Agricultura Sustentable: Investigación en América Latina
Uso de extractos botánicos para el control de pulgón (Myzus persicae: Aphididae) y mosca blanca (Bemisia tabaci: Aleyrodidae) en el cultivo de pimiento (Capsicum anuum: Solanaceae), en Ecuador
Use of botanical extracts to control the aphid (Myzus persicae: Aphididae) and whitefly (Bemisia tabaci: Aleyrodidae) in pepper crop (Capsicum anuum: Solanaceae), in Ecuador
Uso de extractos botánicos para el control de pulgón (Myzus persicae: Aphididae) y mosca blanca (Bemisia tabaci: Aleyrodidae) en el cultivo de pimiento (Capsicum anuum: Solanaceae), en Ecuador
Terra Latinoamericana, vol. 40, e1454, 2022
Sociedad Mexicana de la Ciencia del Suelo A.C.
Recepción: 18 Febrero 2022
Aprobación: 21 Marzo 2022
Financiamiento
Fuente: Fondo Competitivo de Investigación Científica y Tecnológica (FOCICYT)
Nº de contrato: PFOC7-20-2020
Resumen: Los extractos botánicos son ampliamente usados para el control de plagas en la agricultura, sin embargo, muy poco se conoce sobre su efecto en el control del pulgón verde (Myzus persicae) y mosca blanca (Bemisia tabaci). M. persicae y B. tabaci son especies altamente perjudiciales para el cultivo de pimiento debido al hábito chupador que poseen y por ser vectores de enfermedades. El objetivo de este estudio fue evaluar el efecto insecticida de extractos de ruda (Ruta graveolens), cebolla (Allium cepa), flor de muerto (Tagetes sp.) y menta (Mentha pulegium) como alternativa ecológica para el control del pulgón verde y mosca blanca en el cultivo de pimiento. Plántulas de pimiento fueron trasplantadas en campo y distribuidas utilizando el diseño de bloques al azar con cinco tratamientos (T1: extracto de ruda; T2: extracto de cebolla; T3: extracto de flor de muerto; T4: extracto de menta; T5: testigo (Imidacloprid) y tres repeticiones. Los parámetros evaluados fueron: porcentaje de incidencia, densidad y fluctuación poblacional de M. persicae y B. tabaci en el cultivo de pimiento, así como, su efecto en las variables agronómicas y productivas. El uso de extractos botánicos de ruda, cebolla, flor de muerto y menta redujeron la incidencia y densidad poblacional de M. persicae y B. tabaci en el cultivo de pimiento, sin embargo, la acción insecticida de ruda y flor de muerto fueron significativamente más evidentes para B. tabaci (P < 0.05). La fluctuación poblacional de M. persicae y B. tabaci fue alterada al utilizar extractos botánicos. La aplicación de extractos de ruda, cebolla, flor de muerto y menta no influyó en el peso y diámetro del fruto o en el rendimiento del cultivo (P > 0.05); por lo que su uso debe ser considerado en los programas de manejo y control agroecológico de estas plagas.
Palabras clave: Control, hemípteros, Ruta graveolens, Tagetes sp.
Summary: Botanical extracts are widely used for the control and management of pests in agriculture. However, very little is known about their effect on the control of green aphid (Myzus persicae) and whitefly (Bemisia tabaci). M. persicae and B. tabaci are species that are highly detrimental to the pepper crop due to their sucking habit and because they are disease vectors. This study aimed to evaluate the insecticidal effect of extracts of rue (Ruta graveolens), onion (Allium cepa), marigold (Tagetes sp.), and mint (Mentha pulegium) as an ecological alternative for the control of green aphids and whiteflies in pepper crop. Pepper seedlings were transplanted in the field and distributed using a randomized block design with five treatments (T1: rue extract; T2: onion extract; T3: marigold extract; T4: mint extract; T5: control (Imidacloprid) and three replications. The parameters evaluated were the percentage of incidence, density, and population fluctuation of M. persicae and B. tabaci in the pepper crop, as well as its effect on the agronomic and productive variables. The use of botanical extracts of rue, onion, marigold, and mint reduced the incidence and population density of M. persicae and B. tabaci in pepper crops. However, the insecticidal action of rue and marigold were significantly evident for B. tabaci (P < 0.05). The population fluctuation of M. persicae and B. tabaci was altered by using botanical extracts. The application of extracts of rue, onion, marigold, and mint did not influence the weight and diameter of the fruit, nor affect the pepper crop (P > 0.05). Therefore, its use should be considered in management programs and agroecological control of these pests.
Index words: Control, hemipterans, Ruta graveolens, Tagetes sp.
Introducción
En Ecuador, el uso de insecticidas representa la principal alternativa para el control de plagas (Chirinos et al., 2020). Los pesticidas se utilizan con el objetivo de mejorar la calidad y obtener un alto rendimiento de los cultivos, sin embargo, algunos pesticidas se aplican a los cultivos durante todo el periodo de crecimiento y, a veces, en la etapa de fructificación; otros se utilizan para proteger el producto después de la cosecha, y estos son absorbidos por los vegetales, que resultan nocivos cuando es consumido por humanos (Donkor et al., 2016).
