Artículo científico
Incorporación de paja al suelo, inoculación con zinc a la semilla y fertilización con nitrógeno en trigo cultivado bajo condiciones de suelo salino
Soil straw incorporation, seed zinc inoculation and nitrogen fertilization on wheat grown under soil saline conditions
Incorporación de paja al suelo, inoculación con zinc a la semilla y fertilización con nitrógeno en trigo cultivado bajo condiciones de suelo salino
Terra Latinoamericana, vol. 40, e1010, 2022
Sociedad Mexicana de la Ciencia del Suelo A.C.
Recepción: 30 Julio 2021
Aprobación: 14 Enero 2022
Resumen: En regiones con problemas de salinidad, la mejora continua de las propiedades físicas y químicas de los suelos, el incremento de los porcentajes de germinación de la semilla, así como el manejo de la nutrición mineral, deberían incrementar el rendimiento de los cultivos. El objetivo de este estudio consistió en determinar los efectos de la incorporación de paja de trigo al suelo [(IP) (cero y 5000 kg ha-1)], la inoculación de la semilla con zinc [(Zn) (cero y 100 mg kg-1 de Zn)], y la fertilización con nitrógeno [(N) (0, 115, 230 y 460 kg ha-1)] sobre trigo cultivado bajo condiciones de salinidad. El cultivo se estableció durante el ciclo otoño-invierno (2016-17 y 2017-18). El diseño experimental fue factorial triple y bajo un diseño de bloques completos al azar con cuatro repeticiones. Las variables de respuesta fueron crecimiento, nutrición y rendimiento del cultivo, así como la residualidad de los tratamientos en el suelo. La interacción de N × IP, afectó el crecimiento, la concentración de nitratos en el extracto celular de tallo y rendimiento del trigo. Aplicar 460 kg N ha-1 produjo el mayor número de espigas m-2; La adición de 115 kg N ha-1 alcanzó el mayor peso de grano. El índice de cosecha resultó mayor con la IP pero se redujo al inocular la semilla con Zn. La salinidad del suelo se redujo con la IP; mientras que la interacción Zn × IP modificó el pH, nitratos, fosfatos y la materia orgánica del suelo (MO). La MO se afectó por la interacción N × IP. En conclusión, la productividad del cultivo fue favorecida por la IP al mejorar varias propiedades importantes del suelo; por el Zn inoculado a la semilla, que incrementó el crecimiento; y por el N, que maximizó el rendimiento de trigo.
Palabras clave: materia orgánica, nitratos, residuos de cosecha, suelo salino, Triticum aestivum L..
Summary: In regions with soil salinity problems, continuous improvement of physical and chemical soil properties, seed germination improvement, as well as efficient fertilization management should aid in increasing crop yield. Thus, the objective of this study is to assess the effects of soil straw incorporation (SI) (0 and 5000 kg ha‑1), seed with zinc (Zn) inoculation (0 and 100 mg kg‑1 of Zn), and nitrogen (N) fertilization (0, 115, 230 and 460 kg ha-1) on wheat grown under saline soil conditions. The crop was established during the 2016-2017 and 2017-2018 winter-spring growing seasons. The experimental design was a three-way factorial treatment arranged under a completely randomized block design with four replicates. The response variables measured were growth, crop nutrition, and yield, as well as soil residual effects of treatments. The N × SI interaction affected the growth, nitrates on cellular extract of stem, and yield of wheat. Rate of 460 kg N ha-1 produced the highest number of spikes m-2 and 115 kg N ha-1 the highest grain weight. Harvest index was higher with SI but decreased when the seed was inoculated with Zn. Soil salinity reduced with SI, whereas Zn × SI interaction modified soil pH, nitrates, phosphates, and soil organic matter. The organic matter in soil was affected by N × SI interaction. In conclusion, crop productivity was improved by SI because essential soil properties were modified by Zn seed inoculation, which increased crop growth and N maximized wheat yield.
Index words: crop residues, nitrates, organic matter, soil salinity, Triticum aestivum L..
Introducción
El valle de Mexicali en Baja California, es el tercer productor de trigo en México con una superficie de siembra de 26 939 hectáreas, después de Sinaloa y Sonora con 35 378 y 157 354 hectáreas (SIAP, 2021). El rendimiento promedio del trigo en el valle de Mexicali es de 6.2 Mg ha-1 observándose variaciones dependiendo del ambiente, las prácticas de manejo, la fertilización del cultivo y la variedad utilizada (Rodríguez-González et al., 2011). El valle de Mexicali, se encuentra ubicado en el noroeste de México colindando al norte con los Estados Unidos de América. En él predominan los suelos con variantes de textura limo-arenosa hacia los márgenes del río Colorado y al oeste suelos de textura arcillosa, ambos con problemas de salinidad (Judkins y Myint, 2012). Dichos problemas son predominantes debido a los depósitos de sal que provienen del agua del río Colorado utilizada con fines de riego (Ward, 2001).
En suelos con problemas de salinidad, el establecimiento adecuado de cultivos y la emergencia de los mismos con plantas sanas y vigorosas es de gran importancia debido a que con esto, se asegura un mayor rendimiento. Al respecto, la inoculación a la semilla al momento de la siembra con hormonas, bacterias promotoras de crecimiento o micronutrientes afectan en gran medida el crecimiento temprano de los cultivos (Harris, Rashid, Miraj, Arif y Shah, 2007). Junto con el problema de salinidad usualmente predomina la alcalinidad en los suelos, lo que limita la solubilidad de la mayoría de los micronutrientes. Muchos de estos micronutrientes funcionan como catalizadores de reacciones en la planta y su efecto comienza desde la germinación de la semilla con la pronta aparición de la radícula (Imran, Boelt y Mühling, 2018).
