Resumen: Introducción Se hace una revisión del estrés laboral, su simulación y los métodos usados para su detección. Se presenta una comparación de los espectros de voz, respiración y pulso con morfologías del rostro y se resaltan los principales esfuerzos tecnológicos realizados por décadas para detectar los estados de ánimo, los cuales se reflejan en el estrés. Objetivo Verificar las ecuaciones dinámicas del estrés y con ellas desarrollar un sistema que permita reconocer la presencia de estrés y categorizar su estado. Materiales y métodos . Se especifican los métodos numéricos usados en su simulación, haciendo énfasis en las técnicas de computación inteligente utilizadas en años recientes. Se evalúa un sistema dinámico del estrés y se calcula numéricamente su impacto en el desarrollo de enfermedades laborales. Se resuelven las ecuaciones diferenciales autónomas no lineales determinadas por aproximación lineal, donde los valores propios de la matriz jacobiana son evaluados en los puntos de equilibrio que definen la estabilidad. Se evalúan las variables asociadas al estrés en un sistema informático, que permite el registro y evaluación de pacientes. Resultados Entre los resultados obtenidos se menciona el incremento de las posibilidades de enfermedad con el incremento del estrés presentado en las personas, lo cual resulta totalmente concordante con lo presentado en las señales EKG, que se ven afectadas considerablemente ante situaciones estresantes. Discusión: Se evalúan los puntos críticos como elementos representativos del estrés y el estresor, logrando conseguir una relación estrecha entre los mismos. Conclusiones: fue posible concluir que la presencia continua de estresores puede conducir a situaciones importantes de salud, con repercusiones en el estado emocional de las personas, en las relaciones sociales y en su desempeño laboral.
Palabras clave:Estrés laboralEstrés laboral,computación inteligentecomputación inteligente,SimulaciónSimulación.
Abstract: Introduction : A review of work stress, its simulation and the methods used for its detection is made. A comparison of the speech, respiration and pulse spectra with face morphologies is presented, highlighting the main technological efforts made over decades to detect mood states, which are reflected in stress. Objective: Verify the dynamic equations of stress and with them develop a system that allows to recognize the presence of stress and categorize its state. Materials and methods: The numerical methods used in its simulation are specified, emphasizing the intelligent computing techniques used in recent years. A dynamic stress system is evaluated and its impact on the development of occupational diseases is calculated numerically. The independent non -linear differential equations determined by linear approximation are solved, where the eigenvalues of the Jacobian matrix are evaluated in the points of equilibrium that define the stability. The variables associated with stress are evaluated in a computer system, which allows the registration and evaluation of patients. Results: Among the results obtained, the increase in the possibilities of illness is mentioned with the increase of the stress presented in the people, which is totally concordant with the presented in the EKG signals, which are considerably affected in stressful situations. Discussion: Critical points are evaluated as representative elements of stress and stressor, achieving a close relationship between them. Conclusions: It was possible to conclude that the continuous presence of stressors can lead to important health situations, with repercussions on the emotional state of the people, in social relationships and in their work performance.
Keywords: Work stress, intelligent computing, Simulation.
Evaluación de estrés en la generación de enfermedades laborales
Stress assessment in the generation of occupational diseases
Recepción: 02 Septiembre 2018
Aprobación: 03 Abril 2019
En medicina, el estrés o síndrome general de adaptación, es visto como una preocupación por parte de la Organización Mundial de la Salud (OMS) (Alcántara Moreno, 2008), quienes definen el estrés laboral como la reacción que puede tener el individuo ante exigencias y presiones laborales. Estas exigencias pueden variar de un individuo a otro, ya que se ven afectadas por la cultura, el nivel académico, las habilidades individuales, el entorno y las concepciones primarias de la persona desde su formación. La detección del estrés ocupó a gran parte de la comunidad médica, de tal forma que se lograron avances significativos para su inclusión y reconocimiento como enfermedad ocupacional en 1950 (Slipak, 1991).
Según (Alcántara Moreno, 2008), (Slipak, 1991), (Comercio, 2019) el estrés laboral es el único riesgo ocupacional capaz de afectar al 100% de la población. Por tanto es catalogado como una epidemia. El estrés es una enfermedad que Hans Selye predijo en 1930 en el contexto médico. Las personas experimentan situaciones de ansiedad, astenia y desánimo general, llamado en un principio el síndrome de estar enfermo. Estas observaciones estuvieron presentes en pacientes de distintas enfermedades y de distintas características físicas y psicológicas.
