Artículos de investigación
Las angiospermas ruderales del municipio Coronango, Puebla, México
The ruderal angiosperms of Coronango municipality, Puebla, Mexico
Las angiospermas ruderales del municipio Coronango, Puebla, México
Acta botánica mexicana, núm. 127, e1601, 2020
Instituto de Ecología A.C., Centro Regional del Bajío
Recepción: 12 Agosto 2019
Recibido del documento revisado: 12 Septiembre 2019
Aprobación: 23 Octubre 2019
Publicación: 06 Diciembre 2019
Financiamiento
Fuente: BUAP
Nº de contrato: SGPA/DGGFS/712/2044/16
Descripción del financiamiento: BUAP, SGPA/DGGFS/712/2044/16. Este estudio fue apoyado por el Consejo Nacional de Ciencia y Tecnología, que otorgó una beca a ECFH como Ayudante de Investigador Nacional.
Resumen
Antecedentes y Objetivos: Entre las plantas comúnmente conocidas como malezas se incluyen las ruderales, que prosperan en asentamientos humanos y lugares con perturbación natural o antropogénica. Pocos estudios en México se han enfocado en tales plantas; no obstante, constituyen un componente importante de la flora del país, muchas de ellas son endémicas. El objetivo de este trabajo fue llevar a cabo un inventario de la flora ruderal del municipio Coronango, Puebla, cuyo territorio se encuentra actualmente desprovisto de vegetación original.
Métodos: Coronango es uno de los 217 municipios que conforman el estado de Puebla; para cumplir el objetivo del trabajo se recorrieron sus caminos en el periodo de octubre de 2017 a octubre del 2018, realizando recolectas de material vegetal que fue procesado para su posterior identificación. A lo largo del trabajo de campo, se registraron únicamente como observaciones las especies que ya pudieron ser identificadas en el sitio sin necesidad de recolectarlas nuevamente. Con los datos de campo se hizo una evaluación del esfuerzo de muestreo y se documentó la lista de especies de plantas ruderales para el municipio.
Resultados clave: En los caminos recorridos se registraron 46 familias, 170 géneros y 237 especies ruderales; tres de ellas son nuevos registros para Puebla y 61 son exóticas (introducidas), lo que representa 25.6% de la flora total del municipio.
Conclusiones: Este estudio contribuye a un mejor conocimiento de la flora del estado de Puebla y se suma a los pocos que se enfocan a las plantas con comportamiento ruderal. Se destaca que aún municipios como Coronango, con fuerte perturbación y carentes actualmente de vegetación original, registran un importante componente de la flora del estado y de México, el cual seguramente caracterizará muchos ambientes futuros, conforme se siga incrementando la degradación de los ambientes originales.
Palabras clave: distribución geográfica+ florística+ malezas+ perturbación antropogénica+ plantas exóticas.
Abstract
Background and Aims: Among the plants commonly known as weeds are the ruderals, which thrive in human settlements and places with natural or human disturbance. Few studies in Mexico have focused on such plants, although they are an important component of the country’s flora, including many of them are endemics. The aim of this work was to carry out an inventory of the ruderal flora of the Coronango municipality, Puebla, whose territory is currently devoid of original vegetation.
Methods: Coronango is one of the 217 municipalities that make up the state of Puebla. In order to fulfill the objective, the roadsides of the municipality were covered in the period from October 2017 to October 2018, making collections of plant material that was processed for later identification. Throughout the fieldwork, those species that could already be identified on the site were registered as observations without any further collection. With the field data, an evaluation of the sampling effort was made and the list of ruderal plant species for the municipality was documented.
Key results: On the roadsides of the municipality 237 ruderal species were recorded, distributed in 46 families and 170 genera. Three of the species identified constitute new records for the state of Puebla. In addition, the presence of 61 exotic (introduced) species was documented, which represents 25.6% of the total flora of the municipality.
