Recepción: 30 Septiembre 2021
Revisado: 25 Noviembre 2021
Aprobación: 16 Mayo 2022
DOI: https://doi.org/10.15658/rev.electron.educ.pedagog22.11061105
Resumen: El estudio de las trayectorias escolares permite observar el comportamiento académico de los estudiantes a lo largo de su formación, desde el ingreso hasta la conclusión de los estudios de licenciatura, en el contexto de una institución superior con un plan de estudios determinado. El objetivo de esta investigación fue caracterizar las trayectorias escolares de una muestra de alumnos de la cohorte 2017 de la licenciatura en Psicología en una universidad pública. A través de una convocatoria abierta a los estudiantes de dicha generación, se conformó una muestra de 17 escolares. Se realizó un estudio cuantitativo descriptivo, mediante el análisis de una base de datos que se construyó a partir de la consulta de la plataforma de la Dirección General de Administración Escolar (DGAE) y del Sistema Integral de Administración Escolar (SIAE) (http//:www.dgae.unam.mx) de la Universidad Nacional Autónoma de México, organizada en 198 variables y 691 casos, con la que se realizó el análisis estadístico en el programa SPSS-20. Las variables analizadas fueron: sexo, promedio de bachillerato, escuela de procedencia, calificaciones en cada una de las 52 asignaturas, ciclo y tipo de examen. Los resultados mostraron que los alumnos cursaron los ciclos académicos de acuerdo con los criterios del plan de estudios y el nivel de avance fue el esperado, con promedio de calificación de 8 y superior, logrando el 100% de créditos del plan de estudios. No obstante, no se puede concluir si ocurrió algún efecto por la modificación curricular.
Palabras clave: del autor: rendimiento académico (Tesauros), modificación curricular, trayectorias escolares (Palabras clave sugeridas por los autores).
Abstract: The study of school trajectories allows one to observe the academic behavior of students throughout their training, starting from the admission to the completion of undergraduate studies in the context of a higher institution with a specific curriculum. The objective of this research was to typify the school trajectories of a sample of students from the 2017 class of the bachelor's degree in Psychology at a public university in Mexico. By means of an open call to the students of this generation, a sample of 17 schoolchildren was formed. A descriptive quantitative study was carried out through the analysis of a database that was built from the inquiry done in the platform of the General Direction of School Administration (DGAE) and the Integral System of School Administration (SIAE) (http//:www.dgae.unam.mx) of the National Autonomous University of Mexico. This study was organized in 198 variables and 691 cases, with which the statistical analysis was carried out in the SPSS-20 program. The variables analyzed were: sex, high school average, school of origin, grades in each of the 52 subjects, cycle and type of exam. The results showed that the students completed the academic cycles according to the criteria of the curriculum and that the level of progress was as expected, presenting a grade point average of 8 and above, achieving 100% of credits of the curriculum. However, it cannot be concluded if there was any effect due to the curricular modification.
Keywords: academic performance (Thesaurus), curricular modification, school trajectories (Keywords suggested by the authors).
Resumo: O estudo das trajetórias escolares permite observar o comportamento acadêmico dos estudantes ao longo de sua formação, desde a entrada até a conclusão dos estudos de graduação, no contexto de uma instituição superior com um currículo específico. O objetivo desta pesquisa foi caracterizar as trajetórias escolares de uma amostra de estudantes da coorte de 2017 do Bacharelado em Psicologia de uma universidade pública. Através de uma chamada aberta aos estudantes daquela geração, foi formada uma amostra de 17 estudantes. Foi realizado um estudo quantitativo descritivo através da análise de um banco de dados que foi construído a partir da consulta da plataforma da Diretoria Geral de Administração Escolar (DGAE) e do Sistema Integral de Administração Escolar (SIAE) (http//:www.dgae.unam.mx) da Universidade Nacional Autônoma do México, organizado em 198 variáveis e 691 casos, com os quais foi realizada uma análise estatística no programa SPSS-20. As variáveis analisadas foram: sexo, média do ensino médio, escola de origem, notas em cada uma das 52 matérias, ciclo e tipo de exame. Os resultados mostraram que os estudantes completaram os ciclos acadêmicos de acordo com os critérios do currículo e o nível de progresso foi o esperado, com notas médias de 8 e superiores, atingindo 100% dos créditos do currículo. Entretanto, não se pode concluir se ocorreu algum efeito devido à modificação curricular.
