Artículo científico
Patrones para estimar la fertilidad del suelo mediante la técnica de cromatografía de Pfeiffer
Patterns for estimating soil fertility using Pfeiffer´s chromatography technique
Patrones para estimar la fertilidad del suelo mediante la técnica de cromatografía de Pfeiffer
Terra Latinoamericana, vol. 39, e844, 2021
Sociedad Mexicana de la Ciencia del Suelo A.C.
Recepción: 29 Julio 2020
Aprobación: 29 Octubre 2020
Resumen: La cromatografía de Pfeiffer se basa en los principios de la cromatografía en papel, en la actualidad es una herramienta útil y económica para conocer la fertilidad de los suelos. Sin embargo, existe un rezago en la interpretación de los cromatogramas resultantes, lo que dificulta su uso. El objetivo de este estudio fue generar modelos de predicción para la interpretación de los cromatogramas generados con la técnica de cromatografía de Pfeiffer. Se evaluaron características físicas, químicas y biológicas de muestras de suelo de un huerto de manzano con diferente manejo agronómico mediante la cromatografía de Pfeiffer y análisis convencionales de laboratorio. Los resultados fueron correlacionados estadísticamente, lo que permitió detectar los componentes del cromatograma de mayor interacción para estimar la fertilidad del suelo. Posteriormente a través de modelos de regresión se establecieron patrones numéricos para estimar e interpretar los contenidos de P-extraíble, K +, Cu 2+ y materia orgánica, y por medio de categorización para encontrar tendencias de los contenidos de arena, Ca 2+, Mg 2+, Fe 2+, Mn 2+ y Zn 2+. Los resultados demostraron que, bajo las condiciones en que se realizó esta investigación, la fertilidad del suelo puede estimarse a través de la cromatografía de Pfeiffer y que los patrones generados en este estudio contribuyen en su interpretación.
Palabras clave: análisis de suelo, cromatograma, cromatografía circular plana, modelo, interpretación.
Summary: Pfeiffer´s chromatography is based on paper chromatography principles, which could be considered as a useful and cheap alternative for estimating the soil fertility. However, there is a lag in the interpretation of the resulting chromatograms, entangling their use. The objective of this study was to generate prediction models for interpreting the chromatograms obtained from Pfeiffer´s chromatography technique. Physical, chemical, and biological characteristics of soil samples from an apple tree orchard with different agronomic management were evaluated by means of Pfeiffer chromatography and conventional laboratory analyzes. The results were statistically correlated for obtaining the components of the chromatogram with the highest interaction to estimate soil fertility. Eventually, through regression models, numerical patterns were established to estimate and interpret the contents of available P, K +, Cu 2+ and organic matter, as well as the categorization to find trends for sand contents, Ca 2+, Mg 2+, Fe 2+, Mn 2+ and Zn 2+. Results show that, under the conditions in which this research was conducted, the soil fertility can be estimated through Pfeiffer´s chromatography, and that the patterns generated in this study contribute to its interpretation.
Index words: soil analysis, chromatogram, flat circular chromatography, model, interpretation.
Introducción
Para el productor agrícola es importante e imprescindible conocer las condiciones del suelo para obtener mejores resultados en sus cultivos ( Medina et al., 2018 ), para lo cual dispone de los análisis de fertilidad del suelo que se realizan generalmente en los laboratorios comerciales. Sin embargo, el proceso de análisis de laboratorio es típicamente lento y caro, debido a que las metodologías para realizarlos requieren de equipo y mano de obra especializados ( Khemani et al., 2008 ; Chilon, 2018a; Antunes de Melo et al., 2019 ).
En contraparte, se ha buscado implementar prácticas basadas en los principios de la química verde, propuesta que consiste en reducir o eliminar el uso y generación de sustancias peligrosas para la salud humana y del medio ambiente ( Bolaños, 2012; Benavides-Benavides et al., 2015 ). Una de estas alternativas dentro de la agricultura biodinámica es la cromatografía de Pfeiffer (CPF) o cromatografía en papel circular plano, que puede ser aplicado para el análisis integral de la calidad de los suelos, compostas y biofertilizantes ( Khemani et al., 2008 ; Kokornaczyk et al., 2016 ; Domingues et al., 2018 ; Chilon, 2018b).