En este sentido, uno de los micronutrientes con menor disponibilidad en suelos alcalinos es el zinc (Hafeez, Khanif y Saleem, 2013). Una apropiada nutrición a los cultivos con zinc, activa el sistema enzimático el cual participa en el metabolismo de los carbohidratos, el mantenimiento e integridad de la membrana, la síntesis de proteínas y la regulación de la síntesis de auxinas (Marschner, 1995). Al respecto una de las enzimas que tiene un rol importante en la construcción del tejido meristemático de la raíz es el alcohol deshidrogenasa (Gokhan, Ozturk, Cakmak, Welech y Kochian, 2004). Por otro lado, los cultivos que han sido apropiadamente nutridos con zinc pueden incrementar la concentración de este microelemento en hojas (Preciado-Rangel et al., 2021) o granos en comestibles de la planta de importancia nutricional para el humano (Cakmak, 2002).
Por otro lado, el mejoramiento de las propiedades del suelo por la incorporación de residuos de cosecha representa una oportunidad de enmienda para los mismos. Con los residuos incorporados, se mantiene por mayor tiempo la humedad en la superficie del suelo (Wang, Jia y Liang, 2014), se incrementa el número y diversidad de microrganismos (Zhao et al., 2017) y se mejoran las propiedades de fertilidad para los cultivos (Zhao et al., 2019). En suelos de textura arcillosa, la incorporación de residuos de cosecha mejora la estructura, tamaño de los poros y reduce la formación de bloques de arcilla difíciles de mullir durante la preparación del suelo para la siembra (Wang, Zhang, Fan, Mwiya y Xie, 2018).
Usualmente, en el valle de Mexicali, los residuos de la cosecha de trigo son quemados por el productor o son empacados con fines de alimentación para ganado. Dentro de este contexto, la incorporación de paja, representaría una oportunidad para mejorar física y químicamente los suelos, especialmente los arcillosos predominantes en esta región. Por lo anterior, el objetivo de esta investigación fue identificar el efecto de la incorporación de residuos de cosecha de trigo al suelo (IP), inoculación de la semilla con zinc (Z) y la fertilización con nitrógeno (N) en el crecimiento y rendimiento de trigo cultivado en suelo salino, así como la residualidad de los mismos tratamientos sobre algunos parámetros de calidad del suelo.
Materiales y Métodos
Ubicación del estudio
El experimento se estableció en la plataforma de cultivos extensivos del Campo Agrícola Experimental del Instituto de Ciencias Agrícolas, de la Universidad Autónoma de Baja California, ubicado en el ejido Nuevo León, Mexicali, B. C., México (32° 24’ 12.34” N y 115° 11’ 47.37” O, a 9.0 m de altitud). La altitud varía de -2 hasta los 43 m con una topografía plana, prevalece clima desértico cálido, extremoso en demasía y régimen de lluvias en invierno (BW [h’] hs [x´] [e’]), con temperaturas de máximas de 50 °C durante el verano y mínimas en el invierno hasta de -7 °C, con una temperatura media anual de 22.3 °C y una precipitación media anual de 58 mm (Ruiz-Corral, Díaz, Guzmán, Medina y Silva, 2006).
Las condiciones climáticas que prevalecieron durante el desarrollo del presente trabajo fueron determinadas tomando las variables de temperaturas máximas y mínimas a través de una estación meteorológica ubicada a 820 m del experimento. El suelo en el que se realizó el experimento posee textura arcillosa tipo Vertisol hiposálico calcárico (INEGI, 2019), con pH de 8.7, salinidad de 5.08 dS m-1; además, 3.8, 7.8, 820, 210 y 385 mg kg-1 de nitrógeno, fósforo, potasio, calcio y de magnesio, respectivamente.
Establecimiento del experimento
El estudio se realizó en dos años (otoño-invierno 2016-2017 y 2017-2018). La preparación de suelo incluyó doble paso de disca a profundidad de 30 cm. Posteriormente se realizó un doble paso de escrepa y nivelación de suelo con pendiente de 2% para siembra en plano. La fecha de siembra fue el 18 de diciembre de 2016 y 15 de diciembre de 2017. Se utilizó una densidad de 200 kg de semilla por hectárea. En ambos experimentos, se sembró la variedad de trigo CIRNO C2008 (Figueroa-López et al., 2010). Se utilizó una sembradora de granos Dobladense 205-13-2 (Cd. Manuel Doblado Guanajuato, México), de trece líneas de siembra separadas a 17 cm.
Distribución de los tratamientos
Se evaluaron tres factores: incorporación de paja de trigo al suelo [(IP) (0 y 5000 kg ha-1)], inoculación con zinc a la semilla al momento de la siembra [(Zn) (0 y 100 mg kg-1)] y cuatro dosis de nitrógeno [(N) (0, 115, 230 y 460 kg ha-1)]. Se utilizó un diseño de parcelas divididas con cuatro repeticiones, en el cual la parcela principal fue IP, la sub-parcela fue Zn, la sub-sub-parcela fue N. Cada uno de los tratamientos fue distribuido al azar. La parcela principal tuvo una superficie de 896 m2 (12.8 × 70 m), la sub-parcela 140 m2 (2.0 × 70 m), la sub-sub parcela 12 m2 (2 × 6 m).
