Resumen: El carbono orgánico de los suelos (COS) a diferentes profundidades del perfil del suelo puede ser desestabilizado por diversos factores climáticos o antropogénicos, por lo que es necesario caracterizarlo en forma adecuada. La modelación de la distribución vertical del COS ha sido analizada generalmente con el uso de enfoques empíricos de ajustes de modelos matemáticos. Este esquema de modelado es usado para caracterizar el COS a profundidad del perfil del suelo en diferentes usos del suelo, pero con un enfoque incremental de introducir condicionantes en el ajuste, por regresión no lineal. Las condiciones de frontera introducidas (para profundidad cero y en el infinito) permite parametrizar los modelos con sentido fisicoquímico y biológico. Los mejores modelos seleccionados en el proceso progresivo de ajuste fueron revisados para analizar la congruencia de sus parámetros, argumentándose que sus bases no son claras para caracterizar las dinámicas del COS. Como alternativa se introdujo una cinética de reacción de orden n variable en los ajustes experimentales, obteniéndose buenos resultados (R2 > 0.99) y patrones claros en las relaciones entre el orden n y la tasa de reacción kn del modelo alternativo, orientado al objetivo de sintetizar conocimiento a través del análisis de patrones y su modelado matemático.
Palabras clave: cinética de orden n, condiciones de frontera de la modelación, distribución vertical del carbono, modelación progresiva, secuencia de perturbación.
Summary: Soil organic carbon (SOC) at depth can be destabilized by various climatic or anthropogenic factors, so it is necessary to characterize it properly. The modeling of the vertical distribution of the SOC has generally been approximated using empirical approaches to mathematical model adjustments. This scheme is used to characterize the SOC at depth in different land uses and it is analyzed, but with an incremental approach of introducing constraints in the experimental adjustment, by nonlinear regression. The boundary conditions introduced (for zero and infinity depth) allow parameterizing models with physicochemical and biological sense. The best models selected in the progressive adjustment process were reviewed to analyze the congruence of their parameters, arguing that their bases are not clear to characterize the dynamics of the SOC. As an alternative, a reaction kinetics of variable order n was introduced in the experimental settings, obtaining good results (R2 > 0.99) and clear patterns in the relationships between order n and the kn reaction rate of the alternative model.
Index words: order n kinetics, boundary conditions, vertical carbon distribution, progressive modeling, disturbance sequence.
Artículo científico
Carbono orgánico del suelo a diferentes profundidades en una secuencia de perturbación y sitios de referencia
Soil organic carbon for different depths in a sequence of disturbance and reference sites
Recepción: 14 Diciembre 2021
Aprobación: 30 Marzo 2022
La materia orgánica del suelo (MOS) contribuye a la estabilidad de los agregados de los suelos (Tisdall y Oades, 1982) y al secuestro de carbono (C) en los mismos (Lal, 2004). La MOS mantiene o incrementa la fertilidad, la infiltración y resistencia a la erosión de los suelos, entre otras funciones (Brady y Weil, 2008), incrementando la productividad de la vegetación y mitigando las emisiones de CO2 (Smith y Powlson, 2007), por lo que es importante caracterizar los patrones de la MOS con relación a los cambios de uso del suelo e implementación de prácticas de manejo (Lal, 2009). La MOS está constituida principalmente por C, por lo que el carbono orgánico de los suelos (COS) es materia de inventarios de carbono con relación al estado de las emisiones de gases de efecto invernadero a nivel global (Penman et al., 2003; Eggleston, Buendia, Miwa, Ngara y Tanabe, 2006), tanto a escala espacial como temporal (Paz, Argumedo, Cruz, Etchevers y de Jong, 2016).