La cromatografía de Pfeiffer consiste en una técnica sencilla, rápida y de bajo costo, de análisis cualitativo para determinar las condiciones de un suelo ( Medina et al., 2018 ; Antunes de Melo et al., 2019 ; Costa y Tavarez, 2019), a través de un cromatograma ( Gordillo et al., 2011 ) cuya descripción se hace con base en sus componentes: tamaño, forma y colores revelados. En él se observan anillos denominados zonas, en que se reconocen cuatro: zona central (ZC), zona interna (ZI), zona intermedia (ZIN) y zona externa (ZE). El aspecto de estas zonas muestra la transformación de la materia orgánica y el proceso de humificación ( Restrepo y Pinheiro, 2011; Domingues et al., 2018 ). Además, están los radiales (RAD) que son indicadores del proceso de descomposición de minerales (Heredia, 2012 1); las nubes (NN) que se muestran como explosiones o manchas en la zona externa, y los hoyos, representados por pequeños orificios en las zonas interna e intermedia, indicadores ambos, de actividad enzimática o actividad biológica ( Restrepo y Pinheiro, 2011).
Países como Australia, Brasil, Colombia, Ecuador, Italia, entre otros, se han interesado en el uso de esta técnica de análisis al reducir costos y tiempo ( Kokornaczyk et al., 2016 ; Aguirre et al., 2019 ; Ford et al., 2019 ; Santos et al., 2020 ), además de no requerir ningún tipo de equipamiento ( UNAM/FQ, 2007; Torossi-Baudio, 2007). Sin embargo, se reconoce la necesidad de profundizar en las características de cada zona, correlacionar resultados y procedimientos con métodos cuantitativos que permitan mejor interpretación de los cromatogramas ( Costa y Tavarez, 2019; Chilon, 2018b; Domingues et al., 2018 ; Antunes de Melo et al., 2019 ). Por lo que, el objetivo de este trabajo fue proponer modelos de predicción para la interpretación de los cromatogramas generados con la técnica de cromatografía de Pfeiffer para el análisis de suelos agrícolas. Los aportes de este trabajo permitirán ofrecer a los productores un método simple para la interpretación de la fertilidad del suelo a partir de los componentes del cromatograma.
Materiales y Métodos
El muestreo de suelos se realizó en noviembre de 2017 en el huerto La Tinaja ubicado en el municipio de Namiquipa, Chihuahua, México, 29° 15’ 47” N y 107° 21’ 14.3” O con una altitud de 1828 m, temperatura y precipitación media anual de 14 °C y 439.3 mm, respectivamente. El huerto cuenta con superficie de 9 ha, con una plantación de manzano Golden Delicious en patrón MM106, árboles de 17 años. Por las prácticas culturales y de fertilización implementadas durante los últimos 7 años, el huerto está dividido en dos áreas de 4.5 ha cada una: la primera se identificó como el área de alto nivel de fertilización química, al recibir la dosis que se muestra ( Cuadro 1), mientras que la segunda área recibió bajas cantidades de fertilizantes, respecto a la primera ( Cuadro 1).

El muestreo se realizó al azar en 47 puntos del huerto tomando 2 kg de suelo a las profundidades de 0-30 cm y 30-60 cm, respectivamente, cada muestra se analizó individualmente. Se enviaron al Laboratorio de Análisis de Suelos de la Facultad de Ciencias Agrotecnológicas de la Universidad Autónoma de Chihuahua, en donde se secaron a la sombra y posteriormente en estufa a 60 °C por 24 h, luego se tamizaron en mallas No. 10 y 20 para su posterior análisis.
Las propiedades fisicoquímicas del suelo se determinaron mediante las siguientes técnicas de análisis convencional: textura, con el método del hidrómetro de Bouyoucos ( Klute, 1986); densidad aparente (Da) con el método de la probeta ( Lozano-Rivas, 2016); pH, con potenciómetro Fisher Scientific Accument AB15 US, en una solución salina de CaCl 2 a 0.01M ( Aguilar et al., 1987 ); fósforo extraíble (P) con el método Bray P-1 ( Aguilar et al., 1987 ); elementos mayores (K +, Ca 2+, Mg 2+ y Na +) mediante el método de extracción con acetato de amonio 1.0 N, pH 7.0 ( McKean, 1993) realizando la lectura de la concentración en espectrofotómetro de absorción atómica (Perkin Elmer Analyst 100, USA); elementos menores (Fe 2+, Mn 2+, Cu 2+ y Zn 2+) con el método de extracción con DTPA ( Lindsay y Norvell, 1978), realizando la lectura en absorción atómica; materia orgánica total (MO) con el método de Walkley-Black por oxidación de dicromato de potasio ( Eyherabide et al., 2014 ).