El pimiento (Capsicum annuum L.) es considerado una hortaliza de gran importancia económica para Ecuador y el mundo (Franco-Ruiz, Veliz, Solís y Celi, 2021). En Ecuador el pimiento es cultivado a pequeña, mediana y grande escala, alcanzando una producción de 5 500 toneladas en 1 700 hectáreas sembradas (Reyes-Pérez, Luna, Reyes, Zambrano y Vázquez, 2017). Sin embargo, la presencia de plagas afecta los rendimientos, así como la calidad del pimiento (Franco-Ruiz et al., 2021).
Entre los principales organismos plaga del cultivo de pimiento encontramos a los áfidos Aphis gossypii Glover y Myzus persicae Sulzer (Hemiptera: Aphididae), a la mosca blanca Bemisia tabaci Gennadius (Hemiptera: Aleyrodidae), y ácaros como Polyphagotarsonemus latus Banks (Acari: Tarsonemidae) y Tetranychus urticae Koch (Acari: Tetranychidae) (Sinaie, Sadeghi-Namaghi y Fekrat, 2019; Chirinos et al., 2020; Martínez et al., 2021).
Los daños que ocasionan los pulgones, mosca blanca y ácaros en el pimiento se deben al tipo de aparato bucal que poseen, tienen la capacidad de succionar la sabia de hojas, flores y frutos; producen manchas cloróticas, manchas oscuras o rojas, amarillamiento, abscisión prematura de las hojas infestadas, estrés hídrico; marchitamiento, reducción del crecimiento, maduración irregular del fruto, por lo que, la calidad y el rendimiento de los cultivos es afectado (Xue, Wang, Bi, Li y Liu, 2010; Mao y Zeng, 2013; Fonte, Garcerá, Tena y Chueca, 2019). Adicionalmente, muchas especies de las antes mencionadas son consideradas importantes vectores de virus en el cultivo de pimiento y otras hortalizas (Castresana y Puhl, 2018; Allegrucci et al., 2020; Fortes, Fernández y Moriones, 2020).
La falta de técnicas de manejo y control de insectos plaga y otros artrópodos en el cultivo de pimiento ha provocado el continuo y excesivo uso de moléculas insecticidas como carbamatos, organofosforados, neonicotinoides y piretroides (Castresana y Puhl, 2018; Chirinos et al., 2020). La preocupación sobre los problemas ambientales y de salud asociados a los plaguicidas sintéticos que actualmente son usados en la agricultura, ha conducido a una intensa búsqueda para encontrar alternativas adicionales que sean seguras y eficaces en el control de plagas (Hernández-Moreno et al., 2013).
Entre los métodos de control de insectos-plaga se encuentra el uso de insecticidas botánicos (Rahman, Biswas, Barman y Ferdous, 2016; Rioba y Stevenson, 2020). Los insecticidas botánicos pueden responder a la necesidad de compuestos más seguros para proteger plantaciones del ataque de una amplia gama de plagas (Addor, 1995; Hernández-Moreno et al., 2013). Las plantas superiores o vasculares contienen gran diversidad de compuestos químicos que incluyen: alcaloides, esteroides, fenoles, saponinas, resinas, aceites esenciales, varios ácidos orgánicos y otros compuestos (Said y Pashte, 2015). Estos grupos de compuestos, pueden ocasionar la mortalidad de la plaga, causar repelencia, afectar el crecimiento y desarrollo del insecto, tener efectos antialimentares y otras alteraciones en su comportamiento y fisiología (Pino, Sánchez y Rojas, 2013; Gholamzadeh-Chitgar y Pourmoradi, 2017).
Aunque la eficacia para los extractos botánicos ha sido comprobada para el control de varios artrópodos plagas, en Ecuador se desconoce el potencial insecticida que existe en los extractos de especies como ruda (Ruta graveolens), cebolla (Allium cepa), flor de muerto (Tagetes sp.) y menta (Mentha pulegium). En este sentido, el objetivo principal del presente estudio fue evaluar el efecto insecticida de extractos botánicos en el control de M. persicae y B. tabaci en el cultivo de pimiento, así como, sobre sus características agronómicas y de producción.
Materiales y Métodos
Localización
El estudio se realizó en el campus experimental “La María” (Universidad Técnica Estatal de Quevedo), localizada en el cantón Mocache, km 7 de la vía Quevedo-El Empalme (Coordenadas geográficas: 79° 32’ O y 01° 05’ S). El sitio de estudio se encuentra a una altitud de 75 m y presenta temperatura media y precipitación anual de 23.3 °C y 2256.4 mm respectivamente.
Diseño del experimento
Para el siguiente estudio se utilizó el diseño de bloques completamente al azar (DBCA) con cinco tratamientos y tres repeticiones. El experimento fue desarrollado en un área de 120 m2, dividido en 15 parcelas experimentales de 8 m2, dejando entre parcela una distancia de 1 m, para minimizar efectos de borde. Los tratamientos evaluados fueron: aplicación de extracto de ruda (T1), extracto de cebolla (T2), extracto de flor de muerto (T3), extracto de menta (T4) en dosis de 1 L extracto 19 L-1 de agua y la aplicación de insecticida sintético (IMIDALAQ SC; Imidacloprid, suspensión concentrada 350 g de ingrediente activo L-1; Sinochem Ningbo Ltd., Zhejiang, China) en dosis de 0.05 L 20 L-1 de agua.
