Artículo científico
Efectos del vermicompost sobre la residualidad y disipación de clorpirifos y la fertilidad en un entisol de clima semiárido
Effects of vermicompost on chlorpyrifos residual and dissipation and fertility in a semi-arid climate entisol
Efectos del vermicompost sobre la residualidad y disipación de clorpirifos y la fertilidad en un entisol de clima semiárido
Terra Latinoamericana, vol. 42, e1778, 2024
Sociedad Mexicana de la Ciencia del Suelo A.C.
Recepción: 28 Agosto 2023
Aprobación: 20 Diciembre 2023
Resumen: El uso excesivo de clorpirifos afecta la calidad de los suelos agrícolas provocando efectos negativos en la inocuidad de los alimentos cosechados. El comportamiento de los residuos de clorpirifos depende de las propiedades edáficas especialmente la materia orgánica. El objetivo de la investigación fue determinar el efecto de la aplicación de vermicompost en la residualidad y disipación de clorpirifos en un suelo entisol de clima semiárido con variaciones en su fertilidad edáfica. Se estudiaron cuatro tratamientos. T1: 7.5% vermicompost (V) y 92.5% suelo (S); T2: 5% V y 95% S; T3: 2.5% V y 97.5% S; T4: 0% V y 100% S. Los tratamientos fueron sometidos a un periodo de incubación de siete días. Posteriormente, se aplicó una dosis de clorpirifos de 1.5 mg kg-1 como ingrediente activo en una sola oportunidad por cada tratamiento. Se utilizó un diseño completamente al azar con tres repeticiones por cada tratamiento conformando 12 unidades experimentales. La determinación analítica de clorpirifos se efectuó por cromatografía líquida de alta resolución (HPLC). Las evaluaciones se realizaron a 1,7, 14, 28, 42, 70 y 98 días de la aplicación de clorpirifos. Los resultados demostraron que la incorporación de vermicompost al suelo en niveles crecientes promovió la disminución de la concentración residual de clorpirifos y facilitó su disipación de manera gradual. Las curvas de disipación de clorpirifos corresponden a una ecuación logarítmica de primer orden donde los efectos de los tratamientos ocasionaron mayor disipación de clorpirifos conforme transcurrió el periodo de evaluación. A 98 días de evaluación el T1 registró menor residualidad (0.786 m kg-1), mayor tasa de disipación diaria (0.008) y menor vida media de clorpirifos (86.64 días). Al final del periodo de investigación, los niveles edáficos de P, K, CE y CIC se incrementaron mientras que la MO, N y pH descendieron luego de la aplicación de vermicompost.
Palabras clave: Materia orgánica, plaguicidas, remediación.
Summary: Excessive use of chlorpyrifos affects the quality of agricultural soils causing negative effects on the safety of harvested food. The behavior of chlorpyrifos residues depends on soil properties, especially organic matter. Our aim in this research was to determine the effect of the application of vermicompost on the residual and dissipation of chlorpyrifos in an entisol soil of semi-arid climate with variations in its edaphic fertility. Four treatments were studied. T1: 7.5% vermicompost (V) and 92.5% soil (S); T2: 5% V and 95% S; T3: 2.5% V and 97.5% S; T4: 0% V and 100% S. The treatments were subjected to a seven-day incubation period. Subsequently, a dose of chlorpyrifos of 1.5 mg kg-1 as active ingredient was applied once for each treatment. A completely randomized design was used with three replicates for each treatment, forming 12 experimental units. The analytical determination of chlorpyrifos was carried out by high performance liquid chromatography (HPLC). The evaluations were carried out 1.7, 14, 28, 42, 70 and 98 days after the application of chlorpyrifos. The results showed that the incorporation of vermicompost to the soil at increasing levels promoted a decrease in the residual concentration of chlorpyrifos and facilitated its gradual dissipation. The chlorpyrifos dissipation curves correspond to a first order logarithmic equation where the effects of the treatments caused greater dissipation of chlorpyrifos as the evaluation period elapsed. At 98 days of evaluation, T1 registered lower residuality (0.786 m kg-1), higher daily dissipation rate (0.008) and lower half-life of chlorpyrifos (86.64 days). At the end of the research period, edaphic levels of P, K, EC and CEC increased while OM, N and pH decreased after vermicompost application.
Index words: Organic matter, pesticides, remediation.
Introducción
En la actualidad, los sistemas convencionales de producción agrícola dependen del uso de una gran variedad plaguicidas para asegurar la producción de cultivos, los agricultores reconocen que estos facilitan el control de plagas y enfermedades en sus campos de cultivo (Hathout et al., 2022); sin embargo, su aplicación indiscriminada e irracional ocasiona problemas medioambientales con impactos negativos en la salud de las poblaciones (Bondareva y Fedorova, 2021).
La utilización excesiva de plaguicidas está alterando negativamente el entorno ambiental provocando procesos de contaminación del suelo por residuos de plaguicidas con efecto tóxico persistente (Zikankuba, Mwanyika, Ntwenya y James, 2019). La utilización de dosis elevadas y frecuentes de plaguicidas como el clorpirifos ocasionan concentraciones considerables de residuos en el suelo (Pereira et al., 2021) superando los límites permitidos (0.18 mg kg-1 según normativa canadiense). En el caso del suelo, la acumulación permanente de residuos de plaguicidas causa la pérdida de la fertilidad y calidad del suelo con implicancias económicas y sociales preocupantes para los productores (Odukkathil y Vasudevan, 2013).
Clorpirifos es uno de los plaguicidas organofosforados de mayor uso extensivo en la producción de cultivos para controlar insectos plaga, su modo de acción es por contacto, ingestión e inhalación disminuyendo la acción de la enzima acetil-colinestarasa (Márquez, Mosquera, Herrera y Monedero, 2010); la concentración excesiva de este plaguicida en el suelo ocasiona su contaminación afectando su fertilidad y la comunidad microbiológica con el riesgo de contaminar al agua subterránea y los alimentos cosechados (Varghese, Aswani y Jisha, 2022). Según, Dar, Kaushik y Villarreal-Chiu (2019) la exposición al clorpirifos ocasiona problemas a la salud humana debido a que induce a una neurotoxicidad, así como daños psicológicos e inmunológicos.
