Artículo científico
Remediación de suelos contaminados con hidrocarburos empleando sustancias húmicas de vermicomposta
Remediation of soils contaminated with hydrocarbons using humic substances from vermicompost
Remediación de suelos contaminados con hidrocarburos empleando sustancias húmicas de vermicomposta
Terra Latinoamericana, vol. 41, e1656, 2023
Sociedad Mexicana de la Ciencia del Suelo A.C.
Recepción: 16 Enero 2023
Aprobación: 19 Mayo 2023
Resumen: La biorremediación utilizando sustancias húmicas es una de las técnicas recientes y prometedoras para la restauración de suelos contaminados por hidrocarburos, pero existe poca información sobre su comportamiento en los diversos tipos de suelo. Por estas razones, esta investigación tuvo como objetivo evaluar la remoción de hidrocarburos totales del petróleo o HTP en tres suelos con diferentes texturas (S1, S2 y S3) y tratados con enmiendas orgánicas de vermicomposta (cascarillas de cacao, Theobroma cacao; arroz, Oriza sativa; bagazo de caña, Saccharum officinarum; estiércol de vaca) y sustancias húmicas comerciales (humato de potasio). Se planteó un diseño experimental multifactorial aleatorio (3 × 3 × 2), constituido por tipo de suelo, enmienda orgánica (sin vermicomposta, con vermicomposta orgánica, con sustancias húmicas comerciales), y carga microbiana (con microorganismos, sin microorganismos). Los resultados fueron analizados mediante las pruebas ANOVA-Tukey en el programa Statgraphics Centurion TM V.18 (α = 0.05) con el fin de evaluar diferencias significativas entre los tratamientos. Los resultados muestran que S2 con vermicomposta orgánica tuvo la mayor remoción (86% de HTP) luego de 60 días de incubación, en comparación con el tratamiento con sustancias húmicas comerciales, relacionándose con la baja biodisponibilidad de microorganismos. Este comportamiento también se observó en S3, el cual tuvo un porcentaje de remoción de HTP de 77.52 y 63.4%. Finalmente, la tasa de crecimiento celular fue mejor en S2 con sustancias húmicas comerciales. Se obtuvo un crecimiento promedio de 94×104 UFC g-1 de suelo durante los 60 días de evaluación del experimento, y un máximo de 98×105 UFC g-1 de suelo a los 45 días de tratamiento. Se concluye que el uso de vermicomposta es adecuada para suelos arcillosos, ya que las tasas de degradación son mayores en ellos. Además, representan una alternativa de menor costo que los tratamientos sintéticos y de revalorización de residuos orgánicos.
Palabras clave: Microorganismos, petróleo, remediación, sustancias húmicas.
Summary: Bioremediation with humic substances is one of the recent and promising techniques for the restoration of soils contaminated by hydrocarbons, but little information is available on its behavior in different types of soil. For these reasons, this research aimed to evaluate the removal of total petroleum hydrocarbons (HTP) in three types of soil with different textures (S1, S2 and S3) and treated with organic vermicompost amendments (cocoa husks, Theobroma cacao; rice, Oriza sativa; sugarcane bagasse, Saccharum officinarum; cow manure) and commercial humic substances (potassium humate). A randomized multifactorial experimental design (3 × 3 × 2) was proposed, which consisted of the type of soil, organic amendment (without vermicompost, with organic vermicompost, commercial humic substances) and microbial load (with microorganisms, without microorganisms). The results were analyzed using the ANOVA-Tukey tests in the Statgraphics CenturionTM V.18 program (α = 0.05) in order to evaluate significant differences between treatments. The results show that S2 with the addition of organic matter had the highest removal (86% of HTP) after 60 days of incubation, compared to the treatment with commercial humic substances, which are related to the low bioavailability of the microorganisms. This behavior was also observed in S3 with a TPH percentage removal of 77.52 and 63.4% for S1. Finally, the cell growth rate was better in S2 with commercial humic substances. An average growth of 94 × 104 CFU g-1 of soil was obtained during the 60 days of evaluation of the experiment, and a maximum of 98×105 CFU g-1 of soil in the 45 days of treatment. To conclude, the use of vermicompost is adequate for clayey soils, since the degradation rates are higher in them. In addition, they represent a cheaper alternative to synthetic treatments and revaluation of organic waste.
Index words: Humic substances, microorganisms, petroleum, remediation.
Introducción
El petróleo es una de las principales fuentes de energía, algunos reportes mencionan que 94% de los combustibles empleados para transporte, provienen de este recurso natural. México es el 11° mayor productor de petróleo en el mundo, tan solo en 2020 se produjeron 20 143 000 barriles diarios, de los cuales, 63% fue de petróleo pesado, 28% mediano y 8% súper ligero. En ese año, el estado de Tabasco fue el principal productor en tierra con 2 480 922 barriles diarios (12.3% del total nacional), paralelamente, en ese periodo se registraron diversos derrames de hidrocarburos que afectaron cuerpos de agua y suelo (Martínez y Herrera, 2021; Rabelo-Avalos, Ramos, Díaz-Perera y Mesa, 2021).
En este sentido, los reportes indican que la mayor parte de los derrames han sido durante la extracción y transporte de hidrocarburos. Según Petróleos Mexicanos (PEMEX), en 2020 sucedieron aproximadamente 931 accidentes, afectando 1375 ha de suelos, en tanto que para 2019, sucedieron hasta 1070 eventos, lo cual resulta preocupante por las repercusiones que estos eventos ocasionan al ambiente (Varjani, 2017). Para restaurar estas zonas, se llevan a cabo diversos trabajos basados en técnicas físicas, químicas y biológicas, esta última emplea organismos para degradar o eliminar los contaminantes, con el fin de reducir los daños al ambiente y la salud pública (Juwarkar, Singh y Mudhoo, 2010; Zhao et al., 2018).
El vermicompostaje es una técnica de remediación biológica que ha sido probada como efectiva en la eliminación de un amplio rango de hidrocarburos del petróleo, mejorando su biodisponibilidad y estimulando el crecimiento de organismos nativos que degradan o convierten las diversas fracciones del petróleo. Por ejemplo, se han remediado sitios empleando hongos lignolíticos (actinomicetos y basidiomicetes) que producen enzimas lignolíticas (enzimas ligninolíticas peroxidasa dependientes de Mn, lignina peroxidasa y lacasa), además de otras enzimas como las lipasas y las fosfatasas ácidas, que se utilizan a menudo para estimar la actividad general de la comunidad microbiana (Košnář et al., 2019).
Durante el vermicompostaje se producen sustancias húmicas que estimulan la degradación de contaminantes hidrofóbicos. Su importancia ambiental es evidente, ya que constituyen el principal reservorio de carbono de la biósfera (1600 × 1015 g C) y representan 70% de la materia orgánica (MO) del suelo y alcanzan 25% del carbono orgánico disuelto en aguas subterráneas, 50% - 80% de MO disuelta en agua dulce y hasta 90% en pantanos y marismas (Lipczynska-Kochany, 2018).
No obstante, la biodegradación de los contaminantes estimulada por las sustancias húmicas depende de factores como el pH, temperatura, fuerza iónica y estado redox, de la estructura de un componente particular, así como la concentración de las sustancias húmicas. Diversos estudios han demostrado que la biodisponibilidad de los hidrocarburos está controlada por la interacción de la MO del suelo, por lo tanto, la intensidad de la sorción determina la biodisponibilidad. Las sustancias húmicas son de suma importancia en la remediación de suelos, ya que pueden reducir la toxicidad de los contaminantes transformándolos, secuestrándolos o separándolos en diferentes fases. Además, tienen el mismo efecto que un biosurfactante ya que mejoraran la desorción de hidrocarburos y aumentan su biodisponibilidad, pero son escasos los estudios comparativos en función de las propiedades de los suelos, lo cual ampliaría su aplicabilidad (Lipczynska-Kochany, 2018; Kulikova y Perminova, 2021).