Simultáneamente, los suelos fueron analizados mediante la CPF de acuerdo a lo descrito por Restrepo y Pinheiro (2011), para lo cual papel filtro Whatman No. 1 se impregnó en una solución de nitrato de plata (NO 3Ag) al 0.5%, iniciando del centro con el uso de un pabilo hasta los primeros 4.0 cm, se cubrió con papel absorbente y se reservó para su secado en completa oscuridad. La muestra de suelo seca y tamizada en malla No. 20 se pulverizó suavemente con un mortero. Se colocaron 5 g de suelo en matraz Erlenmeyer, se adicionaron 50 mL de hidróxido de sodio (NaOH) al 1% y se mezcló en forma circular 7 veces hacia un lado y 7 veces hacia el otro hasta contar 49 giros, dejando reposar durante 15 minutos y repitiendo la operación durante una hora, después de lo cual se dejó en reposo absoluto por seis horas. Posteriormente se agregaron 5 mL del sobrenadante de la muestra disuelta en la solución alcalina en una caja de Petri de 5 cm de diámetro y se colocó el papel sensibilizado con NO 3 Ag con un pabilo al centro para el ascenso de la solución, permitiendo su desplazamiento hasta 6 cm, después de lo cual se dejó secar horizontalmente sobre papel secante, una vez seco se expuso gradual e indirectamente a la luz solar.
La valoración de los componentes del cromatograma se realizó midiendo manualmente el espesor de cada una de las diferentes zonas: ZC, ZI, ZIN y ZE ( Restrepo y Pinheiro, 2011) mediante el uso de un calibrador Vernier Digital Caliper Titan 55674 ( Figura 1). Se contabilizó el número de NN a lo largo de toda la circunferencia de la ZE y los RAD presentes en ángulo de 90°.

Con los resultados de los análisis convencionales y de los cromatogramas de Pfeiffer de las muestras estudiadas, se realizaron gráficos de dispersión seguido de los análisis de correlación para evaluar el nivel de relación entre las variables, donde los componentes del cromatograma se manejaron como variables predictoras. A partir de dicho análisis se seleccionaron las variables que presentaron coeficientes de determinación con valores de R 2 superiores a 0.40 (r = 0.63) tomando como criterio que los valores de correlación iguales o mayores a 0.40 en valor absoluto reflejan que los parámetros están contribuyendo de manera conjunta ( Laguna, 2014), y mayores a 0.60 se consideran adecuados en la obtención de valores iniciales para la generación de patrones ( Kokornaczyk et al., 2016 ).
Los patrones para la interpretación cuantitativa de los cromatogramas se realizaron mediante modelos de regresión lineal y polinomial, tomando como variable dependiente el logaritmo natural de las variables fisicoquímicas y biológicas, seguidos del análisis de normalidad en los residuales y de la evaluación de los factores de inflación de varianza (VIF) para evaluar la multicolinealidad. Los valores ajustados del modelo de logaritmo, se reconvirtieron a la escala original tomando el exponencial del ajustado. Los valores obtenidos se clasificaron de acuerdo a los criterios de interpretación de suelos establecidos por Uvalle-Bueno (2000) para el contenido de macronutrientes, y los de la Unión Agrícola Regional de Fruticultores del Estado de Chihuahua, A.C. ( UNIFRUT, 2012) para micronutrientes. Cuando los resultados del análisis de correlación no arrojaron coeficientes de determinación superiores al límite de R 2 establecido en este estudio, para la generación de patrones numéricos, se realizaron patrones categóricos para la observación de tendencias de los componentes del cromatograma que obtuvieron los coeficientes de determinación más cercanos a R 2 = 0.40, para lo cual, los valores de la predictora (dichos componentes) se agruparon en categorías y para cada una se le promedió los resultados de los análisis fisicoquímicos correspondientes. Los análisis estadísticos se realizaron mediante el paquete estadístico IBM SPSS Statistics 25.
Resultados y Discusión
Las medias de las propiedades analizadas en suelo mediante las técnicas convencionales se muestran en el Cuadro 2; mientras que en el Cuadro 3, se presentan los datos obtenidos a través de la medición de los cromatogramas de la CPF para los mismos suelos. La matriz de correlación de los resultados de ambas técnicas de análisis, arrojó el nivel de relación entre ellos a través de los valores de los coeficientes de determinación (R 2), lo que permitió determinar aquellas variables que son cuantificables mediante la toma de medidas de las zonas presentes en los análisis cromatográficos, así como el tipo de patrón a generar para cada una ( Cuadro 4).



