Resumen: Introducción Se hace una revisión sobre las ondas gravitacionales, su simulación y los métodos usados para su detección definitiva el año 2015. Se presenta una comparación de las ondas electromagnéticas con las ondas gravitacionales y los principales esfuerzos tecnológicos realizados por décadas para su detección. Objetivo es detectar OG a partir de agujeros negros masivos y estrellas binarias galácticas y extragalácticas en un rango de frecuencias de 10−4 a 10−1 Hz. Materiales y métodos Se especifican los métodos numéricos usados en su simulación, haciendo énfasis en las técnicas computacionales usadas en los últimos años. Resultados La frontera se coloca en x = 2/3 y se usan los parámetros para las simulaciones mostradas en las figuras 3 y 4: número de puntos de la malla angular Nq=Np=Nξ =45, y para la malla radial Nx=100, A=10-3, Ra = 4, Rb = 7. Discusión: Las simulaciones fueron realizadas con un código programado en FORTRAN 90 y corren bajo plataforma de software libre LINUX. Las figuras fueron generadas con el graficador Dx bajo ambiente LINUX, permitieron evaluar las ecuaciones respectivas y dar respuesta satisfactoria a los objetivos planteados. Conclusiones: fue posible concluir que es posible la detección de ondas gravitacionales, sin embargo es necesario mejorar la sensibilidad, lo que permitirá la detección de nuevos eventos colectando información sobre fuentes tres veces más distantes, y aumentando la probabilidad de detección.
Palabras clave:Ondas gravitacionalesOndas gravitacionales,SimulaciónSimulación,métodos numéricosmétodos numéricos.
Abstract: Introduction : A review is made of gravitational waves, their simulation and the methods used for their definitive detection in 2015. A comparison of electromagnetic waves with gravitational waves and the main technological efforts made over decades for their detection is presented. Objective: is to detect OG from massive black holes and galactic and extragalactic binary stars in a frequency range of 10-4 to 10-1 Hz. Materials and methods: Numerical methods used in its simulation are specified, emphasizing computational techniques used in recent years. Results: The boundary is placed at x = 2/3 and the parameters are used for the simulations shown in figures 3 and 4: number of points of the angular mesh Nq = Np = Nξ = 45, and for the radial mesh Nx = 100 , A = 10-3, Ra = 4, Rb = 7. Discussion: The simulations were carried out with a code programmed in FORTRAN 90 and run under the LINUX free software platform. The figures were generated with the Dx plotter under LINUX environment, allowed to evaluate the respective equations and give a satisfactory answer to the proposed objectives. Conclusions: it was possible to conclude that the detection of gravitational waves is possible, however it is necessary to improve the sensitivity, which will allow the detection of new events collecting information about sources three times more distant, and increasing the probability of detection.
Keywords: Gravitational waves, simulations, numerical methods.
Simulation of quasi spherical gravitational waves in the characteristic formulation
Simulation of quasi spherical gravitational waves in the characteristic formulation
Recepción: 05 Enero 2019
Aprobación: 17 Abril 2019
En Relatividad General la dinámica del espacio-tiempo está determinada por las ecuaciones de campo de Einstein, la cual predice la existencia de las ondas gravitacionales (OG). La detección de estas ondas ocupó a gran parte de la comunidad científica de tal forma, que se lograron avances significativos en las última décadas por la colaboración entre diversos grupos dedicados a las simulaciones y a los esfuerzos experimentales hasta su detección definitiva en 2015 (Castelvechi, 2016), (LIGO, Caltech, 2018).
De acuerdo con la teoría general de la relatividad, el efecto de la gravedad puede considerarse como el resultado de la curvatura del espacio. Cuanto más masivo es el cuerpo, mayor es esta perturbación. Las ondas gravitacionales son un fenómeno físico que Albert Einsten predijo en 1916 en el contexto de la relatividad General. Los cuerpos más violentos del universo, o los fenómenos en las que se pueden ver envueltos (supernovas, parejas de estrellas de neutrones, la colisión de agujeros negros), liberan masa en forma de OG a la velocidad de la luz. El entendimiento y detección de las ondas gravitacionales son pasos esenciales para la comprensión del universo (LIGO, detecs gravitational waves, 2018).