Por estas razones, el objetivo de esta investigación fue evaluar la remoción de hidrocarburos totales del petróleo o HTP en tres suelos con diferentes clases texturales: S1: arcilloso, S2: arcilloso-limoso y S3: migajón arenoso; tratados con diferentes clases de abonos: vermicomposta comercial y sustancias húmicas comerciales (humato de potasio).
Materiales y Métodos
Muestreo y análisis de suelos
Se determinaron tres sitios de muestreo, el primero y segundo provenían de derrames de hidrocarburos (aproximadamente 7200 y 300 ha, respectivamente) y un tercero con presencia de fosas de residuos aceitosos (aproximadamente 78 ha). Todos los sitios corresponden a zonas inundables del estado de Tabasco, México. De estos sitios se tomaron muestras, con el fin de evaluar la remoción de HTP aplicando sustancias húmicas generadas por vermicompostaje aplicadas en diferentes texturas de suelos, se eligieron tres sitios con texturas diferentes (al tacto): 1) suelo arenoso del municipio de Paraíso, 2) suelo arcilloso-limoso de la zona de camellones Chontales de Jalpa de Méndez y Nacajuca, y 3) de Huimanguillo, con textura arcillosa (Figura 1).

Para hacer la toma de la muestra se trazó una rejilla de 50 cm × 50 cm en un área total de 50 m2 y se barrenó en las intersecciones (barrena de acero inoxidable de 70 cm × 5 cm) hasta donde se encontraba el nivel friático (entre 80 cm y 140 cm de profundidad). En campo se determinó la textura (al tacto), color (tabla de colores Munsell), pH (potenciómetro Hanna Hi9811-5) y conductividad eléctrica (conductímetro de campo). Primero, se recolectaron 100 g de suelo a 2 m de profundidad en las intersecciones, y se colocaron en frascos de vidrios color ámbar, estériles, que se conservaron en una hielera, para después refrigerarlas a 4 °C, para inhibir el metabolismo microbiano (Cuanalo-de la Cerda, 1990), para su posterior análisis de hidrocarburos totales del petróleo. Posteriormente, se tomaron muestras a 30 cm de profundidad, cada 30 m de separación dentro del cuadrante, utilizándose la técnica del zig-zag. En total fueron de 30 puntos de muestreo. El suelo se colocó en bolsas de polietileno, selladas y etiquetadas para su posterior tratamiento en el laboratorio.
Las muestras de suelo fueron analizadas de acuerdo con lo que establece la NOM-021-RECNACT-2000 (NOM-021-SEMARNAT-2000, 2002). Primero, fueron secadas al aire y a temperatura ambiente en una superficie de polietileno cubierta con papel, para eliminar el exceso de humedad presente en el suelo. Después, las muestras se trituraron con un rodillo de madera para eliminar los residuos orgánicos visibles. Finalmente se molieron con un molino de mano y tamizaron con un tamiz de acero inoxidable de 2 mm de abertura. Posteriormente se depositaron en un recipiente de plástico para su almacenamiento. A cada muestra de suelo, se les determinaron los siguientes parámetros (n =3):
Textura del suelo, método AS-09/NOM-021-RECNAT-2000 (NOM-021-SEMARNAT-2000, 2002).
Densidad aparente del suelo, método AS-03/NOM-021-RECNAT-2000 (NOM-021-SEMARNAT-2000, 2002).
Densidad real del suelo, método AS-04/NOM-021-RECNAT-2000 (NOM-021-SEMARNAT-2000, 2002).
Humedad NMX-AA-052/NOM-138-SEMARNAT-SSA1-2012 (NOM-138-SEMARNAT-SSA1-2012, 2013)
Fosforo (P) y Nitrógeno (N), método AS-10 y método Kjeldahl, ambos de la NOM-021-RECNAT-2000 (NOM-021-SEMARNAT-2000, 2002).
Magnesio (Mg) y Calcio (Ca), método AS-10/Absorción Atómica/ NOM-021-RECNAT-2000 (NOM-021-SEMARNAT-2000, 2002).
Ácidos húmicos y fúlvicos, método de Kononova (1961).
pH (1:2 relación suelo-agua, potenciómetro HANNA HI 9813-6).
Temperatura (termómetro de -20 °C a 150 °C marca Brannan).
Materia orgánica, método AS-07/NOM-021-RECNAT-2000 (NOM-021-SEMARNAT-2000, 2002).
Además, se realizó un recuento en placas de células viables para corroborar la actividad microbiana que acompaña al proceso de vermicompostaje, mediante el método de diluciones en serie (base 10, 1 g de suelo en 9 mL de agua destilada estéril), (Madigan et al., 2014).
Diseño estadístico y análisis de los datos
El análisis de los datos se hizo con base en un diseño multifactorial completamente aleatorizado de tres factores (3 × 3 × 2). El primer factor lo constituye el tipo de suelo: S1, arcilloso; S2, arcilloso-limoso; S3, migajón-arenoso. El segundo factor es el contenido de enmienda orgánica (EO): sin vermicomposta (SV), con vermicomposta orgánica (VO), con sustancias húmicas comerciales (SHC). y el tercer factor es la carga microbiana (con microorganismos, sin microorganismos). El diseño constó de 18 tratamientos y 54 unidades experimentales que fueron evaluados a 60 días. El análisis de los datos constó de un análisis de varianza (ANOVA), seguida de una prueba a posteriori de Tukey. Todos los análisis estadísticos se llevaron a cabo con ayuda del programa estadístico Statgraphics CenturionTM V.18 (Statgraphics Technologies, 2019), a un nivel de significancia de α = 0.05.
Selección y tratamiento de la vermicomposta
La vermicomposta se obtuvo empleando la lombriz roja californiana (Eisenia foetida) para lo cual se emplearon diferentes sustratos: cascarilla de arroz (Oryza sativa), bagazo de caña (Saccharum officinarum), cascarilla de cacao (Theobroma cacao), estiércol de res y una mezcla de todas (Kononova, 1961). Para esto, se colocó una capa de 15 cm - 20 cm de alto del material a procesar por vermicomposteo en un espacio de 100 m2 que fue adaptado a las condiciones necesarias: sombreado, con buen drenaje y abastecimiento, protegido de animales que pudieran causar daño. El pH se mantuvo constante entre 6.8 a 7.7. Antes de agregar las lombrices, se hizo una prueba con el sustrato es una cama de 10 cm × 10 cm. Esta prueba consistió en colocar 101 lombrices en la cama y esperar a que estuvieran listas (deben penetrar la cama), resultando un tiempo entre 45 días a 60 días dependiendo del sustrato empleado. Posterior a esta prueba, se sembraron 2500 lombrices por m2 en el material a procesar y se observó que después de ocho días, comenzaron con su etapa reproductiva. La terminación del proceso vermicomposta puede apreciarse cuando el material es de color oscuro, inodoro y no se aprecian fragmentos del residuo original.
Establecido el bioensayo, se evaluaron las cinco vermicompostas, determinándose la concentración de carbono en los ácidos húmicos y fúlvicos Kononova (1961), de los cuales se seleccionó la mezcla de todos los sustratos, ya que fue el que mostró los contenidos de carbono orgánico.