Los experimentos clínicos continuaron hasta la década de los ´50, cuando la psicología lo adopta como el conjunto de características psicofisiológicas y lo denomina como el síndrome general de adaptación (Alcántara Moreno, 2008)- (De Camargo, 2004). En 1989, Patterson y Nefeuld (Neufeld & Paterson, 1989), (Moscoso, 1998) dieron apertura para considerar el estrés como un área específica de estudio, y a su vez debatiendo entre el estrés como respuesta del organismo y el estrés como estímulo para las situaciones de salud.
La solución del modelo dinámico del estrés permiten, por una parte, obtener un conjunto de variables físicas: estresor, mecanismos psicológicos, etc. Y por otra, información sobre el impacto del estrés en las enfermedades. Rojas (Rojas Sierra, 2012) sugiere un modelo causal para el análisis dinámico del estrés, evaluando a través del mismo la retroalimentación del estrés y las enfermedades. Rahe (Rahe, 1990) afirma que es importante el conocimiento de la historia natural de los estresores psicosociales y su relación con los estados de salud y enfermedad de los individuos, considerando el impacto psicosocial de los estresores en el tratamiento del síndrome general de adaptación. En (Rahe, 1990) se desarrolla una tabla de vida, que documenta cronológicamente los principales acontecimientos de la historia de una persona y el estado de salud concomitante a lo largo de su vida, pudiendo comprender cómo se desarrollaron las enfermedades en consonancia con las situaciones estresantes suscitadas. En (Neufeld & Paterson, 1989) se analiza principalmente la respuesta activa a la percepción inicial de amenaza, describiendo un modelo del proceso de afrontamiento, que incluye la toma de decisiones y la cantidad de estrés que se espera en diferentes situaciones, además se consideran los efectos de la propia respuesta al estrés sobre las facultades cognitivas.
En lo que sigue se muestran las ecuaciones dinámicas del estrés y su relación con las enfermedades. Luego una simulación de las mismas para el análisis de estabilidad y convergencia. Más adelante los resultados y finalmente las conclusiones.
Cuando se presentan estímulos estresores, el organismo percibe estos como situaciones que afectan el estado de ánimo (La dinámica de sistemas y el aprendizaje del alumno en la eduación escolar., 1977)
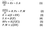
Cuando se presentan estos estímulos de forma permanente se hace más complicado para el sujeto evadir los efectos de los mismos, por ende busca refugio en otras soluciones que pueden conducir al consumo de alcohol, entre otras variantes que podrían empeorar su situación de salud y su estado emocional. Cuando la influencia de los estímulos estresores es muy fuerte, se empiezan a manifestar otras reacciones en el organismo, ocasionando problemas más serios de salud, problemas de conducta y problemas emocionales que podrían llegar a ser irreparables si no se atienden de forma apropiada. Según (Rojas Sierra, 2012), (Amador Moncada, Granada Díaz, Redondo Ostegón, & Tost, 2017) las ecuaciones dinámicas son productos de una relación causa-efecto, basado en los flujos de entrada y salida. En este trabajo se ha considerado un diagrama de estados, como se observa en la figura 2. Donde los estados varían desde el estrés hasta la eliminación del estresor, que produce el afrontamiento a la enfermedad, como consecuencia de una solución médica profesional. La dinámica propuesta por (Forrestere, 1977), (Amador Moncada, Granada Díaz, Redondo Ostegón, & Tost, 2017) supone la vinculación de variables de un determinado sistema con el fin de alcanzar las dependencias entre ellas y sus efectos. Se ha considerado un diagrama de estados que consiste en una representación del estrés, E, estresor, Es, y también aquellas variables asociadas a los estados de salud de las personas. Se ha tomado en cuenta que cuando el estresor aumenta, el nivel de estrés también aumenta, y en consecuencia la persona afectada tiende a buscar soluciones para intentar equilibrar esta situación, estas soluciones no son tales, pues en su mayoría suelen ser el alcohol, la ingesta excesiva de alimentos, las salidas a fiestas y demás actividades que suelen utilizarse para disfrazar la situación de estrés, que además se vinculan con un mecanismo de autodefensa del organismo y resistencia para abordar la situación de estrés. Cuando estas posibles soluciones actúan es posibleobservar una posible mejora del estado de salud, que a su vez, irá en decremento a medida que el estresor siga presente y que las soluciones aparentes no puedan producir el efecto real que se espera, para finalmente ser indispensable la ayuda de un profesional médico. En la figura 1 se muestran las relaciones entre el estresor y el desencadenamiento de un mal estado de salud en las personas, siendo necesaria la reducción del estresor para mejorar las condiciones del estrés y en consecuencia, el mejoramiento de la salud del paciente.