Los experimentos para la detección de las OG comenzaron con Weber en la década de los sesenta , (Misner, Thorne y Wheeler,1973). Se esperaba que una onda gravitacional perturbaría una barra metálica, dando origen a los detectores de barras resonantes. En 1979, Drever y Thorne (este último fue fundamental para establecer la teoría y posterior detección de las OG) en Caltech inician el proyecto de detección de las OG con técnicas de interferometría láser. El principio consiste en medir la diferencia entre los desplazamientos de masas que se producen por la incidencia de una OG. Un problema inherente a la detección de estas fue que los equipos diseñados poseen una enorme sensibilidad que cualquier tipo de vibración los alteraba. Esto incluye microsismos, el tráfico de vehículos y la actividad humana en las cercanías de los observatorios, vibraciones térmicas de los dispositivos y moléculas residuales que perturban los haces de rayos láser en el caso de los interferómetros (Bishop, Gómez y Lehner, 1999).
En febrero de 2016 el director de LIGO, David Reitze, anunció la primera detección directa de ondas gravitacionales. Es el principio de una nueva era en astronomía: Kip Thorne, Rainer Weiss y Barry Barish fueron galardonados con el Nobel de Física de 2017 por sus contribuciones en un campo que permitirá desvelar aspectos hasta ahora desconocidos del universo. Los proyectos LIGO, Virgo y GEO600 trabajaron en conjunto para la primera detección de ondas gravitacionales, generadas por la fusión de dos agujeros negros a unos 410 megapársecs de la Tierra. La señal detectada se codificó GW150914,15. GW es el acrónimo de onda gravitacional (en inglés) y el código numérico representa el año, mes y día de su descubrimiento (Bishop, Gómez y Lehner,1996).
Las mediciones y registros en el detector LIGO ubicados en Hanford, Washington, Estados Unidos y de Livingston, Luisiana y la comparación con los predicciones de las simulaciones se complementaron para demostrar una de las predicciones más extraordinarias de la Relatividad General. La onda observada el 14 de septiembre de 2015 por Marco Drago, científico del Instituto Albert Einstein en Hannover, Alemania, es compatible con las predicciones de la relatividad general para la coalescencia y fusión de un par de agujeros negros y el subsiguiente ringdown (modo cuasinormal) del agujero negro resultante. Más adelante, como resultado de nuestras simulaciones se muestra el ringdown correspondiente cuando un campo escalar perturba un agujero negro.
En este trabajo se muestra un resumen histórico de la teoría y esfuerzos experimentales para la detección de las OG. Además, se resaltan algunos resultados de simulaciones realizadas por los autores, en las cuales se emplean métodos computacionales de avanzada tales como: el formalismo eth de Newman-Penrose y el método de las características nulas. Se resuelve numéricamente el sistema Einstein-Klein-Gordon 3D (tres dimensiones espaciales y una temporal) cuasi esférica y se calcula numéricamente la radiación escalar y gravitacional en el infinito nulo futuro. El trabajo está distribuido de la siguiente manera: En la sección I se trata lo referente a la naturaleza de las OG incluyendo su predicción y una comparación de las ondas electromagnéticas con las ondas gravitacionales. En la sección II se describen los tipos de detectores y los métodos experimentales para su detección así como los detectores que existen actualmente. En la sección III se describen los métodos computacionales y finalmente en la sección IV se muestran los resultados de las simulaciones de las ondas gravitacionales. Por último, se muestran las conclusiones finalizando con las referencias.
Ondas electromagnéticas-ondas gravitacionales