Manejo del cultivo de pimiento
Para el estudio, se utilizó el híbrido Quetzal, (pimentón tipo Marconi, Seminis, San Luis, Misuri, Estados Unidos). La siembra de la semilla se realizó en bandejas de plástico de 128 celdas con 250 gramos/celda de sustrato a base de fibra de coco (Sarduy, Díaz, Castellanos, Soto y Pérez, 2016). Diariamente se revisó el crecimiento y desarrollo de las plantas de pimiento que se encontraba en el almácigo. La siembra en el sitio definitivo se realizó una vez que las plantas alcanzaron treinta días de edad; se utilizó el distanciamiento de siembra de 0.80 m entre hilera y 0.40 m entre planta (25 plantas parcela-1). Previo al trasplante se preparó el terreno y verificó las condiciones nutricionales del suelo a través del análisis químico. De acuerdo a los resultados obtenidos en el análisis químico de suelo y los requerimientos nutricionales del cultivo de pimiento, se optó por la utilización de los fertilizantes edáficos: urea, superfosfato triple y muriato de potasio fraccionado en tres aplicaciones. El riego de las plantas de pimiento se realizó de acuerdo a la necesidad hídrica del cultivo verificando la capacidad de campo y punto de marchitez. El control de malezas se realizó manualmente.
Preparación de extractos botánicos
La elaboración de los extractos botánicos fue realizada utilizando la metodología de López-Sariego, Urbano y López (2015). Para la elaboración de extractos de R. graveolens y M. pulegium se utilizaron 100 g de hojas respectivamente, para Tagetes sp. se utilizaron 100 g de flores y para el extracto de cebolla se utilizó 10 g del bulbo. Posterior a ello, la cantidad obtenida fue sumergida de forma independiente en 1 L de agua destilada contenida en una olla de aluminio. La mezcla fue sometida a 80 ºC durante un periodo de 20 minutos, se dejó en reposo y con ayuda de un tamiz se realizó el proceso de filtrado para eliminar residuos.
Aplicación de extractos botánicos
Los extractos botánicos fueron aplicados sobre el follaje de las plantas de pimiento a los 10, 20, 35, 50 y 65 días posteriores al trasplante. Para las aplicaciones se utilizó una bomba a mochila (Jacto, 20 L) equipada con boquilla tipo cónica. Debido a que los extractos vegetales son fácilmente degradables a altas temperaturas, lluvias y luz ultra violeta, se adicionó a la solución preparada el coadyuvante a base de lecitina de soya (Lecithin Silicon Max, Inducampo, Guayaquil, Ecuador) (100 ml L-1 de agua) con el objetivo de mejorar la penetración de los extractos en la planta y evitar su evaporación (Castresana y Puhl, 2018).
Variables evaluadas
Porcentaje de incidencia de M. persicae y B. tabaci. Posterior a la identificación taxonómica de las especies M. persicae y B. tabaci se procedió a monitorear las parcelas de estudio. Fue posible verificar el porcentaje de incidencia de M. persicae y B. tabaci utilizando la siguiente ecuación:
Para cada parcela evaluada se verificó el porcentaje de incidencia dos días antes y dos días después de la aplicación de cada tratamiento (extractos botánicos o insecticida).
Densidad poblacional de M. persicae y B. tabaci. La densidad poblacional de M. persicae y B. tabaci fue determinada utilizando la metodología propuesta por Castresana y Puhl (2018). Se registró el número total de insectos observados en el envés de cuatro hojas ubicadas en el estrato medio de la planta. Fueron evaluadas 15 plantas seleccionadas aleatoriamente por cada una de las parcelas. Para identificar la densidad poblacional de M. persicae y B. tabaci en los diferentes tratamientos se consideró el número total de individuos observados dos días antes y dos días después de cada aplicación de los tratamientos.
Fluctuación poblacional de M. persicae y B. tabaci. Durante un periodo de tres meses se estimó la densidad poblacional de M. persicae y B. tabaci, lo que permitió; verificar el comportamiento de las poblaciones de las dos especies con respecto al tiempo y aplicación de los diferentes tratamientos (extractos botánicos e insecticida). La evaluación de fluctuación poblacional se realizó dos días antes y dos días después de cada aplicación de los tratamientos.
Evaluación de variables agronómicas y productivas del pimiento. En la última etapa vegetativa del cultivo de pimiento se realizó la evaluación de las variables agronómicas y productivas. La altura de la planta se midió una vez que comenzó el periodo de cosecha. La medición de la variable altura se realizó desde el nivel del suelo hasta la base de la última hoja de la planta (cm), fueron evaluadas 15 plantas seleccionadas aleatoriamente por cada parcela. Durante el tercer periodo de cosecha se seleccionaron 10 frutos al azar por cada parcela para evaluar el peso (g). Para obtener el peso del fruto se utilizó una balanza electrónica (Camry, Modelo EK9450). Adicionalmente, se registró el diámetro del fruto (cm) utilizando un calibrador manual. La longitud del fruto (cm), fue verificada midiendo desde la base del fruto hasta el ápice utilizando una cinta métrica. El rendimiento del cultivo de pimiento por cada parcela se calculó a partir del peso de los frutos cosechados y de la densidad de siembra (Elizondo y Monge, 2016).
