. Revathi, and C. Lakshminarasimhan. 2006. Improved yield of micropropagated sugarcane following inoculation by endophytic Burkholderia vietnamiensis. Plant Soil 280: 239-252. doi: https://doi.org/10.1007/s11104-005-3223-2.
Hernández, Y. 1998. La fijación biológica del nitrógeno. Rev. Cubana Cienc. Agríc. 32: 233-250.
Hernández-Rodríguez, A., N. Rives-Rodríguez, Y. Acebo-Guerrero, A. Diaz-de la Osa, M. Heydrich-Pérez y V. L. Divan Baldani. 2014. Potencialidades de las bacterias diazotróficas asociativas en la promoción del crecimiento vegetal y el control de Pyricularia oryzae (Sacc.) en el cultivo del arroz (Oryza sativa L.). Rev. Protec. Veg. 29: 1-10
Huang, P., L. de-Bashan, T. Crocker, J. W. Kloepper, and Y. Bashan. 2017. Evidence that fresh weight measurement is imprecise for reporting the effect of plant growth-promoting (rhizo) bacteria on growth promotion of crop plants. Biol. Fert. Soils 53: 199-208. doi https://doi.org/10.1007/s00374-016-1160-2.
Islam, M. R., M. Madhaiyan, H. P. Deka Boruah, W. Yim, G. Lee, V. S. Saravanan, Q. Fu, H. Hu, and T. Sa. 2009. Characterization of plant growth-promoting traits of free-living diazotrophic bacteria and their inoculation effects on growth and nitrogen uptake of crop plants. J. Microbiol. Biotechnol. 19: 1213-1222. doi: 10.4014/jmb.0903.03028.
Jnawali, A. D., R. B. Ojha, and S. Marahatta. 2015. Role of Azotobacter in soil fertility and sustainability-a review. Adv. Plants Agric. Res. 2: 250-253. doi: 10.15406/apar.2015.02.00069.
Kifle, M. H. and M. D. Laing. 2016. Effects of selected diazotrophs on maize growth. Front. Plant Sci. doi: 10.3389/fpls.2016.01429.
Lucy, M., E. Reed, and B. R. Glick. 2004. Application of free kiving plant growth-promoting rhizobacteria. Antonie Van Leeuwenhoek 86: 1-25. doi: 10.1023/B:ANTO.0000024903.10757.6e.
Meunchang, S., S. Panichsakpatana, and R. W. Weaver. 2005. Inoculation of sugar mill by-products compost with N2-fixing bacteria. Plant Soil 271: 219-225. doi: https://doi.org/10.1007/s11104-004-2389-3.
Mirza, M. S., G. Rasul, S. Mehnaz, J. K. Ladha, R. B. So, S. Ali, and K. A. Malik. 2000. Beneficial effects of inoculated nitrogen-fixing bacteria on rice. pp. 191-204. In: J. K. Ladha and P. M. Reddy. (eds.). The quest for nitrogen fixation in rice. Int. Rice Res. Inst. Los Baños, Filipinas. ISBN: 9712201120, 9789712201127.
Núñez, H. M., L. F. Rodríguez, and M. Khanna. 2010. Agave for tequila and biofuels: an economic assessment and potential opportunities. Global Change Biol. Bioenerg. 3: 43-57. doi: https://doi.org/10.1111/j.1757-1707.2010.01084.x.
Obledo, E. N., L. B. Barragán-Barragán, P. Gutiérrez-González, B. C. Ramírez-Hernández, J. J. Ramírez, and B. Rodríguez-Garay. 2003. Increased photosynthetic efficiency generated by fungal symbiosis in Agave victoria-reginae. Plant Cell Tissue Organ Cult. 74: 237-241. doi: https://doi.org/10.1023/A:1024046925472.
OEIDRUS-SAGARPA (Oficina Estatal de Información para el Desarrollo Rural Sustentable de Oaxaca-Secretaria de Agrícultura Ganaderia, Desarrollo Rural Pesca y Alimentación). 2011. Maguey mezcal, regiones productoras de Oaxaca. 2011. http://www.oeidrus-oaxaca.gob.mx/biblioteca.html. (Consulta: octubre 15, 2009).
Podile, A. R. and G. K. Kishore. 2006. Plant growth-promoting rhizobacteria (PGPR). pp. 195-230. In: S. S. Gnanamanickam (ed.). Plant-associated bacteria. Springer. Dordrecht, The Netherlands. ISBN: 978-1-4020-4538-7.
Requena, N., T. M. Baca, and R. Azcón. 1997. Evolution of humic substances from unripe compost during incubation with lignolytic or cellulolytic microorganisms and effects on the lettuce growth promotion mediated by Azotobacter chroococcum. Biol. Fertil. Soils 24: 59-65. doi: https://doi.org/10.1007/BF01420221.
Roesch, L. F., F. O. Camargo, P. A. Selbach, e E. S Sá. 2005. Reinoculação de bactérias diazotróficas aumentando o crescimento de plantas de trigo. Ciênc. Rural 35: 1201-1204. doi: https://doi.org/10.1590/S0103-84782005000500035.
Ruiz, S., L. Adriano, I. Ovando, C. Navarro, and S. Salvador. 2011. Biofertilization of micropropagated Agave tequilana: Effect on plant growth and production of hydrolytic enzymes. Afr. J. Biotechnol. 10: 9623-9630. doi: https://doi.org/10.5897/AJB11.641.
Sánchez-López, A. 2005. Oaxaca, tierra de maguey y mezcal. Instituto Tecnológico de Oaxaca. Oaxaca de Juárez, México. ISBN: 9709916009, 9789709916003.
Sánchez-López, D. B. y J. V. Pérez-Pazos. 2018. Caracterización y evaluación de PGPRs sobre el crecimiento de plántulas de Dioscorea rotundata in vitro. Agron. Costarricense 42: 75-91. doi: http://dx.doi.org/10.15517/rac.v42i2.33780
SAS Institute. 2004. SAS/STAT Guide to personal computers. Version 9.0l. SAS Institute Inc. Cary, NC, USA.
Sharma, J., T. Gurung, K. Nandy, and A. K. Mitra. 2014. Efficiency of different nitrogen fixing bacteria with respect to growth and development of legumes. Int. J. Curr. Microbiol. Appl. Sci. 3: 799-809.
Shin, W., R. Islam, A. Benson, M. M. Joe, K. Kim, S. Gopal, S. Samaddar, S. Banerjee, and T. Sa. 2016. Role of diazotrophic bacteria in biological nitrogen fixation and plant growth improvement. Korean J. Soil Sci. Fertil. 49: 17-29. doi: http://dx.doi.org/10.7745/KJSSF.2016.49.1.017.
Shridhar, S. B. 2012. Review: Nitrogen fixing microorganisms. Int. J. Microbiol. Res. 3: 46-52. doi: 10.5829/idosi.ijmr.2012.3.1.61103.
Somers, E., J. Vanderleyden, and M. Srinivasan. 2004. Rhizosphere bacterial signaling: A love parade beneath our feet. Critical Rev. Microbiol. 30: 205-240. doi: https://doi.org/10.1080/10408410490468786.
Vera-Guzmán, A., P. Santiago G. y M. G. López. 2009. Compuestos volátiles aromáticos generados durante la elaboración de mezcal de Agave angustifolia y Agave potatorum. Rev. Fitotec. Mex. 32: 273-279.
Notas
Notas de autor
‡ Autora para correspondencia (mbautistac@ipn.mx)