En relatividad general, la masa perturba el espacio-tiempo y los cambios en la forma y posición de estas causan una distorsión que se propaga por el Universo a la velocidad de la luz. Esto se le conoce como ondas gravitacionales. Einstein calculó la potencia radiada por una fuente “Newtoniana” aislada, y demostró que depende cuadráticamente de las variaciones del momento cuadrupolar de la misma. Luego, A. Eddington comprobó que la predicción de Einstein era correcta y demostró que la propagación de las OG débiles a la velocidad de la luz en un espacio-tiempo plano es independiente del sistema de coordenadas. Bondi en 1957, tratando de explicar sobre la energía transportada por las OG, decía si se colocaban anillos en una barra metálica lisa, estos podrían desplazarse bajo la acción de una onda gravitacional incidente y calentar la barra, de tal forma que exista una transferencia de energía. Hacia los años sesenta, Bondi y otros autores estudiaron propiedades asintóticas de las OG en el infinito (Bondi, 1960; Bondi, Van der Burg y Metzner, 1962; Sachs, 1962, 1963; Penrose, 1963, Newman y Penrose, 1963). Estos trabajos sirvieron de bases teóricas para el estudio numérico y posterior simulación de OG,( Bishop, Gómez, Lehner, Maharaj y Winicour, 1999), (Weber, 1969), (Misner, Thorner, papadopoulos y Winicour, 1997).
Las OG se emiten a partir de masas aceleradas, tal como las ondas electromagnéticas son producidas por las cargas aceleradas. Estas ondas transportan información acerca de sus orígenes, tal como se demostró con su reciente detección, y de la naturaleza de la gravedad. Una comparación de las ondas electromagnéticas y las gravitacionales: Las ondas electromagnéticas son oscilaciones de los campos electromagnéticos que se propagan en el espacio-tiempo a la velocidad de la luz, mientras las ondas gravitacionales son propagaciones de las distorsiones del espacio-tiempo propagándose a la velocidad de la luz. Las ondas electromagnéticas resultan de la superposición de ondas a partir de átomos, moléculas y partículas, mientras que las OG son emisiones de energía a partir del movimiento de las masas.
Las ondas electromagnéticas pueden absorberse y dispersarse en la interacción con la materia, mientras que las ondas gravitacionales no se absorben ni se dispersan. Finalmente, la frecuencia de las ondas electromagnéticas se ubica a f > 107Hz, mientras que las ondas gravitacionales se espera que sean detectadas a frecuencias f < 104Hz (Rosales, Jarroui y Serrano, 2007), (Bishop,Gómez, Lehner y Maharaj, 1999),(Bunch y Hellemans, 2004). Entre las fuentes más prominentes de OG se tienen: colisión de agujeros negros, estrellas de neutrones rotantes, sistemas binarios de agujeros negros y de estrellas de neutrones.
Detectores: barras resonantes e interferometría láser
Dos tecnologías se siguen usando actualmente en la detección de las OG. La primera es monitorear los modos de vibración de una barra metálica sólida a muy bajas temperaturas, formando los detectores de Barras Resonantes. La segunda monitorea los desplazamientos relativos de masas usando técnicas de Interferometría Láser. Los interferómetros tienen algunas ventajas sobre los de barras resonantes. Los primeros operan en una amplia banda de frecuencias, mientras los otros operan en una banda reducida. Se esperaba que a comienzos de este siglo se obtuviesen los primeros resultados sobre la detección de ondas gravitacionales como realmente sucedió.
a. Detector de Barras Resonantes: El detector de barras resonantes, consiste en una tecnología cuyas oscilaciones mecánicas producidas por OG se convierten en señales eléctricas. Consta de un amplificador para la señal eléctrica y un sistema transductor. Este tipo de detectores se encuentran en la Universidad de Maryland, Universidad de Louisiana. Funcionan a muy bajas temperaturas para eliminar los ruidos térmicos y deben aislarse de tal forma que no sean afectadas por los microsismos. Actualmente, existen varios detectores de barras resonantes cilíndricos: Universidad de Perth, Australia y Universidad de Roma) operando a temperaturas de unos pocos grados Kelvin (temperaturas del helio líquido) y sensibilidades del orden de aproximadamente 10−19. Otros detectores operan a temperaturas de unos pocos miliKelvin (~100mK): AURIGA (Universidad de Legarno, Italia) y NAUTILUS (Universidad de Roma) operando a sensibilidades cercanas a 10−20.