En el suelo los residuos de plaguicidas se someten a diversos procesos dinámicos que definen su destino edáfico, estos procesos determinan su adsorción, degradación, volatilización y lixiviación (Rasool, Rasool y Gani, 2022) el predominio de estos procesos depende de las propiedades del suelo y de las características del plaguicida siendo la adsorción y degradación los procesos más usuales en suelos agrícolas (Caprile, Sasal, Repetti y Andriulo, 2019). Mediante la adsorción los plaguicidas son retenidos en la periferia del complejo arcillo-húmico del suelo limitando su movimiento (Akash, Sivaprakash, Rajamohan, Pandiyan y Vo, 2022). En la degradación una molécula compleja puede disgregarse en moléculas más simples generalmente de menor toxicidad y constituye el mecanismo de disminución natural de plaguicidas más fundamental del suelo (Arias-Estévez et al., 2008). Los procesos de degradación de plaguicidas pueden ser físicos, químicos y biológicos (Caprile et al., 2019). La biodegradación facilitada por la acción de los microorganismos del suelo puede degradar compuestos carbonados y otros elementos de los plaguicidas para aprovecharlos como fuente de energía y nutrientes (Singh y Walker, 2006). La biodegradación de plaguicidas puede optimizarse por la incorporación de fuentes de materia orgánica en un proceso denominado como biodegradación asistida (Odukkathi y Vasudevan., 2013; Hathout et al., 2022).
La remediación de suelos contaminados con plaguicidas mediante técnicas biológicas tiene gran aceptación a nivel internacional, es un proceso ecológico y económico para degradar el clorpirifos del suelo (Alizadeh, Rafati, Ebrahimi, Ehrampoush y Khavidak, 2018). Según Bhende et al. (2022) existe un consorcio de comunidades bacterianas y fúngicas eficientes para la degradación de clorpirifos del suelo siendo las enzimas bacteriales hidrolasa de organofósforo y la hidrolasa de metil paratión las que hidrolizan activamente los enlaces resistentes de P-O y P = S.
Una de las alternativas sostenibles y económicas para atenuar la contaminación de plaguicidas en el suelo es la incorporación de enmiendas orgánicas (Rasool et al., 2022); la disipación y residualidad de plaguicidas en el suelo depende de la incorporación de materia orgánica en forma de vermicompost el cual debido a su contenido de sustancias húmicas favorece la actividad microbiana y además mejora las propiedades del suelo para promover la retención y degradación de plaguicidas (Briceño, Palma y Durán, 2007; Barriuso, Andrades, Benoit y Houot, 2011). La degradación de clorpirifos está directamente asociado con el contenido de materia orgánica del suelo; la incorporación de vermicompost al suelo incrementa el poder de adsorción del suelo al incrementar los sitios activos del complejo coloidal para la retención del plaguicida facilitando la actividad degradadora de los microorganismos del suelo (Romo-Campos, Contreras, Huerta y Muñoz, 2009; Kadian, Malik, Satya y Dureja, 2012). El vermicompost es un abono orgánico de uso potencial en la biorremediación de suelos contaminados por plaguicidas (Sánchez-Hernández y Cares, 2019).
En este contexto, el objetivo de la investigación fue determinar el efecto de la aplicación de vermicompost en la residualidad y disipación de clorpirifos en un suelo entisol de clima semiárido con variaciones en su fertilidad edáfica, a fin de proponer una alternativa para mitigar el efecto nocivo del clorprifos.
Materiales y Métodos
Condiciones experimentales
La investigación se desarrolló en un suelo del orden Entisol según Soil taxonomy, con manejo agrícola permanente procedente de la localidad de Hunter, Arequipa, Perú; ubicado a 16° 26’ 49” S, longitud 72° 33’ 20” O y 2300 m de altitud; enmarcado en una zona de clima semiárido con temperatura media anual entre 15.2 y 17.9 °C con humedad relativa media anual entre 35 y 81% (Senamhi, 2023). El suelo utilizado en la investigación tiene historial de manejo agrícola de más de 20 años destinado a la producción de una gran variedad de hortalizas donde prevalece un manejo convencional para el control de plagas en base a diversos plaguicidas; predominando la aplicación de clorpirifos tal como sucede en la mayoría de los cultivos en el Perú (Atkinson et al., 2023).
Análisis inicial del suelo y vermicompost
El análisis del suelo se realizó en una muestra compuesta representativa de 1 kg obtenido de 400 m2 mediante muestreo al azar a 15 cm de profundidad (Bazán-Tapia, 2017). Los análisis de suelo y vermicompost fueron realizados en Laboratorio de análisis de suelos, aguas, plantas y abonos orgánicos (AFQUIM SAC) de una empresa privada; los resultados se presentan en el Cuadro 1. Además, en el análisis inicial de suelo se detectó 0.350 mg kg-1 de clorpirifos como nivel de fondo de este plaguicida el cual fue determinado por cromatografía líquida de alta resolución en el Laboratorio de Análisis Agroambiental (LAA) de la Universidad Nacional de San Agustín de Arequipa (UNSA).

El vermicompost fue adquirido de un proveedor local, procede de mezcla de rastrojos de maíz, papa y estiércol de vacas con la inclusión de lombrices (Eisenia foetida). Presenta alto contenido de materia orgánica y una relación C/N apropiada para ser utilizado en procesos de disipación de suelos contaminados con plaguicidas (Barriuso et al., 2011; Yáñez-Ocampo et al., 2020).