Posteriormente se calculó la densidad del petróleo crudo (método del picnómetro, método ASTM D7-09) y luego se destiló por 2 h a 220 °C con el fin de eliminar las fracciones C17 de acuerdo con el método de la EPA 35400C. La fracción pesada > C18, permaneció en la mezcla de petróleo. Se emplearon 134 221 mL de petróleo por cada unidad experimental. Al final se contaminaron 135 kg de suelo (en 54 unidades experimentales en total) con 7247.93 mL de petróleo crudo.
La evaluación de la EO se realizó en tres niveles, en el que todas las unidades experimentales fueron enriquecidas con fertilizante triple 17 y urea, usando 2.148 g por unidad experimental de 2.5 g de suelo dando como resultado 115.992 g por cada fertilizante (en las 54 unidades experimentales). El primer nivel no contenía EO y fue acondicionado con 320.8 mL de H2O2 a 3.34% por cada 15 kg de suelo, como fuente de oxígeno, (Mosley, 19981). En este nivel se hizo la mezcla con petróleo, la urea, el triple 17 y el peróxido de hidrógeno, y mientras se realizaba se hacía una mezcla homogénea del suelo tratado para después separarlo en cada unidad experimental. Este mismo procedimiento se realizó antes de aplicar las condiciones para el tratamiento con VO y el tratamiento con SHC. El segundo nivel constó con VO, que fue añadida al suelo según el porcentaje de ácidos fúlvicos (AF) encontrados en las SHC, para homogeneizar ambos niveles. Debido a que el porcentaje de AF en las SHC fue de 20.2595%, a cada unidad experimental (UE) le correspondieron 4.1025 g de SHC. Entonces, tomando en cuenta la cantidad de AF en la VO (0.097412 g), a una humedad del 27%, finalmente cada UE fue adicionada con 57.69 g de VO. Por otro lado, el tercer nivel solo usó SHC, 20.25 g por cada UE. Tomando en cuenta una humedad de 5%, cada UE constó de 21.31 g de SHC (Mosley, 19981).
Determinación de Ácidos Húmicos (AH) y fúlvicos (AF)
La separación de las fracciones de AH y AF a partir de las muestras de composta y vermicomposta, se hicieron por el método Kononova (1961). En este procedimiento se utilizan álcalis y ácidos diluidos de NaOH 0.1 M y Na4P2O7 (pirofosfato de sodio) 0.1 M (ambos marca Baker). Primero, se pesó 10 g de vermicomposta en un matraz Erlenmeyer, agregando una solución extractora de 200 mL de NaOH 0.1 M y Na4P2O7 0.1 M (marca Baker) en una proporción 1:1 hasta completar una relación 1:10, después se agitó por 24 h en una atmosfera de preferencia sin oxígeno. Transcurrido este tiempo se decantó el sobrenadante (fracción húmica) y el resto se centrifugó a 3500 rpm por 10 minutos a 15 minutos. Se colectó el líquido de la centrifugación y se acidificó con HCl 10.0 M (marca Baker) hasta un pH de 2.0 y se dejó reposar por 24 h a 4 °C.
Se distinguieron dos fases (cuando existe dispersión, el sobrenadante se acidifica hasta pH = 1.5). Se colectó el precipitado y se le agregó NaOH 0.1 M (Marca Baker) hasta alcalinizar, luego se agitó y se redujo el pH 2.0 adicionando HCl 10 M (Marca Baker). El producto obtenido se dejó reposar 24 h, se separaron dos fases, por un lado, el sobrenadante se decantó para obtener los AF y, por otro lado, la fase precipitada (AH) se centrifugó hasta lavar y obtener una reacción negativa de cloruros y obtener un precipitado que se transfirió a un tubo de diálisis con peso molecular no mayor de 6000 (marca Spectrapor® y diámetro de 14.6 mm), en el que se realizaron lavados con agua destilada hasta obtener la reacción negativa de cloruros con AgNO3 al 1% (marca Baker). Una vez que se confirmó la reacción negativa, se liofilizaron y cuantificaron las cantidades producidas de AH.
Propiedades físicas, químicas y biológicas de las unidades experimentales
Se midieron algunas propiedades físicas del suelo: a) El contenido de humedad se evaluó con una periodicidad de 15 días de acuerdo a los siguientes cálculos:
b) La temperatura fue medida en Celcius por métodos convencionales con la finalidad de verificar que se mantuviera en un rango promedio de 35 °C, para promover el crecimiento y metabolismo microbiano y de la lombriz roja, así como mejorar degradación de los hidrocarburos.
En cuanto a las propiedades químicas se midieron: a) La conductividad eléctrica, disolviendo 10 g de suelo en 20 mL de agua destilada. La mezcla se agitó por 15 min y se dejó repodar el mismo tiempo, midiendo la lectura del sobrenadante con un potenciómetro marca HANNA HI 208. Las mediciones se llevaron a cabo cada tercer día por espacio de 60 días con el fin de saber si el nivel de salinidad del suelo tuvo un efecto directo en el desarrollo de la biota del suelo. b) El pH se midió por el método (AS-02) de la NOM-021-RECNAT-2000 (NOM-021-SEMARNAT-2000, 2002) haciendo uso de un potenciómetro marca HANNA HI 208. c) Los hidrocarburos totales del petróleo se determinaron por el método EPA 3540C Extracción Soxhlet basados en la NOM-138-SEMARNAT-SSA1-2012 (NOM-138-SEMARNAT-SSA1-2012, 2013). En tanto que las propiedades biológicas, correspondieron con el recuento de células viables, por el método de diluciones seriada (Madigan et al., 2014).
Resultados y Discusión
Los suelos analizados son minerales, lo que significa que la materia y el carbono orgánico son menores del 20 y del 11%, respectivamente (Cuadro 1), (FAO, 2008; Voltr et al., 2021). Además, algunas de las propiedades cualitativas observadas en campo tales, profundidades de 20 cm - 50 cm de profundidad para los tres suelos. En general, los tres presentaron texturas medias o medias sobre gruesas; horizontes A muy ricos en contenido de MO (alta reactividad a H2O2), con presencia de lombrices y otros organismos, con humedad de media a alto. Destaca que S3, está constituido por materiales orgánicos de > 40 cm de espesor y aproximadamente más de dos tercios de su estructura contiene material vegetal que todavía puede ser identificado en la estructura orgánica del suelo.

Con base en lo anterior, y comparando con algunos los reportes de Palma-López, Cisneros, Moreno y Rincón (2007) y Morales-Guzmán et al. (2020) quienes han realizado estudios en el sitio, identifican a S1 fue como vertisol éutrico, el cual es un suelo con alto contenido de arcillas (77% masa para S1) que tienden a expanderse según la época del año, además, la estructura del suelo da un estrecho rango de humedad (23.89% masa para S1). Mientras que S2 se identificó como fluvisol éutrico. Son suelos con poca estrarificación y un aporte importe de arcilla. Palma-López et al., (2007) indica hasta un contenido de 48.9% de arcilla en los primeros 30 cm de profundidad, como ocurre con el S2 y el 49% de arcilla encontrado.
En tanto que el S3 fue descrito como histosol fíbrico-gleysol, un suelo con tendencia a la acumulación de MO. Debido al alto contenido de arena (84%) su porcentaje de porosidad es alto también. Además, la formación de ácidos fúlvicos (1.19%) promueve la formación de poros (Palma-López et al., 2007). También, se observó que S1 presentó 0.4% de nitrógeno, S2 0.25% y el S3 0.11%, los cual indica un contenido muy alto, alto y medio, respectivamente; así mismo, los contenidos de MO de S1 y S2 (8.88 y 4.19) indican que son suelos con clasificación muy alta y S3 alta (2.72), según lo especificado en la Norma Oficial Mexicana NOM-021-RECNAT-2000 (NOM-021-SEMARNAT-2000, 2002). Sin embargo, la relación C/N, en S1 (12.87) y S3 (14.37), pueden relacionarse con suelos con excesos de carbono, (Herrero, Flores y Imperial, 2019).