El tratamiento de IP al suelo se realizó tres meses antes de realizar la siembra y se llevó a cabo con doble paso de rastra. La inoculación con Zn a la semilla se realizó al momento de la siembra y se utilizó una solución concentrada a 100 mg kg-1 de Valagro EDTA ZN (Valagro EDTA ZN; Almería, España). La solución con zinc se preparó con agua potable y se asperjó sobre la semilla justo antes de la siembra. La aplicación de los tratamientos con N se dividió en tres partes (33, 33 y 33% de cada dosis evaluada). Cada fracción de fertilizante se aplicó antes del primer, segundo y tercer riego de auxilio. Como fuente de N se utilizó Urea (46‑00‑00). No se fertilizó con ningún otro nutriente.
Riegos y control de malezas
Durante los experimentos se realizaron cinco riegos con una lámina total estimada de 95 cm. El riego de germinación fue realizado el 20 y 17 de diciembre de 2016-17 y 2017-18 (considerado como fecha de siembra). Después, el resto de los riegos de auxilio se realizaron aproximadamente a los 40, 65, 88 y 105 días después de la siembra (dds). Después del riego de germinación se presentó zacate alpistillo (Palaris paradoxa L.), el cual fue eliminado con una aplicación de AXIAL® (Pinoxaden+Cloquintocet-Mexyl; 600 cm3 ha-1). Ocasionalmente apareció quelite (Chenopodium spp.) y fue controlado en forma manual. No se identificó presencia de plagas ni enfermedades.
Variables evaluadas
El estudio evaluó el crecimiento, el rendimiento [(2016-17) y (2017-18)] y la residualidad de los tratamientos en suelo después del experimento (2017‑18). Como variable de crecimiento se consideró medir el índice de vegetación de diferencia normalizada (NDVI, por sus siglas en inglés). Para obtener el NDVI se utilizó el sensor Greenseeker (Sunnyvale, CA, EUA) colocándolo a aproximadamente 80 cm por encima de las plantas. Además, se determinó la concentración de nitratos en el extracto celular de tallo (ECT) (Grijalva-Contreras, Robles, Macías, Santillano y Núñez, 2016). En cada parcela experimental, se muestreó la base del tallo de cinco plantas seleccionadas al azar, se cortaron en trozos y se obtuvo el ECT con una prensa para ajos. La determinación se llevó a cabo con un ionímetro portátil (LAQUAtwin B-743, Horiba, Kyoto, Japan). Ambas mediciones se realizaron a los 62 y 58 dds (2016-17 y 2017-18) en horario de 8:00 a 10:00 a. m.
Al llegar el cultivo a la madurez del grano (120 dds [2016-17] y 130 dds [2017-18]) se seleccionó 1.0 m2 de la parte central de cada sub-sub-parcela y se contabilizó el número de espigas presentes. Se cosechó esa superficie y se determinó el peso de la muestra. Una pequeña submuestra de 200 g de grano se sometió a secado en estufa de aire forzado a 60 °C y se determinó la humedad. Con el peso de grano recién cosechado y el porcentaje de humedad, se identificó el peso seco de cada muestra. A su vez, se corrió un factor de corrección de 15% de humedad y se reportó como rendimiento comercial.
Adicionalmente, se escogieron 50 tallos completos de cada parcela (hojas y espiga) y se cosecharon desde la base del suelo. Se sometieron a secado en estufa a aire forzado (60 °C) por 48 h y se determinó la biomasa completa. Se desgranaron las espigas de cada tallo y después se obtuvo el peso de los granos. A la relación existente entre el peso de grano (PG) y peso total de la muestra (PSTotal) se le identificó como índice de cosecha (PG/PSTotal = IC) (Verhulst, Sayre y Govaerts, 2012). Además, de los granos cosechados, se contabilizaron 1000 semillas y se obtuvo el peso de grano (Verhulst et al., 2012).
La residualidad en suelo por efecto de los tratamientos consideró la determinación de la salinidad [conductividad eléctrica (dS m-1)], reacción del suelo (pH), concentración de nitratos y fosfatos en el extracto de pasta saturada, así como la determinación de materia orgánica. Se colectaron muestras de suelo de cada parcela a una profundidad de 30 cm, se secaron y tamizaron. Se tomó una muestra de 200 g de suelo y se saturó con agua destilada. Después de 24 h de reposo, se sometió a bomba de vacío y al extracto se le midió la salinidad y pH con sensor HI 98129 (Hanna Instruments; Eibar, España.); los nitratos y fosfatos se determinaron con el espectrofotómetro DR 5000 HACH (Hach Company, Alemania). Para la determinación de la materia orgánica se empleó el método de Walkley y Black (García y Ballesteros, 2005).
Análisis estadístico
Los factores analizados considerados como fijos fueron la IP, Zn, N y sus interacciones. Los efectos del azar fueron las repeticiones, el año, y las interacciones entre ambos. Se realizó análisis de varianza (ANOVA) de las medias obtenidas. Las diferencias entre los tratamientos y sus interacciones fueron consideradas significativas a una P < 0.05. Cuando se detectó diferencia entre los factores evaluados o su interacción, se utilizó la prueba de medias de Tukey. En todos los análisis estadísticos realizados se utilizó el programa estadístico MINITAB 17.
