Artículo científico
Received: 01 May 2021
Accepted: 23 June 2021
DOI: https://doi.org/10.28940/terra.v39i0.979
Summary: The objective of biofortification is the human consumption of high nutritional quality food, rich in micronutrients. Selenium (Se) is an essential micronutrient in human nutrition, and its essentiality has not been evidenced in plants. However, its application in crops and subsequent consumption can mitigate the deficiency of this micronutrient in the diet of human populations. This work analyzes the capacity of sodium selenite (Na2SeO3) to increase yield, biosynthesis of bioactive compounds and their accumulation in tomato fruits. For this, five treatments were applied via nutrient solution: 0, 2, 4, 6, and 8 mg L-1. At harvest, the nutraceutical quality and the accumulation of Se in fruits were quantified, as well as the productivity of tomato plant. Biofortification was positively affected by the biosynthesis of phytochemical compounds and their concentration in fruit, although tomato yield decreased. The incorporation of Se in nutritive solution is an alternative to increase both the biosynthesis of phytochemical compounds and the concentration of this element in tomato fruits with the possibility of improving public health through its consumption.
Index words: nutraceutical quality, productivity, Solanum Lycopersicon.
Resumen: El consumo de alimentos de alta calidad nutricional, ricos en micronutrientes para el ser humano es el objetivo de la biofortificación. El selenio (Se), es un micronutriente esencial en la nutrición humana, y en las plantas no se ha demostrado su esencialidad. Sin embargo, su aplicación en los cultivos y posterior consumo puede mitigar la deficiencia de este micronutrimento en la dieta de la población. El presente trabajo analiza la capacidad del selenito de sodio (Na2SeO3) para aumentar el rendimiento, biosíntesis de compuestos bioactivos y su acumulación en frutos de tomate. Para ello cinco tratamientos fueron aplicados vía solución nutritiva: 0, 2, 4, 6 y 8 mg L-1. En la cosecha, se cuantificó la calidad nutracéutica y la acumulación de Se en frutos, así como la productividad de la planta de tomate. La biofortificación se modificó positivamente con la biosíntesis de compuestos fitoquímicos y su concentración en fruto, pero disminuye el rendimiento de tomate. La incorporación de Se en la solución nutritiva es una alternativa para incrementar la biosíntesis de compuestos fitoquímicos e incrementar la concentración de este elemento en los frutos del tomate con la posibilidad de mejorar la salud pública con su consumo.
Palabras clave: calidad nutracéutica, productividad, Solanum lycopersicon.
Introduction
Selenium (Se) is an essential trace mineral for humans (Schomburg, 2020; Rath, Lam, and Schooling, 2021), however, there is often insufficient intake causing serious health problems because Se is essential to form proteins (Sec) and vital enzymes such as glutathione peroxidase, thyroxine 5-deiodase and selenoproteins (Willers, Heinemann, Bitterlich, and Hahn, 2015). Also, it shows antioxidant properties towards free radicals, mitigates carcinogenic factors and presents biological effects towards some coronavirus diseases (including COVID-19) (Jha y Warkentin, 2020; Liu et al., 2021). The most common way in which humans get Se is through the consumption of foods such as meat or fish (Willers et al., 2015) since plants have a low content of this trace element (Kleine-Kalmer, Profeta, Daum, and Enneking, 2021) as effect of low Se concentrations in soil (White, 2018).
One strategy to increase Se content in food is through biofortification consisting potentiate the bioactivity and Se content in the edible parts of plants (Gaucin-Delgado et al., 2020). Fertilization is the most practical way to introduce Se into the food supply chain through agronomic practices; biofortification has been done successfully in different cultures increasing food and nutrition security of individuals, families and general population (Schiavon and Pilon, 2017), following improved agronomic characteristics, increasing food production and content of phytochemicals (Hossain et al., 2021), which help address nutritional deficiencies that are present in human diet (Bocchini et al., 2018); allowing faster to reach poorest communities, which have no resources to buy nutritional supplements suitable for the recommended daily intake (Mikula et al., 2020).
On the other hand, tomato (Solanum lycopersicum L.) is the most produced and consumed horticultural crop worldwide, it is an important source of bioactives, including carotenes, phenolic compounds, vitamins and minerals (Katırcı et al., 2020). These compounds are important for human health since they are part of our diet, helping in phytochemicals interaction with metabolic pathways that are related to the inflammatory response and oxidative stress (Rodríguez-Concepción et al., 2018), therefore, studies related to increase in productivity and phytochemicals through biofortification is of global interest (Błaszczak, Jeż, and Szwengiel, 2020; Fitzpatrick and Chapman, 2020). For the above, the objective of this work was to evaluate the effect of biofortification with selenium to improve the bioactive compounds and antioxidant capacity in tomato fruits.
Materials and Methods
Plant material and growing conditions
The study was carried out in a circular greenhouse located at the Technological Institute of Torreón, Mexico at 24° 30’ north latitude, 102° 00’ west longitude and an altitude of 1120 meters. Tomato seedlings cv. Sahel (Syngenta®) with six true leaves were transplanted in black polyethylene plastic pots with 15 kg capacity that contain as substrate river sand and perlite (vol/vol, 80:20) previously sterilized with 5% sodium hypochlorite.