Además, en los tres tipos de suelo se encontraron concentraciones altas de fósforo, según lo refiere la norma mencionada. Por un lado, este elemento es necesario para que los microorganismos sinteticen sus principales biomoléculas relacionadas con la degradación de hidrocarburos, entre estas se encuentran las enzimas oxigenasas unidas a la membrana plasmática que, asistidas con bioemulsificantes solubilizan las sustancias no polares y permiten que aumenten la afinidad entre las interfaces agua/aceite y la superficie celular (Hou et al., 2018; Rodríguez-Uribe, Peña, Rivera y Délano, 2021).
Por otro lado, el suelo posee partículas finas como los limos (0.05-0.002 mm), las arcillas (< 0.002 mm) y las arenas (> 2 mm) que afectan la clasificación textural, a partir de la cual se puede comprender el comportamiento de los suelos. Desde esta perspectiva, el arreglo de estas partículas influye en los procesos de biorremediación. Un suelo con alto contenido de arcillas, como el S1, tiene una baja permeabilidad, sin embargo, las arcillas tienen la capacidad de catalizar la formación de ácidos húmicos y protegen al material orgánico de la descomposición dentro de los agregados del suelo (Arias-Trinidad, Rivera y Trujillo, 2017; Ajona y Vasanthi, 2021).
Por lo tanto, el transporte de minerales y gases como el oxígeno es menor en comparación con suelos de menor densidad. Los requerimientos óptimos de oxígeno para la actividad microbiana son de 10%, sin embargo, para la degradación de hidrocarburos se han reportado requerimientos entre 10 - 40%. El movimiento de tales elementos a través de los espacios vacíos entre las partículas del suelo permite que estén disponibles para los organismos vivos (Voroney y Heck, 2015; Chan-Quijano, Cach y Rodríguez, 2020).
Además, un suelo con porosidad moderada, como un S3 que es migajón-arenoso, soporta actividad microbiana por el continuo movimiento de nutrientes, oxígeno y humedad. A este respecto el contenido de humedad también es importante, porque la actividad microbiana es directamente proporcional al contenido de agua, mientras que el exceso no es propicio para la transferencia de oxígeno, lo que puede derivar en un lixiviado inesperado (Hoang et al., 2021). Por lo tanto, el contenido de humedad es función del tipo de suelo, la distribución del tamaño de poro y la textura del mismo. Una pequeña diferencia en la textura afecta el volumen de los espacios vacíos ya que toda la actividad microbiana y de especies como Eisenia foetida ocurre entre los espacios vacíos o hacen uso de ellos para su alimentación y distribución (Haghollahi, Fazaelipoor y Schaffie, 2016; Machado et al., 2020). Por lo que, un suelo como el S2, arcilloso limoso y un contenido de humedad de 23.54% (el más alto de los tres) puede ser más apto para el crecimiento de microorganismos.
La humedad en los tres suelos no alcanzó 30%, muy por debajo de 60% de la capacidad de almacenamiento de un suelo, que se recomienda en la literatura, de manera que la pérdida de humedad afecta sensiblemente la biorremediación (Stepanova, Gladkov, Osipova, Gladkova y Tereshonok, 2022). El suelo de características arcillosas, el S1, tuvo el porcentaje más alto con 23.89%. Esto se debe a su baja permeabilidad y reducida porosidad de 22% en comparación con los otros suelos. Sin embargo, la adición de vermicomposta y los subproductos metabólicos de la lombriz roja californiana, además de enriquecer el suelo con nutrientes y otros microorganismos, también aumentó el contenido de humedad del suelo.
En cuanto a la temperatura de suelo, los resultados muestran una temperatura promedio de 28° C, en un intervalo que va de 26.83 a 30.5 °C. La temperatura en un suelo está relacionada con sus características minerales. El S1 es de características arcillosas, por lo cual el ligero aumento de la temperatura se atribuye a las partículas arcillosas, contrario al suelo arenoso, donde el drenaje más amplio y la circulación de aire en mayor proporción. La actividad microbiana es mejor con la absorción del calor, provocando una mejor degradación del petróleo crudo. Además, se ha reportado previamente que la temperatura para el crecimiento de los microorganismos que degradan hidrocarburos no es precisamente un reflejo de la temperatura in situ de un reservorio. Lo que se ha reportado es que esto depende de las condiciones ecológicas donde se desarrollen. Sin embargo, la mayor parte de las bacterias crecen de forma óptima en un intervalo de 25 - 35° C, lo que es apropiado en procesos de biorremediación (Varjani, 2017; Liu et al., 2018; Iyobosa, Xianagang, Jun, Fang y Zhennan, 2020).
Por otra parte, el pH del suelo también puede modificar de manera significativa la actividad biológica del suelo y, por consiguiente, esto influirá en el resultado de un proceso de biorremediación (Haghollahi et al., 2016). En la literatura se ha registrado un pH óptimo entre 6.0, 7.0 y 7.5, para el crecimiento microbiano. Un crecimiento menor ocurrió cuando el suelo alcanzó un pH menor a 6.5. Su determinación es afectada por varios factores como el tipo y cantidad de compuestos orgánicos e inorgánicos que contribuyen a la acidez del suelo (Castillo, Pastenes y Córdova, 2022).
De acuerdo con los resultados, el suelo migajón-arenoso (S3) tuvo el conteo más alto (6.5×104 de UFC g-1), seguido de suelo franco-arenoso (S2) y, en menor proporción, suelo arcilloso (S1, 6.0×104 de UFC g-1). Se observó que el conteo de UFC g-1 es inversamente proporcional a la humedad de la muestra y de arcilla del suelo, ya que S3 y S2 poseen menor cantidad de arcillas y humedad en comparación con S1, lo cual coincide con el reporte de Clarkson y Robert (2016). Estos mismos autores reportan que para la degradación de hidrocarburos el pH óptimo debe ser entre 7.0 y 7.5. El pH en el S3 fue el más bajo, ligeramente ácido, lo cual se relaciona con la mayor porosidad y almacenamiento de sustancias orgánicas ácidas.
Finalmente, la conductividad eléctrica tiene una relación directa con la salinidad. Durante los 60 días del muestreo, con mediciones cada tercer día, la conductividad alcanzó valores medios de 0.6775 dS m-1 ± 0.049 (desviación estándar, D.E.) en el S1, mientras que en el S2 la variación reportó 0.921 dS m-1 ± 0.07 (D.E.), y en el S3 de 0.62 dS m-1 ± 0.073 (D.E.). Como la conductividad eléctrica fue < 1.0, dS m-1, y la clasificación de estos suelos de acuerdo con él, se considera como de “efectos despreciables de salinidad”, el crecimiento microbiano no fue afectado por efectos de salinidad.
En cuanto a la selección de la vermicomposta se realizó con base el contenido de carbono (cinco tipos, Cuadro 2). De acuerdo con esto, el contenido de carbono de la mezcla de todos los sustratos utilizados fue el más alto.