Resultados y Discusión
Crecimiento, nutrición y rendimiento
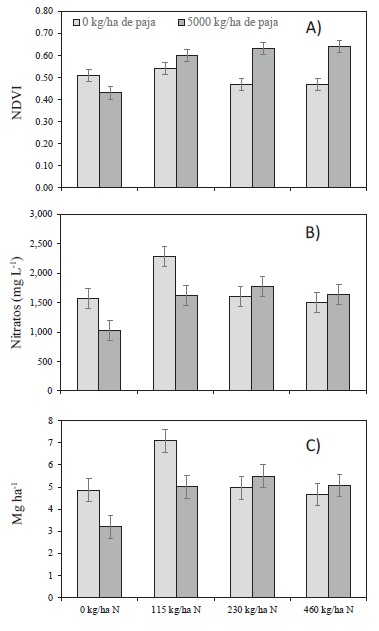
Se identificó efecto por la interacción N × IP en la variable NDVI (P ˂ 0.001), nitratos en ECT (P = 0.024) y el rendimiento (P = 0.024) (Cuadro 1). Las plantas con mayor crecimiento (NDVI) fueron aquellas que recibieron N en combinación con IP, mientras que las más pequeñas fueron las que recibieron IP o N únicamente (Figura 1A). En general, la aplicación de N al cultivo se tradujo en un mayor crecimiento que el testigo sin N; La adición de paja al suelo con nitrógeno incrementó el crecimiento hasta llegar a valores de 0.60 de NDVI (Figura 1A).


Verhulst et al. (2011) mencionan que en trigo los valores de NDVI incrementan de ≈0.52 a ≈0.85 desde la emergencia del cultivo y hasta los 57 días después de la siembra (dds); posteriormente, los valores de NDVI (≈0.85) permanecen estables hasta los 78 dds; finalmente conforme el cultivo madura y llega a la cosecha del grano los valores declinan. En el presente estudio, los valores estuvieron por debajo de aquellos presentados por Verhulst et al. (2011) y aunque comparativamente no implicaron una reducción en el rendimiento, pudieron ser consecuencia de la diferencia en la fecha de toma del valor o en el genotipo utilizado en este experimento (Naser, Khosla, Longchamps y Dahal, 2020). Adicionalmente, es de considerar que el experimento se realizó en un ambiente salino (CE 5.08 dS m-1) lo que modifica significativamente los valores de NDVI (Wang, Wilson y Shannon, 2002).
La nutrición con Zn durante el desarrollo de las plántulas modifica la arquitectura radicular alargando la raíz principal y promoviendo un mayor número de raíces laterales (Feigl et al., 2019). Además, reduce el estrés provocado por condiciones salinas (Dai, Zhu, Yin, Du y Zhang 2017; Imran et al., 2018). En este estudio, la inoculación con Zn a la semilla al momento de la siembra, promovió un mayor crecimiento (NDVI) que aquel obtenido cuando no se utilizó Zn (P < 0.001) (Cuadro 1); Sin embargo, no modificó la concentración de nitratos en ECT, u otros parámetros asociados al rendimiento (número de espigas y el peso del grano) o el rendimiento. Al final del estudio, el crecimiento generado por la inoculación a la semilla con Zn, se tradujo en un incremento de la biomasa de las hojas y tallos afectando negativamente el índice de cosecha, pero sin modificar el rendimiento.
El tratamiento que recibió 115 kg N ha-1 sin IP al suelo manifestó la más alta concentración de nitratos en el ECT, mientras que el tratamiento que no recibió N, pero que recibió IP al suelo, mostró la menor concentración de nitrato en ECT (Figura 1B). Las concentraciones de nitratos encontradas en este estudio fueron menores a las encontradas por Grijalva-Contreras et al. (2016). Estos investigadores encontraron que para alcanzar el máximo rendimiento en trigo harinero de la variedad Tacupeto, la concentración de nitratos en ECT debería de estar entre 4000 y 5500 mg L-1 de nitratos. También mencionan que las concentraciones pueden variar dependiendo de la variedad de trigo utilizada.
El número de espigas por m2 incrementó en forma lineal conforme se aumentó la dosis de N, alcanzando el mayor número de espigas con la dosis de 460 kg N ha-1 (P ˂ 0.001). Por otro lado, el peso del grano solo se incrementó al aplicar la dosis de 115 kg N ha-1 (P = 0.037). En el cultivo de trigo los componentes del rendimiento como el peso de mil granos, número de espigas m2, número de espiguillas por espiga y peso del grano por espiga, se relacionan de diferente manera al rendimiento. Mandic et al. (2015) encontraron que el peso de 1000 granos, número de espigas por m2, y el peso individual del grano se asociaron en un 99, 70 y 51% con el rendimiento total de trigo respectivamente. De lo anterior se deduce que el conjunto de todos los factores es lo que incide en el rendimiento total y no solo algún parámetro en particular.
El rendimiento del cultivo de trigo mostró la misma tendencia que la acumulación de nitratos en ECT. El mayor rendimiento resultó en el tratamiento de 115 kg N ha-1 sin la IP al suelo, mientras que el menor rendimiento fue el tratamiento que recibió IP sin N (Figura 1C). La dosis de N recomendada por Hernández-Vázquez, Guzmán y Valenzuela (2010) para trigo cultivado en esta región del valle de Mexicali para un rendimiento de 7.0 Mg ha-1 es de 245 kg ha‑1. Sin embargo, Santillano-Cázares, López, Ortiz y Ruan (2013) mencionan que la dosis puede variar dependiendo del manejo y el nivel de tecnología agronómica empleada para este cultivo. Estos autores realizaron una investigación utilizando el sensor greenseeker® en diecisiete campos representativos del valle de Mexicali, y lograron mantener el mismo rendimiento que los productores, pero disminuyeron la dosis de N aplicada en un 24 por ciento.