Inside the greenhouse, the pots were cast in a double row and staggered arrangement, where a density of four plants per m2 was obtained. A drip irrigation system was used to provide three irrigations per day, and each plant received 0.6 L in each irrigation, from transplanting to beginning of flowering and 2.5 to 3.5 L from flowering to harvest. Plants were guided to a single stem and to sustain them, were sheltered with adhering raffia top of the greenhouse structure. Pollination was performed with an electric brush daily, from the beginning of flowering until the fruit set. The minimum and maximum temperature within the greenhouse fluctuated between 17.7 and 31.6 °C, respectively, while the minimum and maximum relative humidity ranged from 30 to 70 percent.
Treatments and experimental design
A completely randomized experimental design was used, applying five doses: (0, 2, 4, 6 and 8 mg L-1) of Na2SeO3 (Sigma Aldrich). The treatments with Se were applied every 15 days with a total of seven applications through the nutrient solution (Steiner, 1984). The pH and electrical conductivity were maintained at 5.5 and 2.0 dS m-1 respectively. Yield, fruit quality, nutraceutical quality of the fruit and selenium accumulation were determined. Ten plants were used per treatment.
Yield
For yield quantification fruits of each treatment and repetition of the first to the fifth cluster were collected, when the fruit presented an intense red color.
Fruit quality
The fruit quality was evaluated in three fruits taken at random from each cluster corresponding to each repetition of each treatment. Firmness and weight loss of the fruit, total soluble solids, titratable acidity and maturity index were quantified.
The fruit firmness was determined with a penetrometer (Fruit Hardness Tester FHT200), with a strut of 8 mm diameter, readings were taken on the opposite sides of the fruit and an average was obtained, the results were expressed in Newton units (N). For fruit weight loss, a sample of 10 fruits from the last bunch was taken and the weight was determined seven days after the harvest with a scale (Bapred-3 brand Rhino). The difference was calculated with respect to the initial weight, recording the data in percentage, according to the following equation:
WL (%) = (IW - FW) / IW. Where: WL = weight loss; IW = initial weight; FW = final weight.
Total soluble solids (TSS) were evaluated in three fruits taken at random from each cluster corresponding to each repetition, measuring °Brix, for this a drop of fruit juice was obtained and the reading was determined with a manual refractometer from 0 to 32% (Master 2311, Atago®, Tokyo, Japan). In these same fruits titratable acidity (TA) was determined according to methodology proposed by the AOAC (Helrich, 1990). The acidity of 20 g of pulp was evaluated with a sodium hydroxide solution at a concentration of 0.1 N, in which 1% phenolphthalein was used as indicator. Results are expressed in % of citric acid (predominant acid in tomato pulp). Maturity index was calculated with the relationship between total soluble solids/titratable acidity (TSS/TA).
Obtaining extracts
Two grams of fresh sample were mixed in 10 mL of 80% ethanol in test tubes with screw cap, which were placed on an orbital shaker (AAH3D1265U, OS-3000 Shaker) in the dark for 24 h at 20 rpm at temperature environment. The supernatant was extracted for analytical tests (Preciado-Rangel et al., 2019).
Nutraceutical quality of fruit
Total phenolic content was determined by a modification of the Folin-Ciocalteau method (Souza et al., 2014). 50 µL of ethanolic extract were taken, they were diluted in 3 mL of mQ water, 250 µL of Folin-Ciocalteau (1N) were added, it was stirred and allowed to react for 3 min. Subsequently, 750 µL of Na2CO3 (20%) and 950 µL of mQ water were added. The solution was allowed to stand for 2 h and samples were measured on a UV-Vis spectrophotometer (CGOLDENWALL, wavelength range 340-1000 nm and a spectral bandwidth: 5 to 760 nm). The standard solution was prepared with gallic acid. The results were expressed in mg GAE/100 g-1 fresh weight.
Total flavonoids were determined by spectrophotometry (Salas-Pérez et al., 2018). 250 µL of ethanolic extract were taken and it was mixed with 1.25 mL of mQ water and 75 µL of NaNO2 (5%), it was left for 5 min and 150 µL of AlCl3 (10%) were added. Subsequently, 500 µL of NaOH (1 M) and 275 µL of mQ water were added. It was shaken vigorously and the samples were quantified in a UV-Vis spectrophotometer (CGOLDENWALL, wavelength range 340 -1000 nm and spectral bandwidth: 5 at 510 nm). The standard was prepared with quercetin dissolved in absolute ethanol (y = 0.0122x-0.0067; r2 = 0.965). The results were expressed in mg QE/100 g-1 fresh weight.