Tratamientos evaluados
Se plantearon cuatro tratamientos a fin de estudiar el efecto de la aplicación de vermicompost en la residualidad y disipación de cloripirifos en el suelo. Las aplicaciones de vermicompost se efectuaron en porcentajes y niveles indicados en Cuadro 2. El suelo utilizado para la investigación fue colectado mediante un muestreo aleatorio a 15 cm de profundidad el mismo que fue trasladado al Laboratorio LAA - UNSA para la conformación de los tratamientos estudiados. El vermicompost fue mezclado con el suelo agrícola previamente tamizado en una criba de 2 mm de diámetro y colocado en macetas de 8 kg de capacidad, posteriormente fueron sometidos a un periodo de incubación durante siete días; durante este tiempo se aplicó riego en un volumen de 200 ml de agua. Al finalizar el periodo de incubación a cada tratamiento se aplicó una dosis de clorpirifos (0.0- dietilfosforotioato de 0-3,5,6- tricloro-2-piridilo) de 1.5 mg kg-1 como ingrediente activo (ia) en una sola oportunidad empleando en total 12 mg de ia por cada tratamiento, 8 kg de suelo con vermicompost en las proporciones descritas en el Cuadro 2 (Sánchez-Hernández y Cares, 2019; Baskaran, Kookana y Naidu, 1999; Briceño et al., 2012). Como fuente del ia se aplicó vía aspersión dirigida al suelo la formulación comercial TROYA 4EC (TRUSTCHEM CO., LTD., China) insecticida organofosforado formulado como concentrado emulsionable (EC), conformado de 480 g de clorpirifos por litro de producto. El modo de acción es por contacto, ingestión e inhalación con excelente penetración y larga persistencia de acción, una vez aplicado a cultivos hortícolas tiene un periodo de carencia entre 5 a 25 días y límite máximo de residuos (LMR) entre 0.1 a 2.0 mg kg-1 de biomasa vegetal. La normativa peruana sobre el estándar de calidad para suelos aprobado mediante Decreto Supremo N° 011-2017-MINAM (MINAM, 2017) no precisa el límite tolerable de clorpirifos.

Diseño experimental y análisis estadístico
Los cuatro tratamientos fueron dispuestos en un diseño completamente al azar (DCA) con tres repeticiones por tratamiento y 12 unidades experimentales. Los datos obtenidos en la investigación fueron sometidos a un análisis de varianza (ANVA). La prueba de significación de Tukey (P ≤ 0.05) se realizó en evaluaciones en los cuales el análisis advertía diferencias significativas en los tratamientos. Las curvas de disipación de clorpirifos se realizaron mediante un análisis de regresión lineal simple previo arreglo logarítmico de los datos. Los análisis estadísticos se efectuaron con el software R Core Team (2020).
Determinación analítica de clorpirifos
Las determinaciones analíticas de clorpirifos en el suelo se realizaron en el Laboratorio de Análisis Agroambiental de la Universidad Nacional de San Agustín de Arequipa, Perú.
Extracción de clorpirifos del suelo contaminado. Para la extracción de clorpirifos del suelo se preparó un sistema de extracción acondicionado con dos capas de papel filtro y 2 g de sulfito de sodio anhidro (Sánchez-Brunete, Miguel y Tadeo, 2002). Posteriormente, se añadieron 10 g de la muestra homogeneizada, la cual se puso en contacto con 10 mL de acetonitrilo grado HPLC. Luego se sometió a ultrasonido por 30 min, se filtró hasta vacío. La solución resultante se filtró utilizando un filtro Whatman de 0.45 μm para su posterior análisis por HPLC (Majzik-Solymos, Visi, Károly, Beke y Györfi, 2001).
Determinación de clorpirifos. Se realizó por cromatografía líquida de alta resolución (HPLC). Para la cuantificación de clorpirifos se utilizó una fase móvil compuesta por acetonitrilo: agua ultrapura (70:30) en modo isocrático, con un flujo de 1 mL min-1 con una temperatura de columna de 35 °C. La determinación se realizó utilizando un detector de arreglo de diodos (DAD) a una longitud de onda de 289 nm, identificándose la señal de clorpirifos con un tiempo de retención de 12.3 min. El método fue validado para determinar los parámetros de linealidad, sensibilidad, precisión y exactitud (Aguirre et al., 2001). Se preparó una curva de calibración a partir del estándar puro de clorpirifos, utilizando seis concentraciones (0.6; 0.9; 1.2; 1.5; 1.8; 2.1) obteniéndose un coeficiente de determinación (r2) de 0.9971; con límites de detección (LOD) y cuantificación (LOQ) de 0.0610 y 0.0689 mg L-1, respectivamente. La desviación estándar relativa (RSD) fue 1.77%. La exactitud calculada por el método de porcentaje de recuperación (%R) fue 96.12%. Los resultados comprueban que el método es lineal (r2 > 0.995), preciso (RSD < 2.7%) y con exactitud con un R entre 90 y 110% (Aguirre et al., 2001).
Evaluaciones realizadas
Residualidad de clorpirifos en el suelo. La concentración de residuos de clorpirifos en el suelo se determinó mediante HPLC considerando evaluaciones a 1, 7, 14, 28, 42, 70 y 98 días luego de la primera aplicación de clorpirifos (depósito inicial). La aplicación de clorpirifos se realizó al culminar el periodo de incubación de los tratamientos.
Dinámica de disipación de clorpirifos en el suelo. Se determinó mediante ecuaciones que corresponden a una cinética de primer orden: (Fantke y Juraske, 2013).
Donde: CT (μg g-1) constituyen los niveles residuales del plaguicida en un periodo de tiempo T (días); C0 (μg g-1) son los depósitos iniciales del plaguicida; k (día−1) viene a ser la tasa de disipación diaria constante del plaguicida y T1/2 es la vida media del plaguicida. Los depósitos iniciales y la tasa de disipación diaria del plaguicida fueron calculados mediante el modelo de regresión lineal con arreglo logarítmico. La vida media del plaguicida, es el tiempo requerido para que el nivel de residuos del plaguicida disminuya a la mitad del nivel inicial luego de la aplicación inicial (Hanson, Bond, Buhl y Stone, 2015). Se determinó utilizando la ecuación T1/2.