En los inventarios del COS es práctica común usar la profundidad de 0 a 30 cm (Penman et al., 2003; Eggleston et al., 2006), bajo argumentos de que a mayor profundidad el COS es más estable o recalcitrante (Lorenz y Lal, 2005), con menores tasas de descomposición (Schrumpf et al., 2013) y tiempos de residencia grandes (Rumpel y Kögel-Knabner, 2011). La estabilidad del COS a profundidad puede estar asociada a diferentes mecanismos (Lützow et al., 2006), los cuales pueden ser modificados y desestabilizar el C al cambiar el medio ambiento o por perturbaciones antropogénicas (Bernal et al., 2016; Gross y Harrison, 2019). La evidencia experimental muestra que la estructura molecular del COS no controla su estabilidad, dado que los controles biológicos y ambientales predominan, por lo que la persistencia del COS debe considerar como una propiedad del ecosistema (Schmidt et al., 2011).
La desestabilización del COS a mayor profundidad que 30 cm por ingreso de C fresco (Fontaine et al., 2007; Bernal et al., 2016), por incremento en la temperatura (Fang, Smith, Moncrieff y Smith, 2005), por perturbaciones físicas (Diochon y Kellman, 2009) u otros mecanismos (Adams et al., 2005; Strahm et al., 2009) ha planteado la necesidad de inventariar el COS a mayor profundidad que 30 cm (Harrison, Footen y Strahm, 2011; Jackson et al., 2017). De los numerosos inventarios del COS global a la profundidad de 1 m (Scharlemann, Tanner, Hiederer y Kapos, 2014), sobresale que alrededor del 50% del COS total está en la profundidad de 30 a 100 cm, por lo que es necesario cuantificarlo. La distribución de las raíces de la vegetación a profundidad define parcialmente la distribución vertical del COS, y otros elementos (Jobbágy y Jackson, 2000 y 2001), aunque el COS se extiende más allá del límite radicular. Las entradas del COS a diferentes profundidades son producto de la rizodeposición y microorganismos (Jackson et al., 2017; Pries et al., 2018; Gross y Harrison, 2019), con efectos menores del mantillo en la superficie.
La caracterización, y modelación, de la distribución del COS a profundidad puede ser hecha por métodos empíricos (Murphy, Wilson y Koen, 2019) o a través de modelos mecanicistas (Jenkinson y Coleman, 2008; Hilinski, 2001). Los modelos mecanicistas, tal como el RothC (Coleman y Jenkinson, 1996) y Century (Parton, Stewart y Cole, 1998), entre otros, usan ecuaciones cinéticas de orden uno y almacenes virtuales del C, que producen patrones asociados con ecuaciones exponenciales en el tiempo, que han sido extendidas a la distribución del COS a profundidad (Hilinsli, 2001; Nakane, y Shinozaki, 1978).
El objetivo principal de este trabajo es explorar, en forma progresiva, el uso de modelos empíricos de la distribución vertical del COS, hasta fundamentarlos con bases teóricas para que sean congruentes con la cinética de distribución del C a profundidad y sus parámetros tengan bases sólidas, más allá de enfoques de alta significancia estadística, pero irrelevancia para los ciclos biogeoquímicos.
Para caracterizar los patrones de la distribución del COS a profundidad se analizó una secuencia de perturbación en un bosque de encino (Quercus sp.): bosque de Quercus (BQr), bosque secundario o acahual de Quercus (BS), pastizal de más de 25 años de establecido (Pz) y agrícola con labranza tradicional de más de 15 años de establecido (Agt). Adicionalmente se consideró el análisis de la distribución vertical del COS en un bosque de Abies: bosque de Abies (BAr) y bosque de Abies con un incendio ocurrido hace más de 15 años (BAq). Como contexto, se analizó un bosque de Cupressus (BCr). La letra r es para denotar un bosque de referencia (bosque no perturbado o con perturbación mínima) para tener un estándar de comparación. El área de ubicación de los sitios de muestreo está localizada en el monte Tláloc en el municipio de Texcoco, Estado de México, México. El clima en la zona de estudio es semifrío subhúmedo en las partes altas, donde se localizan los bosques de Abies, Cupressus y Quercus, pastizal y acahual (INEGI, 2008).
Para tener un contexto del uso agrícola, se seleccionó un sitio de agricultura de conservación con más de 20-25 años de establecido (Agc) ubicado en las instalaciones del Colegio de Postgraduados, planicie cercana al monte Tláloc, en Montecillo, Estado de México, con un clima templado (INEGI, 2008).
En el Cuadro 1 se presentan la localización, altitud y tipo de suelo de los sitios de muestreo analizados.