Finalmente, la inoculación a la semilla con Zn redujo el índice de cosecha en el cultivo (P = 0.014), mientras que sucedió lo contrario con la IP al suelo (P = 0.042). Como se mencionó anteriormente, el Zn pudo haber promovido un mayor desarrollo de raíz beneficiando el crecimiento foliar del cultivo y en consecuencia la proporción follaje/grano se incrementó reduciendo el índice de cosecha. Al respecto, Unkovich, Baldock y Forbes (2010) indican que factores que incrementen el periodo vegetativo en cultivos de cereales, sustancialmente reducen el índice de la cosecha. Lo anterior pudo haber sucedido en el presente estudio ya que el NDVI fue superior en las plantas que recibieron Zn, sin embargo, con esto no alcanzó a incrementar el número de espigas o el peso del grano, manteniendo el mismo rendimiento (Cuadro 1).
Residualidad en el Suelo
La IP al suelo redujo de significativamente la salinidad del suelo (P ˂ 0.001) al bajar de 7.12 a 3.69 dS m-1. Lo anterior significó una mejora importante a los problemas de salinidad que se tienen en este tipo de suelos en el valle de Mexicali (Judkins y Myint, 2012). Xie et al. (2017) mencionan que la reducción de la salinidad por efecto de la IP al suelo depende de la cantidad de paja incorporada, y que suele variar durante la estación de crecimiento del cultivo subsecuente. Indican que a corto plazo los mecanismos de reducción de la salinidad después de la IP se encuentran relacionados al lavado de sales y a la interrupción del movimiento capilar del agua.
Tarekegn et al. (2018) mencionan que a largo plazo la IP incrementa el contenido de carbono orgánico, aumenta la disponibilidad de agua y la porosidad del suelo. A su vez, la alta porosidad es promovida por la formación de macroagregados lo que en consecuencia reduce la acumulación de sales en la superficie del suelo (Zhao et al., 2016). Finalmente, es necesario identificar la composición iónica de las sales predominantes en el suelo después de la IP, ya que cada ion posee un índice salino diferente (Biggs y Jiang, 2009). Si bien en este estudio se redujo substancialmente la salinidad en un periodo de dos años, es recomendable realizar un seguimiento por una mayor cantidad de tiempo en el que se identifique la permanencia de los resultados encontrados.
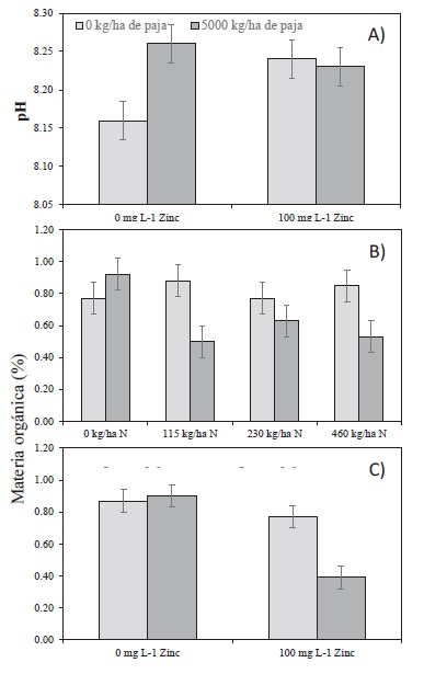
Se identificó efecto de la interacción Zn × IP para las variables de pH, nitratos, fosfatos y materia orgánica en el suelo (P ˂ 0.05). Lo mismo sucedió para la interacción N × IP en la variable materia orgánica (P = 0.043) (Cuadro 2). Cuando se incorporó paja al suelo (IP) y se inoculó la semilla con zinc al momento de la siembra (Zn) se identificó un incremento en el valor de pH del suelo de 0.10 unidades, en comparación cuando no se utilizó Zn o IP (P = 0.038) (Figura 2A). Al respecto, se ha documentado que la inoculación con Zn a la semilla tiene influencia en la actividad enzimática radicular (Feigl et al., 2019), mientras que la IP mejora estructura física del suelo incrementando el tamaño de raíz (Sun et al., 2020).


La modificación o cambio en la reacción del suelo es difícil de explicar considerando la IP o la inoculación a la semilla con Zn. Tinker y Barraclough (1988) mencionan que el crecimiento de la raíz modifica el pH del suelo por causa de la diferencia en la absorción de cationes contra aniones. Por su parte, Tang y Rengel (2003) explican que cuando ocurre una disminución en la absorción de cationes, se reduce la excreción de iones H+ lo que provoca alcalinización del suelo. Así mismo, la IP al suelo pudo haber activado la acción de enzimas de la raíz (transaminasas y sintetasas) lo que en consecuencia pudo haber modificado el ambiente orgánico radicular (Wang et al., 2019). Finalmente, Busari, Kukal, Kaur, Bhatt y Dulazi (2015) explican que existen muchos otros factores asociados a este fenómeno como las condiciones de clima, tipos de suelo y factores de manejo que condicionan en gran medida el valor de pH del suelo.
Resulta interesante hacer notar los efectos que la interacción Zn × IP tuvo sobre la concentración de nitratos y fosfatos en el suelo (Cuadro 2) (P ˂ 0.047). Cuando se realizó la IP al suelo, se encontró un efecto significativo al reducir la concentración de nitratos en el suelo en comparación de suelo sin IP (Figura 3A). Lo anterior pudo ser una respuesta a la alta relación C/N presente en el suelo provocado por la adición de la paja al suelo. Cabe mencionar que la incorporación de paja al suelo reduce de forma importante la lixiviación de nitratos (Manevski et al., 2016); sin embargo, una alta relación C/N promueve una lenta inmovilización del N presente en el suelo por efecto de la población microbiana (Kumar y Goh, 1999).