Análisis estadísticos. La fluctuación de la población de M. persicae y B. tabaci fue analizada descriptivamente; mientras que, la densidad poblacional y el porcentaje de incidencia fueron sujetos al análisis no paramétrico de Kruskall Wallis. Para comparar los tratamientos se utilizó la prueba pareada Post-hoc de Dunn. Las variables de altura de planta, peso del fruto, diámetro del fruto, longitud del fruto y rendimientos fueron evaluadas utilizando el análisis de varianza y comparadas sus mediadas con el test de Tukey (P < 0.05). La normalidad y heterogeneidad de las varianzas de los datos obtenidos fueron verificados utilizando el test de Shapiro-Wilk’s y Bartlett’s. El programa RStudio (2020) fue utilizado para realizar los análisis.
Resultados y Discusión
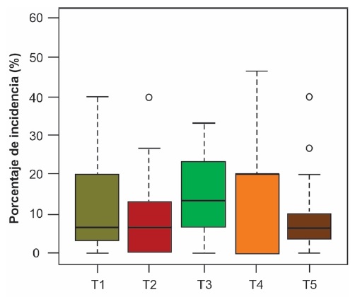
El porcentaje de incidencia de M. persicae evaluado en parcelas tratadas con extractos de ruda (R. graveolens), cebolla (A. cepa), flor de muerto (Tagetes sp.), menta (M. pulegium) e insecticida (IMIDALAC SC) (testigo) indicaron que no existe diferencias entre los tratamientos (H= 4.4; df= 4; P = 0.335) (Figura 1).

El potencial insecticida de extractos de ruda, flor de muerto, cebolla y menta ha sido previamente verificado en una variedad de insectos plaga (Kumar, Mishra, Malik y Satya, 2011; Santos et al., 2016; Ghramh et al., 2020), su uso puede causar repelencia, deterrencia, mortalidad o de forma general afectar aspectos fisiológicos y comportamentales de los insectos (Ghabbari et al., 2018; Pang et al., 2019; Fabrick, Yool y Spurgeon, 2020). Para M. persicae, el uso de extracto de Allium, Ruta y Mentha tiene efectos repelentes (Ikeura, Kobayashi y Hayata, 2012; Czerniewicz, Chrzanowski, Sytykiewicz, Sprawka y Leszczyński, 2016; Castresana y Puhl, 2021), mientras que, el aceite de Tagetes reduce la población de M. persicae (Tomova, Waterhouse y Doberski, 2005; Madanat, Al Antary y Zarqa, 2016). Los resultados obtenidos en este estudio sugieren que, el uso de extractos botánicos e insecticida reducen el porcentaje de incidencia del pulgón M. persicae.
En contraste, el porcentaje de incidencia de B. tabaci evaluado en plantas de pimiento tratadas con extractos botánicos e insecticida presentaron diferencias significativas entre los tratamientos (H= 19.7; df= 4; P < 0.05) (Figura 2). La utilización de extractos botánicos de R. graveolens, Tagetes sp. y M. pulegium, redujo el porcentaje de incidencia de mosca blanca. Los resultados obtenidos coinciden con estudios en donde indican que el uso de extractos de R. graveolens, Tagetes patula y Mentha spp., tienen actividad insecticida contra B. tabaci en cultivos agrícolas como el tomate, frejol, sésamo respectivamente ( Iram, et al., 2014; Rodríguez-Montero, Berrocal, Campos y Madriz, 2020; Fabrick et al., 2020).

Al utilizar extracto de A. cepa, la incidencia de mosca blanca fue mayor (82%) con respecto a los otros tratamientos. Los resultados de este estudio indicaron que, B. tabaci es menos susceptible al extracto de A. cepa, coincidiendo con trabajos realizados por Hilje y Mora (2006); Saleem, Khan, Rehman y Mustafa (2018) y Abbas et al., (2020).
Al analizar la densidad poblacional de M. persicae expuestos a extractos botánicos y al tratamiento con insecticida se evidenció que, no existe diferencias significativas en la densidad de M. persicae entre los tratamientos evaluados (H= 6.4; df= 4; P = 0.159) (Figura 3). El uso de extractos botánicos e insecticida redujo la densidad poblacional de los pulgones. No en tanto, para B. tabaci se observaron diferencias entre los tratamientos (H= 16.7; df= 4; P < 0.05) (Figura 4), notándose que, el extracto de A. cepa fue el tratamiento con la mayor densidad poblacional obtenida entre los tratamientos. Los resultados de densidad poblacional están directamente relacionados con los obtenidos y discutidos previamente en la variable porcentaje de incidencia.


El comportamiento de la fluctuación poblacional de la especie M. persicae en el cultivo de pimiento antes y después de la aplicación de extractos botánicos se muestra en la Figura 5, mientras que, para B. tabaci es indicada en la Figura 6. La población del pulgón M. persicae durante la primera evaluación osciló entre 39 a 52 individuos/tratamiento. Posterior a la aplicación de los extractos e insecticida hubo una notable reducción en su población, la cual, fue constante hasta la última evaluación realizada. Aunque no se encontraron diferencias en la densidad poblacional de los pulgones expuestos a los tratamientos (P > 0.05), se evidenció que, en especial, el uso de extracto de A. cepa redujo la cantidad de pulgones cada vez que se aplicó el extracto sobre las plantas de pimiento (Figura 5).