Total antioxidant capacity was measured by the method DPPH+in vitro (Brand-Williams, Cuvelier, and Berset, 1995). A solution of DPPH+ (Aldrich) in ethanol was prepared, at a concentration of 0.025 mg mL‑1. 50 µL of the ethanolic extract were mixed with 1950 µL of DPPH+ solution, after 30 min samples were quantified in a UV-Vis spectrophotometer (CGOLDENWALL, wavelength range at 340-1000 nm and a spectral bandwidth: 5 to 517 nm). Results were expressed in µM equivalent in Trolox/100 g-1 fresh weight.
Lycopene extraction was performed by the method reported by Gómez-Romero, Arráez, Segura, and Fernández (2007), with some modifications. Approximately 1 g of sample was placed in test tubes covered with 50 ml of aluminum PTFE. A lycopene extraction solution (39 mL) consisting of hexane, butylated hydroxytoluene (BHT, 0.05%, w/v) in acetone and 95% ethanol in a ratio of 1: 1: 1 was added to the tubes and stirred for 10 minutes at 180 rpm. Six ml of cold distilled water was added to each tube and stirred for an additional five minutes for better separation of polar and apolar compounds. Then, the tubes were removed from shaking and left for 15 minutes at room temperature to separate into polar and apolar layers. The supernatant was placed in new tubes covered with aluminum of 15 mL and kept at -80 °C. The absorbance of the supernatant (hexane layer) containing lycopene was read three times using a UV-Vis spectrophotometer (CGOLDENWALL, wavelength range 340-1000 nm and spectral bandwidth: 5 to 503 nm). Absolute hexane was used as a blank. The amounts of lycopene in the tissues were calculated using the following formula: Lycopene (mg/kg) = (x/y) × A503 × 3.12, where: x = amount of hexane (mL); y = sample weight; A = absorbance at 503 nm and 3.12 = extinction coefficient.
Selenium accumulation in fruits
Dried tomato samples were grind in a porcelain mortar and digested with nitric and perchloric acid (3:1), using a hot plate at 100 °C. The solution was filtered and boiled to obtain 100 ml of working solution with deionized water. Selenium concentration in tomato fruits was determined by atomic absorption spectrophotometry (Helrich, 1990) the results were expressed in µg kg-1 of dry weight of fruits.
Statistic analysis
The normality and homogeneity of variances of the data obtained were verified using the Kolmogorov-Smirnov and Bartlett tests, respectively. Subsequently, analysis of variance of simple classification and multiple comparison of means was performed using the Tukey test at a probability of 5% (P ≤ 0.05), with the help of the statistical analysis package SAS v 9.0 (SAS Institute, 2004).
Results and Discussion
Yield
The addition of 8 mg L-1 of Se decreased 12.5% the yield with respect to the treatment without the trace element (Table 1), on the other hand, it has been reported that high doses of Se decrease crop yield, because it acts as a lipid pro-oxidant and increases the production of free radicals causing oxidative stress (Zięba et al., 2020); however, at low doses, yield is improved (Zahedi, Hosseini, Meybodi, and da Silva, 2019; Rady, Belal, Gadallah, and Semida, 2020) and acts as an antioxidant by increasing the ability of plants to resist oxidative stress caused by reactive oxygen species under conditions stress (Hasanuzzaman et al., 2020). Plant response to Se depends on its concentration; since at low doses yield is promoted and moderate doses improve the quality characteristics of fruit (Gaucin-Delgado et al., 2020); while high concentrations can cause toxicity and cell death (Gupta and Gupta, 2017).

Fruit quality
Results of this study indicated that the addition of 8 mg L‑1 of Se increased the shelf life and improved fruits taste, by reducing weight loss and increasing firmness, TSS and TA (61, 8, 17 and 30%, respectively) (Table 1). The above may be because Se increase peroxidase enzymes (Hibaturrahman et al., 2020), which participate in various functions such as lignification, suberization and crosslinking of structural proteins of the cell wall (Pérez-Galende, 2016), thus conferring a greater lignification of the pericarp cell walls in the fruits. In addition, Se decreases the biosynthesis of ethylene (Unsihuay, Picasso, and Sun Kou, 2016) and thus the inhibition of the action of depolymerizing enzymes responsible for the degradation of the cell wall (Cerda-Mejía, 2016), such as cellulase (CEL), pectin-methyl esterase (PME) and polygalacturonase (PG), which increases shelf life and reduces fruit weight loss.