Palavras-chave: desempenho acadêmico (Tesauros), modificação curricular, trajetórias escolares (Palavras-chave sugeridas pelos autores).
Introducción
La educación superior juega un papel protagónico en el desarrollo social, económico y cultural de las personas y los países, dado que contribuye en gran medida al bienestar de los individuos en su conjunto. Si bien requiere de una gran inversión económica, así como de recursos humanos y materiales, Schneider y Preckel (2017) señalan que ese desembolso regresa a la sociedad en términos de la productividad resultante. Por tanto, la educación superior conlleva competencia financiera, cuidado, salud y otros beneficios a los estudiantes en lo individual, se extiende a la familia y a la sociedad en general.
Por estas razones es relevante atender el análisis y las problemáticas que se derivan de ese terreno, con el fin de abonar a la comprensión de los procesos que se manifiestan y generar alternativas de solución en pro de la mejora en la formación profesional.
En este sentido, uno de los elementos centrales en el contexto de las Instituciones de Educación Superior (IES) se refiere a los planes y programas de estudio que se aplican, los cuales, deben modificarse periódicamente, sobre todo si tenemos en cuenta que la obligación de cualquier institución educativa es ofrecer educación de calidad que responda a las demandas sociales y requiere ajustarse a las continuas transformaciones del mundo globalizado (Brito et al., 2010). De hecho, como apunta Camilloni (2018) estamos en una era desafiante porque las sociedades han cambiado en las formas de vivir, los valores y las relaciones sociales. Se ha dado un desarrollo extraordinario en las ciencias, tecnologías y humanidades, en consecuencia, se transforman constantemente los sistemas productivos, las organizaciones y los modos de trabajar. Han cambiado las disciplinas, las profesiones existentes y han aparecido otras.
Muchos de esos cambios afectan el funcionamiento de las universidades, como es el caso de la pandemia del 2020 por COVID-19, ante lo que las IES (como toda la sociedad) se vieron en la situación de resolver cuestiones urgentes, para dar continuidad a los programas de estudio y al ciclo escolar. Lo que dio paso a cambios emergentes en los objetivos, contenidos, estrategias didácticas de los programas y a los modos de relacionarse entre profesores, alumnos, y funcionarios administrativos. Por tanto, como dice Rojas (2012) no es casualidad que los cambios contextuales están imbricados en el currículo y a su vez, éste impacta de múltiples maneras al contexto.
Benítez et al. (2004) consideran que un plan de estudio es una propuesta formal que se instala en la realidad social y atraviesa un proceso complejo en el que intervienen factores políticos, económicos, sociales, pedagógicos y psicológicos, cuyo fin principal es la formación de estudiantes y futuros profesionales al servicio de la sociedad. En el mismo sentido, Monteiro y Mendes (2011) apuntan que el currículo puede considerarse como un instrumento significativo, usado por las sociedades para la conservación, transformación y renovación de conocimientos acumulados históricamente, así como la socialización de niños, adolescentes y adultos a partir de valores éticos.
Por su parte, Arnaz (1981) define más específicamente al currículo como un plan que regula y guía manifiestamente un proceso concreto y determinante de enseñanza aprendizaje que se desarrolla en una institución educativa. Que implica un conjunto interrelacionado de conceptos, proposiciones y normas estructuradas, cuyo destino es conducir acciones y de esto se desprenden evidencias que hacen posible introducir ajustes o modificaciones de los planes de estudio.
La aplicación de un plan de estudios requiere que los docentes y funcionarios posean una actitud permanente de autocrítica y reflexión, que permita identificar sus aciertos y debilidades, para hacer propuestas de mejora, asimismo, los cambios curriculares responden a las exigencias determinadas por la competencia global que exige la cualificación continua de la fuerza de trabajo (Arellano, 2004). No obstante, la modificación de los planes y programas de estudio muchas veces ocasiona una lucha de ideas, de poder y de intereses entre los diferentes sectores que conforman la comunidad académica y estudiantil. Generando tensiones, alianzas, contrapartes que obstaculizan y retrasan los trabajos dirigidos a la consolidación de los cambios (Monteiro y Mendes, 2011).