En los sitios de muestreo se determinó la densidad aparente (DAP) con el método del cilindro, cada 10 cm hasta 1 m de profundidad. Se determinó el pH con un potenciómetro (Conductronic pH 20) y se analizó la textura con el método de la pipeta (Burt, 2004).
Para el análisis de los cambios por uso de suelo y profundidad, se determinó la concentración de carbono con un analizador de carbono TOC marca Shimadzu, modelo A5050.
En el caso del bosque de Encino de referencia (BQr) la profundidad máxima fue de 50 cm, al encontrarse roca a esa profundidad. Para el sitio de agricultura tradicional (Agt) se encontró una capa endurecida a 70 cm de profundidad.
El número de repeticiones para la DAP y textura del suelo fue de tres y para el C se usaron dos repeticiones. En el Cuadro 2 se muestran los promedios de las mediciones realizadas en los suelos, a profundidades incrementales de 10 centímetros.

Para el análisis y caracterización de la distribución vertical del COS asociado a diferentes usos del suelo, es práctica común ajustar diferentes funciones matemáticas y seleccionar la de menor error de estimación (Paz y Etchevers, 2016; Murphy et al., 2019). En lo siguiente se presentan funciones utilizadas por diferentes autores en la modelación de la distribución del COS a profundidad (Z):
A1: Modelo exponencial (Bennema, 1975; Jobbágy y Jackson, 2000; Minasny, McBratney, Mendonça, Odeh y Guyon, 2006; Mishra et al., 2009; Kempen, Brus y Stoorvogel, 2011; Chai et al., 2015; Paz y Etchevers, 2016; Murphy et al., 2019).
A2: Modelo exponencial más constante (Arrouays y Pelissier, 1994; Bernoux, Arrouays, Cerri y Bourennane, 1998; Minasny et al., 2006; Chai et al., 2015; Murphy et al., 2019).
A3: Modelo bi-exponencial (Murphy et al., 2019).
A4: Modelo bi-exponencial más constante (Murphy et al., 2019).
A5: Modelo lineal (Paz y Etchevers, 2016).
A6: Modelo logarítmico (Hiederer, 2009; Chai et al., 2015; James, Devine, Harrison y Terry., 2014; Paz y Etchevers, 2016).
A7: Modelo potencial (Bennema, 1975; Bernoux et al., 1998; Jobbágy y Jackson, 2000; Minasny et al., 2006; Chai et al., 2015; Guillaume, Damris Y Kuzyakov, 2015; Paz y Etchevers, 2016; Bai et al., 2016; Murphy et al., 2019).
A8: Modelo potencial más constante (Murphy et al., 2019).
A9: Modelo inverso lineal (Zhong y Qiguo, 2001; Paz y Etchevers, 2016; Murphy et al., 2019).
A10: Modelo inverso lineal potencial (varios autores japoneses, citado por Nakane y Shinozaki, 1978).
En el caso del modelo inverso lineal, este ha sido formulado por Zhong y Qiguo (2001) y Paz y Etchevers (2016) como:
y, por Murphy et al. (2019) como:
Esta representación muestra la relación entre los parámetros a y b del Modelo A9 (relación 9).
Para el modelo inverso lineal potencial, relación (10), Nakane y Shinozaki (1978) lo describen como:
Dos modelos adicionales, sujetos a la condición de C = C0 cuando Z = 0, son el modelo sigmoide de Brantley, Bandstra, Moore y White (2008):
y el modelo de Nakane (1976):
Los ajustes de los modelos de la distribución vertical de la COS fueron evaluados usando una comparación entre lo medido (
) y lo estimado (
), en función de su pendiente (t) e intersección o sesgo (s):
Adicional al uso del coeficiente de determinación R2, el ajuste estadístico de los modelos fue analizado usando la raíz del error cuadrático medio (RECM):
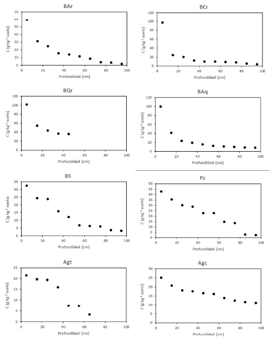
Los perfiles de la distribución del COS para los diferentes usos del suelo están mostrados en la Figura 1.