Regarding the increase, the TSS in the fruits treated with high doses of Se, it is probably due to Se promote the accumulation of starch (Aly and Halim, 2020) and this, in turn, has a preponderant effect on the accumulation of solids soluble in fruits (Ziv, Zhao, Gao, and Xia, 2018). Similar results were reported by Quiterio-Gutiérrez et al. (2019), to indicate an increase in TSS in tomato by using Se in nutrient solution. The Se increased the TA in fruits, this result coincides with Palencia, Martinez, Burducea, Oliveira, and Giralde (2016). The citric acid expressed in titratable acidity, is produced from the oxidation of sugars during respiration and metabolic activity (García-Sahagún, Martínez, Avendaño, Padilla, and Izquierdo, 2009; Beckles, 2012). The addition of Se to the nutrient solution influences the activation of respiration and production of ethylene (Hossain et al., 2021; Naseem et al., 2021) since it controls the synthesis of citric acid, activating phosphorylation as part of respiration and the synthesis of ethylene dependent on the energy available to generate organic acids (Larskaya, Barisheva, Zabotin, and Gorshkova, 2015); decreasing the ripening processes as the fruit cycle progresses (Garduño and Márquez, 2018). Tomatoes are climacteric fruits and their ripening is accompanied by changes in flavor, texture, color and aroma. During this process, chlorophyll is degraded and carotenoids are synthesized, such as lycopene (Fraser, Truesdale, Bird, Schuch, and Bramley, 1994) and the fruit loses firmness due to physical and chemical changes associated with the degradation of the cell wall and the solubilization of pectins by enzymes pectinesterase (PE), polygalacturonase (PG) and pectatoliase (PL) (San Martín-Hernández, Ordaz, Sánchez, Colinas, and Borges, 2012). The results of this study indicate that the use of Se delayed fruit maturity by increasing firmness, total soluble solids and titratable acidity, at the same time fruit weight loss was decreased. Klee and Giovannoni (2011) indicate that a fruit is ripe when the IM is greater than 10; The previous results allow us to affirm that the use of Se is a good strategy to delay fruit maturity and increase the useful life of tomato.
Phytochemical compounds
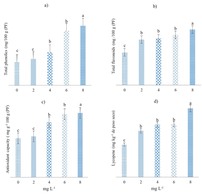
The addition of Se in the nutrient solution, positively modifies the biosynthesis of phytochemical compounds (phenolic, flavonoid, antioxidant activity and lycopene content (Figure 1a-1d), obtaining the highest values of these metabolites with 8 mg L-1, surpassing control treatment in 26, 5, 28 and 36%, respectively. Dima et al. (2020), mention that Se in adequate concentrations improves the biosynthesis and accumulation of bioactive compounds. Production of foods rich in phytochemical compounds is desirable in the food industry, since these compounds delay the oxidation and degradation of lipids that increase the nutritional quality of foods (Morales-Espinoza et al., 2019) and its consumption is beneficial for human health (Gupta and Gupta, 2017), for its anticancer, anti-inflammatory and antimicrobial properties (Dinh et al., 2019), in addition, tend to combat cardiovascular diseases (Khurana, Tekula, Saifi, Venkatesh, and Godugu, 2019). Furthermore, Se is an essential component of selenoenzymes, some of which have antioxidant functions, improving the nutraceutical quality of the edible part of fruit (Gouveia et al., 2020) and reducing the production of ROS, such as O2 and H2O2 (Rizwan et al., 2020).

Lycopene is a carotenoid high antioxidant power responsible for the characteristic red color of the fruit of tomato, lycopene and Se biofortification are acting together as a major antioxidant in the human body to play a key role in several physiological processes in a regular diet substantially reducing the risk of disease by eliminating toxins that affect the quality of DNA (Manjer, Sandsveden, and Borgquist, 2020) and cells, as well as being an important visual feature for consumers. In this research, the lycopene content was modified by the Se added in the SN, increasing with the doses of Se. The Se acts directly on the functions of proteins with selenomethiomine and selenocysteine: triggering the increase in antioxidant protection by GPXs, energy metabolism and reductive regulation of transcriptional factors, acting as an important intermediary in increase of ethylene biosynthesis, which is crucial to control the maturity stage of fruit (Natasha et al., 2018). The addition of Se interacts with tomato methionine which becomes Se-Met and accumulates as organic Se by phosphate transporters in plant tissues, high doses can alter levels of available methionine, an important amino acid of the ethylene biosynthesis, and finally alter negatively ethylene production (Rocha, Barbosa, Nascimento, Aquino, and Oliveira, 2019).
Selenium content in fruits
The selenium content in tomato fruits increased in direct proportion to its availability in nutrient solution (Figure 2). Accumulation of Se in edible parts of the plant depends on plant species, the form and chemical source of the element that is being applied (Yin et al., 2019). Castillo-Godina, Foroughbakhch, and Benavides (2013), reports an accumulation of Se in tomato fruits similar to that of the present work. Absorption, distribution and translocation of Se within plants is determined by the translocation of the plant, the activity of membrane transporters, the form and concentration of Se in the plant (Gupta and Gupta, 2017; White, 2018; Zahedi et al., 2019). The greater absorption of this element could have been due to selenite is better captured by passive diffusion without participation of membrane transports as it is chemically similar to phosphate (Hossain et al., 2021), commonly synthesized as SeMet, methyl-SeCys or ɣ-glutamyl-Se-SeCys (ɣ-Glu-MeSeCys) (Jha and Warkentin, 2020), since they are incorporated into metabolic pathways such as plant selenoproteins to form the most important part of active center of its enzymatic activities (Kieliszek, 2019) and a greater benefit of improved antioxidant activity (White, 2018). In this regard, the requirement of daily intake of Se per day in babies of 6 months’ age is 15 mg, for babies from 7 months to 3 years of age is 20 mg, children from 4 to 8 years is 30 mg, children from 9 to 13 years of age is 40 mg, adolescents from 14 to 18 years 55 mg and adults from 19 to 71 years of age 55 mg (Liu et al., 2019). It can be determined that for groups of 6 months to 13 years is excellent source of Se, while 14 to over 71 years is only good source of Se. The accumulation of Se in fruits could complement daily intake recommended by the USDA in an easy and simple way (Rady et al., 2020).

