Artículo científico
Patrones de la distribución del carbono orgánico por fracciones de partículas primarias del suelo
Patterns of the distribution of organic carbon by fractions of primary soil particles
Patrones de la distribución del carbono orgánico por fracciones de partículas primarias del suelo
Terra Latinoamericana, vol. 40, e1322, 2022
Sociedad Mexicana de la Ciencia del Suelo A.C.
Recepción: 14 Diciembre 2021
Aprobación: 16 Marzo 2022
Resumen: Para analizar la dinámica del carbono orgánico de los suelos (COS) asociada a su cambio de uso, de vegetación y prácticas de manejo, es necesario desarrollar modelos para usarse en forma predictiva. Un enfoque de modelación es la distribución del COS presente en los complejos organominerales primarios (arcillas, limos y arenas) ligado a las fracciones físicas. Para la separación de las fracciones físicas se emplea la dispersión del suelo por ultrasonido, paso que requiere optimizar las energías de sonicación para lograr la completa dispersión del suelo. En este trabajo se discute el modelo COLPOS y su hipótesis, así como sus posibles extensiones que consideran las masas y los enriquecimientos de las fracciones físicas del suelo, adicionalmente al análisis de las relaciones entre esas fracciones. Para analizar los patrones asociados al modelo COLPOS y sus extensiones, se analizan resultados disponibles de fraccionamientos de suelos mexicanos realizados con ultrasonido, además de tres bases de datos de fraccionamientos similares publicados en la literatura. Éstos muestran que el modelo COLPOS puede ser parametrizado en función del tamaño y masa de las partículas del suelo; aunque para el caso de las masas algunos resultados son inconsistentes. Del análisis de los cocientes del carbono orgánico entre fracciones para dos cinéticas lineales diferentes (organomineral y organomineral más partícula) las relaciones muestran mayor dispersión que para el caso de solo considerar fracciones de una cinética.
Palabras clave: complejos organominerales y particulados, energía de dispersión, fraccionamiento físico por ultrasonido, modelo COLPOS, relación entre fracciones físicas, tamaño y masa de partículas del suelo.
Summary: In order to analyze the dynamics of soil organic carbon (SOC) associated with changes in land use / vegetation and management practices, it is necessary to develop models that can be used predictively. A modeling approach is the distribution of SOC by physical fractions of the primary organomineral complexes (clays, silts and sands), using ultrasound soil dispersion techniques, where it is necessary to optimize the sonication energies to achieve complete soil dispersion. Under this consideration of complete dispersion, the COLPOS model and its hypothesis are discussed, as well as its possible extensions when considering the masses and enrichments of the physical fractions of the soil, in addition to the analysis of the relationships between these fractions. To analyze the patterns associated with the COLPOS model and its extensions, the available Mexican soil fractionations using ultrasound are analyzed, in addition to three databases of similar fractionations published in the literature. The results show that the COLPOS model can be parameterized according to the size and mass of the soil particles; although for the case of the masses some results are inconsistent. From the analysis of the organic carbon ratios between fractions for two different kinetics, the relationships show greater dispersion than for the case of only kinetic fractions.
Index words: organomineral and particulate complexes, dispersion energies, physical fractionaation using ultrasound, COLPOS model, relationships between physical fractions, size and mass of soil particles.
Introducción
La dinámica del carbono orgánico de los suelos (COS) determina las emisiones de CO2 y la captura de carbono. Ambas son consecuencia de los cambios de uso del suelo y prácticas de manejo para su uso. Los cambios pueden ser predichos mediante el empleo de modelos apropiados (Lal, 2009). La gran mayoría de los modelos que tratan la dinámica del COS contienen almacenes “virtuales” con cinéticas asociadas de primer orden (Paustian, Collins y Paul, 1997), que resultan difíciles de caracterizar con técnicas de laboratorio (Buyanosky, Aslam y Wagner, 1994; Zimmermann, Leifeld, Schmidt, Smith y Fuhrer, 2007), por lo que Elliot, Paustian y Frey (1996) propusieron un cambio de paradigma para modelar lo medible. Las técnicas experimentales para caracterizar los almacenes del COS generalmente se han asociadas al fraccionamiento físico de los suelos, porque así se evita perturbar el COS (p. ej. al cambiar el pH que pudiese ocurrir al emplear procedimientos químicos).
El fraccionamiento físico de los suelos produce diferentes productos (Christensen, 2001): materia orgánica particulada (MOP), complejos organominerales primarios (materia orgánica asociada con arcilla, limo y arena) y complejos organominerales secundarios (agregados). Entre los métodos de fraccionamiento físico, el uso del ultrasonido como medio de dispersión (North, 1976; Christensen, 1992) es ampliamente utilizado. Sin embargo, su efectividad depende de las muestras del suelo y el tratamiento requerido (Oorts, Vanlauwe, Recous y Merckx, 2005), ya que una baja energía del ultrasonido no logra una dispersión completa y una alta produce abrasión de los suelos (Christensen, 1992) con modif icaciones en la distribución del carbono.