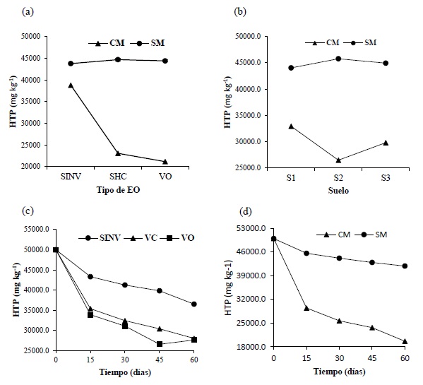
Los niveles dentro de cada uno de los tres factores mostraron diferencias estadísticas significativas, de modo que todos los tratamientos fueron diferentes. Así, de acuerdo con los resultados del análisis de varianza, el S2 (36 106.4 mg kg-1 ± 15 336.3 desviación estándar, D.E.) fue el más eficiente en la degradación de los HTP, seguido por el S3 (37 349 mg kg-1 ± 12 248, D.E.) y el S1 (38 465.1 mg kg-1 ± 97 67.53, D.E.). Mientras que de acuerdo al tipo de EO, la VO (34 461 mg kg-1 ± 14 708, D.E.) fue la mejor en este rubro. Así mismo, el tratamiento con microorganismos (29 694 mg kg-1 ± 13 947, D.E.) fue el que degradó hidrocarburos con mayor eficiencia que el que no contiene microorganismos (44 919 mg kg-1 ± 44937, D.E.). En la Figura 2a, se muestran los resultados sobre el tipo de EO.

Por otra parte, se observa una interacción significativa entre el tipo de suelo y la vermicomposta (Figura 2b). La mejor combinación en términos de degradación de HTP ocurrió con el S2 y VO (32 457.4 mg kg-1), ya que se muestra un cambio de dirección y de intensidad importante (Figura 2b).
En cuanto a la interacción EO-carga microbiana se muestra una tendencia clara que favorece a la vermicomposta orgánica y la presencia de microorganismos, Figura 3a, en la degradación de hidrocarburos. Hay un cambio de dirección e intensidad al pasar del tratamiento SINV (38 772.1 mg kg-1) al de SHC (23 032.2 mg kg-1), hasta la VO (21 128.1 mg kg-1). Y en cuanto a la interacción carga microbiana-suelo, hay una tendencia en el S2 con microorganismos (26 430.5 mg kg-1), seguido del S3 (29 757.7 mg kg-1descrito en la Figura 3b. Y esa misma tendencia se ve en el tiempo según el tipo de EO (Figura 3b). La VO tuvo el valor más bajo de HTP luego de 60 días (276 656.0 mg kg-1), en comparación con las SHC (28 063.7 mg kg-1) como se observa en la Figura 3c. Finalmente, la Figura 3d, muestra un cambio significativo de dirección e intensidad en la degradación de los hidrocarburos en los tratamientos que emplearon microorganismos, al tiempo 60 (19 661.4 mg kg-1), muy por debajo de las unidades experimentales sin microorganismos (41 858.0 mg kg-1) al tiempo 60 días.

Estos resultados muestran que el vermicompostaje es un proceso emergente y factible para convertir los derivados del petróleo en productos de vermicompostaje útiles y de alta calidad, lo cual coincide como algunos estudios que mencionan que las lombrices de tierra (E. fétida), poseen enzimas (citocromo-P450) capaces de promover la eficiencia de la biorremediación a través del metabolismo de productos HAP. Además, las enzimas hidrolíticas producidas principalmente por hongos filamentosos presentes en el proceso de vermicompostaje pueden aumentar la biodisponibilidad de los productos de naturaleza oleosa y mejorar la eficiencia de la biorremediación (García-Sánchez, Košnář, Mercl, Aranda y Tlustoš, 2018; Košnář et al., 2019).
El resultado final de la degradación de hidrocarburos en un proceso de biorremediación está condicionado por la presencia de sustancias biodegradables, así como la capacidad enzimática de los microorganismos y la biodisponibilidad de nutrientes. Esto se hace patente en la interacción tipo de EO-carga microbiana (Figuras 3c y 3d). La presencia de microorganismos estimuló la degradación de hidrocarburos de manera significativa. No obstante, la capacidad de un sistema de EO para lograr la biorremediación depende en gran medida de la biodisponibilidad de los nutrientes. Eso explica por qué el mejor tratamiento fue la VO. Si bien, los humatos tienen alto contenido de microorganismos su baja biodisponibilidad puede ser un factor limitante, como lo mencionan Chianese, Fenti, Iovino, Musmarra y Salvestrini (2020). El tratamiento con SHC fue mejor que el tratamiento SINV, pero menos eficiente que el que usa sustancias orgánicas, donde los nutrientes están en un estado más libre.
Además, el proceso de compostaje es un proceso rico en microorganismos como bacterias y hongos que son capaces de degradar compuestos xenobióticos. Se ha comprobado que el proceso de compostaje funciona en condiciones ex situ e in situ (Abdollahinejad, Pasalari, Jafari, Esrafili y Farzadkia, 2020). Chaudhary y Kim (2019) indican que en un sistema de vermicomposta, una temperatura superior a 50 °C es importante en la degradación de hidrocarburos, por otro lado, se observó que la temperatura de las unidades experimentales alcanzó 30 °C en promedio, la cual es óptima para el crecimiento de bacterias mesófilas (Iyobosa et al., 2020).
El enriquecimiento de VO es una práctica que mejora los procesos de biorremediación, de acuerdo con Chen et al. (2015) la adición de residuos orgánicos mejoró significativamente la degradación de hidrocarburos y los n-alcanos. Estos autores reportan la biorremediación de un suelo arcilloso enriquecido con biosólidos y suplementado con fertilizantes orgánicos, además de nutrientes minerales, aserrín y heno, obteniendo una disminución de HTP de 93% después de ocho semanas. Esto concuerda con los resultados obtenidos, donde el S2 VOCM, un suelo de características más arcilloso-limoso tuvo un porcentaje de remoción de 86% después de 60 días, usando cascarilla de cacao, arroz, bagazo y estiércol.
La producción y el uso de vermicomposta, es el equivalente a un fertilizante orgánico conocido que contiene una comunidad microbiana bien establecida, y puede ser una estrategia ecológica prometedora para promover la fertilidad del suelo mediante el suministro de nutrientes y comunidades microbianas al suelo. Los materiales orgánicos más comunes utilizados para el vermicompostaje son estiércol animal, biosólidos generados en plantas de tratamiento de aguas residuales, biosólidos derivados de industrias que se ocupan de cualquier tipo de material orgánico (p. ej.: de la industria láctea), la fracción orgánica de los residuos sólidos municipales, y una amplia gama de residuos animales y vegetales (Liu et al., 2019; Pourfadakari et al., 2019). En esta investigación la vermicomposta orgánica tiene todos los elementos mencionados. El uso de microorganismos además de mejorar la biodegradación de los HTP es una herramienta que permite el aprovechamiento de desechos agrícolas o municipales, permitiendo un mejoramiento de la calidad ambiental.
En cuanto a las propiedades físicas, químicas y biológicas observadas en las unidades experimentales, se encontró que la variación de la humedad en los tratamientos fue de 84.25% ± 0.9 en S, 69.41% ± 1.5 en S2 y 74.41% ± 1.9 en S3. La humedad, uno de los principales componentes del protoplasma bacteriano y su suministro es esencial para el crecimiento y mantenimiento de los microorganismos que pueden degradar los contaminantes orgánicos, por lo cual es importante controlarla. En este sentido, se ha encontrado que la acumulación de agua en el suelo no debe ser menor de 50%, comparando este valor con la humedad en las unidades experimentales, se considera que el experimento se desarrolló en condiciones óptimas (Madigan et al., 2014; Stepanova et al., 2022).