Analizando los estados del diagrama de la figura 1, es posible coincidir con (Rojas Sierra, 2012), (Amador Moncada, Granada Díaz, Redondo Ostegón, & Tost, 2017) y constatar las ecuaciones de la (1) a la (6):

Las constantes α, β, δ y γ, refieren a parámetros propios de (1) y (2). Cuando analizamos (Amador Moncada, Granada Díaz, Redondo Ostegón, & Tost, 2017) y (Forrester, Industrial Dynamics, Cambridge., 1961), es posible cuantificar el estrés y el estado de salud, a partir de la tasa de incidencia del mal estado de salud (α), la frecuencia de manifestación del estrés (β), índice del mal estado de
salud en contraste con la escala de estrés (Forrester, Industrial Dynamics, Cambridge., 1961), y la frecuencia de la enfermedad (γ).
De (Forrester, Counterintuitive Behavior of Social Systems, 1971), (Merino.Soto & Ruiz-Del Castillo, 2018) es posible afirmar que a medida que el nivel de estrés se hace mayor en las personas, el organismo intenta solucionar la situación, con mecanismos de autodefensa. Así pues, es posible generalizar las ecuaciones en función de x y y. que representan el estrés (x) y la enfermedad o mal estado de salud (y).

Se observa en (7) y (8) que se trata de un sistema no lineal autónomo, en el que es posible evaluar los puntos estacionarios o críticos, y evidenciar que estos estarían dados por (9), 𝑃𝑡𝑜1: (0,0) (9)

La intersección de las nuclinas dadas en (7) y (8) definen estos puntos críticos dados por (9). Es posible entonces que este sistema no lineal pueda ser linealizado con un desarrollo de Taylor en el punto crítico, en este punto las variables que definen el comportamiento del sistema no manifiestan cambios o variaciones y por tanto, las derivadas asociadas a ellas se anulan. Por lo que las ecuaciones en el punto de funcionamiento se expresan como:


Ya definidas las ecuaciones en el punto de operación, es posible desarrollar Taylor, y linealizar con el jacobiano (14) en los puntos críticos.
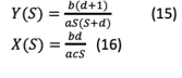
Los autovalores demuestran un equilibrio circunstancial, esto implica que si el estresor aumenta, el nivel de estrés aumenta produciendo estados de ánimos crecientes en la persona afectada, mientras que si el estresor se reduce, el nivel de estrés se hace menor y el estado de salud del paciente mejora. El sistema linealizado en L’place está en (15) y (16); por convencionalismo se han cambiado las letras griegas por letras latinas.