Los bulbos de cebolla (A. cepa) contienen varios compuestos químicos, como aceites esenciales, cicloalilina, metilalilina, dihidroalilina y otros compuestos como flavonoides, fenoles, terpenoides, antocianinas y aminoácidos (Adnani, Rahmah, Fitrianingsih y Setiawan, 2020), los cuales estarían relacionados con los efectos de repelencia sobre una diversidad de especies de insectos en la que podemos incluir a M. persicae (Ikeura et al., 2012).
En el caso de B. tabaci la población muestreada inicial fue de 35 a 69 individuos/tratamiento, después de la primera aplicación de los tratamientos únicamente se evidenció reducción de la población al utilizar extracto de M. pulegium e insecticida. En la siguiente evaluación se notó que la población de mosca blanca era menor comparada con la evaluación inicial, pero al hacer uso nuevamente de los extractos e insecticida la población se redujo drásticamente con excepción del tratamiento en el que se usó extracto de A. cepa. En las siguientes evaluaciones se comprobó que, la reducción de la población de mosca blanca fue más evidente utilizando extracto de Tagetes sp., R. graveolens e insecticida (Figura 6).

La flor de muerto (Tagetes sp.), contiene compuestos que producen antibiosis, efectos antialimentares o repelentes en diversas especies de insectos. El uso de extractos de Tagetes aplicados sobre B. tabaci tiene efectos directos sobre el comportamiento (repelencia o deterrencia alimentaria) pero también puede causar mortalidad (Fabrick et al., 2020). Las plantas de R. graveolens tienen glucósidos (rutina), lactonas aromáticas, glucósidos de antocianinas, alcaloides, metilcetonas, flavonoides, rutalina, rutacridona y terpenos (a-pineno, limoneno, cineol) (Barbosa et al., 2011). R. graveolens tiene efectos sobre la mortalidad de B. tabaci (Barbosa et al., 2011, Romero, Morales, Pino, Cerneli y González, 2015; Rodríguez-Montero et al., 2020).
Los extractos botánicos evaluados contienen moléculas insecticidas que permiten el control de B. tabaci. Sin embargo, es necesario realizar nuevas investigaciones para identificar las moléculas específicas causantes de toxicidad en B. tabaci, así como sus modos de acción con el objetivo de evaluar su potencial como alternativas a los plaguicidas sintéticos convencionales.
Con relación a las variables agronómicas y productivas del pimiento se evidenció que existen diferencias significativas entre los tratamientos para la variable de altura de planta (F4.218 = 5.35; P = 0.005) y longitud del fruto (F4.45 = 16.65; P < 0.001). El tratamiento en el que se utilizó insecticida obtuvo el valor más alto en la variable altura (59.64 cm), mientras que, los valores más altos de longitud del fruto se obtuvieron para el tratamiento en el que se utilizó insecticida y flor de muerto. No se encontraron diferencias significativas entre los tratamientos para las variables: peso de fruto (F4.45 = 0.46; P = 0.755); diámetro del fruto (F4.45 = 1.22; P = 0.314) y rendimiento del cultivo de pimiento (F4.8 = 0.58; P = 0.687) (Cuadro 1).

Los extractos de plantas pueden ser considerados como bioestimulantes que permiten la regulación/modificación de los procesos fisiológicos en las plantas para estimular el crecimiento, mitigar las limitaciones inducidas por el estrés y aumentar el rendimiento (Sheren, El-Hamied y El-Amary, 2015; Yakhin, Lubyanov, Yakhin y Brown, 2017).
De acuerdo a los resultados obtenidos, el uso de extractos vegetales no influyó en las variables productivas del cultivo de pimiento. Ligeras diferencias fueron observadas entre los tratamientos los cuales podrían estar asociados a los propios compuestos químicos del extracto botánico utilizado. Por lo tanto, estudios adicionales son necesarios para confirmar la influencia de extractos de ruda, cebolla, flor de muerto y menta en las variables de crecimiento y producción del pimiento.
Conclusiones
El uso de extractos botánicos de R. graveolens, A. cepa, Tagetes sp. y Mentha pulegium., aplicados en el cultivo de pimiento permitió la reducción de la incidencia y densidad poblacional del pulgón (Myzus persicae) y mosca blanca (Bemisia tabaci). Sin embargo, el extracto de R. graveolens y Tagetes sp. mostraron mayor eficiencia en el control de B. tabaci, por el contrario, el extracto de A. cepa mostró menor eficiencia en el control de esta especie. El análisis de fluctuación poblacional de individuos de M. persicae y B. tabaci permitió comprobar que la aplicación de extractos botánicos reduce la población especialmente de B. tabaci. La aplicación de extractos botánicos de R. graveolens, A. cepa, Tagetes sp. y Mentha pulegium no influyen en el peso, diámetro y rendimiento del fruto comparado con el tratamiento testigo (insecticida), su aplicación constituye una alternativa para sustituir el alto uso de insecticidas como el Imidacloprid por sustancias inocuas para el ser humano y otros organismos que conforman el agroecosistema. Los resultados obtenidos confirman que el uso de extractos botánicos especialmente de ruda (R. graveolens) y flor de muerto (Tagetes sp.) representan una opción agroecológica para el control de M. persicae y B. tabaci en el cultivo de pimiento y debe ser considerada su aplicación dentro de los programas de manejo integrado es estas especies plaga.