Caracterización de la fertilidad del suelo. La caracterización de la fertilidad del suelo se realizó en dos periodos: al primer día y a 98 días luego de la aplicación de clorpirifos al suelo. Los Análisis del suelo fueron realizados en el Laboratorio AFQUIM SAC. La materia orgánica (MO) se determinó mediante el método Walkley-Black; N total por Microkjeldahl; P con Olsen modificado; K mediante extracción con acetato de amonio; la CE mediante lecturas en un conductímetro en extracto de saturación; pH con un potenciómetro en relación suelo: agua de 1:2 y la CIC mediante extracción en acetato de amonio a pH:7 (Bazán-Tapia, 2017).
Resultados y Discusión
Residualidad de clorpirifos en el suelo
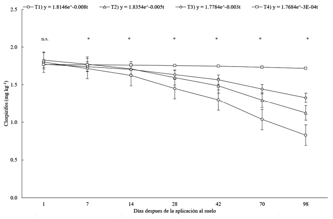
No se observaron diferencias estadísticas en la residualidad a 1, 7, 14 y 28 días del depósito inicial de clorpirifos (DDIC); en cambio, a 42, 70 y 98 DDIC si existieron diferencias significativas entre los tratamientos (Cuadro 3) con coeficientes de variabilidad entre 0.90% y 8.27%. En todos los tratamientos se observó una tendencia a la disminución progresiva de la concentración de clorpirifos en el suelo a medida que aumenta el tiempo de evaluación.

El tratamiento T1 (7.5% de vermicompost y 92.5% de suelo) generó la menor concentración de clorpirifos (0.786 mg kg-1) a 98 DDIC logrando una disipación de 56.11% con respecto a la concentración inicial (1.791 mg kg-1); los tratamientos T2, T3 y T4 obtuvieron una disipación de clorpirifos de 42.17%, 27.12% y 4.47% respectivamente. La menor concentración porcentual final de clorpirifos (98 DDIC) con respecto a la concentración inicial (1 DDIC) fue detectado en el tratamiento T1 (0.786 mg kg-1) llegando a 43.89% en el suelo. En el tratamiento T4 la concentración porcentual final llegó a 95.53% (1.730 mg kg-1) con respecto al inicial logrando una reducción de solo 4.47% considerado como el porcentaje de disipación. Fue evidente la diferencia de la concentración final de clorpirifos logrado por T1 con respecto al T4. Los resultados demostraron que las concentraciones de clorpirifos en el suelo disminuyeron conforme aumentaron los niveles de aplicación de vermicompost al suelo. Como se esperaba, el tratamiento T4 sin aplicación de vermicompost ofreció la menor disipación de clorpirifos el mismo que sería producto de la incidencia de la materia orgánica inicial contenido en el suelo (3.38%). La mejor acción del tratamiento T1 en la residualidad de clorpirifos se explica por el buen contenido de materia orgánica del vermicompost (24.82%) que facilitaría disminución en el suelo. La reducción de la concentración de plaguicidas en el suelo puede optimizarse por la incorporación de fuentes de materia orgánica (Hathout et al., 2022).
A propósito del efecto del vermicompost como fuente de materia orgánica en la disipación de clorpirifos; Kadian et al. (2012), demostraron el potencial de uso del vermicompost que de forma indirecta al estimular la actividad microbiana del suelo puede atenuar el efecto nocivo del clorpirifos debido a su contenido de materia orgánica. La disminución de plaguicidas en el suelo es factible por la adición de materia orgánica descompuesta en forma de vermicompost que debido a su contenido de sustancias húmicas favorece la actividad microbiana y mejora las propiedades del suelo para promover la degradación de plaguicidas (Briceño et al., 2007; Barriuso et al., 2011). Asimismo, Alizadeh et al. (2018); Kadian et al. (2012) sostienen que el comportamiento de los plaguicidas depende de la MO, pH, CIC y actividad de microorganismos en el suelo; así como de las propiedades del plaguicida como volatilidad, solubilidad, estabilidad, presión de vapor. Estos factores condicionan la disipación, acumulación y persistencia de los plaguicidas en los suelos.
Los resultados obtenidos en esta investigación son similares a los publicados en otras investigaciones. Así, Kurnia, Dewi, Makmur, Sarwoto y Harsanti (2021) demostraron que al aplicar 100 mg kg-1 de clorpirifos en el suelo se detectaron residuos del insecticida clorpirifos en el séptimo día con una tasa de disminución de 65.77% y el día 30 con una tasa de disminución de 99.63%. Baskaran et al. (1999) al aplicar 1000 mg kg-1 de clorpirifos como ingrediente activo al suelo detectaron una pérdida entre 75 y 95% de residuos durante un periodo de 24 meses mostrando una degradación inicial más rápida seguida de una tasa más lenta. Halimah, Zulkifli, Tan, Hasnol y Ismail (2011) al investigar dos dosis de clorpirifos (2.11 y 4.22 g) aplicado al suelo identificaron residuos hasta el quinto día de la aplicación de la menor dosis y hasta el séptimo día de aplicar la mayor dosis, consideran que el clorpirifos tuvo baja persistencia en el suelo. Samriti, Chauhan y Kumari (2012) estudiaron el comportamiento de clorpirifos 50% y cipermetrina 5% ambos aplicados en niveles de 275 y 550 g ha-1 los resultados demostraron que los residuos en el suelo fueron de 0.15 mg kg-1 en la dosis menor con persistencia de tres días y de 0.36 mg kg-1 en la dosis mayor con persistencia de cinco días.
En el Perú la normativa del estándar de calidad para suelos (Decreto Supremo N° 011-2017-MINAM), (MINAM, 2017) no considera el nivel de referencia de clorpirifos para suelos; sin embargo, la normativa canadiense establece 0.18 mg kg-1 como el estándar de clorpirifos en el suelo (Queen´s Printer, 2014). Los valores de clorpirifos encontrados en la investigación superaron el estándar canadiense en todos los periodos de evaluación, esta situación representa un riesgo por la persistencia de clorpirifos en el suelo. Estos riesgos estarían relacionados al deterioro de incocuidad de los alimentos cosechados en suelos contaminados con residuos de clorpirifos (Varghese et al.,2022).