Conclusions: This study contributes to a better knowledge of the flora of the state of Puebla and adds to the few that focus on plants with ruderal behavior. It is also highlighted that even municipalities as Coronango, with a high degree of disturbance and currently lacking original vegetation, register an important component of the state and Mexican flora, which will surely characterize many future environments as the degradation of the original environments continues to increase.
Keywords: anthropogenic disturbance, exotic plants, floristics, geographic distribution, weeds.
Introducción
Se ha postulado que la diversificación observada en las plantas ha estado en parte asociada a tres principales estrategias de respuesta a factores como la perturbación y el estrés (Grime, 1977; Blumenthal et al., 2013). La primera se conoce como competitiva, prevalece en la vegetación relativamente intacta con bajo estrés y poca perturbación; la segunda se denomina tolerante al estrés y se asocia con condiciones con alto estrés y poca perturbación; finalmente, la estrategia ruderal es característica de hábitats con bajo estrés y alta perturbación. Cada una de esas tácticas combina características morfológicas, fenológicas y de apropiación de recursos para responder al estrés imperante (condiciones que restringen la producción de biomasa, como puede ser la deficiencia de agua, luz o nutrientes) o a la perturbación (destrucción parcial o total del hábitat o de la cubierta vegetal por herbívoros, patógenos, fenómenos naturales o actividades humanas; Grime y Pierce, 2012). La estrategia ruderal agrupa a las plantas del mismo nombre, adaptadas a sitios con perturbación constante y severa, aunque no necesariamente con mucho estrés.
Bajo otra perspectiva, las plantas ruderales son aquellas que se desarrollan en asentamientos humanos, caminos y lugares con perturbación antropogénica (Rzedowski, 1991); cuentan con las características necesarias para adaptarse y soportar niveles de disturbio, ante la acción del ser humano. También se conocen como malezas (Rzedowski, 1991; Villaseñor y Espinosa-García, 1998), término que considera igualmente a aquellas plantas silvestres que se desarrollan en lugares no deseados por el ser humano (Rzedowski, 2006). Ecológicamente las malezas se dividen en dos grupos: ruderales, comunes en caminos y carreteras, y arvenses, asociadas a los campos de cultivo (Rzedowski, 2006).
Son pocos los países o regiones (Australia, Estados Unidos de América, algunos países de Europa y Sudáfrica) que cuentan con estudios completos de su flora ruderal y arvense. Su interés principal ha estado dirigido a la identificación de la flora exótica (introducida o alóctona), debido al fenómeno potencial de una progresiva homogenización de la flora sinantrópica (Sanz-Elorza et al., 2001). En México ha sido más común llevar a cabo inventarios sobre malezas en general; un recuento a nivel nacional fue presentado por Villaseñor y Espinosa-García (1998). Entre los ejemplos a nivel estatal o regional se pueden mencionar los de Rapoport et al. (1983) y Vibrans (1998), quienes realizaron el análisis de la flora asociada a los ambientes urbanos de la Ciudad de México; el de Villarreal (1983), quién elaboró un manual para la identificación de las malezas de Buenavista, Coahuila; Espinosa y Sarukhán (1997) que documentaron las del Valle de México; Calderón y Rzedowski (2004) para la región de Salvatierra, Guanajuato. Más recientemente Garcillán et al. (2013) detallaron las plantas no nativas presentes en la península de Baja California y Castillo-Argüero et al. (2009; 2016) analizaron la flora exótica en la Reserva del Pedregal de San Ángel (REPSA) y en la cuenca del río Magdalena, ambas en la Ciudad de México.
Entre los estudios que tratan sobre plantas ruderales en particular se pueden mencionar los de Rapoport et al. (1983) y Vibrans (1998) en la Ciudad de México, el de Martínez-de La Cruz et al. (2015) del municipio Malinalco, Estado de México, y el de Gómez (2017) de la zona urbana y periurbana de Morelia, Michoacán. La revisión bibliográfica no registra otros trabajos que se enfoquen de manera específica al estudio de estas plantas en otras partes del país.