El proceso de dispersión de los suelos puede generar contaminación de las fracciones físicas de menor tamaño por las de mayor tamaño y enmascarar los patrones de distribución del COS en las fracciones (Balesdent, Pétraud y Feller, 1991; Balesdent, Besnard, Arrouays y Chenu, 1998; Baldock y Skjemstad, 2000; Chenu y Plante, 2006). por lo que es necesario optimizar la energía de dispersión (Báez-Pérez, Hidalgo, Matus, Prat y Etchevers, 2011; Hidalgo, Paz y Etchevers, 2012; Paz, Hidalgo y Etchevers, 2012).
La literatura reporta diferentes protocolos de fraccionamiento físico de los suelos que emplea ultrasonido, los cuales pueden ser clasif icados, después de la disgregación inicial del suelo con esferas de cristal y agitación o tamizado en húmedo y agitación, como: a). aplicación directa de ultrasonido a la fracción ≤ 2000 μm, y después la separación de las fracciones físicas y la materia ogánica particulada (MOP) (Anderson, Saggar, Bettany y Stewart, 1981; Christensen, 1985; Covaleda et al., 2011); b) aplicación de ultrasonido a solo una parte de las fracciones del suelo (< 50 μm, Balesdent et al., 1991; Gavinelli et al., 1995, o < 250 μm, Matus et al., 2011; Báez et al., 2011); y, c) aplicación de baja energía a la fracción ≥ 50 μm y energía suf iciente para dispersión completa a la fracción más pequeña (Balesdent et al., 1998). En lo general, las fracciones ≥ 50 μm son separadas (MOS y asociada a mineral) por tamizado en húmedo por agitación mecánica y las < 50 μm por centrifugación/sedimentación.
Para analizar el efecto de las energías de dispersión en los patrones de la distribución del COS por fracciones, en este trabajo se usa el modelo COLPOS (Componentes Organomineral, Lábil-Particulado y de Orden inerte de los Suelos) de Paz, Covaleda y Etchevers (2014) y Paz, Covaleda, Hidalgo, Etchevers y Matus (2016) como referencia. El modelo COLPOS caracteriza la dinámica de las fracciones del COS en función del tamaño de las partículas del suelo, que analiza los patrones de esta distribución con base en la masa de las fracciones físicas, así como el enriquecimiento de las fracciones (Christensen, 1992) desde una perspectiva de balances de masa y de la consideración de datos experimentales del fraccionamiento completo de los suelos (Matus, 2021). Finalmente se analizan las relaciones entre las fracciones del suelo con el propósito de estimar datos faltantes de análisis de suelos para parametrizar el modelo COLPOS.
Materiales y Métodos
Datos experimentales del fraccionamiento físico del carbono orgánico en suelos mexicanos
Existen pocos trabajos de fraccionamiento físico de los suelos con ultrasonido. Consideraremos tres ejemplos realizados por miembros de presente grupo de investigación, en los que los niveles de energía de ultrasonido que se aplicaron fueron calibrados calorimétricamente según Roscoe, Buurman y Velthorst (2000) y Oorts et al. (2005): (a) Suelos de cultivos agrícolas y sitios pareados de bosques-cultivos, donde se utilizó la técnica de Balesdent et al. (1991) y el ultrasonido se aplicó a la fracción <250µm (Matus et al., 2011). Estos autores seleccionaron el nivel de energía 910 J ml-1, aunque en trabajos posteriores consideran la energía de 1365 J ml-1 como la requerida para dispersión completa del suelo (Hidalgo et al., 2012; Paz et al., 2012). La concentración de C en cada fracción de tamaño se determinó con un analizador automatizado para carbono total (marca Shimatzu, modelo 5050A). Matus et al. (2011) se describe la técnica utilizada, así como los sitios donde se aplicó. (b) En un trabajo complementario empleando la misma técnica, Báez et al. (2011) analizaron cultivos agrícolas con labranza convencional y manejo orgánico. La energía de dispersión optima usada fue también de 1365 J ml‑1. Báez et al. (2011) describe la técnica utilizada, así como los sitios donde se aplicó. (c) Suelos con cultivos agrícolas y toposecuencia de degradación forestal. La descripción de los sitios y métodos que se usaron en este grupo de experimentos se describe en Covaleda, Pajares, Gallardo y Etchevers (2006)) y Covaleda et al. (2011). El COS se determinó por combustión seca en un analizador LECO. La aplicación de ultrasonido se realizó para la fracción < 50 μm. Para determinar la cantidad mínima de energía necesaria para dispersar completamente las muestras, se hicieron pruebas con tres tipos de suelos, aplicando cantidades crecientes de energía a las muestras. Tras este proceso se decidió aplicar 244 J ml-1 a las muestras de Andosoles y Cambisoles y 354 J ml-1 a las muestras de Acrisoles.
En el Cuadro 1 se presentan las características de los sitios y suelos que se consideraron de los trabajos analizados de Matus et al. (2011) y Báez et al. (2011).