Dinámica de disipación de clorpirifos en el suelo
Las curvas de disipación de clorpirifos en el suelo y las ecuaciones obtenidas se presentan en la Figura 1; estos corresponden a una ecuación logarítmica de primer orden donde el efecto de los tratamientos generó una tendencia que evidencia la disipación de clorpirifos es mayor conforme avanza el periodo de evaluación, siendo más marcado a los 42, 70 y 98 DDIC donde inclusive se demostraron diferencias significativas entre tratamientos.

La disipación de plaguicidas en el suelo depende de los procesos de adsorción, degradación y volatilización condicionados por las propiedades del suelo y los factores climáticos. El clorpirifos tiene un coeficiente de adsorción (Koc) de 8151 mg kg-1 permitiendo su fijación en suelos con buen contenido de materia orgánica para facilitar su degradación por microorganismos del suelo; presenta una presión de vapor de 3.35 × 10-3 Pa a 25 °C que lo califica como volátil facilitando su propagación rápida en aire y no se concentra en la superficie del suelo (European Food Safety Authority, 2014).
Samriti et al. (2012) al efectuar aplicaciones del ingrediente activo clorpirifos en niveles de 250 y 500 g ha-1 luego de 10 días registraron una disipación del 92% en el suelo, los autores relacionan la disipación del clorpirifos al pH del suelo; informaron que el clorpirifos es mas persistente en suelos ácidos; en la presente investigación el suelo presentó un pH alcalino (7.3) por lo tanto la disipación fue viable tal como se de observa en la Figura 1.
El clorpirifos incorporado al suelo se integró a un medio muy dinámico con propiedades particulares, su periodo de degradación fue muy variable. Una vez aplicado al suelo ocurrió un periodo lento de disipación de corta duración donde la concentración inicial se mantuvo (1,7,14 y 28 DDIC), en seguida se observó una disminución más efectiva del plaguicida (42, 70 y 93 DDIC) y por último continuará la persistencia donde el plaguicida se degradará lentamente.
La información existente y los datos encontrados (Cuadro 4) muestran que la tasa de disipación y vida media de clorpirifos fueron diferentes por efecto de los tratamientos empleados. La mayor tasa de disipación diaria y menor vida media de clorpirifos fue producto de la aplicación del tratamiento T1 lo contrario sucedió con la aplicación del tratamiento T4 donde la tasa de disipación diaria fue menor con una mayor vida media de clorpirifos.

Los datos disponibles sobre la tasa de disipación diaria y vida media del clorpirifos en el suelo son variables. Al respecto, Briceño et al. (2012); Gebremariam, Beutel, Yonge, Flury y Harsh (2012) explicaron que la vida media de clorpirifos en el suelo es muy inestable puede oscilar entre dos semanas y un año dependiendo de la dosis de aplicación asi como del tipo de suelo, microorganismos edáficos, clima y humedad del entorno ambiental. Si la vida media es mayor a la frecuencia de aplicación ocurrirá una acumulación en el suelo.
Según European Food Safety Authority (2014) el ingrediente activo clorpirifos es persistente en suelo con una vida media de 120 días. Chai, Wong y Hensen (2013) evaluaron en condiciones de laboratorio la degradación de clorpirifos en suelos podzólicos procedentes de Malasia, en estas condiciones la vida media de clorpirifos fue más rápida en suelos húmedos (53.3 - 77.0 días) comparado con suelos secos (49.5 - 120 días), la degradación se incrementó con la temperatura y disminuyó cuando se aplicó niveles más elevados de clorpirifos. Baker y Bellamy (2006) en un estudio realizado en Estados Unidos reportaron valores mayores de clorprifos en en el suelo respecto a los estudiados en la presente investigación, encontrando que la concentración de clorpirifos evaluado a 12 meses disminuyó de 1420 a 315 mg kg-1 logrando un 75% de disipación en terreno abierto y en terreno cubierto de 1601 bajó a 813 mg kg-1 con 49% de disipación, en ambos terrenos la vida media de clorpirifos fue cercano a 365 días. Sardar y Kole (2005) en un suelo aluvial de la India evaluaron la disipación de clorpirifos aplicado en dosis de 1,10 y 100 kg ha-1, la disipación configuró una cinética de primer orden y las vidas medias calculadas estuvieron entre 20 y 37 días a 28 °C. Murray, Stein, Kennedy y Sanchez (2001) en Australia evaluaron la vida media de clorpirifos en suelos alcalinos aplicando tres niveles (1000, 100 y 10 mg kg-1), las vidas medias fueron 385, 155 y 41 días respectivamente demostrando que a mayor nivel aplicado la vida media se incrementa.
Caracterización de la fertilidad del suelo
Los resultados de las variables del suelo analizadas indicados en el Cuadro 5 no evidencian diferencias significativas al primer día de evaluación entre los tratamientos estudiados. Para evaluaciones a 98 días si existieron diferencias significativas entre el día 1 y el día 98 de todos los tratamientos. Sobre la MO del suelo, el tratamiento T1 favoreció su contenido siendo mayor respecto a los demás tratamientos. Al primer día de evaluación se incrementó hasta 3.570% debido a la incorporación de vermicompost y a los 98 días descendió a 3.260%. Siendo el nivel inicial 3.380% hubo un desgaste de MO atribuido a los procesos de humificación y su utilización como sustrato orgánico por parte de los microorganismos del suelo para favorecer la degradación de clorpirifos. La materia orgánica constituye uno de los indicadores más importantes de la calidad del suelo (Cotler, Martínez y Etchevers, 2016) su proporción y calidad repercuten en la dinámica del clorpirifos en el suelo debido a su influencia en otras propiedades edáficas como la CIC que favorece los procesos de adsorción-desorción de compuestos en el suelo condicionados por la temperatura y humedad (Baskaran et al., 1999; Dar et al., 2019).