Declaración de Ética
No aplicable.
Consentimiento para Publicación
No aplicable.
Disponibilidad de Datos
No aplicable.
Conflicto de Intereses
Los autores declaran que no tienen intereses en competencia.
Fondos
Fondo Competitivo de Investigación Científica y Tecnológica (FOCICYT) 7ma Convocatoria, a través del proyecto PFOC7-20-2020.
Contribución de los Autores
Conceptualización, metodología, análisis de datos, escritura y revisión: M.C.V.R. Conceptualización, metodología, análisis estadístico, escritura y revisión: R.J.M.V. Metodología, análisis estadístico, escritura y revisión: F.A.P. Escritura y revisión: P.I.A.R. Escritura, preparación del borrador original, revisión y edición: M.C.V.R.
Agradecimientos
Los autores agradecen a la Universidad Técnica Estatal de Quevedo, por el apoyo otorgado a través del Fondo Competitivo de Investigación Científica y Tecnológica (FOCICYT) 7ma Convocatoria (Proyecto PFOC7-20-2020).
Literatura Citada
Abbas, W., Rehman, S., Rashid, A., Kamran, M., Atiq, M., & ul Haq, M. E. (2020). Comparative efficacy of different plant extracts to manage the cotton leaf curl virus disease and its Vector (Bemisia tabaci L.). Pakistan Journal of Agricultural Research, 33(1), 22-26. http://dx.doi.org/10.17582/journal.pjar/2020/33.1.22.26
Addor, R.W. (1995). Insecticides. En: C. R. A. Godfrey (Ed.). Agrochemicals from Natural Products (pp. 1-63). New York, NY, USA: Marcel Dekker Inc.
Adnani, B., Rahmah, Z., Fitrianingsih, A. A., & Setiawan, A. M. (2020). Potential test of ethanol extract from onion (Allium cepa L.) leaves as a repellent to Aedes Aegypti. Journal of Islamic Medicine, 4(1, 2), 65-75.
Allegrucci, N., Velazquez, M. S., Russo, M. L., Vianna, M. F., Abarca, C., & Scorsetti, A. C. (2020). Establishment of the entomopathogenic fungus Beauveria bassiana as an endophyte in Capsicum annuum and its effects on the aphid pest Myzus persicae (Homoptera: Aphididae). Revista de Biologia Tropical, 68(4), 1084-1094. http://dx.doi.org/10.15517/rbt.v68i4.41218
Barbosa-Silva, F., Leite-Demolin, G. L., Alves-Monteze, S., Nascimento-Fonseca, A., D’Ávila-de Abreu, V., & da Costa-Alves, C. (2011). Insecticide effects of Ruta graveolens, Copaifera langsdorffii and Chenopodium ambrosioides against pests and natural enemies in commercial tomato plantation. Acta Scientiarum. Agronomy, 33(1), 37-43. https://doi.org/10.4025/actasciagron.v33i1.5900
Castresana, J. E., & Puhl, L. (2018). Eficacia de insecticidas botánicos sobre Myzus persicae (Sulzer) y Aphis gossypii (Clover) (Hemiptera: Aphidiae) en el cultivo de pimiento (Capsicum annuum L.) bajo cubierta. Revista Colombiana de Ciencias Hortícolas, 12(1), 136-146. http://dx.doi.org/10.17584/rcch.2018v12i1.7344
Castresana, J., & Puhl, L. (2021). Botanical formulations for the ecological management of Myzus persicae (Sulzer) and Aphis gossypii (Clover) (Hemiptera: Aphididae) and their side effects on parasitoids. Revista de Ciencias Agrícolas, 38(1), 50-61 https://doi.org/10.22267/rcia.213801.144
Chirinos, D. T., Castro, R., Cun, J., Castro J., Peñarrieta-Bravo, S., Solis, L., & Geraud-Pouey, F. (2020). Insecticides and agricultural pest control: the magnitude of its use in crops in some provinces of Ecuador. Ciencia y Tecnología Agropecuaria, Mosquera (Colombia), 21(1), e1276.
Czerniewicz, P., Chrzanowski, G., Sytykiewicz, H., Sprawka, I., & Leszczyński, B. (2016). Aphicidal and deterrent activity of phenolic acid extracts from some herbal plants towards Myzus persicae Sulz. and Rhopalosiphum padi L. Fresenius Environmental Bulletin, 25(12), 5714-5721.
Donkor, A., Osei-Fosu, P., Dubey, B., Kingsford-Adaboh, R., Ziwu, C., & Asante, I. (2016). Pesticide residues in fruits and vegetables in ghana: a review. Environmental Science Pollution Research, 23, 18966-18987. https://doi.org/10.1007/s11356-016-7317-6.
Elizondo-Cabalceta, E., & Monge-Pérez, J. E. (2016). Caracterización morfológica de 12 genotipos de chile dulce (Capsicum annuum L.) cultivados en invernadero en Costa Rica. Tecnología en Marcha, 29(3), 60-72. https://doi.org/10.18845/tm.v30i2.3194.