Muchas especies ruderales son autóctonas (nativas), es decir, se originaron en el área en la que actualmente se encuentran distribuidas. Otras son alóctonas o introducidas (exóticas) y por su gran plasticidad toleran las condiciones que les ofrece su nueva área de distribución, llegando a naturalizarse por su capacidad de adaptación y proliferación en nuevos sitios poco tolerantes para muchas nativas (Reyes y Martínez, 2001). Tal adaptación les permite sobrevivir en estos nuevos ambientes, y algunas al no contar con enemigos naturales, pueden llegar a ocasionar problemas ambientales (Sanz-Elorza et al., 2001).
En México se han realizado numerosos trabajos donde se analizan los componentes florísticos de diferentes regiones (Villaseñor, 2004); sin embargo, pocos de ellos se concentran en el componente ruderal a pesar de que son estas especies con las que el ser humano tiene más contacto. Por consiguiente, el objetivo de este trabajo fue llevar a cabo un inventario de la flora que se desarrolla a lo largo de los caminos en el municipio Coronango, una de las áreas con mayor grado de perturbación en el estado de Puebla. Para cumplir dicho objetivo se planteó una estrategia de recolecta, procesamiento e identificación de material herborizado, con el fin de generar la lista florística de las especies encontradas en los caminos del municipio.
Materiales y Métodos
Área de estudio
El municipio Coronango se ubica en el estado de Puebla, México, posee una extensión de 32 km2, entre 19º06'36''-19º10'42'' de latitud Norte y 98º14'54''-98º19'40'' de longitud Oeste; limita al norte con el estado de Tlaxcala, al sur con San Pedro Cholula, al este con Cuautlancingo y al oeste con Juan C. Bonilla y San Miguel Xoxtla, todos ellos municipalidades del estado de Puebla (INAFED, 2010; Fig. 1). Pertenece a la provincia florística Eje Volcánico Transversal (Rzedowski, 2006; Rodríguez-Acosta et al., 2014) y presenta una topografía francamente plana, con una altitud promedio de 2190 m (INAFED, 2010).

El clima preponderante en Coronango es templado subhúmedo, con lluvias en verano; la temperatura oscila entre los 14 y 18 °C y la precipitación entre 800 y 1000 mm anuales; la única corriente intermitente (Río Prieto) forma parte de la cuenca hidrográfica del Río Atoyac, el cual drena eventualmente al sureste hacia el Río Balsas (INEGI, 2009). En la actualidad, el uso del suelo corresponde 69% a zonas urbanas y 31% a las agrícolas (INEGI, 2009), no se registra vegetación natural.
Trabajo de recolecta
Con la ayuda del programa de computo Google Earth Pro y sus herramientas de trazado de ruta (Google Earth, 2018), se elaboró un mapa donde se ilustran las terracerías y caminos asfaltados como calles, autopistas y carreteras con los que cuenta Coronango (Fig. 1); se estructuró para ser manipulado en un sistema de información geográfica y así poder realizar representaciones gráficas (mapas) de sus caminos y mostrar el esfuerzo de muestreo posterior al inventario realizado.
Se realizaron recorridos semanales por las calles y caminos del municipio (Fig. 1) durante los meses de octubre 2017 a octubre 2018, totalizando un periodo de 65 días de muestreo. En promedio se trabajó 6 horas por día, tiempo en que se recolectaron y registraron las especies ruderales que se encontraban creciendo en banquetas, orillas de las calles, bardas y terrenos baldíos; sin embargo, en algunos sitios no fue posible el acceso por desconfianza y desacuerdo de los dueños de terrenos de cultivo y predios cercanos a los caminos, quienes no autorizaron la actividad de muestreo en estas zonas.