El Cuadro 5 para los 98 días de evaluación revela una correlación negativa significativa entre el contenido de MO y la concentración de clorpirifos en el suelo, demostrando que a mayor presencia de MO en el suelo la concentración de clorpirfos será menor. Sin embargo, se precisa que la cantidad de clorpirfos que esta investigación utilizó es mucho menor de las que reportan otros trabajos de investigación descritos en este documento.
Al primer día de evaluación el contenido de N total del suelo fue mayor por efecto del tratamiento T1 frente a los demás tratamientos, aunque sin mostrar diferencia estadística significativa (Cuadro 5). A 98 días de evaluación se observó una disminución de N con relación al nivel inicial del suelo (0.170%). Según el Cuadro 6 a 70 días existe una correlación negativa significativa entre N total y la concentración de clorpirifos en el suelo, con un comportamiento similar a la MO. En la investigación hubo un descenso de la MO y N del suelo conforme trancurrieron los días de evaluación. La materia orgánica incorporado al suelo se somete a procesos de mineralización y humificación logrando un decenso en su contenido, en el caso del N ocurren procesos de desnitrificación que disminuyen su contenido en el suelo (Quiroga y Bono, 2012).
Los valores de P (fosforo) y K (potasio) del suelo se incrementaron en todos los tratamientos en ambos periodos de evaluación con respecto a los niveles iniciales (Cuadro 5). En el caso del P no se encontraron correlaciones significativas con la presencia de clopririfos (Cuadro 6); en cambio, entre K y clorpirifos se identificó una correlación negativa significativa para todos los periodos de evaluación excepto a 42 días. La CE del suelo evaluado a 98 días se incrementó en todos los tratamientos con relación al nivel inicial (0.540 dS m-1) siendo mayor en el T1 (1.717 dS m-1) aunque sin superar niveles de salinidad que signifiquen un riesgo para el desarrollo de cultivos locales. La CE se incrementó debido a que el vermicompost aplicado tuvo un nivel importante de sales probablemente debido a su procedencia. Entre CE y clorpirifos se reveló una correlación negativa significativa para los periodos de evaluación de 1, 70 y 98 días. El pH descendió en todos los tratamientos respecto al nivel inicial (7.3). El tratamiento T1 logró un pH de 6.5 a 98 días de evaluación. Según el Cuadro 6 a 98 días existe una correlación negativa significativa entre pH y la concentración de clorpirifos en el suelo. Todos los valores de pH obtenidos por efecto de los tratamientos estuvieron en niveles de ligeramente ácido a ácido (6.5 - 5.2). La estabilidad de clorpirifos disminuye al aumentar el pH; el pH al cual es más estable es 5 y el pH que facilita su degradación es 5.7 (Singh, Walker, Morgan y Wright, 2003). La CIC del suelo fue favorecido por el tratamiento T1 siendo mayor respecto a los demás tratamientos, a los 98 días llegó a 11.482 cmol kg-1 siendo el nivel inicial 6.106 cmol kg-1 (Cuadro 5) hubo un incremento de la CIC atribuido al mayor contenido de MO agregado al suelo en forma de vermicompost. Según el Cuadro 6 entre la CIC y clorpirifos se reveló una correlación negativa significativa para los periodos de evaluación de 1, 70 y 98 días; demostrando que a mayor CIC del suelo la concentración de clorpirfos será menor, este efecto sería indirecto y atribuido a la MO. La relación entre MO y la CIC del suelo es directamente proporcional.

Como se observa en el Cuadro 6, existe una variabilidad de interacciones entre el contenido residual de clorpirifos y las propiedades del suelo. Al respecto, Sardar y Kole (2005); Gebremariam et al., (2012); Chai et al., 2013) sostienen que el periodo de disipación, la velocidad de descomposición y la vida media de los plaguicidas organofosforados es relativa debido a que es dependiente de factores como las propiedades del compuesto organofosforado, materia orgánica, CIC, pH, temperatura, humedad, tipo de arcilla, entre otros atributos del suelo en interacción con los factores climáticos del entorno
Conclusiones
Los resultados obtenidos en la investigación demuestran que la aplicación de vermicompost en niveles crecientes disminuye la concentración residual e incrementa la disipación de clorpirifos en el suelo. El tratamiento T1 (7.5% de vermicompost y 92.5% de suelo) registró el menor contenido residual, mayor tasa de disipación y menor vida media de clorpirifos. En cuanto a la fertilidad del suelo, los niveles de P, K, CE y CIC se incrementaron mientras que los niveles de MO, N y pH descendieron luego de la aplicación de vermicompost en un entisol de clima semiárido.
Agradecimientos
Al Laboratorio de Análisis Agroambiental de la Universidad Nacional de San Agustín de Arequipa - Perú por las facilidades brindadas para el desarrollo de la investigación.
Literatura Citada
Aguirre, L., García, F., García, J., Illera, M., Juncabella, M., Lizondo, M., … & Cortés, R. (2001). Validación de métodos analíticos. Barcelona, España: Asociación Española de Farmacéuticos de la Industria.
Akash, S., Sivaprakash, B., Rajamohan, N., Pandiyan, C., & Vo, D. (2022). Pesticide pollutants in the environment - A critical review on remediation techniques, mechanism and toxicological impact. Chemosphere, 301, 134754. https://doi.org/10.1016/j.chemosphere.2022.134754
Alizadeh, R., Rafati, L., Ebrahimi, A. A., & Sedighi Khavidak, S. (2018). Chlorpyrifos bioremediation in the environment: A review article. Journal of Environmental Health and Sustainable Development, 3(3), 606-615.