La mayoría de los patrones son convexos (Figura 1), con excepción de Agt que es cóncavo. Los cambios de los patrones convexos no lineales son diversos, por lo que se puede inferir que algunos modelos matemáticos no tendrán un buen ajuste. Asimismo, aparte de patrones no lineales, también hay patrones que se aproximan a un comportamiento lineal (Pz y Agc), por lo cual hay una diversidad aceptable de patrones para realizar ajustes experimentales a los diferentes usos del suelo y manejo.
De acuerdo con la tipología de formas de los perfiles de suelos planteada por Minasny, Stockmann, Hartemink y McBratney (2016), los perfiles de la Figura 1 representan los patrones gradacionales y no lineales (potencial y exponencial en términos de la tipología), aunque también el denominado frente de humedecimiento (relación 11) y abrupto (uso del suelo Agt) pueden ser considerados. En el caso de usos de suelo agrícolas, las prácticas de labranza y erosión del suelo producen patrones abruptos, donde el perfil no lineal se presenta debajo de la profundidad de labranza (Meersmans, van Wesemael, De Ridder y van Molle, 2009; Kempen et al., 2011; Guillaume et al., 2015; Paz y Etchevers, 2016), por lo que es necesario asignar uno o varios valores de C (dependiendo del número de estratos) a la profundidad de labranza, además de la función inferior de distribución del COS.
Los modelos A1 a A10 fueron ajustados por regresión no lineal usando la función SOLVERMR de ExcelMR en todos los casos, así como en los resultados que se presentan más adelante. La estimación de los parámetros de las funciones matemáticas fue realizada minimizando la suma del error cuadrático de estimación.
En el Cuadro 3 se muestran los resultados del ajuste estadístico de los diferentes modelos analizados, mostrando la RECM y R2 resultantes, así como los parámetros s y t. Los ajustes fueron realizados sin imponer restricciones, de tal manera que los parámetros de las funciones de los modelos A1 a A10 tomarán valores de acuerdo al proceso de minimización del error de estimación.

Las tres mejores estimaciones del COS a diferentes profundidades de los diferentes usos del suelo: bi‑exponencial más constante, potencial más constante e inverso lineal potencial (Figura 2). Los modelos ajustados muestran valores de R2 > 0.979, por lo que, generalmente, estos resultados son considerados como suficientes para fines de selección de modelos empíricos de ajustes estadísticos. En el caso del modelo inverso lineal potencial hay un dato que diverge en las estimaciones e incrementa los errores de estimación (uso del suelo BAr), lo cual es discutido más adelante.

En el caso de los modelos logarítmicos y potenciales, el valor del COS tiende a infinito (modelos potenciales) o no está definido (modelo logarítmico) para el caso de Z = 0. Si se consideran profundidades de estratos de 10 cm de espesor, podemos definir el valor de C0 para el caso de Z = 5 cm (mitad del primer estrato), de tal manera que la profundidad estará definida por Z0 = Z- 5. Para los modelos logarítmicos y potenciales, para evitar el problema en el origen de Z0, se utilizó el valor Z0 + 1 (el logaritmo de cero no está definido) para definir el origen de la profundidad.
El Cuadro 4 muestra los resultados del ajuste de los modelos condicionados a Z0 = 0, donde se observa que algunos valores tienen errores de estimación altos, producto de los ajustes al uso del suelo BAr, tal como es el caso del modelo potencial mostrado en la Figura 3.