Como el caso de la Facultad de Estudios Superiores Iztacala de la Universidad Nacional Autónoma de México (FESI-UNAM), en la licenciatura de Psicología, en donde a partir de que se implantó el currículo en 1976, hubo reiteradas tentativas, en especial, por parte de las coordinaciones de la carrera, por hacer modificaciones, sin embargo, de alguna u otra manera, resultaban en intentos fallidos. Sin hacer una historia detallada, solamente mencionaremos algunos datos; por ejemplo, en 1980 se efectuó el Primer Coloquio de Revisión Curricular en donde participó una buena cantidad de profesores; después, se hizo una segunda convocatoria, pero no hubo respuesta por parte de los docentes. En 1981, el Colegio de Profesores de Psicología organizó el evento: “Las Primeras Jornadas Académicas sobre la Perspectiva del Cambio Curricular”, los días 11 y 12 de mayo. Posteriormente, los trabajos más relevantes fueron organizados por el jefe de la Carrera, del periodo de 2001 a 2005, dado que había una fuerte presión de la administración central, mediante la solicitud del Consejo Universitario para actualizar planes y programas de estudio (Silva, 2007).
Así pues, se construyó la propuesta de modificación curricular cubriendo todos los requisitos formales, incluso fue aprobado por los Consejos Académicos de la UNAM, no obstante, el proceso fue abortado por cuestiones político-administrativas. Aun así, los trabajos continuaron de manera poco sistemática, y hasta el año 2008 en donde la nueva jefatura de carrera convocó a la comunidad académica a continuar con las acciones a través de ocho comisiones, en donde participó la mayor parte de la planta docente, ya sea a través de comisiones para la construcción del Tomo 1, o bien, en la elaboración de programas de las diversas asignaturas para la conformación del Tomo 2, basta con ver la lista de participantes en ambos documentos (Plan de estudios de la Licenciatura en Psicología FESI-UNAM, 2015). Finalmente, la propuesta de modificación fue aprobada en el mes de julio del 2015 por los Consejos Académicos de Área de las Ciencias Biológicas y Ciencias Sociales, pero hasta agosto del 2016 se comenzó a implementar con la cohorte 2017, dado que era necesario preparar las condiciones académico-administrativas y, sobre todo, la formación docente.
La propuesta no fue bien recibida por un sector de profesores quienes la criticaron fuertemente (desde el proceso de construcción), y transmitieron a los alumnos a diario en sus clases, sus puntos de vista adversos al nuevo currículo y se dieron varios rumores como el que una gran cantidad de alumnos de la generación 2017 estaba solicitando la baja. Por estas razones, consideramos de gran relevancia estudiar los acontecimientos de la puesta en marcha de la modificación del plan de estudios, de manera que podamos conocer las cifras reales del abandono escolar, así como el punto de vista de los alumnos, quienes finalmente fueron la razón principal para hacer la modificación del plan de estudios y quienes son los directamente beneficiados o perjudicados de toda esta situación.
Así surgió el proyecto de investigación “Análisis de trayectorias académicas y los factores que inciden en el desempeño escolar de los estudiantes de la carrera de Psicología, generación 2017”. En donde se plasmaron una serie de preguntas con relación a conocer de cuál bachillerato egresaron y el promedio al ingreso, los índices de abandono escolar, el rendimiento académico, el índice de aprobación y reprobación; igualmente, la opinión de los alumnos sobre el plan de estudios, de sus profesores, de su formación profesional y conocer los mayores obstáculos y apoyos que se les presentaron en su tránsito por la carrera. Nos interesó seguir el comportamiento de la generación desde el ingreso hasta el egreso, en el curso de los ocho semestres reglamentarios. De primero a cuarto semestre, el seguimiento fue de corte cuantitativo de toda la generación dado que constituye el tronco común, y de 5º a 8º semestre, se conformó una muestra de 17 alumnos, aplicando un enfoque mixto, cuantitativo y cualitativo. En este sentido, el presente estudio reporta solo una parte de resultados de dicho proyecto general, estableciendo como objetivo particular caracterizar con enfoque cuantitativo, las trayectorias escolares de una muestra de estudiantes de la cohorte 2017, que abarca de 1º a 8º semestre, desde 2016 hasta 2020.
Para dar respuesta a estos interrogantes, consideramos que el análisis de las trayectorias escolares es una herramienta metodológica para evaluar las modificaciones curriculares, porque permiten comparar información académica recabada en dos o más momentos y obtener datos escolares de los alumnos, para de acuerdo con los resultados, poner en práctica acciones dirigidas a resolver problemas específicos (Brito et al., 2010). Las trayectorias escolares, hacen referencia a la cuantificación del comportamiento escolar de un conjunto de estudiantes durante su recorrido en una institución educativa, desde su ingreso, permanencia y egreso hasta la terminación de los créditos y requisitos académico-administrativos que establece el plan de estudios. Como señala Chain (1994), se puede analizar el rendimiento académico, rezago, deserción, índice de aprobación, índice de promoción y eficiencia terminal.