Se desarrollaron las simulaciones en Matlab® creando un sistema para evaluación del modelo matemático, a través del cual se consideró también el desarrollo del sistema informático para la interfaz de usuario que permite la interacción con los pacientes y la valoración médica (Figura 2).

El sistema se desarrolló en MatLab®, con un algoritmo perceptrón para la clasificación de opciones presentes en las variables, a, b, c y d, las cuales vienen definidas según la tabla 1, sugerida por (Rojas Sierra, 2012).

Evaluación de estrés en la generación de enfermedades laborales Improving
La evaluación de los parámetros permitió visualizar el estrés versus la enfermedad, proporcionando la figura 2 donde se observa cómo el estrés varía en proporción con la enfermedad, en el paso del tiempo.

La presencia del estrés en las personas de forma permanente en el tiempo puede ocasionar enfermedades irreversibles, que afectan considerablemente su estado de salud física y emocional, ocasionando problemas sociales, familiares y laborales. La figura 2 muestra cómo se va presentando la enfermedad cuando el estrés se mantiene constante y creciente en las personas.
Los puntos críticos se evaluaron para determinar la relación estrés-estresor, y ello evidenció que la presencia del estresor de forma permanente afecta los niveles de estrés produciendo estados de ánimos crecientes en la persona afectada. Por otro lado cuando el estresor disminuye, el nivel de estrés también se hace menor y el estado de salud del paciente se va mejorando.
Se tomó en cuenta la valoración del pulso y la respiración para una primera prueba, donde fue posible constatar que cuando los valores del pulso superaban los 20 latidos por minutos, y la respiración era mayor a 90 revoluciones por minutos, se hacía muy evidente la presencia del estrés. El software diseñado permite mediante una ventana simple verificar la presencia de estrés ante la evaluación de estos parámetros (Figura 4a). La interfaz diseñada utilizó una red neuronal del tipo adaptativa, que aborda situaciones de reconocimiento y de predicción de los patrones seleccionados como variables (Figura 3b).

Partiendo de estos resultados se realizó un sistema informático con una interfaz de usuario para medir el estrés en los pacientes de una oficina de servicios médicos. La interfaz consistió de un sistema informático realizado con Java, con el gestor de base de datos MySQL, y con una red neuronal del tipo bayesiana para el cálculo probabilístico del error.
Se realizó un despistaje de estrés a 85 personas de con edades comprendidas entre 32 años y 65 años.
No se tomó en cuenta el cálculo de la muestra porque todos asistieron de manera voluntaria.
El sistema consta de una ventana que permite registrar a los pacientes, se toman en cuenta los principales datos del mismo: nombre, edad, antecedentes médicos y correo electrónico. Una vez que el especialista médico ha realizado el estudio se le envía un correo al paciente de forma automática con el que podrá tener todos los resultados de su evaluación de estrés y las posibles sugerencias médicas.
Además el sistema permite llevar un historial de las revisiones médicas del paciente, con el fin de revisar la evolución del mismo y evaluar la recurrencia o no del estrés y con el mismo verificar su avance en el tratamiento médico. En la figura 4 es posible apreciar la recurrencia de un paciente a la consulta médica con situaciones de estrés.
Figura 5. Muestra de un registro del historial de un paciente en distintos momentos. Se evidencian las acciones ejecutadas por el especialista médico y el reporte de horas de cada actividad.