En el Cuadro 2 se muestras los usos del suelo/vegetación y tipos de suelo del trabajo de Covaleda et al. (2011).

Adicionalmente a los trabajos previamente reseñados, se analizaron los datos de tres publicaciones en los que se empleó dispersión completa del suelo sensuMatus (2021): (a) Cronosecuencia de bosque a maíz cultivado (7 y 35 años), profundidad de 0 a 30 cm, de Balesdent et al. (1998), que empleó dos niveles de sonicación, uno ligero para las fracciones > 50 μm y otro para dispersión completa de las fracciones ≤ 50 μm. (b) Sitios pareados de praderas y cultivos (> 5 años) para distintos tipos de suelo (Gleysoles) a la profundidad de 2 a 8 cm en Quebec, Canadá (Elustondo, Angers, Laverdier y N’Dayegamiye, 1990), en los que el fraccionamiento utilizado fue el Christensen (1985). (c) Secuencia de degradación (> 10 años) de bosque (tipo sabana, vegetación “Cerrado”) en Goias, Brasil (Freitas, Blancaneaux, Gavinelli, Larré y Feller, 2000), profundidad de 0 a 10 cm (Latosoles), donde la técnica de Gavinelli et al. (1995) fue utilizada para el fraccionamiento.
En los análisis de la sección siguiente se utilizaron los datos muestrales individuales y no valores promedio, ya que esta operación transforma líneas rectas en puntos, en el contexto del modelo COLPOS (Paz et al., 2014 y 2016) utilizadas como referencia.
Modelo COLPOS y balances de masa
El modelo COLPOS fracciona los complejos organominerales y particulados primarios en tres grupos: carbono orgánico particulado (Cp), carbono organomineral (Cm) y carbono orgánico inerte (COI). Para la división entre solo carbono organomineral y la mezcla particulada y organomineral se utiliza el tamaño de partículas de 50 μm.
El fraccionamiento físico del suelo en compartimentos, se basa en la hipótesis que la accesibilidad al C por la biomasa microbiana es el factor que controla la cinética de las reacciones y no la recalcitrancia del material (Dungait, Hopkins, Gregory y Whitmore, 2012). Las fracciones Cp y Cm tienen cinéticas diferentes (Carter, Angers, Gregorich y Bolinder, 2003; Skjemstad, Spouncer, Cowie y Swift, 2004; Lavallee, Soong y Cotrufo, 2019), por lo que pueden diferenciarse entre sí. Adicionalmente, al igual que algunos modelos de cinéticas lineales de primer orden con tres compartimentos o almacenes, donde uno de ellos es de tipo inerte (Verberne, Hassink, de Willigen, Groot y Van Veen, 1990; Hansen, Jensen, Nielsen y Svendsen, 1991), el modelo COLPOS usa el almacén COI, el cual tiene tiempos de residencia de cientos a miles de años. Este almacén ha sido utilizado por modelos más complejos como el RothC (Coleman y Jenkinson, 1996) para obtener mejores ajustes a los datos experimentales (Jenkinson, 1990).
La Figura 1a muestra el modelo (tri-lineal) del carbono orgánico total (Ct) en función de 1/Tf, donde Tf es el tamaño de las partículas para la fracción f y, la Figura 1b el carbono organomineral (Cm) contra 1/Tf (bi-lineal). En términos cuantitativos, el modelo COLPOS está def inido por (caso de Ct):
Fracción 0 ≤ 1/Tf ≤ 1/50:
Fracción 1/50 ≤ 1/Tf ≤ 1/TCOI:
Fracción ≤ 1/TCOI:
donde: r y q son las pendientes de las líneas rectas def inidas en la Figura 1, las cuales pueden ser estimadas a partir de C50 y Ct o Cm. En todos los casos 1/Tf tiene descontado el valor 1/2000, que representa el valor máximo del tamaño de las partículas de 2000 μm. Cp (= Ct - Cm) es el carbono orgánico particulado y C50 representa el carbono orgánico de la fracción arcilla más limo (50 μm).

El valor del COI puede determinarse del cuadro de valores de este almacén para los diferentes usos del suelo y vegetación de México mostrado en Paz y Etchevers (2016). Def inido el valor del COI, 1/TCOI puede estimarse de (Paz et al., 2016):
Usando el COS con referencia a la masa total de suelo (g C /kg suelo), para dos almacenes a y b cualesquiera, los balances de masa están dados por:
Dado que Mt = 1 (un kilo de suelo, como referencia), con Ma y Mb como fracciones, la relación (5) es equivalente a:
En el caso de considerar al almacén COI, las relaciones permanecen intactas al cambiar Ct por (Ct - COI).
Paz et al. (2014) consideraron la relación (7) usando el formato:
que se simplif ica al usar Ca = Ct - Cb y Cb = Ct - Ca a:
Usando la hipótesis:
La relación (9) puede plantearse como:
La cual es equivalente a los modelos lineales por grupos de fracciones del modelo COLPOS (Paz et al., 2014).