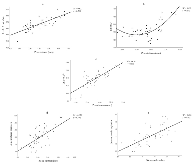
En las Figuras 2 y 3 se presentan los gráficos de dispersión para el análisis de tendencias, en donde se utilizó el logaritmo natural del contenido de P, K +, Cu 2+ y MO, las cuales presentaron coeficiente de determinación mayores a R 2 = 0.40. Las variables limo, arcilla, Da, y pH presentaron coeficientes de determinación bajos y gran dispersión entre valores, debido a esto, no se encontraron diferencias importantes entre las medias de las variables y los componentes del cromatograma que permitieran establecer patrones.
En el caso del Na + resultó ser una variable que no tuvo correlación con ninguno de los componentes del cromatograma, obteniendo coeficientes de determinación bajos (R 2 < 0.08), lo que puede estar relacionado con su alto nivel en relación al contenido de K + y de Mg 2+, representando competencia con los cationes intercambiables del suelo. Aguirre et al. (2019) al realizar la valoración de diferentes suelos utilizados en la producción de hortalizas, grama y bosque, mediante técnicas analíticas y cromatogramas, encontró que el sistema con hortalizas reportó los valores más altos de Da y Na +; además, de la falta de armonía entre los componentes del cromatograma, argumentando que posiblemente la diversidad biológica está restringida y la formación enzimática es escasa.
Las variables P, K +, Cu 2+ y MO presentaron coeficientes de determinación superiores al mínimo fijado en el estudio (R 2 = 0.40) para establecer patrones cuantitativos de interpretación. Dentro de los macronutrientes, el fósforo extraíble (P) presentó un coeficiente de determinación de R 2 igual a 0.622 con la ZE del cromatograma, con relación lineal positiva, en donde al aumentar el ancho de la ZE el contenido de P también aumenta ( Figura 2a). Restrepo y Pinheiro (2011) establecieron que la ZE es la zona que representa la nutrición del suelo, a lo que se atribuye este resultado, mientras que Kokornaczyk et al. (2016) encontraron relación en el contenido de P con la ZI del cromatograma también conocida como zona de mineralización.

Los contenidos de K + y Cu 2+ mostraron relación con la ZI del cromatograma, la cual se ha relacionado con los minerales del suelo ( Restrepo y Pinheiro, 2011). El K + reflejó relación cuadrática con coeficiente de determinación de R 2 = 0.452 ( Figura 2b), mientras que el Cu 2+ presentó correlación lineal alta con coeficiente de determinación de R 2 = 0.620 ( Figura 2c) en que conforme la ZI tiende a aumentar de tamaño el contenido de Cu 2+ también lo hace. Heredia (2012 1) encontró valores de R 2 menores de 0.40 para el K + y las cuatro zonas de cromatogramas generados de suelos con vegetación de arbustos, agaves y cactus, mientras que para el contenido de Cu 2+ encontró correlaciones altas con R 2 = 0.889 con la ZI del cromatograma y con R 2 = 0.944 con la ZE la que se relaciona con la actividad enzimática y nutricional del suelo ( Aguirre et al., 2019 ).
El contenido de materia orgánica (MO) se correlacionó con dos componentes del cromatograma: se encontró una correlación lineal alta con la ZC ( Figura 2d) en que conforme aumenta la ZC el porcentaje de MO tiende a aumentar. El NN también resultó ser una variable predictora para el porcentaje de MO ( Figura 2e), donde a NN bajo le corresponden porcentajes bajos de MO, con una tendencia a aumentar. Restrepo y Pinheiro (2011)) mencionaron que la ausencia de la ZC en un cromatograma es típico en los suelos que sufren daños por mecanización pesada, aplicaciones de plaguicidas y suelos sin coberturas; por lo cual son suelos compactados, sin estructura y pobres de MO; con base a esto se puede justificar los resultados obtenidos, entre mayor es la ZC del cromatograma, los porcentajes de MO serán más altos, lo cual ayudará a que los suelos sean de mejor calidad; además, la presencia de nubes en la ZE del cromatograma se ha relacionado con la abundancia y variedad de nutrientes ( Aguirre et al., 2019 ).
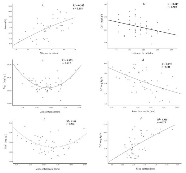
Las variables arena, Ca 2+, Mg 2+, Fe 2+, Mn 2+ y Zn 2+ mostraron coeficientes de determinación (R 2) menores de 0.40, con los distintos componentes de los cromatogramas generados con la CPF. Para la variable arena el coeficiente de determinación más cercano al límite establecido fue R 2 = 0.382 para NN ( Figura 3a), con una tendencia a aumentar el porcentaje de arena conforme el número de NN aumenta, pese a ello se manifestó dispersión entre los valores. Kokornaczyk et al. (2016) al evaluar suelos con diferentes frutales y manejo, encontraron correlaciones positivas entre el contenido de arena con la amplitud de la ZE, la cual se ha relacionado con la presencia de NN ( Aguirre et al., 2019 ).