Para el caso de la variable fosfatos, la inoculación con Zn a la semilla tuvo un efecto importante (P ˂ 0.001). La inoculación con Zn a la semilla redujo dos veces la concentración de fosfatos en el suelo en comparación del tratamiento sin inoculación de Zn a la semilla (Figura 3B). Los resultados encontrados en este estudio no son concluyentes. Es necesario realizar un mayor número de estudios que clarifiquen el papel de la inoculación con Zn a la semilla y su efecto multivariado sobre el crecimiento y su relación con el ambiente radicular creado.

Por otro lado, el comportamiento de la MO en suelo por efecto de la interacción de N × IP (Figura 2B) (P ˂ 0.043), mostró que la IP al suelo redujo la concentración de MO, mientras que cuando se utilizó IP y se fertilizó con N, la concentración de MO en el suelo se mantuvo con valores similares. Estos resultados son contradictorios a los mencionados por la literatura. Walsh y McDonnel (2012) indican que a corto plazo la IP al suelo no modifica la concentración de MO. Mientras que a largo plazo la concentración de esta se incrementa (Dahri et al., 2018; Zhao et al., 2019), sobre todo porque la IP en combinación con N incrementa la actividad de enzimas como la ureasa, invertasa y la catalasa. En el presente experimento se consideró evaluar el suelo solo durante un año. Más estudios son necesarios en los próximos años para esclarecer los resultados aquí obtenidos.
Conclusiones
En suelo salino con textura arcillosa el crecimiento, la nutrición y el rendimiento del cultivo de trigo resultó afectada en forma conjunta por la incorporación de paja al suelo y la fertilización con nitrógeno. Solo la fertilización con nitrógeno afectó positivamente el número de espigas y el peso del grano. Con relación al índice de cosecha, este se modificó con la incorporación de paja al suelo y la inoculación con zinc a la semilla. De acuerdo a la duración de este experimento, la incorporación de la paja al suelo redujo la salinidad, mientras que, en interacción con la inoculación de zinc a la semilla, se modificó la fertilidad y salinidad del suelo.
Declaración de Ética
No aplicable en esta sección.
Consentimiento para Publicación
No aplicable en esta sección.
Disponibilidad de Datos
Los conjuntos de datos utilizados y analizados durante el estudio actual están disponibles del autor correspondiente a solicitud razonable.
Conflicto de Intereses
Los autores declaran que no tienen intereses en competencia.
Fondos
Las fuentes de financiamiento para la investigación fueron en especie y con materiales y reactivos que formaron parte del curso de Cultivos Agrícolas impartido en el programa de Ingeniero Agrónomo ofrecido por el Instituto de Ciencias Agrícolas de la Universidad Autónoma de Baja California, Mexicali, México.
Contribución de los Autores
Conceptualización, y metodología: F.N.R. Software: R.L.G.C. Validación: R.M.D. Análisis formal: I.E.G. y O.G.J. Investigación: F.N.R. Recursos: F.N.R. Curación de datos: I.E.G. Escritura y preparación del borrador original: F.N.R., B.Y.S.G. y R.L.G.C. Escritura: revisión y edición: R.L.G.C., B.Y.S.G. y R.M.D. Visualización: Á.M.S.H. Supervisión: B.Y.S.G. Administración del proyecto: I.E.G. Adquisición de fondos: F.N.R.
Agradecimientos
Apoyo en la toma de datos, a los alumnos del curso de Cultivos Agrícolas generación 2020-1, especialmente a la Ing. Agr. Nadia Schlemmer Leal y al Ing. Agr. Edgard Andrés García Tiscareño. Así como al apoyo en soporte técnico al T. A. Oracio Rivera Caudillo, técnico del Laboratorio de Agua y Suelo del Instituto de Ciencias Agrícolas de la UABC.
Literatura Citada
Biggs, T. W., & Jiang, B. B. (2009). Soil salinity and exchangeable cations wastewater irrigated area, India. Journal of Environment Quality, 38(3), 887-896. https://doi.org/10.2134/jeq2008.0247
Busari, M. A., Kukal, S. S., Kaur, A., Bhatt, R., & Dulazi, A. A. (2015). Conservation tillage impacts on soil, crop and the environment. International Soil and Water Conservation Research, 3(2), 119-129. https://doi.org/10.1016/j.iswcr.2015.05.002
Cakmak, I. (2002). Plant nutrition research: Priorities to meet human needs for food in sustainable ways. Plant and Soil, 247, 3-24. https://doi.org/10.1023/A:1021194511492
Dahri, I. A., Tagar, A. A., Adamowski, J., Leghari, N., Shah, A. R., & Soomro, S. A. (2018). Influence of straw incorporation-to-planting interval on soil physical properties and maize performance. International Agrophys, 32(3), 341-347. https://doi.org/10.1515/intag-2017-0027
Dai, L. Y., Zhu, H. D., Yin, K. D., Du, J. D., & Zhang, Y. X. (2017). Seed priming mitigates the effects of saline-alkali stress in soybean seedlings. Chilean Journal of Agricultural Research, 77(2), 118-125. https://doi.org/10.4067/S0718-58392017000200118
Feigl, G., Molnár, Á., Szőllősi, R., Ördög, A., Törőcsik, K., Oláh, D., … Kolbert, Z. (2019). Zinc-induced root architectural changes of rhizotron-grown B. napus correlate with a differential nitro-oxidative response. Nitric Oxide, 90, 55-65. https://doi.org/10.1016/j.niox.2019.06.003.
Figueroa-López, P., Félix-Fuentes, J. L., Fuentes-Dávila, G., Valenzuela-Herrera, V., Chávez-Villalba, G., & Mendoza-Lugo, J. A. (2010). CIRNO C2008, nueva variedad de trigo cristalino con alto rendimiento potencial para el estado de Sonora. Revista Mexicana de Ciencias Agrícolas, 1(5), 745-749.