La potencia del estudio de trayectorias escolares es que permite ligar en el mismo ejercicio analítico las dimensiones estructurales, educacionales y laborales que influyen en el proceso de construcción social de las juventudes (Chiardo y Dávila, 2005); su estudio implica el seguimiento del itinerario académico de los estudiantes, se pueden descubrir aquellos elementos que favorecen u obstaculizan su desempeño durante su estancia escolar (Piña et al., 2007). Chain (2005), Araiza, (2018) y Fogar y Silva (2014), coinciden al señalar que, a través de este tipo de análisis, es posible determinar con mayor precisión la probabilidad de que un educando desarrolle determinado recorrido en función de los recursos que ha acumulado en la formación previa a la universidad. Además, se pueden hacer estudios que permiten reconocer los factores relevantes y determinar su peso relativo. También, accede a evaluar la importancia de los aspectos que caracterizan a los estudiantes y ayuda a descubrir el tipo de estrategias, decisiones y políticas institucionales que favorezcan su mejora.
Ripamonti y Lizana (2020) enfatizan que no solo es importante conocer el tiempo que les lleva el recorrido a los estudiantes, sino también indagar las razones o motivos por los cuales la formación a veces no se desarrolla en el tiempo previsto. Por tanto, podemos reconocer que existen dos tipos de trayectorias: teóricas y reales. Las primeras, las define el sistema educativo y siguen una programación estándar; responden a un sistema por niveles, gradualidad del currículo correspondiente a los grados de la instrucción (Terigi, 2007). Es el recorrido esperado según la proyección lineal prevista. De Garay y Sánchez (2012) consideran que son caminos prefigurados en independencia de quiénes son los viajeros, las rutas rectas se aprecian como lugares privilegiados. Por su parte, las trayectorias reales a veces no coinciden con las teóricas, porque los alumnos se salen del cauce esperado y rompen con la programación establecida por el plan de estudios. En consecuencia, los estudiantes transitan de manera heterogénea y variable, a veces un camino sinuoso se aprecia como déficit, desvío o anormalidad (De Garay y Sánchez, 2012). Sin embargo, esto no implica que sean recorridos fallidos, sino más bien, son expresiones de un conjunto de condiciones que inciden en la vida escolar (Directores que hacen escuela, 2015). De esta forma, se puede decir, que las trayectorias están condicionadas por la institución través de los planes de estudio, porque éstos establecen la ruta deseada, además de las condiciones de escolarización (Briscioli, 2017).
Metodología
Diseño y tipo de estudio
Se realizó un estudio cuantitativo, descriptivo transversal. Estos diseños se llevan a cabo en un tiempo determinado, las variables que se miden permiten establecer las características y/o propiedades de personas, grupos o comunidades (Hernández et al., 2010).
Participantes
La generación 2017 de la licenciatura en Psicología de la FES Iztacala-UNAM tiene una matricula de 674 alumnos inscritos, cuya edad promedio al ingreso se ubica en un rango de 17 a 44 años. El criterio de inclusión fue que los estudiantes pertenecieran a la licenciatura de Psicología de la generación 2017, a la que respondieron 17 alumnos, 11 mujeres y 6 varones de los dos turnos (matutino y vespertino).
Procedimiento
El grupo de investigación convocó a varios grupos de sexto semestre de la carrera de Psicología, para participar en una investigación de tipo descriptivo, en la cual se les solicitó su consentimiento para obtener sus calificaciones de todos los semestres. Dicha convocatoria se realizó por medio de los profesores que impartían las asignaturas del mencionado ciclo, de ambos turnos. Los alumnos quienes respondieron a la convocatoria se les invitó a una reunión grupal, donde se les informó de manera clara los objetivos de la investigación. Asimismo, se les dio a firmar un consentimiento informado.
Una vez que fueron identificados los alumnos interesados en participar en el estudio, se obtuvo la autorización oficial para tener acceso a la información de la plataforma de la Dirección General de Administración Escolar (DGAE) y del Sistema Integral de Administración Escolar (SIAE) (http//:www.dgae.unam.mx) de la UNAM, a partir de lo que se construyó una base de datos en el programa estadístico SPSS-20, lo que representa el seguimiento escolar en cada una de las asignaturas por alumno del 1º al 8º. Esto permitió acceder a la información: sexo, promedio de bachillerato, escuela de procedencia, calificaciones por cada una de las asignaturas cursadas, ciclo y tipo de aprobación en cada una de éstas.