Para el contenido de Ca 2+ el coeficiente de determinación más cercano al límite establecido fue con RAD, con un coeficiente de determinación R 2 = 0.347, en donde al valor más bajo de RAD le corresponde el valor más alto de Ca 2+ ( Figura 3b). Kokornaczyk et al. (2016) encontraron correlaciones débiles (r de −0.41 a 0.44) entre los contenidos de Ca 2+ y Mg 2+ intercambiables y los componentes de PFC en muestras de suelo de campos plantados con diferentes cultivos, sugiriendo además que la diferenciación del patrón de RAD en CPF es un signo de alta calidad del suelo.
En el caso del Mg 2+ el coeficiente de determinación más cercano al límite establecido fue con la ZI, con un coeficiente de determinación R 2 = 0.375, en donde al valor más bajo de la ZI le corresponde el valor más alto de Mg 2+ ( Figura 3c). Estos resultados coinciden con los resultados obtenidos por Heredia (2012 1) quien reporta correlación negativa entre el Mg 2+ con la ZI del cromatograma, encontrando también correlación con la ZC la cual presentó menor dispersión y, por lo tanto, fue el componente que le resultó estadísticamente significativo para estimar el contenido de Mg 2+.
Entre todos los coeficientes de determinación obtenidos para la variable Fe 2+ el más cercano al límite establecido fue con la ZIN, con coeficiente de determinación R 2 = 0.272 y correlación negativa, ya que los niveles más altos de Fe 2+ se encuentran en los valores más bajos de la ZIN, con tendencia a disminuir conforme el ancho de la ZIN va disminuyendo ( Figura 3d); sin embargo, se mostró dispersión. A diferencia de lo establecido por Restrepo y Pinheiro (2011) no se encontró relación con la ZI del cromatograma donde se reflejan los minerales del suelo, ni con la ZE que se relaciona con la nutrición, pero si se correlacionó con la ZIN, que de acuerdo a distintos autores, es la zona donde se refleja la MO ( Restrepo y Pinheiro, 2011; Medina et al., 2018 ). Por lo cual se atribuye la correlación a que la MO puede ser por sí misma fuente importante de Fe 2+ ( Aguado-Santacruz et al., 2012 ).
Para la variable Mn 2+ el coeficiente de determinación más cercano fue con la ZIN, con R 2 = 0.263. En la Figura 3e se observa que los valores más altos de Mn 2+ se presentaron para los valores más bajos de la ZIN. En los resultados obtenidos por Heredia (2012 1) se encontró correlación baja entre el contenido de Mn 2+ con la ZIN del cromatograma al igual que en este estudio; sin embargo, no fue un componente predictor para estimar el contenido de Mn 2+ debido a que observaron correlación alta con la ZC y los RAD. La correlación del Mn 2+ con la ZIN o la zona de la MO ( Restrepo y Pinheiro, 2011), se atribuye a que la disponibilidad del Mn 2+ está influenciada por factores del suelo que intervienen en el proceso de oxidorreducción, particularmente el pH y el contenido de MO ( Gómez et al., 2006 ).
Para el contenido de Zn 2+ el coeficiente de determinación más cercano al límite establecido fue con el componente ZC con R 2 = 0.331 ( Figura 3f).
Los resultados difieren a lo encontrado por Heredia (2012 1), quién registró alta confiabilidad de estimación de la concentración de Zn 2+ por medio de la ZE del cromatograma con coeficiente de determinación de R 2 = 0.803 para cromatogramas generados de suelos con cobertura de arbustos, agaves y cactus.
Generación de patrones numéricos para la interpretación de cromatogramas en suelo a través de modelos de regresión
Para la generación de los patrones numéricos para las variables con coeficiente de determinación mayores a R 2 = 0.40, que permitan la interpretación cuantitativa de los cromatogramas de CPF, primero se realizó el análisis de regresión utilizando regresión lineal para Cu 2+ y P, regresión polinomial para K 2+ y regresión múltiple para MO, en donde se manejaron los componentes del cromatograma como predictores y las variables fisicoquímicas como dependientes. Posteriormente se estimaron los valores de cada nutriente a través de la ecuación predictiva del modelo ajustado de regresión, para lo cual los valores ajustados del modelo de logaritmo se reconvirtieron a la escala original tomando el exponencial del ajustado ( Cuadro 5).