García G., J., & Ballesteros G., M. I. (2005). Evaluación de parámetros de calidad para la determinación de carbono orgánico en suelos. Revista Colombiana de Química, 34(2), 201-209.
Gokhan, H., Ozturk, L., Cakmak, I., Welech, R. M., & Kochian, L. V. (2004). Genotypic variation in common bean in response to zinc deficiency in calcareous soil. Plant and Soil, 259, 71-83.
Grijalva-Contreras, R. L., Robles-Contreras, F., Macías-Duarte, R., Santillano-Cázares, J., & Núñez-Ramírez, F. (2016). Nitrógeno en trigo y su efecto en el rendimiento y en la concentración de nitratos y potasio en el extracto celular de tallo (ECT). Acta Universitaria, 26(5), 48-54. https://doi.org/10.15174/au.2016.963
Hafeez, B., Khanif, Y. M., & Saleem, M. (2013). Role of zinc in plant nutrition- A review. American Journal of Experimental Agriculture, 3(2), 374-391.
Harris, D., Rashid, A., Miraj, G., Arif M., & Shah, H. (2007). ‘On-farm’ seed priming with zinc sulphate solution-A cost-effective way to increase the maize yields of resource-poor farmers. Field Crops Research, 102(2), 119-127. https://doi.org/10.1016/j.fcr.2007.03.005
Hernández-Vázquez, B., Guzmán-Ruíz, S. de C., & Valenzuela-Palafox, J. A. (2010). Guía para producir trigo en los valles de Mexicali y San Luis Rio Colorado, Son. Folleto para Productores. Mexicali, B. C., México: INIFAP. Consultado el 21, julio 21, 2020, desde Consultado el 21, julio 21, 2020, desde http://www.oeidrus-bc.gob.mx/sispro/trigobc/Produccion/Paquetes/Trigo2010.pdf
Imran, M., Boelt B., & Mühling, K. H. (2018). Zinc seed priming improves salt resistance in maize. Journal of Agronomy and Crop Science, 204(4), 390-399. https://doi.org/10.1111/jac.12272
INEGI (Instituto Nacional de Estadística y Geografía). (2019). Edafología. Consultado el 20 de febrero, 2019, desde Consultado el 20 de febrero, 2019, desde https://www.inegi.org.mx/temas/edafologia/
Judkins, G., & Myint, S. (2012). Spatial variation of soil salinity in the Mexicali Valley, Mexico: Application of a practical method for agricultural monitoring. Environmental Management, 50, 478-489. https://doi.org/10.1007/s00267-012-9889-3.
Kumar, K., & Goh, K. M. (1999). Crop residues and management practices: effects on soil quality, soil nitrogen dynamics, crop yield, and nitrogen recovery. Advances in Agronomy, 68, 197-319. https://doi.org/10.1016/s0065-2113(08)60846-9
Mandic, V., Krnjaja, V., Tomic, Z., Bijelic, Z., Simic, A., Muslic D. R., & Goric, M. (2015). Nitrogen fertilizer influence on wheat yield and use efficiency under different environmental conditions. Chilean Journal of Agricultural Research, 75(1), 92-97. https://doi.org/10.4067/S0718-58392015000100013
Manevski, K., Børgesena, C. D., Li, X., Andersen, M. N., Zhang, X., Abrahamsen, P., Hub C., & Hansen, S. (2016). Optimizing crop production and nitrate leaching in China: Measured and simulated effects of straw incorporation and nitrogen. European Journal of Agronomy, 80, 32-44. https://dx.doi.org/10.1016/j.eja.2016.06.009
Marschner, H. (1995). Mineral nutrition of higher plants. London, UK: Academic Press.
Naser, M. A., Khosla, R., Longchamps, L., & Dahal, S. (2020). Using NDVI to differentiate wheat genotypes productivity under dryland and irrigated conditions. Remote Sensing, 12(5), 824. https://doi.org/10.3390/rs12050824
Preciado-Rangel, P., Campos-Ortiz, A., Sánchez Chávez, E., Reyes-González, A., Ruiz-Espinoza, F., Ojeda-Barrios, D., & Hernández-Montiel, L. (2021). Zinc biofortification improves yield, nutraceutical quality and antioxidant capacity in lettuce. Tropical and Subtropical Agroecosystems, 24(3), 1-10.
Rodríguez-González, R. E., Ponce-Medina, J. F., Rueda-Puente, E. O., Avendaño-Reyes, L., Paz-Hernández, J. J., Santillano-Cázares J., & Cruz-Villegas, M. (2011). Interacción genotipo-ambiente para la estabilidad de rendimiento en trigo en la región de Mexicali, B.C., México. Tropical and Subtropical Agroecosystems, 14(2), 543-558.
Ruiz-Corral, J. A., Díaz-Padilla, G., Guzmán-Ruiz, S. D., Medina-García, G., & Silva-Serna, M. M. (2006). Estadísticas climatológicas básicas del estado de Baja California (Periodo 1961-2003). Libro técnico núm. 1. Cd. Obregón, Sonora, México: INIFAP-CIRNO. http://simarbc.gob.mx/descargas/estadclimatolca-inifap.pdf
Santillano-Cázares, J., López L., Á., Ortiz M., I., & Ruan, W. R. (2013). Uso de sensores ópticos para la fertilización de trigo (Triticum aestivum L.). Terra Latinoamericana, 31(2), 95-103.