b. Detectores basados en Interferometría Láser: LIGO es el Observatorio de Interferometría Láser desarrollado en colaboración Caltech-MIT en Estados Unidos (Weber, 1969),. Se construyeron prototipos en ambas instituciones y se usan para ubicar fuentes de OG tales como sistemas binarios, estrellas de neutrones rotantes, supernovas y otros fenómenos cosmológicos y astrofísicos tal como se demostró recientemente. Cuando incide la onda, la diferencia entre los desplazamientos de las masas ubicadas en los extremos de los brazos del Interferómetro, es monitoreada por el sistema óptico: un divisor de rayo en el centro y dos espejos unidos a dos masas en las esquinas del interferómetro. Cuando incide una onda gravitacional perpendicular al plano del equipo decrece la distancia entre las masas de prueba en uno de los brazos, mientras se incrementa en la otra. Los cambios pueden ser detectados si se logra el aislamiento de las masas de prueba de cualquier otra perturbación, tales como microsismos, moléculas de gas en el aire y fluctuaciones del láser.
Los brazos de LIGO están arreglados en forma de L, de tal forma que se midan los cambios de distancia entre las masas suspendidas al final de cada brazo. Este efecto oscila entre los dos brazos a la frecuencia de las ondas gravitacionales ΔL = ΔL1 − ΔL2 = hL, donde h es la amplitud de la onda proporcional a la longitud del interferómetro L. Para LIGO es 4 km, esto da una amplitud de la onda de h ~10−21 m.
Mientras, VIRGO (Francés-Italiano) consiste en un Interferómetro de Michelson formado por dos brazos ortogonales de 3 km de longitud. Está localizado cerca de Pisa y se espera sea sensible a la radiación producida por Supernovas y coalescencia de sistemas binarios en la Vía Láctea y otras galaxias. Para lograr el aislamiento del equipo, se están desarrollando las más avanzadas técnicas en las altas potencias de los láser, buena reflexión de los espejos y aislamiento sísmico.
GEO (Británico-Alemán) construido cerca de Hannover, con brazos de 600 metros de longitud. TAMA en Japón consiste de Interferómetro Fabry-Perot, está localizado en Tokio y se desarrolla con técnicas avanzadas que permitirán detectar OG provenientes del grupo local de galaxias. Se espera que la coalescencia de estrellas de neutrones binarias, así como las Supernovas puedan producir ondas detectables por el equipo.
El detector espacial LISA (ESA-NASA) fue propuesto por la European Space Agency y el láser Interferometer Space Antenna y se espera que obtenga los primeros resultados el 2014. El objetivo primario de LISA es detectar OG a partir de agujeros negros masivos y estrellas binarias galácticas y extragalácticas en un rango de frecuencias de 10−4 a 10−1 Hz. LISA permitirá detectar OG generadas por binarias dentro de nuestra galaxia y por agujeros negros masivos en galaxias distantes. También permitirá estudiar fusiones de agujeros negros súper masivos.
ACIGA (Australia) fue propuesto en 1989 con el fin de monitorear el hemisferio sur y con la colaboración de los proyectos antes mencionados se han desarrollado técnicas avanzadas de Interferometría láser. Todos estos proyectos están distribuidos por todo el mundo y en colaboración mutua y trabajando en red, funcionan como un observatorio internacional de OG.
Detección
Con la reciente detección de las ondas gravitacionales, no se amplía el espectro electromagnético, sino que aparece un espectro nuevo, que proporcionará información sobre la materia oscura existente en el Universo y otros fenómenos hasta ahora desconocidos. El noventa por ciento de la materia del Universo es invisible y la información sobre la materia oscura ayudará a los astrónomos a comprender mejor el nacimiento y destino del Universo (Castelyechi, 2018),(Rowan y Hough, 2000).