En forma similar al uso de Tf, es posible usar las masas de las fracciones (Mf, en %) y la hipótesis:
Que al igual que 1/Tf, los valores de 1/Mf debe descontarse el valor 1/100, correspondiente a la fracción máxima de la masa (100 %). La relación (12) implica que solo hay que cambiar 1/Tf por 1/Mf en el modelo de la Figura 1 y que hay una relación lineal entre 1/Tf y 1/Mf.
Para considerar en forma explícita las masas de las fracciones físicas del suelo, es necesario utilizar el concepto de enriquecimiento de las fracciones (Ef) (Christensen, 1992):
donde: Cff es la concentración de la fracción f con relación a la masa de la fracción (g C / kg fracción). El balance de masas queda entonces como:
que, en función de Ef, puede ponerse como:
que es simplemente la relación (7) dividida entre Ct.
Resultados y Discusión
Fraccionamientos de Matus et al. (2011), Báez et al. (2011) y Covaleda et al. (2011)
Haciendo uso de los datos de Covaleda et al. (2011) se determinaron los niveles de energía (tiempos de sonicación) óptimos para la dispersión total del suelo. La Figura 2 muestra el efecto de la energía en el modelo COLPOS, Figura 1b, para el caso organomineral Cm. Cuando se aplican bajos niveles de energía de ultrasonido (tiempos cortos de sonicación), el modelo tiene un comportamiento tipo logarítmico (Paz et al., 2016), y al incrementarse la energía de sonicación cambia a un modelo lineal, variando su pendiente al incrementarse la energía. Así, los parámetros del modelo COLPOS son dependientes del nivel de dispersión de los suelos.

En el modelo COLPOS, la relación C50/Ct es utilizada para parametrizarlo (Paz et al., 2014 y 2016) plantea una relación universal aplicable a todos los suelos, similar a lo discutido por Matus (2021)). En el contexto de la saturación de los almacenes del COS, la fracción C50 contra Ct (como subrogado del ingreso de carbono orgánico al suelo) se utiliza para revisar su saturación (relación lineal que tiende a una línea recta horizontal) (Hassink, 1997; Carter et al., 2003); aunque también se ha analizado solo la fracción arcilla, la cual puede estar saturada y la fracción limo no (Matus et al., 2016). En la Figura 2 se muestra que C50/Ct es dependiente del tiempo de sonicación (energía de ultrasonido), por lo que para analizar su patrón es necesario revisar si los suelos han sido dispersados totalmente (Matus, 2021).
Del análisis de los muestreos (N = 59 suelos, n = 236 muestras de fracciones) de trabajos realizados en México, con el uso del modelo COLPOS (Figura 2b2) para solo el carbono organomineral Cm, se obtienen los resultados que muestra la Figura 3, correspondientes al modelo ajustado (R2 > 0.99).

Ahora bien, si se cambia 1/Tf por 1/Mf en el modelo COLPOS, se obtiene como resultados de este ajuste, lo que se muestra en la Figura 4 CON buenos ajustes (R2 > 0.99). Como resultado de estos ajustes, se tiene la relación lineal (1/Mf) = a + b(1/Tf). La Figura 5 muestra los resultados obtenidos de estimar (1/Mf) de (1/Tf), donde los ajustes resultaron buenos (R2 > 0.99).


Si se usa la base de datos de Covaleda et al. (2011), la Figura 6 muestra el resultado de ajustar el modelo COLPOS usando 1/Tf y 1/Mf, para usos del suelo con diferentes perturbaciones (degradación de los bosques o cambios de uso del suelo). En el caso de usar (1/Tf) el efecto de la masa de las fracciones no es visible, pudiendo compararse casos de suelos con texturas muy diferentes. Al usar 1/Mf, la masa de las fracciones (p. ej. masa de arcilla más limo y arcilla) def ine patrones diferentes, tal como se observa en la Figura 6, los cuales def inen los paramétros r y q (Figura 1a).

Otros fraccionamientos
Para el caso de la cronosecuencia de bosque a cultivo de maíz de Balesdent et al. (1998)), la Figura 7 muestra los patrones del ajuste del modelo COLPOS para Ct y Cm usando 1/Tf.(Figura 1). En lo general, al ser perturbado el suelo las pendientes r y q (Figura 1) reflejan esta degradación del COS (perdida de Ct y Cm).

El modelo COLPOS usando 1/Mf fue ajustado a la cronosecuencia analizada. La Figura 8 muestra los resultados obtenidos para Cm, que muestra pendientes similares al caso de 1/Tf (diferentes unidades, 1/Tf en miles y 1/Mf en cientos).
De las Figuras 7 y 8, cuando los suelos analizados tienen la misma textura o ésta es muy similar, el modelo usando 1/Tf asemeja al def inido en función de 1/Mf.

El uso del enriquecimiento (E) para Cm en función de 1/Tf esta mostrado en la Figura 9, donde las pendientes tienen un patrón inverso al mostrado al usar Cm (Figura 7). Este formato de representación del modelo COLPOS resulta más fácil de interpretar ya que usa fracciones relativas (Cf/Ct) que convergen a un punto común (1.0).