La Figura 4 muestra los resultados de las estimaciones de los tres mejores modelos: bi-exponencial con constante, inverso lineal potencial y exponencial más constante.
Se observa de la Figura 4 que el modelo inverso lineal potencial y modelo exponencial más constante tienen el error de estimar el valor de C0 del uso del suelo BAr, tal como el caso del modelo potencial mostrado en la Figura 3, por lo que ambos modelos son atractivos como selección del mejor, dado que tienen menos parámetros que el bi-exponencial más constante.

Aparte del condicionamiento de Z0 = 0, para que tengan sentido biofísico, los modelos deben cumplir con C(Z0 = 0) = C0. Otro límite necesario es que cuando la profundidad tiende a infinito, el valor del COS debe ser C∞ o 0. El condicionamiento de los ajustes estadísticos a los valores de C en los límites (estrato más superior y estrato más inferior) ha sido usado por Arrouays y Pelissier (1994) y Bernoux et al. (1998) para ajustar el modelo exponencial.
Para tener un significado claro de los parámetros de los modelos, las constantes b de los Cuadros 3 y 4 deben ser cambiadas por k, para denotar tasas de reacción con relación a la profundidad.
Bajo la consideración de procesos de transporte y de descomposición constantes con relación a la profundidad, se puede establecer una solución analítica para la distribución vertical del COS (O’Brien y Stout, 1978; Nakane y Shinozaki, 1978; Rosenbloom, Doney y Schimel, 2001) para definir el modelo mono-exponencial (un solo almacén) que es la base del uso de este modelo en los ajustes estadísticos (Russell y Moore, 1968; Minasny et al., 2006 y 2016; Kempen et al., 2011):
Adicionalmente se puede considerar un modelo mono-exponencial más almacén inerte (C∞) que permanece constante (no se descompone), definido por (Hilinski, 2001; Sleutel, De Neve y Hofman, 2003; Minasny et al., 2006; Meersmans et al., 2009; Ottoy et al., 2016; Hobley y Wilson, 2016; Murphy et al., 2019):
En esta perspectiva, se puede considerar un modelo con dos almacenes (modelo bi-exponencial), definido como:
donde: p es la proporción de C0 para el almacén 1 del COS. El modelo de la relación (17) representa reacciones en paralelo de los ingresos a los almacenes, pero también puede representar reacciones en serie o con interacciones entre los almacenes del COS (Manzoni et al., 2012).
El modelo bi-exponencial puede ser expandido para considerar un almacén inerte (modelo bi-exponencial más almacén inerte), definido como:
Al igual que el caso del modelo exponencial, la parametrización de los modelos analizados previamente puede ser hecha para el cumplimiento de las condiciones de frontera impuestas, tal como se muestra en el Cuadro 5.

Condicionando los ajustes de regresión no lineal a C = C0 (estrato más superior) cuando Z0 = 0 (C0 no es un parámetro de estimación), en el Cuadro 5 se muestran los resultados obtenidos.
Los tres mejores modelos fueron: bi-exponencial con almacén inerte, sigmoide y bi-exponencial (Cuadro 5). Los resultados para el modelo sigmoide resultan algo sorprendentes, dados los patrones mostrados en la Figura 1, por lo que este modelo tiene buena flexibilidad para ajustarse a patrones más allá de un sigmoide puro.
La Figura 5 muestra las estimaciones de los ajustes de los tres mejores modelos para el caso del condicionamiento de C = C0 para Z0 = 0.