Resultados
En cuanto a los datos demográficos de la muestra, se observó que los 17 alumnos tienen una edad promedio de 19 años. Con relación al promedio de bachillerato, se recuperaron los datos de 15 alumnos, ya que dos pertenecen a un bachillerato externo al sistema de la UNAM. El promedio mínimo fue de 7.24 y el máximo de 9.30, con un promedio de 8.0.
En la figura 1, se observa que, de la muestra de alumnos, siete son egresados del Colegio de Ciencias y Humanidades (CCH), ocho son de la Escuela Nacional Preparatoria (ENP) UNAM y dos son de otras escuelas.

En la figura 2, se presenta de forma específica los planteles de bachillerato de egreso de los alumnos entrevistados, dos son del CCH Azcapotzalco, cinco de Naucalpan y los demás, se dividen entre los planteles de la Escuela Nacional Preparatoria 3, 4, 5, 8 y 9.

En la tabla 1 se muestra la frecuencia de alumnos que se ubican en los grupos de avance según el porcentaje de créditos obtenidos, a través de tres observaciones durante la estancia en la universidad, y en la cual se aprecia que son alumnos que se concentran en los grupos del 100% de avance, es decir, son alumnos regulares académicamente hablando.

Tipo de aprobación (ordinario vs extraordinario)
Otro de los factores analizados fue el tipo de examen, esto es, en ordinario o extraordinario. Este último implica que el alumno no aprobó en ordinario. En la figura 3 se muestra la frecuencia del tipo de exámenes por semestre. Como se puede observar, en su mayoría, los alumnos pasan en examen ordinario y solo uno o dos en extraordinario. Cabe hacer notar que en el séptimo y octavo semestre uno de los alumnos dejó de asistir, sin embargo, se estaba poniendo al corriente, esto es, es un alumno irregular pero no abandonó la carrera.

Calificaciones
Otro indicador son las calificaciones de los alumnos y por propósitos de presentación sintética, se organizó el análisis de las asignaturas por año (aunque los ciclos son semestrales), ya que se trata de 52 asignaturas. En la figura 4 se muestra los años con sus respectivos promedios.
Se observa que las calificaciones del primer año, la mediana está en 9 y son pocos los alumnos que muestran una calificación de 6 (alumno 4). En el segundo año se observa que la mediana va entre el 9 y el 10 de calificación. Las calificaciones del tercer año de la carrera, se aprecia que igual que en los anteriores ciclos, la mediana está en 9. Finalmente, las calificaciones del cuarto año de la carrera muestran una mediana de 9. En general, son pocas las asignaturas con calificaciones inferiores al 7.

En la figura 5 se presenta una muestra de las asignaturas optativas seleccionadas con mayor frecuencia por los alumnos, a partir del quinto a octavo semestre. Esas son variadas y no muestran una tendencia por parte de ellos, solo resalta la optativa de Sexualidad en el séptimo semestre porque es elegida con alta frecuencia.

La elección del ámbito profesional que los alumnos de la muestra realizaron se observa en la figura 6. Cabe señalar que, los educandos deben de seleccionar de siete opciones, dos por año, a saber: Clínico, Educación Especial, Educación desarrollo y docencia, Investigación, Organizacional, Salud y Social. En la figura 6 se aprecia que los ámbitos escogidos con mayor frecuencia fueron Clínica y Educación especial, con menos frecuencia el ámbito organizacional.

Análisis estadístico de calificaciones
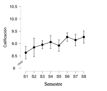
Se realizó un análisis de varianza de medidas repetidas para evaluar el efecto del semestre en la calificación obtenida. La prueba de Mauchly reveló evidencia de violación de la suposición de esfericidad X. (27) = 52.1 p < .001. Por lo tanto, se utilizó la corrección de Huynh-Feldt para el contraste. Se encontró evidencia de diferencias de la calificación como función del semestre F (4.9, 91) = 3.6 p < .001, siendo el tamaño del efecto grande ç..= 0.2. Los contrastes por pares utilizando la corrección de Bonferroni revelaron que las
diferencias se encontraron al comparar el primer semestre con el sexto (Ä = -0.6 d=1 p < .001), séptimo (Ä = -.5 d=0.08 p < .001) y octavo semestre (Ä = -0.6 d=1 p < .001).