Conclusions
Selenite added to the nutrient solution increased biosynthesis of phytochemical compounds in tomato fruits. Agronomic biofortification with selenite is an alternative to obtain functional foods and increase accumulation of Se in tomato fruits, with the possibility of improving public health with its consumption.
Statement of Ethics
Not applicable.
Consent to Publication
Not applicable.
Data Availability
Data sets used or analyzed from this study are available by the author by correspondence upon reasonable request.
Conflict of Interests
The authors declare that they have no competing interests.
Author's Contribution
Conceptualization: J.M.G.D. and B.M.M. Methodology: L.G.H.M. Software: L.L.C. Validation: E.C.L. and D.R.V.C. Formal analysis: D.R.V.C. Research: B.M.M. Resources: P.P.R. Data curation: B.M.M. Writing, preparing the original draft: P.P.R. and L.L.C. Writing, proofreading and editing: J.M.G.D. and L.G.H.M. Visualization: L.L.C. Supervision: E.C.L. Project management: E.C.L. Acquisition of funds: P.P.R.
Acknowledgment
Jazmín Montserrat Gaucin Delgado gratefully acknowledges the financial support provided by the National Council of Science and Technology of Mexico (CONACYT) for doctoral studies and technical assistance of the technicians of the Laboratory of Water Analysis and Soil Institute of Technology Torreon (ITT) for their support and sponsorship to carry out the project.
Literature Cited
Aly, R. A., & Abdel-Halim, K. Y. (2020). Effect of bio-fertilizer and foliar spray of selenium of growth, yield and quality of potato plants. Academic Journal of Life Sciences, 6(1), 1-7. https://doi.org/10.32861/ajls.61.1.7
Helrich, K. (Ed). (1990). Official methods of analysis of the Association of Official Analytical Chemists. Arlington, VA, USA: AOAC.
Beckles, D. M. (2012). Factors affecting the postharvest soluble solids and sugar content of tomato (Solanum lycopersicum L.) fruit. Postharvest Biology Technology, 63(1), 129-140. https://doi.org/10.1016/j.postharvbio.2011.05.016
Błaszczak, W., Jeż, M., & Szwengiel, A. (2020). Polyphenols and inhibitory effects of crude and purified extracts from tomato varieties on the formation of advanced glycation end products and the activity of angiotensin-converting and acetylcholinesterase enzymes. Food Chemistry, 314, 126181. https://doi.org/10.1016/j.foodchem.2020.126181
Bocchini, M., D'Amato, R., Ciancaleoni, S., Fontanella, M. C., Palmerini, C. A., Beone, G. M., … Businelli, D. (2018). Soil selenium (Se) biofortification changes the physiological, biochemical and epigenetic responses to water stress in Zea mays L. by inducing a higher drought tolerance. Frontiers in Plant Science, 9, 389. https://doi.org/10.3389/fpls.2018.00389
Brand-Williams, W., Cuvelier, M. E., & Berset, C. (1995). Use of a free radical method to evaluate antioxidant activity. LWT-Food Science Technology, 28(1), 25-30. https://doi.org/10.1016/S0023-6438(95)80008-5
Castillo-Godina, R., Foroughbakhch-Pournavab, R., & Benavides-Mendoza, A. (2013). Efecto del selenio sobre la cuantificación de ácido ascórbico en tomate (Lycopersicon esculentum Mill). Planta, 8(17), 21-23. http://hdl.handle.net/2445/104248
Dima, S. O., Neamțu, C., Desliu-Avram, M., Ghiurea, M., Capra, L., Radu, E., … Oancea, F. (2020). Plant biostimulant effects of Baker’s yeast vinasse and selenium on tomatoes through foliar fertilization. Agronomy, 10(1), 133. https://doi.org/10.3390/agronomy10010133
Dinh, Q. T., Wang, M., Tran, T. A. T., Zhou, F., Wang, D., Zhai, H., … Liang, D. (2019). Bioavailability of selenium in soil-plant system and a regulatory approach. Critical Reviews in Environmental Science Technology, 49(6), 443-517. https://doi.org/10.1080/10643389.2018.1550987
Fitzpatrick, T. B., & Chapman, L. M. (2020). The importance of thiamine (vitamin B1) in plant health: From crop yield to biofortification. Journal of Biological Chemistry, 295(34), 12002-12013. https://doi.org/10.1074/jbc.REV120.010918
Fraser, P. D., Truesdale, M. R., Bird, C. R., Schuch, W., & Bramley, P. M. (1994). Carotenoid biosynthesis during tomato fruit development (evidence for tissue-specific gene expression). Plant Physiology, 105(1), 405-413. https://doi.org/10.1104/pp.105.1.405
García-Sahagún, M. L., Martínez-Juárez, V., Avendaño-López, A. N., Padilla-Sahagún, M., & Izquierdo-Oviedo, H. (2009). Acción de oligosacáridos en el rendimiento y calidad de tomate. Fitotecnia Mexicana, 32(4), 295-301.