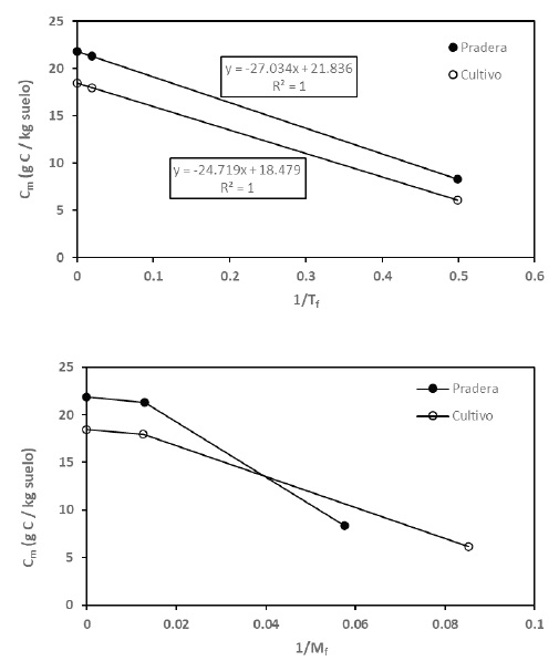
Los sitios pareados praderas naturales contra cultivos de Elustondo et al. (1990) muestran patrones de Cm contra 1/Tf del modelo COLPOS (Figura 1b), pero para el caso de usar 1/Mf, estos patrones dif ieren de los analizados (Figura 10). Algo similar se presenta para el caso de la secuencia de perturbación de bosque tipo sabana a pasto degradado de largo plazo (Freitas et al., 2000), tal como se muestra en la Figura 11.


Los patrones observados en las Figuras 10 y 11 son difíciles de interpretar ya que pueden ser simplemente errores experimentales o planteamientos que el modelo COLPOS no es generalizable al caso de 1/Mf.
Patrones entre razones de fracciones físicas del carbono orgánico de los suelos
Para el caso de los suelos mexicanos analizados, las relaciones C50/Ct y Ct/C50 están mostradas en la Figura 12. Las relaciones previas mostradas en Paz et al. (2014 y 2016) dif ieren de las mostradas en la Figura 12 dado que no se consideraron suelos endurecidos (tepetates) y se agregó el valor de la muestra con Ct máximo, no considerado previamente. Los patrones mostrados en la Figura 12 muestran dispersión, la cual es producto de considerar dos patrones lineales (Figura 1a), donde Ct corresponde a la mezcla carbono orgánico particulado más organomineral y C50 a solo organomineral, por lo que el valor del almacén de carbono orgánico particulado (Cp) influye en la relación. El almacén Cp varía en función del grado de perturbación del suelo (Figura 7), para una misma textura del suelo.

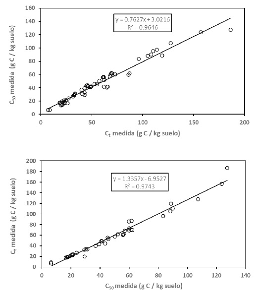
Con el uso de la consideración de establecer relaciones de razones de las fracciones físicas del COS para cinéticas similares, se analizaron éstas solo para el caso de carbono organomineral (Cm, Figura 1b). En el caso de los datos de Matus et al. (2011) y Báez et al. (2011), la fracción entre 50 y 2000 μm (solo organomineral) utilizada fue de 250 μm y para Covaleda et al. (2011) fue 200 μm. La Figura 13 muestra las relaciones Cm250 - C50 y Cm200 - C50, además de Cm - C50, donde Cm es el total, para los suelos mexicanos analizados. Se observa, en lo general, que la dispersión de las relaciones es menor que en el caso de la Figura 12.

Para tener una perspectiva de las relaciones entre C50 y el Cf de fracciones menores de 50 μm, se analizaron los datos de Six, Conant, Paul y Paustian (2002)) discutidos por Paz et al. (2016) para la fracción de C en la fracción 20 μm (C20). La Figura 14 muestra la relación entre C20 y C50 obtenida del análisis, donde la dispersión de la relación mostrada es pequeña, similar a los casos mostrados en la Figura 13.

Tal como se muestra en Paz et al. (2014), las relaciones entre C50 y la fracción de C de las arcillas muestra alta dispersión, por lo que las relaciones de la fracción arcilla más limo con las fracciones alrededor de 2 μm de las arcillas se espera sea con mayor dispersión al del uso de las fracciones ≥20 μm.
Discusión de los resultados
El modelo COLPOS parametrizado en función de 1/Tf para Ct y Cm tiene buenos ajustes experimentales (R2 > 0.99) a los datos medidos en fraccionamientos físicos usando ultrasonido. Usando una relación lineal entre 1/Tf y 1/Mf, el modelo COLPOS puede ser parametrizado en función de 1/Mf, que para el caso de los suelos mexicanos analizados mostró buenos ajustes (R2 > 0.99), pero para dos casos publicados en la literatura los patrones encontrados dif ieren de los esperados. Esto puede ser debido a la recuperación de las masas en las determinaciones de laboratorio u otros errores, por lo que se requiere el análisis de más bases de datos con dispersión completa del suelo, ya que el grado de dispersión incide en los patrones del modelo COLPOS y las razones entre las fracciones físicas del COS.