Nota. Las barras de error son intervalos de confianza para la media al 95%
No se encontró un efecto entre tipo de módulo (teórico, metodológico o aplicado) F (2, 26) = 0.7 p = 0.5 (ver figura 7).
Discusión
En el presente estudio fue posible observar las trayectorias escolares de la muestra de estudiantes de la carrera de Psicología cohorte 2017, en el transcurso de los ocho semestres reglamentarios en el contexto del inicio de la aplicación de la reforma curricular.
Encontramos que el promedio de calificación del bachillerato fue de 8, lo cual corresponde a los criterios de la institución universitaria. En tanto que las escuelas de origen del bachillerato corresponden en un 90% de aquellas adscritas a la UNAM.
Respecto al avance de créditos, en la primera observación realizada, que corresponde a los primeros cuatro semestres, llama la atención que el 23% de la muestra de estudiantes se ubicaron entre el 75% y 99%, lo que significa que algunas asignaturas fueron no aprobadas; sin embargo, en la segunda y tercera observación, se aprecia que la mayor parte del grupo de estudiantes se nivelaron y alcanzaron las trayectorias esperadas o teóricas del plan de estudios, lo que se puede relacionar con el planteamiento de Tinto (1989) y Pérez (2017) en el sentido que los primeros ciclos de la formación universitaria son los más vulnerables y se deben atender con mayor interés, dado que las tasas de promoción son más bajas que en el resto de los semestres.
Lo anterior se asocia con el tipo de examen de aprobación, dado que 16 alumnos por lo general aprobaron en ordinario, por lo que se puede afirmar que esta muestra se caracteriza por la baja frecuencia de reprobación y, por consecuencia, baja frecuencia de presentación de examen extraordinario, en donde resaltaron las asignaturas: Procesos estadísticos 2 y Procesos estadísticos 3, sin dejar de mencionar que también hubo extraordinarios en asignaturas teóricas y metodológicas. Esto coincide con otros estudios en donde los alumnos de licenciatura tienen mayores dificultades con asignaturas relacionadas con las matemáticas (Morales et al., 2009; Murillo y Luna, 2021); no obstante, los datos aquí encontrados demuestran que no se puede considerar que existe un problema de rezago escolar.
Respecto a las asignaturas prácticas, no encontramos exámenes extraordinarios dado que el plan de estudios así lo establece. Cabe comentar que, algunos alumnos reportaron que cuando las cursaron, les motivó trabajar en ellas porque se enfrentaron a situaciones de la vida real, se sentían útiles en ofrecer servicio a los usuarios y en ayudar a resolver problemas. En este sentido, Litwin (2006) apunta que los currículos deben incorporar desde el inicio de los estudios las actividades prácticas porque el contacto temprano con las instituciones permite el reconocimiento y visualización de los temas de los campos de los que se trate, bajo el entendido que el profesor debe monitorear las acciones del alumno y garantizar el sentido ético que genere beneficio a la sociedad.
Por otro lado, con relación al desempeño académico, advertimos que los alumnos tuvieron promedios superiores a 8, así como un patrón ascendente a lo largo de sus trayectorias, esto es, el promedio de calificaciones fue subiendo de ciclo a ciclo, con la excepción del quinto semestre, en donde se reportaron valores de 5, 6 y 7, además de las calificaciones de 8, 9 y 10, pero en los cursos siguientes, el promedio siguió en dirección ascendente. Esta situación requiere de continuar la investigación en donde se debe tomar en cuenta que se asocia al periodo del cambio de asignaturas del ciclo de formación profesional supervisada, dado que el alumno tuvo que elegir dos ámbitos profesionalizantes entre siete opciones, al igual que la tradición teórica entre seis tipos, igualmente, la carga de trabajo incrementó de manera importante, tal como el número de asignaturas.
Lo que llama la atención es que para los semestres 7º y 8º, continuó la carga de trabajo y la oportunidad de volver a elegir las mismas condiciones; los estudiantes superaron el promedio de calificaciones. Resultados similares se observaron en el estudio de Alvarado et al. (2017) en donde se analizaron las trayectorias escolares de la generación 2011 de la misma facultad, pero que cursó el plan de estudios anterior, encontrando una tendencia positiva en los promedios de calificaciones de 1º a 8º semestre, asociado al grupo de avance de créditos al que pertenecen los alumnos.