Garduño-Zepeda, A., & Márquez-Quiroz, C. (2018). Aplicación de selenio en cultivos agrícolas. Revisión bibliográfica. Información Técnica Económica Agraria, 114(4), 327-343. https://doi.org/10.12706/itea.2018.019
Gaucin-Delgado, J. M., Hernández-Montiel, L. G., Sánchez-Chávez, E., Ortega-Ortiz, H., Fortis-Hernández, M., Reyes-Pérez, J. J., & Preciado-Rangel, P. (2020). Agronomic biofortification with selenium improves the yield and nutraceutical quality in tomato under soilless conditions. Notulae Botanicae Horti Agrobotanici Cluj-Napoca, 48(3), 1221-1232. https://doi.org/10.15835/nbha48312000
Gómez-Romero, M., Arráez-Román, D., Segura-Carretero, A., & Fernández-Gutiérrez, A. (2007). Analytical determination of antioxidants in tomato: typical components of the Mediterranean diet. Journal of Separation Science, 30(4), 452-461. https://doi.org/10.1002/jssc.200600400
Gouveia, G. C. C., Galindo, F. S., Lanza, M. G. D. B., da Rocha Silva, A. C., de Brito Mateus, M. P., da Silva, M. S., … Dos Reis, A. R. (2020). Selenium toxicity stress-induced phenotypical, biochemical and physiological responses in rice plants: Characterization of symptoms and plant metabolic adjustment. Ecotoxicology and Environmental Safety, 202, 110916. https://doi.org/10.1016/j.ecoenv.2020.110916
Gupta, M., & Gupta, S. (2017). An overview of selenium uptake, metabolism, and toxicity in plants. Frontiers in Plant Sciences, 7, 2074. https://doi.org/10.3389/fpls.2016.02074
Hasanuzzaman, M., Borhannuddin-Bhuyan, M. H. M., Raza, A., Hawrylak-Nowak, B., Matraszek-Gawron, R., Al Mahmud, J., Nahar, K., & Fujita, M. (2020). Selenium in plants: Boon or bane? Environmental Experimental Botany, 178, 104170. https://doi.org/10.1016/j.envexpbot.2020.104170
Hibaturrahman, S. N., Koyama, H., Kameo, S., Waspodo, P., Wardana, A. A., & Surono, I. S. (2020). Effect of cocoyam modified starch (Xanthosoma sagittifolium), beetroot juice, cocoyam modified starch adsorbing beetroot on plasma selenium and glutathione peroxidase of pre-diabetic rat. In IOP Conference Series: Earth and Environmental Science , 426, 012184. Solo, Indonesia. https://doi.org/10.1088/1755-1315/426/1/012184
Hossain, A., Skalicky, M., Brestic, M., Maitra, S., Sarkar, S., Ahmad, Z., … Laing, A. M. (2021). Selenium biofortification: Roles, mechanisms, responses and prospects. Molecules, 26(4), 881. https://doi.org/10.3390/molecules26040881
Jha, A. B., & Warkentin, T. D. (2020). Biofortification of pulse crops: Status and future perspectives. Plants, 9(1), 73. https://doi.org/10.3390/plants9010073
Katırcı, N., Işık, N., Güpür, Ç., Guler, H. O., Gursoy, O., & Yilmaz, Y. (2020). Differences in antioxidant activity, total phenolic and flavonoid contents of commercial and homemade tomato pastes. Journal of the Saudi Society of Agricultural Sciences, 19(4), 249-254. https://doi.org/10.1016/j.jssas.2018.11.003
Khurana, A., Tekula, S., Saifi, M. A., Venkatesh, P., & Godugu, C. (2019). Therapeutic applications of selenium nanoparticles. Biomedicine & Pharmacotherapy, 111, 802-812. https://doi.org/10.1016/j.biopha.2018.12.146
Kieliszek, M. (2019). Selenium-fascinating microelement, properties and sources in food. Molecules, 24(7), 1298. https://doi.org/10.3390/molecules24071298
Klee, H. J., & Giovannoni, J. J. (2011). Genetics and control of tomato fruit ripening and quality attributes. Annual Review of Genetics, 45, 41-59. https://doi.org/10.1146/annurev-genet-110410-132507
Kleine-Kalmer, R., Profeta, A., Daum, D., & Enneking, U. (2021). Willingness to purchase selenium-and iodine-biofortified apples-a discrete choice analysis with German consumers. Nutrients, 13, 1625. https://doi.org/10.20944/preprints202103.0371.v1
Larskaya, I., Barisheva, T., Zabotin, A., & Gorshkova, T. (2015). Character of oligosaccharin OS-RG participation in the IAA-induced formation of adventitious roots. Russian Journal of Plant Physiology, 62, 171-178. https://doi.org/10.1134/S1021443715020120
Liu, J., Dietz, T., Carpenter, S. R., Taylor, W. W., Alberti, M., Deadman, P., … Lubchenco, J. (2021). Coupled human and natural systems: The evolution and applications of an integrated framework. Ambio, 1-6. https://doi.org/10.1007/s13280-020-01488-5