Para el caso donde la textura es igual o cercana, para distintos usos del suelo o prácticas de manejo, el modelo COLPOS para 1/Tf y 1/Mf muestran patrones (pendientes) similares, por lo que puede ser usado para analizar los patrones dinámicos de cambios asociados a perturbaciones, dejando f ijo el efecto de la textura del suelo.
El caso del uso del enriquecimiento de las fracciones (Ef) es similar al caso de 1/Tf y fracciones de C divididas entre Ct o Cm, pero resulta en patrones más fáciles de interpretar (un solo parámetro).
Las relaciones de la Figura 11 dif ieren en algo de las generales def inidas en Paz et al. (2016) y Matus (2021)), por lo que el concepto de universalidad debe ser revisado para considerar además de la textura al almacén de Cp.
En lo general, las relaciones de las diferentes fracciones de solo la parte organomineral para estimar C50 muestran poca dispersión y son estables, por lo que es necesario replantear el modelo COLPOS, y otras aproximaciones, al eliminar la parte del carbono orgánico particulado y realizar análisis por tipo de cinética del modelo.
Conclusiones
El análisis de los patrones del modelo COLPOS para 1/Tf y 1/Mf para los suelos mexicanos analizados mostró resultados buenos (R2 > 0.99), aunque en un par de casos analizados de fraccionamientos publicados en la literatura los patrones no fueron como los esperados, por lo que se requiere de un análisis usando bases de datos con dispersiones totales de los suelos, además de recuperación de masas completas o cercanas a este objetivo.
Del análisis de las razones entre el C de las fracciones físicas del suelo se puede concluir que la dispersión encontrada entre C50 y Ct es producto, dejando f ija la textura, de dos cinéticas diferentes, por lo que es necesario considerar al carbono orgánico particulado en estos análisis.
Para una cinética dada (organomineral), las razones entre las fracciones muestran poca dispersión, a excepción de las fracciones alrededor de 2 μm (arcillas); aunque no esta claro si esto es debido a dispersión incompletas del suelo, por lo que requiere de su revisión.
Declaración de Ética
No aplicable.
Consentimiento para Publicación
No aplicable.
Disponibilidad de Datos
Los datos están disponibles de los autores previa solicitud razonable.
Conflicto de Intereses
Los autores declaran que no tienen intereses en competencia.
Contribución de los Autores
Conceptualización y diseño: F.P.P. Protocolo de laboratorio y supervisión: C.H., S.C., F.M., A.B. y J.E. Revisión resultados: F.P. y A.V. Escritura: F.P y A.V. Revisión manuscrito: J.E. y F.M.
Literatura Citada
Anderson, D. W., Saggar, S., Bettany, J. R., & Stewart, J. W. B. (1981). Particle size fractions and their use in studies of soil organic matter: I. The nature and distribution of forms of carbon, nitrogen, and sulfur. Soil Science Society of America Journal, 45(4), 767-772. https://doi.org/10.2136/sssaj1981.03615995004500040018x
Báez-Pérez, A., Hidalgo-Moreno, C. I., Matus-Baeza, F., Prat, C., & Etchevers-Barra, J. D. (2011) Fraccionamiento y acumulación de carbono orgánico en tres suelos volcánicos degradados de México. En J. F. Gallardo-Lancho (Coord.). Materia orgánica edáf ica y captura de carbono en sistemas iberoamericanos (pp. 61-79). Salamanca, España: Red POCAIBA, SiFyQA.
Baldock, J. A., & Skjemstad, J. O. (2000). Role of the soil matrix and minerals in protecting natural organic materials against biological attack. Organic Geochemistry, 31(7-8), 697-710. https://doi.org/10.1016/S0146-6380(00)00049-8
Balesdent, J., Besnard, E., Arrouays, D., & Chenu, C. (1998). The dynamics of carbon in particle-size fractions of soil in a forest-cultivation sequence. Plant and Soil, 201(1), 49-57. https://doi.org/10.1023/A:1004337314970
Balesdent, J., J. P. Pétraud, J. P., & Feller, C. (1991). Effets des ultrasons sur la distribution granulométrique et matières organiques des sols. Science du Sol, 29(2), 95-106.