Conclusiones
Las trayectorias escolares pueden ser un mecanismo útil para el diagnóstico y evaluación del plan de estudios en el entendido que se aprecia el nivel de avance en términos de porcentaje de créditos, el promedio de calificaciones, las asignaturas que con mayor frecuencia no aprueban los alumnos y las tasas de abandono, entre otros aspectos.
Por su parte, no se identificó algún efecto del cambio del plan de estudios en los promedios por semestre en la muestra estudiada, ya que como se observó en la generación 2011, los alumnos presentan una tendencia positiva en las trayectorias de 1º a 8º semestre, en donde los alumnos coinciden en que las asignaturas prácticas los motivan, involucran y responsabilizan aún más en su formación, porque ven directamente los efectos de sus actividades en beneficio de los usuarios que atienden. Sin embargo, los datos cuantitativos no permiten descubrir el efecto del cambio de plan de estudios, por lo que es requerido complementar la visión con un estudio de carácter cualitativo en el que los alumnos describan sus experiencias, sus opiniones y las dificultades a las que se enfrentaron y la manera de resolverlas.
De otro lado, es importante prestar atención a las quejas de los alumnos en el sentido de las deficiencias de la aplicación del plan de estudios porque algunos las nombran como “caótica” o “desordenada”, además, de la opinión sobre que los profesores no les enseñaban los programas de estudio pues se dedicaban a hablar mal de él, lo cual se presentará a detalle en una próxima publicación.
Finalmente, aun cuando los alumnos sufrieron las diversas situaciones en la implementación de la modificación curricular, sobre todo en lo que se refiere a la resistencia de los profesores para impartir las nuevas asignaturas, la muestra de alumnos logró concluir el ciclo reglamentado con el 100% de créditos y con promedios superiores a 9, lo que los ubica en trayectorias escolares adecuadas o “altas” y “regulares” como lo diría Araiza (2018), en donde las primeras refieren a valores promedio entre 90 y 100 y las segundas a 89-90.
Referencias
Alvarado, I.R., Cepeda, M.L., Del Bosque, A.E., Vega C.Z. y Rodríguez, M.E. (15-17 de marzo de 2017). Rendimiento escolar y porcentaje de avance de créditos de la licenciatura presencial en Psicología cohorte 2011. Ponencia presentada en el Primer Encuentro de Enseñanza en la psicología en los sistemas escolarizado, Abierto y a Distancia. Celebrado en la ciudad de México. https://suayed.iztacala.unam.mx/2016/10/primer-encuentro-de-ensenanza-de-la-psicologia-en-sistemas-escolarizados-abiertos-y-a-distancia/
Araiza, M.A. (2018). Trayectorias escolares universitarias de acuerdo con el capital cultural de los estudiantes de licenciatura de la UPSIN. Revista Latinoamericana de Estudios Educativos, XLVIII (2), 171-198. https://www.redalyc.org/articulo.oa?id=27057946008
Arellano, A. (2004). Un estado del arte del estudio sobre las reformas escolares. Revista de Educación y Pedagogía, 16 (38), 11-25. https://revistas.udea.edu.co/index.php/revistaeyp/article/view/325193
Arnaz, J. (1981). La planeación curricular (segunda edición). Trillas.
Benítez, M.G., Becerra, G.E., Soto, R.M., Aguilar, M.T. y González, C. (2004). Trayectorias escolares de los estudiantes de las generaciones 1998 y 1999 de la Facultad de Contaduría y Administración de la UASLP. Revista de Educación Superior, 33 (3), 7-53. http://publicaciones.anuies.mx/revista/131/1/1/es/trayectorias-escolares-de-los-estudiantes-de-las-generaciones-1998-y
Briscioli, B. (2017). Aportes para la construcción conceptual de las trayectorias escolares. Actualidades investigativas, 17 (3), 1-30. 10.15517/AIE.V17I3.30212
Brito, M.D., Grimaldo, J.I., y Moreno, J.A. (2010). Comparación de las trayectorias escolares como complemento en la evaluación de los cambios curriculares. Gaceta Médica Mexicana, 146 (4). www.anmm.org.mex
Camilloni, A. (2018). Didáctica y currículo universitario: palabras, conceptos y dilemas conceptuales en la construcción del conocimiento didáctico. Intercambios. Dilemas y transiciones de la Educación Superior, 5 (2), 12-23. www.researchgate.net
Chain, R. (1994). Trayectorias escolares en la Universidad Veracruzana. Colección Pedagógica Universitaria, 25-26, 195-235.