Por otro lado, en lo referente al pH del testigo (S2SVSM, suelo 2 sin vermicomposta sin microorganismos) inicialmente fue de 7.3; sin embargo, con la adición de la vermicomposta orgánica y microorganismos (S2VOCM) el monitoreo arrojó resultados de una variación de 6.3 a 7.3 durante los 60 días de tratamiento, posiblemente se debió a que existen microorganismos que producen ureasas, con la cual desdoblan la urea presente en el nutriente, obteniendo NH3OH dando como resultado la alcalinización del medio. Además, Maier y Pepper (2009) en sus estudios reportan que, en las bacterias del suelo, el crecimiento óptimo se presenta en un intervalo de pH de 6 a 8.
En términos de remoción de hidrocarburos, se encontró que el tratamiento con VOCM en el S1 presentó una variación significativa (r2 = 0.8087, α ≤ 0.05), con respecto a los tratamientos SVCM y SHCCM, con un porcentaje de remoción de HTP del 63.4, 58.73 y 60.1%, respectivamente, los cuales fueron los resultados más bajos. La misma proporción se presentó en el S2 (r2 = 0.98, α ≤ 0.05) con 86.05, 80.12 y 81.83%. Mientras que el S3 (r2 = 0.68, α ≤ 0.05) con 77.52, 73.88, y 75.46% (Figura 4 a-c).

Además, se observó que el tratamiento S2VOCM de suelo Arcilloso-Limoso obtuvo la mayor degradación de petróleo crudo (86.05%), y el mayor crecimiento poblacional (900 × 104 UFC g-1), esto se puede atribuir a que la vermicomposta orgánica actuó como agente bioestimulante de los microorganismos, ya que la composición del suelo es 49% arcilla, 41% limo y 10% arena, lo que permite una adecuada aireación por la presencia de arena, y microorganismos presentes en el suelo (4.19%). La lombriz roja californiana aumenta la biomasa y la actividad enzimática. Con estas condiciones los microorganismos pueden desarrollarse mejor y secretar las enzimas específicas que pueden ayudar en la degradación de los contaminantes (Koolivand et al., 2020).
Los tratamientos que fueron enriquecidos con humatos derivados de la lignita pudieron verse afectadas por el tipo de suelo. El tratamiento S2SHCCM removió 7.7% más hidrocarburos que el S3SHCCM y 26.34% más que el S1SHCCM. No obstante, tales valores fueron menores que el VOCM en los tres suelos. Michalska, Turek-Szytow, Dudło y Surmacz (2022) mencionan que las sustancias húmicas son materiales heterogéneos constituido por sustancias altamente polimerizadas, de alto peso molecular, cuyo contenido de proteínas es bajo. Debido al proceso de carbonización, los humatos procedentes de la vermicomposta son menos biodisponibles. Chianese et al. (2020) y Yang, Tang y Antonietti (2021) señalan que juegan un rol importante en biorremediación y pueden aumentar la movilidad y solubilidad al agua de varios contaminantes. También, la adición de humatos provenientes de vermicomposta y sustancias húmicas comerciales tuvieron su mayor degradación en el suelo Arcilloso-Limoso, sin embargo, el tratamiento VOCM tuvo 4.9% mayor degradación que el tratamiento SHCCM.
La menor degradación de hidrocarburos en S1 se atribuye al alto contenido de arcillas en el suelo, lo que favorece la degradación de la MO, que por lo cual es considerada la fracción mineral activa del suelo. Palma-López et al. (2007) reportaron que los suelos con alto contenido de arcillas (> 30%) provocan drenaje deficiente y paralelamente aerobiosis que no favorecen el crecimiento de microorganismos degradadores.
Por otra parte, en las Figuras 5 a-c, se presentan las poblaciones microbianas presentes en los tres tipos de suelo con diferentes agentes estimulantes, SVCM, VOCM y SHCCM, contaminados con petróleo crudo a 50 000 mg kg-1. En S1 el crecimiento poblacional máximo fue a los 30 días (r2= 0.92, α ≤ 0.05). Aunque no hay diferencias estadísticas entre VOCM, VOSM, SHCCM, se puede observar un mayor crecimiento en VOCM (94×104 UFC g-1 de suelo). Mientras que, en el S2 sí se presentan diferencias significativas a los 45 días (r2= 0.96, α ≤ 0.05) entre los tres tratamientos con microorganismos, con VOCM con la mayor tasa de crecimiento celular promedio (97 × 104 UFC·g-1 de suelo). Finalmente, en el S3 (r2 = 0.73, α ≤ 0.05) el mayor crecimiento se dio a los 60 días, con VOCM presentando los valores más altos (740 × 104 UFC g-1).

El tratamiento S2VOCM fue el mejor en relación con el crecimiento de las UFC, con 98 ×105 UFC g-1 de suelo a los 45 días. La diferencia fue de 12.1% mayor que en S2SVCM y 33% más que en S2SHCCM, y más de 90% de crecimiento en S1VOCM y S3VOCM, lo cual indica que los tratamientos con vermicomposta orgánica fueron mejores que los tratamientos que contienen composta con lignita, en esta clase de suelos. Los ácidos húmicos de la clase leonardita se oxidan y pierden nutrientes importantes como carbohidratos y proteínas, por lo cual pueden no ser aptos para su aprovechamiento por parte de los microorganismos. De este modo, la ausencia de tales macromoléculas en las sustancias húmicas comerciales tiene un impacto negativo en el crecimiento poblacional microbiano, tal como se puede observar en las Figuras 5 a-c, ya que son moléculas combustibles que se usan en la respiración aerobia para la generación de energía metabólica (Madigan et al., 2014; Kulikova y Perminova, 2021; Lin et al., 2021). De este modo, el tratamiento S2VOCM tuvo el máximo crecimiento poblacional. Siendo un suelo de tipo fluvisol éutrico posee buena permeabilidad y es rico en nutrientes y microorganismos, lo que le permite ser apto para el desarrollo biológico (Palma-López et al., 2007).
En esta investigación, la composta de lignita tuvo 0.205% de ácidos húmicos y 20.26% de ácidos fúlvicos, los cuales tienen una relación C:N más baja, por lo que son menos aromáticos, de naturaleza alifática, lo que los hace ser más biodisponibles. Kuwatsuka, Tsutsuki y Kumada (1978) estudió las sustancias húmicas de distintos horizontes de suelo, comparándolas con las obtenidas de carbones vegetales; y basándose en su composición, encontró que los ácidos húmicos y fúlvicos de materiales carbonáceos son idénticos a los del suelo orgánico.
Análisis costo-beneficio
Se realizó un desglose de precios unitarios (Cuadro 3) estimando los tratamientos de vermicomposta orgánica y el tratamiento tradicional con sustancias húmicas comerciales aplicados a un metro cúbico (m3) del suelo contaminado. Los resultados muestran que el vermicomposta orgánica es más económico (15%). Además, existen otros beneficios tales como el aprovechamiento de residuos agrícolas que actualmente se generan en el estado de Tabasco.

Conclusiones
Se realizó el estudio del efecto de la adición de ácidos húmicos y fúlvicos provenientes de vermicomposta y lignita en diversos tipos de suelo del estado de Tabasco. Se encontró que los tratamientos con VOCM degradan el petróleo crudo, siendo los suelo con textura arcilloso-limoso y arenosa, ambos con pH neutro, quienes presentaron mayores tasas de degradación, en contraste con el suelo arcilloso y pH neutro que presentó menores porcentajes de remoción. Por lo que se concluye que el uso de microorganismos mejora los procesos de biorremediación, aunado con el efecto de la MO secretada por la lombriz roja durante la elaboración de la vermicomposta. No obstante, se requieren más investigaciones en suelos orgánicos como los histosoles y gleysoles, especialmente, por el efecto del VOCM. Del mismo modo, la carga microbiana ha sido importante, porque es la que aporta la batería metabólica necesaria para la absorción de nutrientes y oxidación de los HTP y sus derivados.