Buyanosky, G. A., Aslam, M., & Wagner, G. H. (1994). Carbon turnover in soil physical fractions. Soil Science Society of American Journal, 58(4), 1167-1173. https://doi.org/10.2136/sssaj1994.03615995005800040023x
Carter, M. R., Angers, D. A., Gregorich, E. G., & Bolinder, M. A. (2003). Characterizing organic matter retention for surface soils in eastern Canada using density and particle size fractions. Canadian Journal of Soil Science, 83(1), 11-23. https://doi.org/10.4141/S01-087
Chenu, C., & Plante, A. F. (2006). Clay-sized organo-mineral complexes in a cultivation chronosequence: revisiting the concept of the ‘primary organo-mineral complex’. European Journal of Soil Science, 57(4), 596-607. https://doi.org/10.1111/j.1365-2389.2006.00834.x
Christensen, B. T. (1985). Carbon and nitrogen in particle size fractions isolated from Danish arable soils by ultrasonic dispersion and gravity-sedimentation. Acta Agriculturae Scandinavica, 35(2), 175-187. https://doi.org/10.1080/00015128509435773
Christensen, B. T. (1992). Physical fractionation of soil and organic matter in primary particle size and density separates. In B. A. Stewart (Eds.). Advances in Soil Science, vol. 20 (pp. 1-90). New York, NY, USA: Springer. https://doi.org/10.1007/978-1-4612-2930-8_1
Christensen, B. T. (2001). Physical fractionation of soil and structural and functional complexity in organic matter turnover. European Journal of Soil Science, 52(3), 345-353. https://doi.org/10.1046/j.1365-2389.2001.00417.x
Coleman, K., & Jenkinson, D. S. (1996). RothC-26.3: A model of the turnover of carbon in soil. In D. S. Powlson, P. Smith, & J. U. Smith (Eds.). Evaluation of soil organic matter models using existing long-term datasets (pp. 237-246). Heidelberg, Berlin: Spinger-Verlag. https://doi.org/10.1007/978-3-642-61094-3_17
Covaleda, S., Pajares, S., Gallardo, J. F., & Etchevers, J. D. (2006). Short-term changes in C and N distribution in soil particle size fractions induced by agricultural practices in a cultivated volcanic soil from Mexico. Organic Geochemistry, 37(12), 1943-1948. https://doi.org/10.1016/j.orggeochem.2006.09.001
Covaleda, S., Gallardo, J. F., García‐Oliva, F., Kirchmann, H., Prat, C., Bravo, M., & Etchevers, J. D. (2011). Land‐use effects on the distribution of soil organic carbon within particle‐size fractions of volcanic soils in the Transmexican Volcanic Belt (Mexico). Soil Use and Management, 27(2), 186-194. https://doi.org/10.1111/j.1475-2743.2011.00341.x
Freitas, P. L., Blancaneaux, P., Gavinelli, E., Larré-Larrouy, M. C., & Feller, C. (2000). Nível e natureza do estoque orgânico de Latossolos sob diferentes sistemas de uso e manejo. Pesquisa Agropecuária Brasileira, 35, 157-170.
Dungait, J. A. J., Hopkins, D. W., Gregory, A. S., & Whitmore, A. P. (2012) Soil organic turnover is governed by accessibility not recalcitrance. Global Change Biology, 18(6), 1781-1796. https://doi.org/10.1111/j.1365-2486.2012.02665.x
Elliot, E. T., Paustian, K., & Frey, S. D. (1996). Modeling the measurable or measuring the modelable: a hierarchical approach to isolating meaningful soil organic matter fractionations. In D. S. Powlson, P. Smith, & J. U. Smith (Eds.). Evaluation of soil organic matter models (pp. 161-179). Heidelberg, Berlin: Springer-Verlag. https://doi.org/10.1007/978-3-642-61094-3_12
Elustondo, J., Angers, D. A., Laverdier, M. R., & N’Dayegamiye, A. (1990). Étude comparative de l’agrégation et de la matière organique associée aux fractions granulométriques de sept sols sous culture de mais ou en praire. Canadian Journal of Soil Science, 70(3), 395-402. https://doi.org/10.4141/cjss90-039
Gavinelli, E., Feller, C., Larré-Larrouy, M. C., Bacye, B., Djegui, N., & Nzila, J. D. (1995). A routine method to study soil organic matter by particle-size fractionation: examples for tropical soils. Communications in Soil Science and Plant Analysis, 26(11-12), 1749-1760. https://doi.org/10.1080/00103629509369406
Hansen, S., Jensen, H. E., Nielsen, N. E., & Svendsen, H. (1991). Simulation of nitrogen dynamics and biomass production in Winter wheat using the Danish simulation model DAISY. Fertilizer Research, 27(2), 245-259. https://doi.org/10.1007/BF01051131
Hassink, J. (1997). The capacity of soils to preserve organic C and N by their association with clay and silt particles. Plant and Soil, 191(1), 77-87. https://doi.org/10.1023/A:1004213929699
Hidalgo, C., Paz, F., & Etchevers, J. (2012). Efecto de las energías de dispersión en la distribución del carbono orgánico por fracciones físicas del suelo. En F. Paz, M. Bazan, R. M. Cuevas, & V. Saynes (Eds.). Dinámica del carbono en el suelo 2012 (pp. 66-72). Texcoco, Estado de México, México: PMC-SMCS.