Fabrick, J. A., Yool, A. J., & Spurgeon, D. W. (2020). Insecticidal activity of marigold Tagetes patula plants and foliar extracts against the hemipteran pests, Lygus hesperus and Bemisia tabaci. Plos One, 15(5), e0233511. https://doi.org/10.1371/journal.pone.0233511.
Fonte, A., Garcerá, C., Tena, A., & Chueca, P. (2019), CitrusVol Validation for the Adjustment of Spray Volume in Treatments against Tetranychus urticae in Clementines. Agronomy, 10(32), 1-24. https://doi.org/10.3390/agronomy10010032
Fortes, I. M., Fernández-Muñoz, R., & Moriones, E. (2020). Host Plant Resistance to Bemisia tabaci to control damage caused in tomato plants by the emerging crinivirus tomato chlorosis virus. Frontiers in Plant Science, 11, 1-9. https://doi.org/10.3389/fpls.2020.585510.
Franco-Ruiz, A., Veliz-Prado, K., Solís-Bowen, L., & Celi-Soto, A. (2021). Identificación de la entomofauna presente en el cultivo de pimiento (Capsicum annuun L.) en el sector Lodana del cantón Santa Ana, Ecuador. Manglar, 18(4), 397-402. http://dx.doi.org/10.17268/manglar.2021.051
Ghabbari, M., Guarino, S., Caleca, V., Saiano, F., Sinacori, M., Baser, N., … Verde, G. L. (2018). Behaviormodifying and insecticidal effects of plant extracts on adults of Ceratitis capitata. Journal of Pest Science, 91, 907-917. https://doi.org/10.1007/s10340-018-0952-6
Gholamzadeh-Chitgar, M., & Pourmoradi, S. (2017). An evaluation of the effect of botanical insecticide, palizin in comparison with chemical insecticide, imidacloprid on the black citrus aphid, Toxoptera aurantii Boyer de Fonscolombe and its natural enemy, Aphidius colemani Viereck, Journal of Plant Protection Research, 57(2), 101-106. https://doi.org/10.1515/jppr-2017-0013
Ghramh, H. A., Ibrahim, E. H., Kilnay, M., Ahmad, Z., Alhag, S. K., Khan, K. A., … Asiri, F. M. (2020). Silver nanoparticle production by Ruta graveolens and testing its safety, bioactivity, immune modulation, anticancer, and insecticidal potentials, Bioinorganic Chemistry and Applications, 2020, 1-11. https://doi.org/10.1155/2020/5626382
Hernández-Moreno, D., Soffers, A. E. M. F., Wiratno., Falke, H. E., Rietjens, I. M. C. M., & Murk, A. J. (2013). Consumer and farmer safety evaluation of application of botanical pesticides in black pepper crop protection. Food and Chemical Toxicology, 56, 483-490. http://dx.doi.org/10.1016/j.fct.2013.01.033
Hilje, L., & Mora, G. A. (2006). Promissory botanical repellents/deterrents for managing two key tropical insect pests, the whitefly Bemisia tabaci and the mahogany shootborer Hypsipyla grandella. In M. Rai, & M. Carpinella (Eds.). Naturally occurring bioactive compounds. Advances in phytomedicine. Vol. 3, Chapter 15 (pp. 379-403). Amsterdam, Holland: Elsevier
Iram, A., Khan, J., Aslam, N., ul-Haq, E., Javed, H., Irfan, M., … Aslam, S. (2014). Efficacy of plant derived oils and extracts against whitefly, Bemisia tabaci (Gennadius) on sesame crop. Pakistan Journal of Agricultural Research, 27(3), 250-254.
Ikeura, H., Kobayashi, F., & Hayata, Y. (2012). Repellent effect of herb extracts on the population of the wingless green peach aphids, Myzus persicae Sulzer (Hemiptera: Aphididae). Journal of Agricultural Science, 4(5), 139-144. http://dx.doi.org/10.5539/jas.v4n5p139
Kumar, P., Mishra, S., Malik, A., & Satya, S. (2011). Insecticidal properties of Mentha species: A review. Industrial Crops and Products, 34(1), 802-817. https://doi.org/10.1016/j.indcrop.2011.02.019
López-Sariego, M. C., Urbano, J. M., & López-Martínez, N. (2015). Efectos alelopáticos de extractos acuosos de arvenses sobre la germinación de trigo duro y Lolium rigidum. XV Congreso de la Sociedad Española de Malherbología. La Malherbología y la transferencia tecnológica (pp. 21-28). Sevilla, España: Consejería de Agricultura, Pesca y Desarrollo Rural. ISBN: 9788460827757
Madanat, H. M., Al Antary, T. M., & Zarqa, M. (2016). Toxicity of six ethanol plant extracts against the green peach aphid Myzus persicae Sulzer (Homoptera: Aphididae). Fresenius Environmental Bulletin, 25, 706-718.