A partir de los valores estimados con las ecuaciones de los modelos predictivos, se realizó la gradación de la concentración de las variables clasificándolas de acuerdo a los criterios de interpretación de suelos establecidos por Uvalle-Bueno (2000) para el contenido de macronutrientes, y los de UNIFRUT (2012) para micronutrientes, estableciéndose tres niveles para P, K +, Cu 2+ y MO, lo que permitió generar los patrones de interpretación a partir de las características de los componentes del cromatograma ( Cuadro 6).

De esta manera se observa que a mayor tamaño de la ZC y en el NN, mayor es la concentración de MO en suelo; a mayor tamaño de la ZI mayor es la concentración de K + y Cu 2+, mientras que a mayor tamaño de la ZE mayor es la concentración de P.
Generación de patrones categóricos para la estimación de tendencias de relación entre variables
De los resultados de la correlación entre análisis fisicoquímicos convencionales con los componentes de la CPF ( Cuadro 4) se seleccionaron aquellas variables fisicoquímicas con coeficiente de determinación menor y más cercano a R 2 = 0.40, siendo estas: arena, Ca 2+, Mg 2+, Fe 2+, Mn 2+ y Zn 2+, con las que se realizó la categorización entre los componentes del cromatograma para llevar a cabo la definición de patrones categóricos, que permitieran encontrar ciertas tendencias de relación entre las variables.
La variable arena se categorizó con el componente NN en 2 niveles resultando en un patrón con el que a bajo nivel de NN (19-50) menor es el porcentaje de arena (39%) contrastado con el nivel alto de NN (51‑70) con media de 44% de arena.
La variable Ca 2+ se categorizó con los RAD en dos niveles resultando en un patrón en el que a menor número de RAD (17.0-22.5) mayor es el contenido de Ca 2+ con media de 1236 mg kg -1 y a número mayor de RAD (22.5-27.5) corresponde un contenido menor con media de 1187 mg kg -1 los que, de acuerdo a los rangos establecidos por Uvalle-Bueno et al. (2000) , representan niveles medios de Ca 2+.
La variable Mg 2+ se categorizó en 2 niveles que se asociaron con la ZI resultando en un patrón en el que a menor ancho de la ZI (24.0-32.4 mm) menor es el contenido de Mg 2+ con media de 170 mg kg -1, lo que de acuerdo a los rangos establecidos por Uvalle-Bueno et al. (2000) representa un nivel medio, contrastado con un valor mayor de la ZI (32.5-35.0 mm) con media de 211 mg kg -1 de Mg 2+, lo cual se encuentra dentro de un nivel alto.
El componente ZIN se categorizó en 2 niveles que se asociaron con la variable Fe 2+ resultando en un patrón en el que a menor valor de la ZIN (9.0‑14.9 mm) mayor será el contenido de Fe 2+ con media de 10 mg kg ‑1, contrastado con un valor alto de la ZIN (15-20 mm) con media de 8 mg kg -1 de Fe 2+. Sin embargo, de acuerdo a la escala establecida por UNIFRUT (2012), ambos representan alto contenido de Fe 2+.
La variable Mn 2+ se categorizó en 2 niveles que se asociaron con ZIN resultando en un patrón en el que el valor menor de la ZIN (9.0-12.9 mm) se relacionó con el mayor contenido de Mn 2+ con media de 46 mg kg ‑1, lo que representa un nivel bajo con base a lo establecido por UNIFRUT (2012), contrastado con el nivel alto de la ZIN (13-20 mm) con media de 52 mg kg -1 de Mn 2+, que de acuerdo a la escala establecida por UNIFRUT (2012) representa un nivel medio de este micronutriente.
Además, se encontró que la categorización del componente ZC se asoció a la concentración de Zn 2+ en 2 niveles, resultando en un patrón en el que el nivel bajo de la ZC (0.5-2.5 mm) se relacionó con el menor contenido de Zn 2+ con media de 9.8 mg kg -1, lo que representa un nivel medio según UNIFRUT (2012), mientras que el nivel alto de la ZC (2.6-6.0 mm) se relacionó con media de 13.8 mg kg -1 de Zn 2+, que de acuerdo a UNIFRUT (2012) representa un nivel alto de Zn 2+.
De acuerdo a estos resultados, la técnica de cromatografía de Pfeiffer es una herramienta sencilla y rápida para el análisis integral de propiedades físicas, químicas y biológicas de suelos, al aportar información relacionada con los resultados obtenidos con análisis convencionales de fertilidad; sin olvidar que además, puede revelar un panorama amplio de aspectos integrales de mineralización del suelo (Heredia, 2012 1), de la actividad enzimática o actividad biológica ( Restrepo y Pinheiro, 2011), y de características de los sistemas de labranza ( Medina et al., 2018 ). Sin embargo, el tipo de suelo a partir del cual se genere el cromatograma debe tenerse en cuenta en su interpretación ( Ford et al., 2019 ), ya que, el patrón revela diferencias entre los diferentes tipos de suelo y de cultivos ( Kokornaczyk et al., 2016 ).