Liu, Y., Peterson, K. E., Sánchez, B. N., Jones, A. D., Cantoral, A., Mercado-García, A., … Téllez-Rojo, M. M. (2019). Dietary intake of selenium in relation to pubertal development in mexican children. Nutrients, 11(7), 1595. https://doi.org/10.3390/nu11071595
Manjer, J., Sandsveden, M., & Borgquist, S. (2020). Serum iodine and breast cancer risk: A prospective nested case-control study stratified for selenium levels. Cancer Epidemiology, Biomarkers & Prevention, 29(7), 1335-1340. https://doi.org/10.1158/1055-9965.EPI-20-0122
Mikula, K., Izydorczyk, G., Skrzypczak, D., Mironiuk, M., Moustakas, K., Witek-Krowiak, A., & Chojnacka, K. (2020). Controlled release micronutrient fertilizers for precision agriculture - A review. Science of Total Environment, 712, e136365. https://doi.org/10.1016/j.scitotenv.2019.136365
Morales-Espinoza, M. C., Cadenas-Pliego, G., Pérez-Alvarez, M., Hernández-Fuentes, A. D., Cabrera de la Fuente, M., Benavides-Mendoza, A., Valdés-Reyna, J., & Juárez-Maldonado, A. J. (2019). Se nanoparticles induce changes in the growth, antioxidant responses, and fruit quality of tomato developed under NaCl stress. Molecules, 24(17), 3030. https://doi.org/10.3390/molecules24173030
Naseem, M., Anwar-ul-Haq, M., Wang, X., Farooq, N., Awais, M., Sattar, H., … El-Esawi, M. A. (2021). Influence of selenium on growth, physiology, and antioxidant responses in maize varies in a dose-dependent manner. Journal of Food Quality, 2021, 1-9, 6642018. https://doi.org/10.1155/2021/6642018
Natasha, Shahid, M., Niazi, N. K., Khalid, S., Murtaza, B., Bibi, I., & Rashid, M. I. (2018). A critical review of selenium biogeochemical behavior in soil-plant system with an inference to human health. Environmental Pollution, 234, 915-934. https://doi.org/10.1016/j.envpol.2017.12.019
Palencia, P., Martinez, F., Burducea, M., Oliveira, J. A., & Giralde, I. (2017). Efectos del enriquecimiento con selenio en SPAD, calidad de la fruta y parámetros de crecimiento de plantas de fresa en un sistema de cultivo sin suelo. Revista Brasileira de Fruticultura, 38(1), 202-212. http://dx.doi.org/10.1590/0100-2945-294/14
Pérez Galende, P. (2016). Nuevas peroxidasas de origen vegetal: aislamiento, caracterización y aplicaciones. Tesis doctoral. Universidad de Salamanca, España. https://doi.org/10.14201/gredos.128526
Preciado-Rangel, P., Reyes-Pérez, J. J., Ramírez-Rodríguez, S. C., Salas-Pérez, L., Fortis-Hernández, M., Murillo-Amador, B., & Troyo-Diéguez, E. (2019). Foliar aspersion of salicylic acid improves phenolic and flavonoid compounds, and also the fruit yield in cucumber (Cucumis sativus L.). Plants, 8(2), 44-51. https://doi.org/10.3390/plants8020044
Quiterio-Gutiérrez, T., Ortega-Ortiz, H., Cadenas-Pliego, G., Hernández-Fuentes, A. D., Sandoval-Rangel, A., Benavides-Mendoza, A., Cabrera-de la Fuente, M., & Juárez-Maldonado, A. (2019). The application of selenium and copper nanoparticles modifies the biochemical responses of tomato plants under stress by Alternaria solani. International Journal of Molecular Sciences, 20(8), 1950. https://doi.org/10.3390/ijms20081950
Rady, M. M., Belal, H. E. E., Gadallah, F. M., & Semida, W. M. (2020). Selenium application in two methods promotes drought tolerance in Solanum lycopersicum plant by inducing the antioxidant defense system. Scientia Horticulturae, 266, 109290. https://doi.org/10.1016/j.scienta.2020.109290
Rath, A. A., Lam, H. S., & Schooling, C. M. (2021). Effects of selenium on coronary artery disease, type 2 diabetes and their risk factors: A Mendelian randomization study. European Journal of Clinical Nutrition, 1-11. https://doi.org/10.1038/s41430-021-00882-w
Rizwan, M., Ali, S., Rehman, M. Z. u., Rinklebe, J., Tsang, D. C. W., Tack, F. M. G., …Ok, Y. S. (2020). Effects of selenium on the uptake of toxic trace elements by crop plants: A review. Critical Reviews in Environmental Science Technology, 1-36. https://doi.org/10.1080/10643389.2020.1796566