Para la recolecta se siguió la técnica propuesta por Sánchez-González y González (2007); se tomaron, para cada ejemplar, los datos de localización (coordenadas) y hábito de crecimiento (hierba, arbusto, árbol). Generalmente cada recolecta consistió en tres duplicados, el primero se depositó en el Herbario del Jardín Botánico (HUAP) de la Benemérita Universidad Autónoma de Puebla, el cual contaba con 37 ejemplares pertenecientes a 35 especies para el área; el segundo se depositó en el Herbario Nacional de México (MEXU) del Instituto de Biología, Universidad Nacional Autónoma de México, que no contaba con ejemplares provenientes de la zona, y el tercero entró al programa de intercambios del HUAP.
Cuando la especie pudo ser identificada en el campo ya no se recolectó, únicamente se documentó su presencia. Las observaciones de las especies se realizaron por comparación morfológica de las plantas ya recolectadas, tomando únicamente el registro de coordenadas geográficas, con el objetivo de documentar de la mejor manera posible su distribución a lo largo del municipio y posteriormente analizar el esfuerzo de muestreo con estos datos.
Identificación botánica
Para identificar los ejemplares herborizados se utilizaron, corroborando siempre con material identificado y depositado tanto en HUAP como en MEXU, diferentes claves de identificación. A nivel de familia se consultó la clave en línea FAMEX (Murguía y Villaseñor, 1993); para los géneros, de manera particular para la familia Compositae (Asteraceae), se utilizó la clave en línea Gencomex, versión 2016 (Murguía y Villaseñor, 1996), y para otros grupos vegetales se recurrió a literatura especializada como el Catálogo de las malezas nativas e introducidas de gramíneas de México (Sánchez-Ken et al., 2012), el Catálogo de Gramíneas de Coahuila (Valdés-Reyna, 2015) o la Flora Fanerogámica del Valle de México (Calderón y Rzedowski, 2001). Otra fuente de consulta importante fue la página web Malezas de México (Malezas de México, 2019). Las fuentes de consulta electrónica se revisaron entre los meses de octubre 2017 a enero 2019. La mayoría de las determinaciones fueron corroboradas por el curador del Herbario HUAP; para algunas familias (Asteraceae, Apocynaceae, Cyperaceae, Euphorbiaceae, Orchidaceae, Poaceae) se consultaron especialistas (ver agradecimientos) para la validación de las determinaciones.
Base de datos
Con los registros de recolecta y las observaciones se estructuró una base de datos en Microsoft Access (Microsoft, 2010). Dicho banco contiene la información del lugar (localidad y coordenadas), fecha de recolecta u observación y características particulares de cada una de las especies. La lista resultante fue comparada con otros municipios de México, con la finalidad de contrastar su riqueza y evaluar qué tan semejantes son sus floras con la de Coronango.
Análisis de los datos
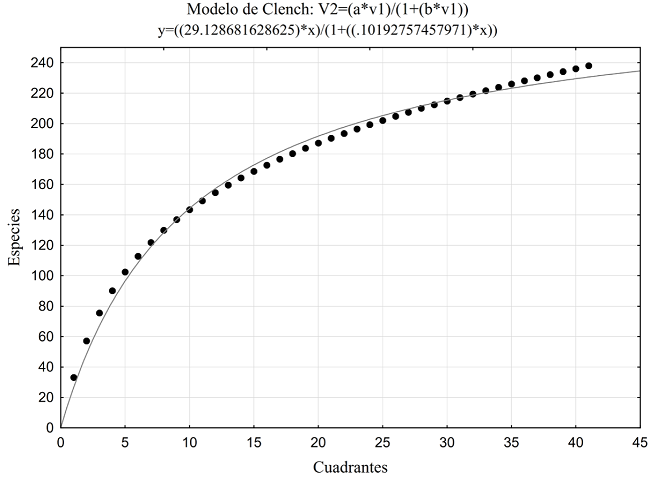
Se estructuró una matriz de presencias/ausencias que documenta la riqueza de cada una de las especies dentro del municipio, dividido en una cuadrícula de celdas de tamaño equivalente. Para analizar la riqueza y distribución, se dividió la zona de estudio en 59 cuadros de 30 segundos por lado. Aquellos cuadros con una superficie menor a 50% del área total de un cuadro completo, se fusionaron con las celdas completas más cercanas. De esta manera el número final de cuadros se redujo a 44 (Fig. 2A). Utilizando la división del municipio en cuadros y sus registros, se evaluó el esfuerzo de muestreo para determinar el nivel de completitud de su flora ruderal. Para ello se construyó una curva de acumulación (Gotelli y Colwell, 2001), donde la asíntota de la curva nos predice el número de especies que se pueden encontrar en el municipio. Los 44 cuadros se utilizaron como medidas del esfuerzo de muestreo y se ordenaron aleatoriamente 50 veces para construir así una curva suavizada utilizando el programa EstimateS versión 8.2.0 (Colwell, 2009). La asíntota de la curva se estimó ajustando la ecuación de Clench a la curva de acumulación (Soberón y Llorente, 1993; Colwell y Coddington, 1994), emplenando el método Simplex and Quasi-Newton implementado en el programa STATISTICA (StatSoft, 2011).