Por lo que, es necesario complementar la capacidad de estimación de los patrones generados en este estudio en futuras investigaciones, con diversidad de suelos y bajo características experimentales similares, con el objeto de obtener un grado de confianza que permita desarrollar una herramienta de amplia utilización para la interpretación de los cromatogramas generados con dicha técnica.
Conclusiones
Los resultados mostraron interacción entre los componentes de los cromatograma de Pfeiffer con uno o varios parámetros de fertilidad de los suelos en estudio, lo que posibilitó generar dos tipos de modelos de predicción para la interpretación de los cromatogramas; el primer tipo, con fuerte grado de precisión, permite estimar e interpretar el contenido de fósforo, potasio, cobre y materia orgánica en el suelo; y el segundo, con débil grado de precisión permite encontrar tendencias para arena, calcio, magnesio, fierro, manganeso y zinc.
Debido a que algunas características del suelo valoradas con los análisis convencionales no pudieron ser modeladas a partir de la cromatografía de Pfeiffer, ambas técnicas deben considerarse como complementarias para el conocimiento de la fertilidad del suelo.
Agradecimientos
Al Consejo Nacional de Ciencia y Tecnología a través del Programa Nacional de Posgrados de Calidad.
Literatura Citada
Aguado-Santacruz, G. A., B. Moreno-Gómez , B. Jiménez-Francisco, E. García-Moya y R. E. Preciado-Ortiz. 2012. Impacto de los sideróforos microbianos y fitosideróforos en la asimilación de hierro por las plantas: una síntesis. Rev. Fitotec. Mex. 35: 9-21.
Aguilar, S. A., J. D. Etchevers y J. Z. Castellanos. 1987. Análisis químico para evaluar la fertilidad del suelo. Publicación especial no. 1. Sociedad Mexicana de la Ciencia del Suelo. Chapingo, México. ISBN: 968-6201-00-9.
Aguirre, S. E., N. V. Piraneque y C. J. Díaz. 2019. Valoración del estado del suelo en zona de bosque seco tropical mediante técnicas analíticas y cromatogramas. Inf. Tecnol. 30: 337-350. doi: https://dx.doi.org/10.4067/S0718-07642019000600337.
Antunes de Melo, D. M., E. Fernandes dos Reis, T. Nascimento Coaracy, W. A. Oliveira da Silva e A. E. Araujo. 2019. Cromatografia de Pfeiffer como indicadora agroecológica da qualidade do solo em agroecossistemas. Rev. Craibeiras Agroecol. 4: 7653-7658.
Benavides-Benavides, A., X. Vargas-González, C. Mora-Aparicio, I. Vega-Guzmán y S. Valdéz-Díaz. 2015. Gestión de reactivos y desechos químicos en los laboratorios de docencia de la cátedra de química orgánica en la Escuela de Química. Rev. de Extensión 5: 229-250.
Bolaños A., J. D. 2012. Protocolo para la gestión verde en laboratorios de química con fines académicos. Rev. Pensamiento Actual 12: 47-58.
Costa Burle, E. e R. Tavarez F. 2019. Uso da cromatografia circular plana em diferentes concentrações para análise de solo e de compostos orgánicos. Caderno de Graduação - Ciências Exatas e Tecnológicas - UNIT-SERGIPE 5: 19-28.
Chilon Camacho, E. 2018a. El paradigma suelo vivo. Apthapi 4: 1188-1211.
Chilon Camacho, E. 2018b. Heurística del compost Altoandino, hallazgos científicos y su contribución al paradigma suelo vivo. Apthapi 4: 1212-1226.
Domingues, S., R. Contini, M. Maia, E. Farina, G. Gabardo e A. Ribeiro. 2018. Conhecimento agroecológico através da experimentação da cromatografia de pfeiffer, uma análise qualitativa dos solos. Revista da Jornada de Pós - Graduação e Pesquisa. Congrega Urcamp 15: 932-940.
Eyherabide, M., H. R. Saínz Rozas, P. A. Barbieri y H. E Echeverría. 2014. Comparación de métodos para determinar carbono orgánico en suelo. Rev. Cienc. Suelo 32: 13-19.
Torossi-Baudio, F. D. 2007. Una experiencia sencilla con fundamentos complejos: la separación de pigmentos fotosintéticos mediante cromatografía sobre papel. An. Quim. 103: 45-51.