La evaluación consiste en exponer al paciente a una lectura al mismo tiempo que se miden los valores de presión, pulso y respiración. Los patrones de voz se ven afectados por el estado emocional de la persona y es este uno de los parámetros de mayor confiabilidad para el análisis del estrés (Barquín-Cuervo, Medina-Gómez, & Pérez de Albéniz-Garrote, 2018), (Ardila & Ostrosky, 2018), por tanto estos oscilan entre 8Hz y 12Hz cuando el nivel emocional es estable, y resulta mayor a 12Hz cuando el estado emocional resulta alterado o estresado. Así mismo los patrones de la respiración reflejan un estrés elevado por encima de 90rpm y un nivel de estrés normal por debajo de 90rpm. Por otro lado, el pulso presenta un estrés negativo cuando éste está por encima de 20 latidos/minutos.
El rostro fue una variable adicional que se incluyó para verificar la relevancia del mismo en los estados emocionales. Se utilizó un análisis termográfico para esta validación, ya que algunos estudios realizados (Dominguez, Salazar, & De Córdova, 2015) aseguran que cuando una persona se encuentra bajo situaciones de estrés, se activa el lóbulo frontal, temporal y límbico. Estudios más profundos han podido evidenciar que algunas zonas del cerebro se iluminan cuando las personas están estresadas. Así mismo ha sido posible comprobar que una persona estresada o alterada, presenta dilatación de los vasos sanguíneos de la nariz, causando que esta se hinche en proporciones poco visibles, pero que se manifiesta a través de escozor en la misma, unido a una sudoración leve.
La figura 6 muestra la interfaz de resultados, donde pueden observarse las variables ya mencionadas. Este reporte es enviado a los pacientes para el control de su estado de salud.

Se validó el margen de error con una red neuronal del tipo bayesiana, y fue posible contrastar dichos valores con los arrojados por las señales EKG. Estas señales permiten visualizar las alteraciones cardíacas presentes en el organismo como consecuencias de los estados emocionales. La figura 7 muestra el error presente en contraste con las señales EKG.

Se observa que el margen de error varía entre 0,008% y 0,009% en contraste con las señales EKG, lo cual indica que el sistema ha sido lo suficientemente óptimo, logrando una concordancia de los niveles de estrés con las variables ya mencionadas a los niveles de estrés evaluados a partir de una señal EKG.
La Figura 3 muestra la evolución del estrés en el tiempo y cómo la presencia constante de éste afecta considerablemente la salud de las personas. Así mismo se pudo apreciar a través de los puntos críticos, que representan los estresores, la relevancia de estos para desencadenar el estrés de forma rápida. Lo que conduce a variaciones en el estado de ánimo según la perseverancia de estos en las personas.
La figura 4 revela que la respiración y el pulso son fundamentales para determinar la presencia de estados de ánimos alterados, que pueden denominarse como situación de estrés y que pudieran ser perjudiciales para la salud. Este análisis previo es de vital importancia para el análisis médico y las futuras evaluaciones de salud del paciente, que pudieran estar condicionadas a la situación de estrés.
Finalmente la figura 7 muestra que la relación del estudio relacionado en concordancia con las señales EKG de las personas, arroja un error de 0,008%, lo cual indica una valoración importante para el sistema desarrollo, ya que las señales EKG caracterizan la conducta cardíaca de las personas.
Se han evaluado los estados emocionales humanos a partir de las ecuaciones diferenciales que describe el modelo matemático y se ha podido contrastar la relevancia de este con el desarrollo de enfermedades y situaciones de salud. Se observó que los puntos críticos revelan la importancia de la presencia de estresores para la permanencia del estrés en las personas.
Se ha considerado la evaluación de los estados emocionales como síntomas de estrés en las personas, y se han evaluado los mismos a través de un sistema informático que permite la caracterización del estrés a través de las variables del pulso, la respiración, la presión y el rostro. Logrando en este análisis validar la incidencia de la enfermedad como consecuencia de la presencia permanente de estrés. Estos parámetros son fundamentales para la determinación no invasiva de los estados emocionales humanos, y a su vez la caracterización de las mismas para evaluar su efecto en la salud.
Se han verificado los resultados con las señales EKG, logrando obtener un error porcentual apropiado, que evidencia la presencia de estrés y la efectividad del programa diseñado.