El condicionamiento introducido permite definir bases fisicoquímicas para la interpretación de los parámetros de los modelos analizados, pero sujetos a ajustes por regresión no lineal de los mismos. En el Cuadro 6 se muestran los parámetros de los tres mejores modelos, para cada uso del suelo analizado. En el caso del modelo sigmoide, los parámetros muestran valores positivos y negativos de a y k que resultan difíciles de interpretar sin considerar un modelo de distribución vertical del COS. El modelo bi-exponencial más almacén inerte tiene valores negativos para C∞, por lo que su ajuste es artificio de la regresión no lineal. Finalmente, el modelo bi-exponencial muestra patrones contrarios para los usos del suelo BAr y Agc, dado que el almacén 1 es más lábil (se descompone más fácilmente) que el almacén 2, por lo que sus parámetros son resultados de la regresión no lineal. En resumen, aunque los modelos tienen ajustes experimentales altamente significativos (R2 > 0.99), estos muestran incongruencias en sus parámetros.

Si se considera un enfoque de análisis de patrones (ajuste de los modelos) para encontrar un mecanismo común que los genere, en el Cuadro 7 se observa que los modelos lineal, exponencial, inverso lineal e inverso lineal potencial compiten en los resultados de errores mínimos de estimación (RECM) para algunos usos del suelo, por lo que pueden ser considerados como viables.

Dados los resultados del Cuadro 7, se puede plantear que los modelos son soluciones de una ecuación de cinética definida por:
que es una reacción de cinética de orden n, con tasa de reacción kn. Los modelos exponenciales, y la gran mayoría de los modelos mecanicistas (Manzoni et al., 2012), son de orden n = 1, por lo que los patrones de la relación (19) difieren de este tipo de reacciones y los generaliza.
La solución a la relación (19), para diferentes valores de n está mostrada en muchos libros de cinética de reacciones (p. ej.: El Seoud, Baader y Bastos, 2016):
que es válida para n ≠ 1, la cual puede ser formulada en términos de C como:
donde C = C0 corresponde al caso de Z = 0.
Para el caso n = 1, se tiene:
cuya solución es:
Finalmente, para el caso n = 2 se tiene:
Cuya solución es:
que puede ser puesta en función de C como:
El modelo de cinética de orden n de la relación (19) produce los modelos del Cuadro 7, por lo que resulta interesante de evaluar, además de que define las relaciones entre los parámetros de los modelos.
La Figura 6a muestra los resultados de las estimaciones para el modelo de la relación (21), donde sus parámetros, dejando fijo C =C0 para Z0 = 0, fueron ajustados por regresión no lineal. Los ajustes resultaron mejores usando el modelo de la relación (21) que el uso de los parámetros k y c del Cuadro 5. Esto plantea que el uso de las regresiones estadísticas clásicas como medio de ajuste de modelos, en forma empírica y sin bases biofisicoquímicas, sin privilegiar el conocimiento, puede generar ajustes estadísticos “significativos”, pero irrelevantes.

Bajo la consideración que kn tiene valores cercanos a cero en muchos usos del suelo, en la Figura 6b se muestra la relación entre el orden n y exp(kn), que muestra un límite superior de 1.0. La Figura 6b muestra que para la secuencia de perturbación del bosque de encino (BQr, BS, Pz y Agt), los estados perturbados (BS, Pz y Agt) tienen valor de exp(kn) menores a 1.0 y ordenes con n ≤ 1.0. El caso de BAr y Baq (n > 1), exp(kn) tiende a 1.0, y BAq tienen un orden n mayor que BAr, mostrando un estado de sucesión mejor (n mayor). En lo particular, el caso de la agricultura de conservación (Agc), su estado es similar al de los bosques de referencia (sin perturbaciones).
En lo general, de acuerdo a la Figura 6, la relación entre exp(kn) y n refleja el nivel de perturbación (cambio de uso del suelo o prácticas de manejo) de los usos del suelo, definiendo patrones de la distribución del COS a profundidad que pueden ser interpretados en forma clara, a diferencia de los mejores modelos previos, donde la relación entre sus parámetros no está claramente definida, resultando difícil de interpretar.
En la Figura 7 se muestra las relaciones entre los diferentes usos del suelo y el orden n y tasa de reacción kn. Para la secuencia de perturbación del bosque de encino, todo el perfil, el orden n disminuye y la tasa de reacción kn se incrementa a medida que el nivel de perturbación aumenta.