SIAP (Sistema de Información Agroalimentaria y Pesquera). (2021). Avance de siembras y cosechas resumen nacional por estado. Consultado el 06 de julio, 2021, desde Consultado el 06 de julio, 2021, desde http://infosiap.siap.gob.mx:8080/agricola_siap_gobmx/ResumenProducto.do
Sun, C., Wang, D., Shen, X., Li, C., Liu, J., Lan, T., … Zhang, Y. (2020). Effects of biochar, compost and straw input on root exudation of maize (Zea mays L.): From function to morphology. Agriculture, Ecosystems and Environment, 297, 106952. https://doi.org/10.1016/j.agee.2020.106952
Tang, C., & Rengel, Z. (2003). Role of plant cation/anion uptake ratio in soil acidification. In Z. Rengel (Ed.). Handbook of soil acidity (pp. 57-81). New York, NY, USA: Marcel Dekker.
Tarekegn, G. G., Katterer, T., Munkholm, L. J., Parvage, M. M., Keller, T., Rychel K., & Kirchmann, H. (2018). Short-term effects of loosening and incorporation of straw slurry into the upper subsoil on soil physical properties and crop yield. Soil and Tillage Research, 184, 62-67. https://doi.org/10.1016/j.still2018.06.007.
Tinker, P. B., & Barraclough, P. B. (1988). Root-soil interactions. In O. Hutzinger (Ed.). Reactions and processes. The Handbook of environmental chemistry (Part D), vol 2/2D (153-175). Heidelberg, Berlin: Springer. https://doi.org/10.1007/978-3-540-39460-0_5
Unkovich, M., Baldock, J., & Forbes, M. (2010). Variability in harvest index of grain crops and potential significance for carbon accounting: examples from Australian agriculture. Advances in Agronomy, 105, 173-219. https://doi.org/10.1016/S0065-2113(10)05005-4
Verhulst, N., Govaerts, B., Nelissen, V., Sayre, K. D., Crossa, J., Raes, D., & Deckers, J. (2011). The effect of tillage, crop rotation and residue management on maize and wheat growth and development evaluated with an optical sensor. Field Crops Research, 120(1), 58-67. https://doi.org/10.1016/j.fcr.2010.08.012
Verhulst, N., Sayre, K., & Govaerts, B. (2012). Manual de determinación de rendimiento. México, D. F.: CIMMYT. Consultado el 03 de mayo, 2020, desde Consultado el 03 de mayo, 2020, desde https://repository.cimmyt.org/bitstream/handle/10883/18249/48867.pdf?sequence=1&isAllowed=y
Walsh, E., & McDonnel, K. P. (2012). The influence of added organic matter on soil physical, chemical, and biological properties: a small-scale and short-time experiment using straw. Archives of Agronomy and Soil Science, 58(1), s201-s205. https://doi.org/10.1080/03650340.2012.697999
Wang, D., Wilson, C., & Shannon, M. C. (2002). Interpretation of salinity and irrigation effects on soybean canopy reflectance in visible and near-infrared spectrum domain. International Journal of Remote Sensing, 23(5), 811-824. https://doi.org/10.1080/01431160110070717
Wang, X., Jia, Z., & Liang, L. (2014). Effect of straw incorporation on soil moisture, evapotranspiration, and rainfall-use efficiency of maize under dry land farming. Journal of Soil and Water Conservation, 69(5), 449-455. https://doi.org/10.2489/jswc.69.5.449
Wang, C., Zhang, Z., Fan, S., Mwiya, R., & Xie, M. (2018). Effects of straw incorporation on desiccation cracking patterns and horizontal flow in cracked clay loam. Soil and Tillage Research, 182, 130-143. https://doi.org/10.1016/j.still.2018.04.006
Wang, X., Samo, N., Zhao, C., Wang, H., Yang, G., Hu, Y., Peng, Y., & Rasul, F. (2019). Negative and positive impacts of rape straw returning on the roots growth of hybrid rice in the Sichuan Basin Area. Agronomy, 9(11), 690. https://doi.org/10.3390/agronomy9110690
Ward, E. (2001). Salt of the river, salt of the earth. Politics, Science and ecological diplomacy in the Mexicali valley (1961-1965). Frontera Norte, 13(26), 105-139. https://doi.org/10.17428/rfn.v13i26.1368
Xie, W., Wu, L., Zhang, Y., Wu, T., Li X., & Ouyang, Z. (2017). Effects of Straw application on coastal saline topsoil salinity and wheat yield trend. Soil and Tillage Research, 169, 1-6. https://doi.org/10.1016/j.still.2017.01.007.
Zhao, S., Li, K., Zhou, W., Qiu, S., Huamg, S., & He, P. (2016). Changes in soil microbial community, enzyme activities and organic matter fractions under long-term straw return in north-central China. Agriculture, Ecosystems and Environment, 216, 82-88. https://doi.org/10.1016/j.agee.2015.09.028
Zhao, J., Ni, T., Xun, W., Huang, X., Huang, Q., Ran, W., … Shen, Q. (2017). Influence of straw incorporation with and without straw decomposer on soil bacterial community structure and function in a rice-wheat cropping system. Appl. Microbiol. Biotechnol, 101(11), 4761-4773. https://doi.org/10.1007/s00253-017-8170-3
Zhao, X., Yuan, G., Wang, H., Lu, D., Chen, X., & Zhou, J. (2019). Effects of full straw incorporation on soil fertility and crop yield in rice-wheat rotation for silty clay loamy cropland. Agronomy, 9(3), 133. https://doi.org/10.3390/agronomy9030133
Notas
Notas de autor
‡ Autor para correspondencia (fidel.nunez@uabc.edu.mx)