Utilizando el Índice de Similitud de Simpson (IS= ), se calculó la similitud de la flora ruderal de Coronango con la registrada en otros municipios del país. De esta manera se cuantificó qué tan semejante es su composición de especies con la de tales municipios. Este índice considera en el numerador el total de especies compartidas (c) y en el denominador el número de las que constituye la flora más pequeña de las dos comparadas (A, B). De esta manera es posible evaluar si este denominador (la flora más pequeña) constituye un subconjunto de la flora mayor. Se recomienda utilizarlo cuando los valores de riqueza entre las dos floras evaluadas muestran diferencias substanciales (Murguía y Villaseñor, 2003).
Resultados
El municipio Coronango registra una red de caminos que en conjunto alcanzan 193.93 km (Figs. 1, 2). De tal longitud, se recorrió un total de 62.13 km para llevar a cabo las recolectas de material y las observaciones de las especies. Los 65 días de trabajo de exploración permitieron documentar la presencia de 237 especies ruderales distribuidas en 46 familias y 171 géneros (Apéndice). Las familias que registraron más de diez especies son Asteraceae (47, 19.8%), Poaceae (30, 12.7%), Fabaceae (26, 11.0%), Euphorbiaceae (12, 5.1%) y Solanaceae (12, 5.1%) (Cuadro 1).

El inventario realizado reveló la existencia de tres especies de la familia Asteraceae, que constituyen nuevos registros para el estado, pues no fueron documentados en el inventario estatal llevado a cabo por Rodríguez-Acosta et al. (2014). Una de ellas, Tridax trilobata (Cav.) Hemsl. es una especie endémica del centro de México que ocurre en Michoacán, Guanajuato, Querétaro y Tlaxcala. Las otras dos son especies introducidas a la flora de México. Una de ellas, Cotula australis (Sieber ex Spreng.) Hook. f. está ampliamente distribuida en el país y la otra, Senecio inaequidens DC., es de reciente introducción en la zona centro, pero está expandiendo su área de distribución de manera acelerada y ha sido señalada como una especie perjudicial con características de invasora (Rzedowski et al., 2003).
Entre las 237 especies registradas se identificaron 61 exóticas, que representan 25.7% de la flora ruderal del municipio. Villaseñor y Espinosa-García (2004) documentaron 175 para todo el estado de Puebla; en consecuencia, en los 32 km2 que comprende Coronango, se registra 35% del total conocido en el estado. Los taxones introducidos están señalados con un asterisco en el Apéndice.