Jenkinson, D. S. (1990). The turnover of organic carbon and nitrogen in soil. Philosophical Transactions of the Royal Society of London. Series B: Biological Sciences, 329(1255), 361-368. https://doi.org/10.1098/rstb.1990.0177
Lal, R. (2009). Challenges and opportunities in soil organic matter research. European Journal of Soil Science, 60(2), 158-169. https://doi.org/10.1111/j.1365-2389.2008.01114.x
Lavallee, J. M., Soong, J. L., & Cotrufo, M. F. (2019). Conceptualizing soil organic matter into particulate and mineral-associated forms to address global change in the 21st century. Global Change Biology, 26(1), 261-273. https://doi.org/10.1111/gcb.14859
Matus, F. (2021). Fine silt and clay content is the main factor def ining maximal C and N accumulation in soils: a meta-analysis. Scientif ic Reports, 11, 6438. https://doi.org/10.1038/s41598-021-84821-6
Matus, F., Hidalgo, C., Monreal, C., Estrada, I., Fuentes, M., & Etchevers, J. (2011). Land use impacts on physical-based soil organic matter fractions on three hillside ferrasols in Mexico. Chilean Journal of Agricultural Research, 71(2), 283-292.
Matus, F., Garrido, E., Hidalgo, C., Paz, F., Etchevers, J., Merino, C., & Báez, A. (2016). Carbon saturation in the silt and clay particles in soils with contrasting mineralogy. Terra Latinoamericana, 34(3), 311-319.
North, P. F. (1976). Towards an absolute measurement of soil structural stability using ultrasound. European Journal of Soil Science, 27(4), 451-459. https://doi.org/10.1111/j.1365-2389.1976.tb02014.x
Oorts, K., Vanlauwe, B., Recous, S., & Merckx, R. (2005). Redistribution of particulate organic matter during ultrasonic dispersion of highly weathered soils. European Journal of Soil Science, 56(1), 77-91. https://doi.org/10.1111/j.1351-0754.2004.00654.x
Paz, F., Hidalgo, C., & Etchevers, J. (2012). Análisis y modelación de las energías de dispersión en la distribución del carbono orgánico en los suelos por fracciones físicas. En F. Paz, & R. Cuevas (Eds.). Estado actual del conocimiento del ciclo del carbono y sus interacciones en México: Síntesis a 2011 (pp. 240-247). Serie síntesis nacionales. Texcoco, Estado de México, México: Programa Mexicano del Carbono. ISBN 978-607-715-085-5
Paz, F., & Etchevers, J. (2016). Distribución a profundidad del carbono orgánico en los suelos de México. Terra Latinoamericana, 34(3), 339-355.
Paz, F., Covaleda, S., & Etchevers, J. (2014). Distribución del carbono orgánico en los diferentes tamaños de partículas del suelo: modelo simple de cinética lineal. Terra Latinoamericana, 32(2), 127-142.
Paz, F., Covaleda, S., Hidalgo, C., Etchevers, J., & Matus, F. (2016). Modelación simple y operativa de la distribución del carbono orgánico por fracciones físicas en los suelos. Terra Latinoamericana, 34(3), 321-337.
Paustian, K., Collins, H. P., & Paul, E. A. (1997). Management controls on soil carbon. In E. A. Paul, E.T. Elliott, K. Paustian, & C.V. Cole (Eds.).Soil Organic Matter in Temperate Agroecosytems: Long Term Experiments in North America (pp. 15-49). Boca Raton, FL, USA: CRC Press.
Roscoe, R., Buurman, P., & Velthorst, E. J. (2000). Disruption of soil aggregates by varied amounts of ultrasonic energy in fractionation of organic matter of a clay Latosol: carbon, nitrogen and δ13 C distribution in particle-size fractions. European Journal of Soil Science, 51(3), 445-454. https://doi.org/10.1046/j.1365-2389.2000.00321.x
Six, J., Conant, R. T., Paul, E. A., & Paustian, K. (2002). Stabilization mechanisms of soil organic matter: implications for C-saturation of soils. Plant and Soil, 241(2), 155-176. https://doi.org/10.1023/A:1016125726789
Skjemstad, J. O., Spouncer, L. R., Cowie, B., & Swift, S. (2004). Calibration of the Rothamsted organic carbon turnover model (RothC ver. 26.3), using measurable soil organic carbon pools. Australian Journal of Soil Research, 42(1), 79-88.
Verberne, E. L. J., Hassink, J., de Willigen, P., Groot, J. J. R., & Van Veen, J. A. (1990). Modelling organic matter dynamics in different soils. Netherlands Journal of Agricultural Science, 38(3A), 221-238. https://doi.org/10.18174/njas.v38i3A.16585
Zimmermann, M., Leifeld, J., Schmidt, W. W. I., Smith, P., & Fuhrer, J. (2007). Measured soil organic matter fractions can be related to pools in the RothC model. European Journal of Soil Sciences, 58(3), 658-667. https://doi.org/10.1111/j.1365-2389.2006.00855.x
Notas
Notas de autor
‡ Autor para correspondencia (ferpazpel@gmail.com)