Hasta 2015, las OG no se habían detectado directamente, sin embargo, existieron evidencias indirectas de su existencia, resultado de los trabajos de Hulse y Taylor quienes estudiaron el sistema binario PSR1913+16, que consiste en un púlsar describiendo una órbita elíptica alrededor de otro. El púlsar tiene una velocidad orbital de 300 Km/s y las variaciones en los tiempos de llegada del pulso a la tierra proporcionaron información acerca de la órbita y sobre el período orbital del sistema, el cual es aproximadamente 8 horas. La variación del período orbital del púlsar fue seguido durante 14 años y el resultado está de acuerdo con las predicciones de la Relatividad General. El período orbital del sistema binario está decreciendo y la tercera Ley de Kepler está perdiendo energía. Esto concuerda con el flujo de energía por radiación gravitacional predicho por la fórmula cuadrupolar de Einstein. Por este trabajo, Hulse y Taylor fueron galardonados con el premio Nóbel de física en 1993 (Bishop, Gómez, Lehner, Maharaj y Wirincour, 1969).
Los dos observatorios de LIGO están separados 3,002 kilómetros, o sea, una distancia de 10 milisegundos luz. En febrero 2015, los dos detectores entraron en funcionamiento. Fue en este periodo cuando se detectaron las primeras señales de OG. La fuente de las ondas fue la fusión de dos agujeros negros con masas de aproximadamente 29 y 36 masas solares. La señal GW150914 se registró el 14 de septiembre. La energía liberada como resultado de la fusión es equivalente a tres masas solares (alrededor del 4,6% de la masa de los agujeros negros fusionados). Esta fusión, según los cálculos, ocurrió hace 1.300 millones de años luz (Abbott, Abbott, Abbott, Abernathy, Acernese, Ackley, Adams, Adams, 2016).
Durante la colisión entre dos agujeros negros se libera una enorme cantidad de energía, que tiene el efecto de deformar el espacio-tiempo y transmitir consigo ondas gravitacionales. “Si observamos el cielo en luz visible – según Thorne-, todo parece tranquilo. Pero en el rango de frecuencia de las ondas de radio esto cambia por completo. Con las ondas gravitacionales no se estudia la luz, ni ningún otro tipo de radiación. Se trata de una ventana completamente diferente. Tenemos ondas con periodos de milisegundos, de días, de años o de décadas”
En junio de 2016, físicos de LIGO y Virgo informaron que habían registrado ondas gravitacionales por segunda vez. Una tercera detección se publicó en Physical Review Letters en junio de 2017. En los tres casos, ambos detectores LIGO detectaron las ondas provenientes desde la fusión de dos agujeros negros. La tercera detección es la más lejana hasta el momento, con agujeros ubicados a 3 mil millones de años luz de la Tierra (las anteriores tenían 1.3 mil y 1.4 mil millones respectivamente).
El 27 de septiembre de 2017 la mencionada colaboración científica confirmaba la cuarta detección de ondas gravitatorias. Detectores en dos continentes separados por miles de kilómetros registraron, el pasado mes de agosto, señales de ondas gravitacionales de dos agujeros negros colisionando (Abbott, 2016), (Overbye, 2016). El descubrimiento es el primero realizado con tres interferómetros distintos: dos adscritos a LIGO y otro perteneciente a EGO/Virgo. La comparación del momento de las detecciones de ondas gravitacionales en los tres observatorios permitió a los astrónomos mejorar enormemente la ubicación del origen de la OG. En este caso, el suceso se corresponde a la fusión de dos agujeros negros de 31 y 25 masas solares, respectivamente. Ambos agujeros coalescen hasta su fusión durante breves segundos a casi dos mil millones de años luz de distancia en relación a nuestra posición actual en el cosmos. Estas detecciones contribuyen a confirmar definitivamente la teoría de la relatividad general de Einstein. Se le considera el descubrimiento más impactante de la física en los últimos años.
Para detectar las OG se deben comparar los datos experimentales con las simulaciones realizadas con métodos numéricos avanzados. Aun así, se requiere muchas horas de cálculo en supercomputadoras que permitan obtener resultados confiables en tiempos relativamente cortos.
Un método muy usado para resolver las ecuaciones de Einstein consiste en seccionar el espacio-tiempo en foliaciones (hojas de papel separadas por intervalos de tiempo de diferencia), especificar datos iniciales adecuados a la foliación inicial y hallar la evolución de los campos gravitacionales. En varios trabajos se han utilizado foliaciones especiales que permiten evaluar el señal de radiación gravitacional en el infinito. Para hallar los patrones de radiación se lleva a cabo una compactificación, que facilita la implementación numérica de las ecuaciones, siendo la convergencia y estabilidad de las soluciones la confirmación que las simulaciones están arrojando resultados confiables.