Arias-Estévez, M., López-Periago, E., Martínez-Carballo, E., Simal-Gándara, J., Mejuto, J., & García-Río, L. (2008). The mobility and degradation of pesticides in soils and the pollution of groundwater resources. Agriculture, Ecosystems and Environment, 123(4), 247-260. https://doi.org/10.1016/j.agee.2007.07.011
Atkinson, R., Horna, D., Barrenechea, J., Flores, M., Ramírez, M., Sánchez, R. A., … & Maurer, A. (2023).Del campo a la mesa: Análisis y Recomendaciones sobre el Hallazgo de Residuos Excesivos de Plaguicidas en Productos Agrícolas en el Perú. Lima, Peru: CONCYTEC
Baskaran, S., Kookana, R., & Naidu, R. (1999). Degradation of bifenthrin, chlorpyrifos and imidacloprid in soil and bedding materials at termiticidal application rates. Pesticide Science, 55(12),1222 -1228
Baker, P. B., & Bellamy, D. E. (2006). Field and laboratory evaluation of persistence and bioavailability of soil termiticides to desert subterranean termite. Heterotermes aureus (Isoptera: Rhinotermitidae). Journal of Economic Entomology, 99(4), 1345 -1353. https://doi.org/10.1093/jee/99.4.1345
Barriuso, E., Andrades., M., Benoit, P., & Houot, S. (2011). Pesticide desorption from soils facilitated by dissolved organic matter coming from composts: experimental data and modelling approach. Biogeochemistry, 106, 117-133. https://doi.org/10.1007/s10533-010-9481-y
Bazán-Tapia, R. (2017). Manual de procedimientos de los análisis de suelos y agua con fines de riego. Lima, Perú: Instituto Nacional de Innovación Agraria - INIA.
Bhende, R., Jhariya, U., Srivastava, S., Bombaywala, S., Das, S., & Dafale, N. (2022). Environmental Distribution, Metabolic Fate, and Degradation Mechanism of Chlorpyrifos: Recent and Future Perspectives. Applied Biochemistry and Biotechnology, 194(5), 2301 - 2335. https://doi.org/10.1007/s12010-021-03713-7
Bondareva, L., & Fedorova N. (2021). Pesticides: Behavior in agricultural soil and plants. Molecules, 26(17), 1-15. https://doi.org/10.3390/molecules26175370
Briceño, G., Palma, G., & Durán, N. (2007). Influence of organic amendment on the biodegradation and movement of pesticides. Critical Reviews in Environmental Science and Technology, 37(3), 233-271. https://doi.org/10.1080/10643380600987406
Briceño, G., Fuentes, M., Palma, G., Jorquera, M., Amoroso, M., & Diez, C. (2012). Chlorpyrifos biodegradation and 3,5,6-trichloro-2-pyridinol production by Actinobacteria isolated from soil. International Biodeterioration & Biodegradation, 73, 1-7. http://dx.doi.org/10.1016/j.ibiod.2012.06.002
Caprile, A. C., Sasal, M. C., Repetti, M. R., & Andriulo, A. E. (2019). Plaguicidas retenidos en el suelo y perdidos por escurrimiento en dos secuencias de cultivo bajo siembra directa. Ciencia del Suelo, 37(2), 338-354.
Cotler, H., Martínez, M., & Etchevers, J. (2016). Carbono orgánico en suelos agrícolas de México: Investigación políticas públicas. Terra Latinoamericana, 34(1), 125-138
Chai, L., Wong, M., & Hansen, H. (2013). Degradation of chlorpyrifos in humid tropical soils. Journal of Environmental Management, 125, 28-32. https://doi.org/10.1016/j.jenvman.2013.04.005
Dar, M., Kaushik, G., & Villarreal-Chiu, J. F. (2019). Pollution status and bioremediation of chlorpyrifos in environmental matrices by the application of bacterial communities: A review. Journal of Environmental Management, 239, 124-136. https://doi.org/10.1016/j.jenvman.2019.03.048
European Food Safety Authority (2014). Conclusion on the peer review of the pesticide human health risk assessment of the active substance Clorpirifos. EFSA Journal, 12(4), 3640. https://doi.org/10.2903/j.efsa.2014.3640
Fantke, P., & Juraske, R. (2013). Variability of pesticide dissipation half-lives in Plants. Environmental Science & Technology, 47(8), 3548-3562. https://doi.org/10.1021/es303525x
Gebremariam, S. Y., Beutel, M. W., Yonge, D. R., Flury, M., & Harsh, J. B. (2012). Adsorption and Desorption of Chlorpyrifos to Soils and Sediments. Reviews of Environmental Contamination and Toxicology, 215, 123-75. https://doi.org/10.1007/978-1-4614-1463-6_3
Hanson, B., Bond, C., Buhl, K. & Stone, D. (2015). Pesticide Half-life Fact Sheet; National Pesticide Information Center, Oregon State University Extension Services. Consultado el 5 de octubre, 2023, desde Consultado el 5 de octubre, 2023, desde http://npic.orst.edu/factsheets/half-life.html
Halimah, M., Zulkifli, M., Tan, Y. A., Hasnol, O., & Ismail, B. S. (2011). Leaching of chlorpyrifos in peat soil of an oil palm plantation in Malaysia. American-Eurasian Journal of Sustainable Agriculture, 5(2), 209-215.
Hathout, A. S., Saleh, E., Hussain, O., Amer, M., Mossa, A. T., Yassen, A. A., & Fouzy, U. (2022). Determination of pesticide residues in agricultural soil samples collected from Sinai and Ismailia Governorates, Egypt. Egyptian Journal of Chemistry, 65(3), 415-425. https://doi.org/10.21608/ejchem.2021.93174.4404
Kadian, N., Malik, A., Satya, S., & Dureja, P. (2012). Effect of organic amendments on microbial activity in chlorpyrifos contaminated soil. Journal of Environmental Management, 95, 199-202. https://doi.org/10.1016/j.jenvman.2010.10.023
Kurnia, A., Dewi, I., Makmur, R., Sarwoto., & Harsanti, E. (2021). Effect of chlorpyriphos in the soil on the onion cultivation and its declining. IOP Conference Series: Earth and Environmental Science, 648, 012090. https://doi.org/10.1088/1755-1315/648/1/012090
Majzik-Solymos, E., Visi, A., Károly, G., Beke-Berczi, B., & Györfi, L. (2001). Comparison of extraction methods to monitor pesticide residues in surface water. Journal of Chromatographic Science, 39(8), 325-331. https://doi.org/10.1093/chromsci/39.8.325
Márquez-Girón, S. M., Mosquera-Ballesteros, R., Herrera-Torres, M., & Monedero, C. (2010). Estudio de la absorción y distribución del clorpirifos en plantas de pasto Kikuyo (Pennisetum clandestinum Hochst ex chiov.) cultivadas hidropónicamente. Revista Colombiana de Ciencias Pecuarias, 23(2), 158-165.