Rocha, O., Barbosa, A., Nascimento Júnior, W., Aquino, R., & Oliveira, A. (2019). Reactor fotocatalítico de poli (tereftalato de etileno) com suporte de malha de anéis de alumínio com tiosuportado e sistema para tratamento de solução aquosa de poluentes orgânicos e efluentes coloridos. ATTENA Repositorio Digital da UFPE, 1, 54-56. https://repositorio.ufpe.br/handle/123456789/35403
Rodríguez-Concepción, M., Avalos, J., Bonet, M. L., Boronat, A., Gomez-Gomez, L., Hornero-Mendez, D.,… Zhu, C. (2018). A global perspective on carotenoids: metabolism, biotechnology, and benefits for nutrition and health. Progress in Lipid Research, 70, 62-93. https://doi.org/10.1016/j.plipres.2018.04.004
Salas-Pérez, L., Gaucin Delgado, J. M., Preciado-Rangel, P., Gonzales Fuentes, J. A., Ayala Garay, A. V., & Segura Castruita, M. Á. (2018). La aplicación de ácido cítrico incrementa la calidad y capacidad antioxidante de germinados de lenteja. Revista Mexicana de Ciencias Agrícolas, 20, 4301-4309. https://doi.org/10.29312/remexca.v0i20.999
San Martín-Hernández, C., Ordaz-Chaparro, V. M., Sánchez-García, P., Colinas-Leon, M. T. B., & Borges-Gómez, L. (2012). Calidad de tomate (Solanum lycopersicum L.) producido en hidroponía con diferentes granulometrías de tezontle. Agrociencia, 46(3), 243-254.
SAS Institute. (2004). Statistical Analysis System. SAS Release 9.1.3. Cary, NC, USA: SAS Institute Inc.
Schiavon, M., & Pilon-Smits, E. A. H. (2017). Selenium biofortification and phytoremediation phytotechnologies: a review. Journal of Environmental Quality, 46(1), 10-19. https://doi.org/10.2134/jeq2016.09.0342
Schomburg, L. (2020). The other view: The trace element selenium as a micronutrient in thyroid disease, diabetes, and beyond. Hormones, 19, 15-24. https://doi.org/10.1007/s42000-019-00150-4
Souza, V. R., Pereira, P. A. P., da Silva, T. L. T., de Oliveira Lima, L. C., Pio, R., & Queiroz, F. (2014). Determination of the bioactive compounds, antioxidant activity and chemical composition of Brazilian blackberry, red raspberry, strawberry, blueberry and sweet cherry fruits. Food Chemistry, 156, 362-368. http://dx.doi.org/10.1016/j.foodchem.2014.01.125
Steiner, A. A. (1984). The universal nutrient solution. In International Society for Soilless Culture. Proceedings of the Sixth International Congress on Soilless Culture, Lunteren (pp. 633-650). Wageningen, The Netherlands: Secretariat of ISOSC.
Unsihuay, D., Picasso, G., & Sun Kou, R. (2016). Síntesis de catalizadores basados en óxidos mixtos de Ni-Ti para la producción de etileno a partir de la deshidrogenación catalítica del etano. Revista de la Sociedad Química del Perú, 82(4), 491-504.
White, P. J. (2018). Selenium metabolism in plants. Biochimica et Biophysica Acta(BBA) -General Subjects, 1862(11), 2333-2342. https://doi.org/10.1016/j.bbagen.2018.05.006
Willers, J., Heinemann, M., Bitterlich, N., & Hahn, A. (2015). Intake of minerals from food supplements in a German population- A nationwide survey. Food Nutrition Sciences, 6, 205-215. https://doi.org/10.4236/fns.2015.62021
Yin, H., Qi, Z., Li, M., Ahammed, G. J., Chu, X., & Zhou, J. (2019). Selenium forms and methods of application differentially modulate plant growth, photosynthesis, stress tolerance, selenium content and speciation in Oryza sativa L. Ecotoxicology and Environmental Safety, 169, 911-917. https://doi.org/10.1016/j.ecoenv.2018.11.080
Zahedi, S. M., Hosseini, M. S., Meybodi, N. D. H., & da Silva, J. A. T. (2019). Foliar application of selenium and nano-selenium affects pomegranate (Punica granatum cv. Malase Saveh) fruit yield and quality. South African Journal of Botany, 124, 350-358. https://doi.org/10.1016/j.sajb.2019.05.019
Zięba, P., Kała, K., Włodarczyk, A., Szewczyk, A., Kunicki, E., Sękara, A., & Muszyńska, B. (2020). Selenium and zinc biofortification of Pleurotus eryngii mycelium and fruiting bodies as a tool for controlling their biological activity. Molecules, 25(4), 889. https://doi.org/10.3390/molecules25040889
Ziv, C., Zhao, Z., Gao, Y. G., & Xia, Y. (2018). Multifunctional roles of plant cuticle during plant-pathogen interactions. Frontiers in Plant Science, 9, 1088. https://doi.org/10.3389/fpls.2018.01088
Author notes
‡ Corresponding author (jazmontse@hotmail.com)