Declaración de Ética
No aplicable.
Consentimiento para Publicación
No aplicable.
Disponibilidad de Datos
Los conjuntos de datos utilizados o analizados durante el estudio actual están disponibles del autor correspondiente a solicitud razonable.
Conflicto de Intereses
Los autores declaran que no tienen intereses en competencia.
Fondos
No aplicable.
Contribución de los Autores
Conceptualización: M.E.O.M. Metodología: J.G.A.R., y J.S.L.P. Validación y análisis: Y.C.B., Análisis escritura, preparación del borrador original: M.E.O.M. Escritura, revisión y edición: C.M.M.B.
Agradecimientos
A la Universidad Juárez Autónoma de Tabasco por el equipamiento e infraestructura proporcionada al cuerpo académico
Literatura Citada
Abdollahinejad, B., Pasalari, H., Jafari, A. J., Esrafili, A., & Farzadkia, M. (2020). Bioremediation of diesel and gasoline-contaminated soil by co-vermicomposting amended with activated sludge: Diesel and gasoline degradation and kinetics. Environmental Pollution, 263, 114584. https://doi.org/10.1016/j.envpol.2020.114584
Ajona, M., & Vasanthi, P. (2021). Bioremediation of petroleum contaminated soils-A review. Materials Today: Proceedings, 45, 7117-7122. https://doi.org/10.1016/j.matpr.2021.01.949
Arias-Trinidad, A., Rivera-Cruz, M. C., & Trujillo-Narcía, A. (2017). Fitotoxicidad de un suelo contaminado con petróleo fresco sobre Phaseolus vulgaris l.(leguminosae). Revista Internacional de Contaminación Ambiental, 33(3), 411-419. https://doi.org/10.20937/rica.2017.33.03.05
Castillo, B., Pastenes, L., & Córdova-Lepe, F. (2022). Modeling the effects of pH variation and bacteriocin synthesis on bacterial growth. Applied Mathematical Modelling, 110, 285-297. https://doi.org/10.1016/j.apm.2022.05.014
Chan-Quijano, J. G., Cach-Pérez, M. J., & Rodríguez-Robles, U. (2020). Phytoremediation of soils contaminated by hydrocarbon. In B. R. Shmaefsky (Ed.). Phytoremediation (pp. 83-101). Cham, Switzerland: Springer. https://doi.org/10.1007/978-3-030-00099-8_3
Chaudhary, D. K., & Kim, J. (2019). New insights into bioremediation strategies for oil-contaminated soil in cold environments. International Biodeterioration & Biodegradation, 142, 58-72. https://doi.org/10.1016/j.ibiod.2019.05.001
Chen, M., Xu, P., Zeng, G., Yang, C., Huang, D., & Zhang, J. (2015). Bioremediation of soils contaminated with polycyclic aromatic hydrocarbons, petroleum, pesticides, chlorophenols and heavy metals by composting: applications, microbes and future research needs. Biotechnology Advances, 33(6), 745-755. https://doi.org/10.1016/j.biotechadv.2015.05.003
Chianese, S., Fenti, A., Iovino, P., Musmarra, D., & Salvestrini, S. (2020). Sorption of organic pollutants by humic acids: A review. Molecules, 25(4), 1-17. https://doi.org/10.3390/molecules25040918
Clarkson, M. A., & Robert, C. (2016). Effects of soil texture and amendment options on bioremediation of hydrocarbons in soil. International Journal of Multidisciplinary Studies, 1(2), 1-14.
Cuanalo-de la Cerda, H. (1990). Manual para descripción de perfiles de suelo en el campo. Montecillo, Texcoco, México: Colegio de Postgraduados.
FAO (Food and Agriculture Organization of the United Nations). (2008). Base referencial mundial del recurso del suelo. Informe sobre recursos mundiales del suelo No. 103. Roma, Italia: FAO ISBN: 978-92-5-305511-1
García-Sánchez, M., Košnář, Z., Mercl, F., Aranda, E., & Tlustoš, P. (2018). A comparative study to evaluate natural attenuation, mycoaugmentation, phytoremediation, and microbial-assisted phytoremediation strategies for the bioremediation of an aged PAH-polluted soil. Ecotoxicology and Environmental Safety, 147, 165-174. https://doi.org/10.1016/j.ecoenv.2017.08.012
Haghollahi, A., Fazaelipoor, M. H., & Schaffie, M. (2016). The effect of soil type on the bioremediation of petroleum contaminated soils. Journal of Environmental Management, 180, 197-201. https://doi.org/10.1016/j.jenvman.2016.05.038
Herrero, A., Flores, E., & Imperial, J. (2019). Nitrogen Assimilation in Bacteria. In T. M. Schmidt (Ed.). Encyclopedia of Microbiology (pp. 280-300). Cambridge, MA, USA: Elsevier Academic Press.
Hoang, S. A., Sarkar, B., Seshadri, B., Lamb, D., Wijesekara, H., Vithanage, M., ... Bolan, N. S. (2021). Mitigation of petroleum-hydrocarbon-contaminated hazardous soils using organic amendments: A review. Journal of Hazardous Materials, 416, 125702. https://doi.org/10.1016/j.jhazmat.2021.125702
Hou, N., Zhang, N., Jia, T., Sun, Y., Dai, Y., Wang, Q., ... Li, C. (2018). Biodegradation of phenanthrene by biodemulsifier-producing strain Achromobacter sp. LH-1 and the study on its metabolisms and fermentation kinetics. Ecotoxicology and Environmental Safety, 163, 205-214. https://doi.org/10.1016/j.ecoenv.2018.07.064
Iyobosa, E., Xianagang, M., Jun, N. H., Fang, S., & Zhennan, W. (2020). Biodegradation of petroleum hydrocarbon polluted soil. Indian Journal of Microbiology Research, 7(2), 104-112. https://doi.org/10.18231/j.ijmr.2020.022
Juwarkar, A. A., Singh, S. K., & Mudhoo, A. (2010). A comprehensive overview of elements in bioremediation. Reviews in Environmental Science and Bio/Technology, 9(3), 215-288. https://doi.org/10.1007/s11157-010-9215-6
Kononova, M. M. (1961). A Soil Organic Matter. New York, NY, USA: Pergamon Press. https://doi.org/10.2136/sssaj1962.03615995002600050002x
Koolivand, A., Saeedi, R., Coulon, F., Kumar, V., Villaseñor, J., Asghari, F., & Hesampoor, F. (2020). Bioremediation of petroleum hydrocarbons by vermicomposting process bioaugmentated with indigenous bacterial consortium isolated from petroleum oily sludge. Ecotoxicology and Environmental Safety, 198, 110645. https://doi.org/10.1016/j.ecoenv.2020.110645
Košnář, Z., Wiesnerová, L., Částková, T., Kroulíková, S., Bouček, J., Mercl, F., & Tlustoš, P. (2019). Bioremediation of polycyclic aromatic hydrocarbons (PAHs) present in biomass fly ash by co-composting and co-vermicomposting. Journal of Hazardous Materials, 369, 79-86. https://doi.org/10.1016/j.jhazmat.2019.02.037
Kulikova, N. A., & Perminova, I. V. (2021). Interactions between humic substances and microorganisms and their implications for nature-like bioremediation technologies. Molecules, 26(9), 1-32. https://doi.org/10.3390/molecules26092706