Desde la década de los noventa, una serie de trabajos se realizaron en simetría esférica, donde se han conseguido realizar simulaciones estables con datos iniciales del espacio-tiempo plano y datos iniciales que incluyen un agujero negro. Estos resultados fueron cruciales para la implementación general en tres dimensiones espaciales, para la simulación de modelos teóricos de ondas gravitacionales y en estudios más realistas del espacio-tiempo.
Estudiar la radiación gravitacional en forma analítica es difícil por la naturaleza compleja de las ecuaciones. La necesidad de investigar estos sistemas dió origen a la Relatividad Numérica, que ha permitido resolver las ecuaciones de campo de Einstein a partir de la prescripción del dato inicial (Bondi, Van der Bur y Metzner, 1962). Por ejemplo, los códigos que existen sugieren que una estrella colapsando puede emitir de 1 a 2% de su masa en forma de radiación gravitacional. La colisión entre agujeros negros, estrellas de neutrones, estrellas de neutrones y agujeros negros, estrellas rotantes son algunos de los problemas que se están tratando de simular. Con las recientes detecciones, se demostró que efectivamente, en la fusión de dos agujeros negros, la masa del agujero negro resultante es menor que la suma de las masas de los agujeros antes de la fusión. Un porcentaje se radió al espacio en forma de OG:
En las últimas décadas surgieron dos métodos que permiten especificar y evolucionar datos iniciales para problemas físicos complejos. El método de Cauchy (también conocido como ADM o “3+1”) folia el espacio-tiempo con hipersuperficies tipo espacio (Newman y Penrose, 1965). Alternativamente, la aproximación característica usa la foliación de hipersuperficies nulas. La evolución de Cauchy está muy desarrollada y se ha demostrado su utilidad en problemas con materia y campos fuertes. Sin embargo, está limitado a usarse en una región finita del espacio-tiempo y se necesita especificar condiciones de contorno artificiales. La evolución característica permite la compactificación del espacio-tiempo y la incorporación del infinito nulo dentro de una malla computacional finita. En el presente, la unificación de ambos métodos ofrece la mejor oportunidad de atacar el problema de dos cuerpos en la gravitación teórica moderna: la colisión de dos agujeros negros (Lazkoz y Valiente, 2003). En las simulaciones de este trabajo se usa la formulación característica.
Formulación Característica de la Relatividad General
La formulación característica de la Relatividad General se fundamenta en el problema del valor inicial característico formulado por Bondi (Rowan y Hough, 2000) . Entre las ventajas que ofrece esta formulación se tiene la compactificación de la coordenada espacial, lo cual permite transformar un intervalo infinito en una malla computacional finita de puntos y el conjunto de datos iniciales se puede especificar arbitrariamente. Si la coordenada radial compactificada es x=r/(r+1) , el infinito se describe por la hipersuperficie nula x = 1. Un campo en el espacio-tiempo se puede definir ahora globalmente en el intervalo (0 ≤ x ≤ 1). La trascripción de las ecuaciones de campo en esta nueva coordenada es necesaria antes de la implementación numérica y proporciona una ecuación de evolución para todos los radios incluyendo x = 1 (el infinito).
El formalismo eth (ð)
El Formalismo eth tiene su fundamento analítico en los artículos de Newman y Penrose en los años sesenta (Newman y Penrose, 1965). En los años noventa se empleó una versión numérica de este formalismo para simular la radiación gravitacional. El Formalismo eth permite la implementación numérica (discretización) de las coordenadas angulares y se ha aplicado a diferentes problemas de la Relatividad General. La técnica consiste en cubrir la esfera con dos parches de coordenadas estereográficas tangentes a los hemisferios norte y sur (Figura 1), con una zona llamada de solapamiento entre los parches. Los parches se definen por