La modelación de la distribución vertical del carbono orgánico de los suelos (COS), hasta un metro de profundidad, ha sido analizada en forma progresiva desde una visión empírica a una de modelación general, basada en el análisis de los patrones observados para diferentes usos del suelo y los modelos ajustados por regresión no lineal. El ejercicio realizado pone en relevancia la necesidad de orientar la caracterización de los patrones del COS hacia esquemas de ajustes estadísticos fundamentados en el conocimiento, y no solo ajustes empíricos de modelos matemáticos, de las dinámicas implícitas, o no, de la distribución del COS a profundidad, como un paso al desarrollo de modelos generales que se orienten a patrones múltiples (soluciones) de una misma dinámica o cinética de reacción.
Los perfiles de suelos con niveles bajos de perturbación, como los bosques de referencia, muestran valores del orden n > 1, asociados a tasas de reacción kn cercanas a cero (poco cambio), que reflejan que la curvatura (orden n) de la distribución vertical del carbono predomina, mostrando condiciones de estabilidad que caracteriza la evolución del COS de estos usos del suelo. Los bosques, al sufrir perturbaciones, reducen su orden n e incrementan la tasa de reacción kn, para caracterizar patrones transitorios asociados a usos del suelo no bosque (p. ej. agrícola o pastizal) o bosque degradado.
Para el caso de uso agrícola del suelo, la agricultura de conservación muestra perfiles de distribución del COS similares a la de los bosques de referencia (sin perturbación), diferenciados de los patrones de la agricultura tradicional.
El modelo de cinética de orden n, rompe los esquemas de modelación tradicionales de cinéticas de orden uno y múltiples almacenes (Paustian, Collins y Paul, 2019; Manzoni et al., 2012), al considerar un solo almacén, pero con cinética de orden n variable, asociado al uso del suelo y su manejo.
El orden n y la tasa de reacción kn están relacionados entre sí, definiendo patrones regulares para caracterizar el grado de perturbación de los suelos asociados a diferentes usos del suelo, de tal manera que estas “firmas” de la distribución vertical del COS, como un solo almacén, pueden ser usados para caracterizar la dinámica vertical (y horizontal) del carbono.
El enfoque metodológico discutido en este trabajo plantea una reconsideración a los enfoques clásicos de caracterizar la distribución vertical del carbono orgánico en los suelos (COS) al pasar de ejercicios meramente empíricos de ajustes estadísticos a los patrones observados, al desarrollo de esquemas de modelación progresiva basada en la introducción de parámetros biofisicoquímicos relevantes a la dinámica del COS a profundidad. La estadística es usada como un medio de análisis de la viabilidad de los modelos, no como criterio de selección del mejor modelo ajustado, bajo la óptica de que no es suficiente que los modelos tengan un error de estimación mínimo, si no que es necesario obtener las respuestas correctas por las razones correctas (Kirchner, 2006).
El modelo de cinética de orden n variable introducido se ajustó bien (R2 > 0.99) a los datos experimentales de diferentes usos del suelo, con parámetros que pueden ser asociados a la perturbación (estabilidad) de la distribución vertical del COS en los suelos.
No aplicable.
No aplicable.
Los datos están disponibles de los autores previa solicitud razonable.
Los autores declaran que no tienen intereses en competencia.
Conceptualización y diseño: E.B.B y F.P.P. Protocolo de laboratorio y supervisión: C.H.M y F.P.P. Revisión resultados: A.V.R. Escritura: F.P.P., E.B.B. y A.V.R. Revisión manuscrito: J.E.B., C.H.M. y A.V.R.
‡ Autor para correspondencia (ferpazpel@gmail.com)