Kuwatsuka, S., Tsutsuki, K., & Kumada, K. (1978). Chemical studies on soil humic acids: 1. Elementary composition of humic acids. Soil Science and Plant Nutrition, 24(3), 337-347. https://doi.org/10.1080/00380768.1978.10433113
Lin, Z., Zhen, Z., Ren, L., Yang, J., Luo, C., Zhong, L., ... Zhang, D. (2018). Effects of two ecological earthworm species on atrazine degradation performance and bacterial community structure in red soil. Chemosphere, 196, 467-475. https://doi.org/10.1016/j.chemosphere.2017.12.177
Lipczynska-Kochany, E. (2018). Humic substances, their microbial interactions and effects on biological transformations of organic pollutants in water and soil: A review. Chemosphere, 202, 420-437. https://doi.org/10.1016/j.chemosphere.2018.03.104
Liu, M. H., Hsiao, C. M., Wang, Y. S., Chen, W. Y., & Hung, J. M. (2019). Tandem modified Fenton oxidation and bioremediation to degrade lubricant-contaminated soil. International Biodeterioration & Biodegradation, 143, 104738. https://doi.org/10.1016/j.ibiod.2019.104738
Liu, Y., He, N., Wen, X., Xu, L., Sun, X., Yu, G., ... Schipper, L. A. (2018). The optimum temperature of soil microbial respiration: Patterns and controls. Soil Biology and Biochemistry, 121, 35-42. https://doi.org/10.1016/j.soilbio.2018.02.019
Machado, T. S., Decesaro, A., Cappellaro, A. C., Machado, B. S., van Schaik Reginato, K., Reinehr, C. O., ... Colla, L. M. (2020). Effects of homemade biosurfactant from Bacillus methylotrophicus on bioremediation efficiency of a clay soil contaminated with diesel oil. Ecotoxicology and Environmental Safety, 201, 110798. https://doi.org/10.1016/j.ecoenv.2020.110798
Madigan, T. L., Bott, N. J., Torok, V. A., Percy, N. J., Carragher, J. F., de Barros Lopes, M. A., & Kiermeier, A. (2014). A microbial spoilage profile of half shell Pacific oysters (Crassostrea gigas) and Sydney rock oysters (Saccostrea glomerata). Food Microbiology, 38, 219-227. https://doi.org/10.1016/j.fm.2013.09.005
Maier, R. M., & Pepper, I. L. (2009). Bacterial communities in natural ecosystems. In R. M. Maier, I. L. Pepper, & C. P. Gerba (Eds.). Environmental Microbiology(pp.347-356). Cambridge, MA, USA: Academic Press. https://doi.org/10.1016/B978-0-12-370519-8.00017-1
Martínez-Hernández, F. A., & Herrera-Aguilar, S. (2021). Pemex, su reestructuración corporativa, financiera y productiva, y los efectos de ésta sobre la balanza comercial petrolera. El Trimestre Económico, 88(349), 143-180. https://doi.org/10.20430/ete.v88i349.1005
Michalska, J., Turek-Szytow, J., Dudło, A., & Surmacz-Górska, J. (2022). Characterization of humic substances recovered from the sewage sludge and validity of their removal from this waste. EFB Bioeconomy Journal, 2, 100026. https://doi.org/10.1016/j.bioeco.2022.100026
Morales-Guzmán, G., Alarcón, A., Ferrera-Cerrato, R., Rivera-Cruz, M. C., Torres-Bustillos, L. G., & Mendoza-López, M. (2020). Efecto de bacterias emulsificantes en la atenuación de la fitotoxicidad de suelos contaminados con petróleo intemperizado. Revista de Biología Tropical, 68(2), 692-703. http://dx.doi.org/10.15517/rbt.v68i2.39327
NOM-021-SEMARNAT-2000 (Norma Oficial Mexicana). (2002). Antes NOM-021-RECNAT- 2000. Que establece las especificaciones de fertilidad, salinidad y clasificación de suelos. Estudio, muestreo y análisis. Diario Oficial de la Federación. D. F.: SEGOB.
NOM-138-SEMARNAT-SSA1-2012 (Norma Oficial Mexicana). (2013). Límites máximos permisibles de hidrocarburos en suelos y lineamientos para el muestreo en la caracterización y especificaciones para la remediación. Diario Oficial de la Federación. D. F.: SEGOB.
Palma-López, D. J., Cisneros-Dominguez, J., Moreno-Caliz, E., & Rincón-Ramírez, J. A. (2007). Suelos de Tabasco: su uso y manejo sustentable. Tabasco, México: Colegio de Postgraduados-ISPROTAB-FUPROTAB. ISBN: 968-839-552-8
Pourfadakari, S., Ahmadi, M., Jaafarzadeh, N., Takdastan, A., Ghafari, S., & Jorfi, S. (2019). Remediation of PAHs contaminated soil using a sequence of soil washing with biosurfactant produced by Pseudomonas aeruginosa strain PF2 and electrokinetic oxidation of desorbed solution, effect of electrode modification with Fe3O4 nanoparticles. Journal of Hazardous Materials, 379, 120839. https://doi.org/10.1016/j.jhazmat.2019.120839
Rabelo-Avalos, Á. V., Ramos-Muñoz, D. E., Díaz-Perera, M. Á., & Mesa-Jurado, M. A. (2021). El petróleo en Tabasco: propuesta para una periodización. Revista Mexicana de Sociología, 83(1), 129-155. https://doi.org/10.22201/iis.01882503p.2021.1.60025
Rodríguez-Uribe, M. L., Peña-Cabriales, J. J., Rivera-Cruz, M. C., & Délano-Frier, J. P. (2021). Native bacteria isolated from weathered petroleum oil-contaminated soils in Tabasco, Mexico, accelerate the degradation petroleum hydrocarbons in saline soil microcosms. Environmental Technology & Innovation, 23, 101781. https://doi.org/10.1016/j.eti.2021.101781
Statgraphics Technologies (2019). Statgraphics Centurion Version 18 User´s Manual. The Plains, VA, USA: Statgraphics Inc.
Stepanova, A. Y., Gladkov, E. A., Osipova, E. S., Gladkova, O. V., & Tereshonok, D. V. (2022). Bioremediation of Soil from Petroleum Contamination. Processes, 10(6), 1-17. https://doi.org/10.3390/pr10061224
Varjani, S. J. (2017). Microbial degradation of petroleum hydrocarbons. Bioresource Technology, 223, 277-286. https://doi.org/10.1016/j.biortech.2016.10.037
Voltr, V., Menšík, L., Hlisnikovský, L., Hruška, M., Pokorný, E., & Pospíšilová, L. (2021). The soil organic matter in connection with soil properties and soil inputs. Agronomy, 11(4), 1-21. https://doi.org/10.3390/agronomy11040779
Voroney, R. P., & Heck, R. J. (2015). The Soil Habitat. In E. A. Paul (Ed.). Soil Microbiology, Ecology and Biochemistry (pp. 15-39). Cambridge, MA, USA: Elseiver Academic Press. https://doi.org/10.1016/b978-0-12-415955-6.00002-5
Yang, F., Tang, C., & Antonietti, M. (2021). Natural and artificial humic substances to manage minerals, ions, water, and soil microorganisms. Chemical Society Reviews, 50(10), 6221-6239. https://doi.org/10.1039/D0CS01363C
Zhao, G., Sheng, Y., Wang, C., Yang, J., Wang, Q., & Chen, L. (2018). In situ microbial remediation of crude oil-soaked marine sediments using zeolite carrier with a polymer coating. Marine Pollution Bulletin, 129(1), 172-178. https://doi.org/10.1016/j.marpolbul.2018.02.030
Notas
Notas de autor
‡ Autor para correspondencia (carlos.morales@ujat.mx)