Ambos parches se relacionan


Discretización de las coordenadas angulares
La ecuación de la onda suministra una descripción satisfactoria de ciertos sistemas físicos. La ecuación de onda 3D (tres dimensiones espaciales y una temporal) se expresa

donde c es la velocidad de la luz, F es el campo a determinar,
representa el operador Laplaciano

en coordenadas esféricas y

en las coordenadas rectangulares estereográficas. En el cálculo numérico la expresión (4) es dificil discretizar, mientras que la expresión (5) es mucho mas sencilla. De tal forma que se puede construir una malla de puntos (qk, pl) en una región cuadrada, de ancho NξΔ y alto NξΔ (Figura 2), con

donde Nξ es el número de puntos de la malla angular.

La aproximación en diferencia centrada a segundo orden para la primera derivada es

donde indica el error de truncamiento. Mientras que para la derivada segunda en términos de p y q se expresa

Simulación de las ondas gravitacionales
Muchos fenómenos físicos están representados por ecuaciones diferenciales en derivadas parciales. Debido a que no se conocen las soluciones analíticas para algunas de estas ecuaciones, se han implementado técnicas para resolverlas numéricamente que han permitido estudiar fenómenos físicos desde los más comunes y fundamentales de la naturaleza, como lo es el movimiento ondulatorio, hasta los más complejos como la colisión de dos agujeros negros [8,9,10]. En este trabajo se resuelve numéricamente el sistema Einstrein-Klein-Gordon cuasiesférico en 3D.
El sistema Einstein-Klein-Gordon en forma general

donde T representa la traza del tensor de energía-momentum para el campo escalar de masa nula, Rab es el tensor de Ricci y gab las componentes del tensor métrico. Se demuestra que las ecuaciones son acopladas mínimamente al campo escalar de masa nula, o el sistema de Einstein-Klein-Gordon cuasiesférico es

y la ecuación de evolución para el campo escalar de masa nula

donde es el operador D'lambertiano en coordenadas de Bondi-Sachs (Weber, 1969). Explícitamente, el sistema Einstein-Klein-Gordon cuasi-esférico en coordenadas de radiación es (Rosales et al, 2007)

donde

El sistema de ecuaciones a resolver está representado por las ecuaciones (12)-(18). Para el problema del valor inicial característico se necesita especificar el dato inicial sobre la primera hiper superficie y las condiciones de frontera sobre el tubo de mundo. Se usó un dato inicial de soporte compacto en la forma


La frontera se coloca en x = 2/3 y se usan los parámetros para las simulaciones mostradas en las figuras 3 y 4: número de puntos de la malla angular Nq=Np=Nξ =45, y para la malla radial Nx=100, A=10-3, Ra = 4, Rb = 7. Las condiciones de frontera sobre el tubo de mundo Γ son U = J = β = Ø = 0 y W = 0.
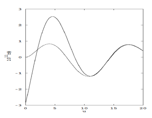
La figura 4 muestra el escalamiento del modo real de polarización de la onda gravitacional con el momentum angular l=1,2,3 y 4. Se muestra la asimetría en la forma de la onda. La figura 5 muestra el modo real para u=1 y u=2 para un dato inicial axial simétrico ( depende de r y theta en u=0). Se muestra la suavidad y simetría de la onda.