Gómez, M. I., M. A. López y Y. C. Cifuentes. 2006. El manganeso como factor positivo en la producción de papa ( Solanum tuberosum L.) y arveja ( Pisum sativum L.) en suelos del altiplano Cundiboyacense. Agron. Colomb. 24: 340-347.
Gordillo, F., E. Peralta, E. Chávez, V. Contreras, A. Campuzano y O. Ruiz. 2011. Producción y evaluación del proceso de compostaje a partir de desechos agroindustriales de Saccharum officinarum (caña de azúcar). Rev. Invest. Agropec. 37: 140-149.
Ford, B., B. Cook, D. Tunbridge, and P. Tilbrook. 2019. Using paper chromatography for assessing soil health in south western Australia. Centre of Excellence in Natural Resource Management, University of Western Australia. Albany, WA.
Klute, A. 1986. Methods of soil analysis. Part 1, physical and mineralogical methods. American Society of Agronomy-Soil Science Society of America. Madison, WI, USA. ISBN-13: 978-0891188117.
Khemani, D., M. M Joseph, and S. Variganti. 2008. Case based interpretation of soil chromatograms. pp. 587-599. In: K. D. Althoff, R. Bergmann, M. Minor, and A. Hanft (eds.). Advances in case-based reasoning. ECCBR 2008. Lecture notes in computer science, vol. 5239. Springer. Berlin, Heidelberg. doi: https://doi.org/10.1007/978-3-540-85502-6_40.
Kokornaczyk, M. O., F. Primavera, R. Luneia, S. Baumgartner, and L. Betti. 2016. Analysis of soils by means of Pfeiffer’s circular chromatography test and comparison to chemical analysis results. Biol. Agric. Hortic. 33: 143-157. doi: https://doi.org/10.1080/01448765.2016.1214889.
Laguna, C. 2014. Correlación y regresión lineal. Instituto Aragonés de Ciencias de la Salud. Aragón, España.
Lindsay, W. L. and W. A. Norvell. 1978. Development of a Dtpa soil test for zinc, iron, manganese, and copper. Soil Sci. Soc. Am. J. 42: 421-428. doi: https://doi.org/10.2136/sssaj1978.03615995004200030009x.
Lozano-Rivas, W. A. 2016. Densidad aparente por el método de la probeta. pp. 57-58. In: W. A. Lozano-Rivas (ed.). Suelos: Guía de prácticas simplificadas en campo y laboratorio. Universidad Piloto de Colombia. Bogotá, Colombia. ISBN: 978-958-8957-37-1.
McKean, S. J. 1993. Manual de análisis de suelos y tejido vegetal. Una guía teórica y práctica de metodologías. Documento de trabajo No. 129. Centro Internacional de Agricultura Tropical. CIAT. Cali, Colombia.
Medina S., T., G. Arroyo F. y V. Peña C. 2018. Cromatografía de Pfaiffer en el análisis de suelos de sistemas productivos. Rev. Mex. Cienc. Agríc. 9: 665-673. doi: https://dx.doi.org/10.29312/remexca.v9i3.1223.
Restrepo, J. y S. Pinheiro. 2011. Cromatografía imagen de vida y destrucción del suelo. Feriva, S. A. Cali, Colombia. ISBN: 978-958-44-8582-3.
Santos O., W., J. L. do Vale, E. Pereira, R. N. Pereira e M. E. da Silva. 2020. Métodos de interpretação para teste de qualidade em solos a partir da Cromatografia Circular Plana (FCC) Interpretation methods for soil quality testing from Flat. Braz. J. Animal Environ. Res. 3: 1107-1125
UNAM/FQ (Universidad Nacional Autónoma de México/Facultad de Química). 2007. Técnicas cromatográficas. Química analítica instrumental II. Universidad Nacional Autónoma de México. Ciudad de México, México. http://depa.fquim.unam.mx/amyd/archivero/M.Cromatogrficos_6700.pdf. (Consulta: mayo 5, 2019).
UNIFRUT (Unión Agrícola Regional de Fruticultores del Estado de Chihuahua) 2012. Manual básico de fertilización de manzano. Manual. Chihuahua, México. http://www.unifrut.com.mx (Consulta: 1 mayo 2019).
Uvalle-Bueno, J. X., J. Z. Castellanos y A. Aguilar-Santelises. 2000. Manual de interpretación de análisis de suelos y aguas. Instituto de capacitación para la productividad agrícola. Colección INCAPA. Celaya, Guanajuato, México.
Notas
Notas de autor
‡ Autora para correspondencia: aernande@uach.mx
Declaración de intereses