MINAM (Ministerio del Ambiente). (2017). Decreto Supremo N° 011-2017-MINAM, Que establece el nivel de concentración o del grado de elementos, sustancias o parámetros físicos, químicos y biológicos, presentes en el aire, agua o suelo, en su condición de cuerpo receptor, que no representa riesgo significativo para la salud de las personas ni al ambiente Diario Oficial del Bicentenario. Peru.: MINAM.
Murray, R. T., Stein, C. V., Kennedy, I. R., & Sanchez-Bayo, F. (2001). Stability of chlorpyrifos for termiticidal control in six Australian soils. Journal of Agricultural and Food Chemistry, 49(6), 2844-2847. https://doi.org/10.1021/jf010031t
Odukkathil, G., & Vasudevan, N. (2013). Toxicity and bioremediation of pesticides in agricultural soil. Reviews in Environmental Science and Bio/Technology, 12, 421-444. https://doi.org/10.1007/s11157-013-9320-4
Pereira, P. C., Parente, C. E., Carvalho, G. O., Torres, J. P., Meire, R. O., Dorneles, P. R., & Malm, O. (2021). A review on pesticides in flower production: A push to reduce human exposure and environmental contamination. Environmental Pollution, 289, 117817. https://doi.org/10.1016/j.envpol.2021.117817
Queen´s Printer (2014). Environmental Management Act, Contaminated sites regulation. Consultado el 2 de setiembre, 2023, desde Consultado el 2 de setiembre, 2023, desde https://support.esdat.net/Environmental%20Standards/canada/bc/sch10.htm
Quiroga, A., & Bono A. (2012). Manual de fertilidad y evaluación de suelos. Argentina: Ediciones INTA.
R Core Team. (2020). R: A Language and Environment for Statistical Computing. Vienna, Austria: R Foundation for Statistical Computing.
Rasool, S., Rasool, T., & Gani, K. M. (2022). A review of interactions of pesticides within various interfaces of intrinsic and organic residue amended soil environment. Chemical Engineering Journal Advances, 11, 100301. https://doi.org/10.1016/j.ceja.2022.100301
Romo-Campos, R. D. L., Contreras-Rodríguez, S. H., Huerta-Martínez, F. M., & Muñoz-Urías, A. (2009). Efecto del vermiabono en crecimiento y acumulación de biomasa en Aeschynomene americana L. en bancos de minería a cielo abierto. Terra Latinoamericana, 27(2), 115-121.
Samriti, M., Chauhan, R., & Kumari, B. (2012) Persistence of chlorpyriphos in okra (Abelmoschus esculentus) fruits and soil. Toxicological & Environmental Chemistry, 94(9), 1726-1734. https://doi.org/10.1080/02772248.2012.728601
Sánchez-Brunete C., Miguel, E., & Tadeo, J. (2002). Multiresidue analysis of fungicides in soil by sonication-assisted extraction in small columns and gas chromatograph. Journal of Chromatography A, 976 (1-2), 319 - 327. https://doi.org/10.1016/S0021-9673(02)00947-0
Sánchez-Hernández, J., & Cares, X. (2019). Exploring the potential enzymatic bioremediation of vermicompost through pesticide-detoxifying carboxylesterases. Ecotoxicology and Environmental Safety, 183, 109586. https://doi.org/10.1016/j.ecoenv.2019.109586
Sardar, D., & Kole, R. K. (2005). Metabolism of chlorpyrifos in relation to its effect on the availability of some plant nutrients in soil. Chemosphere, 61(9), 1273-1280. https://doi.org/10.1016/j.chemosphere.2005.03.078
Senamhi (Servicio Nacional de Meteorología e Hidrología del Perú). (2023). Arequipa, condiciones climáticas actuales. Consultado el 4 de noviembre, 2023, desde https://www.senamhi.gob.pe/main.php?dp=arequipa&p=condiciones-climaticas
Singh, B. K., Walker, A., Morgan, J. A. W., & Wright, D. J. (2003). Effects of soil pH on the biodegradation of Clorpirifos and isolation of Clorpirifos-degrading bacterium. Applied and Environmental Microbiology, 69(9), 5198-206. https://doi.org/10.1128/AEM.69.9.5198-5206.2003
Singh, B. K., & Walker, A. (2006). Microbial degradation of organophosphorus compounds. FEMS Microbiology Reviews, 30(3), 428-471. https://doi.org/10.1111/j.1574-6976.2006.00018.x
Varghese, E., Aswani, P., & Jisha, M. (2022). Strategies in microbial degradation enhancement of chlorpyrifos-a review based on the primary approaches in soil bioremediation. Biocatalysis and Biotransformation, 40(2), 83 - 94. https://doi.org/10.1080/10242422.2021.1939693
Yáñez-Ocampo, G., Sánchez-González, M. E., De la Portilla-López, N., Marmolejo-Santillán, Y., Del Águila-Juárez, P., Lugo-de la Fuente, J., & Vaca-Paulín, R. (2020). Densidad poblacional de actinomicetos en suelos florícolas, enmendados con vermicomposta. Terra Latinoamericana, 38, 745-753. https://doi.org/10.28940/terra.v38i4.570
Zikankuba, V. L., Mwanyika, G., Ntwenya, J. E., & James, A. (2019). Pesticide regulations and their malpractice implications on food and environment safety. Cogent Food & Agriculture, 5(1), 1601544. https://doi.org/10.1080/23311932.2019.1601544
Editora de Sección:
Editor Técnico:
Declaración de Ética
Consentimiento para Publicación
Disponibilidad de Datos
Conflicto de Intereses
Financiación
Contribución de los Autores
Notas de autor
‡ Autor para correspondencia: gsarmientos@unsa.edu.pe