Convergencia y estabilidad
Como se mencionó antes las ondas gravitacionales tienen dos modos de polarización: el modo real N+ y el modo complejo Nx.
Otra prueba realizada fue el escalamiento de la amplitud de la onda gravitacional con el momentum angular. Esto se muestra en la figura 4, se muestra el comportamiento esperado para l=2,4,6,8.
La figura 7 muestra el modo cuasinormal simulado y el obtenido con esquemas perturbativos. Se muestra la coincidencia a medida que transcurre el tiempo.

Los parámetros son: masa del agujero negro M=1, Ra=5, Rb=7 y amplitud lambda=10 -6 La línea sólida muestra el modo cuasinormal obtenido usando teoría de perturbaciones.
Los AutoresLa Figura 1 muestra la evolución del campo escalar para diferentes tiempos. Puede observarse la suavidad de las curvas. La Figura 2 muestra el patrón de radiación gravitacional, en particular el modo real de polarización de la onda. Es clara la muy baja amplitud de la onda. Cabe destacar que las simulaciones fueron realizadas con un código programado en FORTRAN 90 y corren bajo plataforma de software libre LINUX. Las figuras fueron generadas con el graficador Dx bajo ambiente LINUX.
En la figura 4 la parte angular del dato inicial lo constituye un armónico esférico Ylm. Para l=2 la curva se mantiene estable. A medida que l aumenta se muestra el efecto en la amplitud. La figura 4 muestra el modo de polarización real para dos tiempos u=1 y u=3 para un dato inicial 3D ( depende de r,theta y phi en u=0).
La convergencia del código para calcular la radiación gravitacional se llevó a cabo con el modo de polarización complejo. Esto es, si el dato inicial es axial simétrico el modo complejo debería ser cero. Efectivamente, este es un ruido de magnitud 10-22 aproximadamente, el cual se monitoreo construyendo una tabla con 13 datos. Nx=30…160. Definiendo error (Nx-0), al graficar log(error) con respecto de log(dx), se tiene una recta de pendiente 1,8 en acuerdo con el orden esperado de 2.
Se esperaba que en la primera o segunda década de este siglo los detectores registraran señales representativas de las ondas gravitacionales, tal como ocurrió. En el futuro inmediato la deteción de OG será muy común de ahora en adelante. Hay esfuerzos en marcha para mejorar la red global de detectores de ondas gravitacionales. Estos incluyen la construcción de nuevos detectores , mejorar la sensibilidad, lo que permitirá la detección de nuevos eventos colectando información sobre fuentes tres veces más distantes, y aumentando la probabilidad de detección. Además de Virgo, KAGRA, y un tercer LIGO en la India extenderán la red y mejorarán significativamente la ubicación de posición y estimación de parámetros de las fuentes. La masa y momento angular del agujero negro posterior a la fusión son compatibles con las propiedades de los dos agujeros negros antes de la fusión según predice la relatividad general. Esto constituye una prueba de la relatividad general en el régimen de campos fuertes, un régimen casi imposible verificar hasta ahora.
En cuanto a las simulaciones, el método característico representa una forma ventajosa de estudiar la radiación gravitacional, debido a que el dato inicial es arbitrario. Su desventaja hasta el presente ha sido la dificultad de simular la colisión de sistemas binarios. Lo contrario sucede con el formalismo de Cauchy, donde el dato inicial es el resultado de resolver ecuaciones diferenciales adicionales y permite simular sistemas binarios. Sin embargo, se obtienen resultados que aportan al estudio teórico experimental de las OG.
Con la detección de OG se abre una nueva ventana al universo. Aparte de confirmar la teoría de la Relatividad General como la teoría correcta para describir los fenómenos gravitacionales y la existencia de agujeros negrospudieran dar explicaciones muchos otros fenómenos gravitacionales hasta ahora desconocidos, tal como la materia oscura del universo. También, que aplicaciones tecnológicas pudieran lograrse con la detección y completa descripción de estas ondas.







Los parámetros son: masa del agujero negro M=1, Ra=5, Rb=7 y amplitud lambda=10 -6 La línea sólida muestra el modo cuasinormal obtenido usando teoría de perturbaciones.
Los Autores