Frecuencia de ocurrencia de las especies ruderales en el municipio Coronango
Melinis repens (Willd.) Zizka (Poaceae) y Lepidium virginicum L. (Brassicaceae) son las especies más frecuentes en la red de caminos de Coronango; se observaron en 27 y 26 cuadros, respectivamente, de los 44 en que se dividió el municipio (Fig. 2, Apéndice). Otros taxones habituales, registrados en 25 de los 44 cuadros son Anoda cristata (L.) Schltdl. (Malvaceae), Reseda luteola L. (Resedaceae) y Ricinus communis L. (Euphorbiaceae); sin embargo, muchas de ellas se conocen de pocos cuadros (Mediana=3) y 79 se observaron en uno solo (Apéndice).
Se identificaron 18 especies endémicas de México (6.3% del total). Brickellia tomentella A. Gray (Asteraceae) se observó en el mayor número de cuadros (ocho), es un arbusto o sufrútice característico de bosques templados, conocido principalmente de los estados de Guanajuato, México, Morelos, Oaxaca, Puebla, Querétaro, San Luis Potosí y Tlaxcala. La siguiente especie encontrada en mayor número de cuadros fue Schiedeella crenulata (L.O. Williams) Espejo & López-Ferrari (Orchidaceae), orquídea terrestre distribuida en el centro de México desde Colima, Jalisco y Michoacán hasta Puebla y Veracruz; es la siguiente en hallarse en mayor número de cuadros (siete). Otras dos especies, Descurainia virletii (E. Fourn.) O.E. Schulz (Brassicaceae) y Oenothera biennis L. (Onagraceae), fueron registradas en cinco cuadros (ambas ampliamente distribuidas en el territorio nacional. Las otras 14 se consideran raras en el área de estudio, pues en su mayoría ocurrieron solamente en uno o dos cuadros (Apéndice).
En el cuadro 39 se encontró el mayor número de especies (99), seguido por el cuadro 29 (64). Cuatro cuadros (1, 2, 12 y 23) registraron una o ninguna. Un par de ellos (1 y 2) muestran pocos caminos y están principalmente constituidos por terrenos de cultivo; además, junto con el cuadro 12 no se pudieron muestrear adecuadamente por ser inaccesibles. El otro cuadro sin registros (23) se ubica dentro de las instalaciones de la armadora automotriz Volkswagen, sitio cercado y donde los vigilantes tampoco permitieron el acceso para documentar las plantas.

En el Cuadro 2 se presenta una relación de los cuadros muestreados (caminos en color negro de la Fig. 2B). Se indica también el número de especies documentadas en cada uno de ellos y el número de introducidas presentes en su territorio.
Esfuerzo de muestreo
La evaluación del esfuerzo de muestreo permite estimar que la flora ruderal de Coronango consta de 287 especies, cifra que se alcanza al estimar la asíntota de la curva de acumulación (Fig. 3). De esta manera, la diferencia con respecto al número registrado (237) es de 50 especies, lo que permite concluir que la completitud del inventario de ruderales se ha logrado en 83%.

Discusión
Se encontraron 237 especies creciendo en los márgenes de la red de caminos de Coronango, Puebla. El municipio en su totalidad ha sido desprovisto de vegetación original por lo que en la actualidad está constituido principalmente por zonas con actividad agrícola y áreas urbanas conectadas por una amplia red de caminos. Se desconoce el tipo o tipos de vegetación que crecían en su territorio, pero por la altitud y manchones de bosque natural en áreas cercanas, probablemente constaba de encinares. Se observaron principalmente cultivos de maíz y alfalfa que, aunque no fueron muestreados para identificar su flora arvense, probablemente comparten un número importante, dado que al menos 64 de las especies registradas como ruderales han sido reportadas como arvenses asociadas a diferentes cultivos (Villaseñor y Espinosa-García, 1998).