Chain, R. (2005). Trayectorias escolares en educación Superior. Propuesta metodológica y experiencias en México. En J.C. Ortega, R. López, E. Alarcón (Coors). México: Biblioteca Digital de Investigación Educativa. Universidad Veracruzana. ISBN978-607-502-438-7. www.uv.mx/dbie
Chiardo, F. y Dávila, O. (2005). Cursos y discursos escolares en las trayectorias juveniles. Última Década, 235, 33-76. ISSN 0718-2233 versión on-line
De Garay, A. y Sánchez, R.L. (2012). La modificación de la política de admisión en la UAM y los cambios en las trayectorias escolares al primer año de estudios en la Unidad Azcapotzalco. Perfiles educativos, 34 (35), 78-99. http://www.redalyc.org/articulo.oa?id=1322304206
Directores que hacen escuela, en colaboración con López, J. (2015). De trayectoria en singular a las trayectorias en plural. Organización de los estados Iberoamericanos: Buenos Aires.
Fogar, M. y Silva, C.A. (2014). Los estudiantes y su formación. Escenarios y tensiones en la educación técnica. Estudios de casos del profesorado en Tecnología del INTETyP. Theomani, 30, 172-180. http://www.redalyc.org/articulo.oa?id=12435592019
Hernández, R., Fernández, C., y Baptista, P. (2010). Metodología de la Investigación. McGraw-Hill Interamericana.
Litwin, E. (2006). El currículo universitario: perspectivas teóricas y metodológicas para el análisis del cambio. Revista Educación y Pedagogía, 18 (46), 25-31. https://revistas.udea.edu.co/index.php/revistaeyp/article/view/6883
Monteiro, A. y Mendes, J. (2011). Prácticas sociales y organización curricular: cuestiones y desafíos. Traducción del portugués por Elkin Obregón. Revista Educación y Pedagogía, 23 (59), 37-46. https://revistas.udea.edu.co/index.php/revistaeyp/article/view/8690
Morales, A., García, J. y Escalante, E. (2009). Causas de reprobación en los cursos de mecánica de fluidos de la facultad de Ingenieria de la Universidad Autónoma de Yucatán. Ingeniería Revista Académica de la UI-UADY, 13(3), 45-51. https://www.redalyc.org/articulo.oa?id=46712187006
Murillo, O. L. y Luna, E. (2021). El contexto académico de estudiantes universitarios en condición de rezago y reprobación. Revista Iberoamericana de Educación Superior, 12 (32), 58-75. http://www.redalyc.org/articulo.oa?id=2991166154004
Piña, I., Balán, C., Rodríguez, A. y Vázquez, G. (2007). Los estudios de trayectorias académicas y profesionales, contribuciones al estado del arte. Revista de Enfermería ENEO-UNAM, 4 (3), 32-35. https://docs.bvsalud.org/biblioref/2022/01/1028464/449-manuscrito-anonimo-857-1-10-20180417.pdf
Ripamonti, P.C. y Lizana, P.C. (2020). Trayectorias escolares desde singularidades resistentes. Revista Mexicana de Investigación Educativa, 25(85), 291-316. https://dialnet.unirioja.es/servlet/articulo?codigo=7555325
Rojas, C. (2012). Participación de las y los docentes en la transformación curricular. Revista Electrónica de Actualidades Investigativas en Educación, 2 (1), 1-18. http://www.redalyc.org/articulo.oa?id=44723363012
Schneider, M. y Preckel, F. (2017). Variables associated with achievement in Higher Edition: A systematic review of Meta-Analyses. Psychological Bulletin, 143 (6), 565-600.
Silva, A. (2007). La enseñanza, el ejercicio y la investigación en Psicología en un mundo plural y tolerante. Pax, México.
Terigi, F. (2007). Los desafíos que plantean las trayectorias escolares. Paper presentado en el III Foro Latinoamericano de educación. Jóvenes y docentes. La escuela secundaria en el mundo de hoy. Fundación Santillana. agmeretrerios.com.ar/indexlop-content/uploads/2014/07/Itinerario-3-Los-desafios-que-plantean-las-trayectorias-escolares-pdf
Tinto, V. (1989). Definir la deserción: una cuestión de perspectiva. Revista de Educación Superior, 71 (18). publicaciones.anuies.mx/revista/71
Universidad Nacional Autónoma de México. Facultad de Estudios Superiores Iztacala (2015). Plan de estudios de la licenciatura en Psicología. Facultad de Estudios Superiores Iztacala. http://www.psicología.iztacala.unam-mx
Notas de autor