Mao, J., & Zeng, F. (2013). Plant-mediated RNAi of a gap gene-enhanced tobacco tolerance against the Myzus persicae. Transgenic Research, 23, 145-152. https://doi.org/10.1007/s11248-013-9739-y
Martínez, M. A., Baños, H. L., Cuellar, L., del Toro, M., Sánchez A., Miranda, I., & Duarte, L. (2021). Diversidad y grupos funcionales de artrópodos en pimiento (Capsicum annuum L.) a campo abierto y casas de cultivo. Revista de Protección Vegetal, 36(1), 1-9.
Pang, X., Feng, Y. X., Qi, X. J., Wang, Y., Almaz, B., Xi, C., & Du, S. S. (2019). Toxicity and repellent activity of essential oil from Mentha piperita Linn. leaves and its major monoterpenoids against three stored product insects. Environmental Science and Pollution Research, 27, 7618-7627. https://doi.org/10.1007/s11356-019-07081-y
Pino, O., Sánchez, Y., & Rojas, M. M. (2013). Plant secondary metabolites as an alternative in pest management: Background, research approaches and trends. Revista de Protección Vegetal, 28(2), 81-94.
Rahman, S., Biswas, S. K., Barman, N. C., & Ferdous, T. (2016). Plant extract as selective pesticide for integrated pest management. Biotechnological Research, 2(1), 6-10.
Reyes-Pérez, J. J., Luna-Murillo, R. A., Reyes-Bermeo, M. R., Zambrano-Burgos, D., & Vázquez-Moran, V. F. (2017). Fertilización con abonos orgánicos en el pimiento (Capsicum annuum L.) y su impacto en el rendimiento y sus componentes. Centro Agrícola, 44(4), 88-94.
Rioba, N. B., & Stevenson, P. C. (2020). Opportunities and scope for botanical extracts and products for the management of fall armyworm (Spodoptera frugiperda) for smallholders in Africa. Plants, 9(2), 1-17. https://doi.org/10.3390/plants9020207
Rodríguez-Montero, L., Berrocal-Jiménez, A., Campos-Rodríguez, R., & Madriz-Martínez, M. (2020). Determinación de la actividad biocida de extractos vegetales para el combate de la mosca blanca Bemisia tabaci (Hemiptera: Aleyrodidae), Tecnología en marcha, 33(3), 117-129. https://doi.org/10.18845/tm.v33i3.4373
Romero, R., Morales, P., Pino, O., Cerneli, M., & González E. (2015). Actividad insecticida de seis extractos etanólicos de plantas sobre mosca blanca, Revista Protección Vegetal, 30(1), 11-16.
RStudio. (2020). RStudio User´s Guide. Version: Integrated Development for R. RStudio. Boston, MA, USA: RStudio Team.
Said, P. P., & Pashte, V. V. (2015). Botanicals: The Protectants of Stored Grains Pests. Trends in Biosciences, 8(15), 3750-3755.
Saleem, T., Khan, M. A., Rehman, A., & Mustafa, A. (2018). Evaluation of different plant extracts in reducing Bemisia tabaci and urdbean leaf crinkle virus (ulcv) disease incidence on greengram. Pakistan Journal of Phytopathology, 30(1), 07-10. https://doi.org/10.33866/phytopathol.030.01.0373
Santos, P. C., Santos, V. H. M., Mecina, G. F., Andrade, A. R., Fegueiredo, P. A., Moraes, V. M. O., ... Silva, R. M. G. (2016). Insecticidal activity of Tagetes sp. on Sitophilus zeamais Mots. International Journal of Environmental & Agriculture Research, 2(4), 31-38.
Sarduy-Diaz, M., Díaz-Aguila, I., Castellanos-González, L., Soto-Ortiz, R., & Pérez-Rodríguez, Y. (2016). Sustratos y soluciones nutritivas para la obtención de plántulas de pimiento y su influencia en la producción en cultivos protegido. Centro Agrícola, 43(4), 42-48.
Sheren, A., El-Hamied, A., & El-Amary, E. I. (2015). Improving growth and productivity of “Pear” trees using some natural plants extracts under north Sinai conditions. Journal of Agriculture and Veterinary Science, 8(1), 1-9.
Sinaie, S., Sadeghi-Namaghi, H., & Fekrat, L. (2019). Effects of elevated CO2 and water stress on population growth of the two-spotted spider mite, Tetranychus urticae Koch (Acari: Tetranychidae), on sweet pepper under environmentally controlled conditions. Journal of Asia-Pacific Entomology, 22, 96-102. https://doi.org/10.1016/j.aspen.2018.12.007
Tomova, B. S., Waterhouse, J. S., & Doberski, J. (2005). The effect of fractioned Tagetes oil volatiles on aphid reproduction. Entomologia Experimentalis et Applicata, 115, 153-159.
Xue, M., Wang, CH. X., Bi M. J., Li Q. L., & Liu T. X. (2010). Induced defense by Bemisia tabaci biotype B (Hemiptera: Aleyrodidae) in tobacco against Myzus persicae (Hemiptera: Aphididae). Environmental Entomology, 39(3), 883-891. https://doi.org/10.1603/EN09307
Yakhin, O. I., Lubyanov, A. A., Yakhin, I. A., & Brown, P. H. (2017). Biostimulants in plant science: A global perspective. Frontiers in Plant Science, 7(2049), 1-32. http://doi.org/10.3389/fpls.2016.02049
Notas
Notas de autor
‡ Autora para correspondencia (mvelez@uteq.edu.ec)