Asteraceae registró el mayor número de especies en la flora ruderal del municipio (Cuadro 1). Otros estudios donde reportan esta familia como la más importante son los de Vibrans (1998) para la Ciudad de México, Martínez-de la Cruz et al. (2015) para el municipio Malinalco, Estado de México y Gómez (2017) para la zona urbana de Morelia, Michoacán. En general, las familias más importantes por su contribución de especies (Cuadro 1), también lo son en los otros inventarios que documentan plantas ruderales como los aquí citados. Probablemente dichos resultados indiquen que, en los ambientes ruderales, al menos en el centro de México, las mismas familias de plantas aportan la fuente de propágulos que conforman la diversidad florística de la vegetación ruderal.
La diferencia en el número de especies por cuadro censado (Cuadro 2) podría explicarse en parte por el tratamiento que se da en algunos caminos del municipio. Por ejemplo, las que no se observaron, tras una segunda o posteriores visitas, fue debido a las actividades de limpieza y remoción de plantas conocidas por los residentes como malas hierbas. Igualmente, durante las festividades religiosas muchas casas llevan a cabo la remoción de este tipo de plantas para adornar sus banquetas durante sus ceremonias. El sesgo en la riqueza por cuadro también puede explicarse debido a que las observaciones y registros se llevaron a cabo solamente para aquellas plantas que se encontraron con estructuras reproductivas (flores y/o frutos).
En Coronango se identifican tres principales centros de concentración de ruderales, mismos que corresponden con los tres núcleos urbanos. Hacia el suroeste se ubica la cabecera municipal, donde se encuentran los cuadros con mayor riqueza de especies (32, 33, 34, 38 y 39); hacia el noroeste se encuentra la Junta Auxiliar de Mihuacán, que registra los cuadros 5, 6 y 10 con mayor riqueza. Finalmente, hacia el este se localiza la Junta Auxiliar de Ocotlán, donde se sitúan los cuadros 28, 29 y 37 que también poseen una alta riqueza de especies (Cuadro 2).
Se documentó la presencia de 61 especies exóticas, cifra que representa 25.6% de la riqueza encontrada y que a su vez constituye 35% de las introducidas registradas en todo el estado de Puebla (175) por Villaseñor y Espinosa-García (2004). Dicha cifra seguramente está relacionada con el grado de afectación de las comunidades vegetales originales que se observa en el municipio. La carencia de sitios con vegetación primaria o secundaria en su territorio ha facilitado el establecimiento de un importante número de especies de origen alóctono, mezcladas con un número no insignificante de taxones endémicos del país (18, Apéndice) con comportamiento ruderal y/o arvense. Aunque es importante el número de exóticas, su porcentaje es equivalente al reportado por Martínez-de La Cruz et al. (2015) en su estudio de las ruderales de Malinalco, Estado de México (27.2%).
También es importante no menospreciar el componente endémico (18 especies), que en su mayoría presenta una amplia distribución en el territorio nacional. Ninguno de esos endemismos se registra de ambientes característicos de los bosques húmedos tropicales; en su mayoría (así como ocurre con las no endémicas) se les reporta de climas secos y templados, ambiente característico del municipio.
En el Cuadro 3 se muestra la semejanza florística (Índice de similitud de Simpson) entre la flora ruderal de Coronango con otros municipios del país. El valor más alto se encontró entre las de Coronango y Morelia, Michoacán (68.4% de similitud). De manera sorprendente, en segundo lugar, se observó un mayor parecido con la flora de San Cristóbal de Las Casas, Chiapas (56.6%) y en tercer lugar con la de Malinalco, Estado de México (45.6%). Con los otros municipios evaluados la similitud florística fue menor (Mediana=30.5%).

La bibliografía y la revisión de especímenes de herbario revisados hasta la fecha documentan la existencia de unas 2130 especies en ambientes ruderales (Villaseñor, datos no publicados). Los cuatro estudios evaluados que específicamente hacen referencia a plantas observadas en éstos (este trabajo; Vibrans, 1998; Martínez-de la Cruz et al., 2015; Gómez, 2017) combinan una riqueza cercana a las 800, aunque no todas ellas se registran en las cuatro localidades; de hecho, menos de 50 están presentes en tales sitios, lo que indica que aún entre este componente que tolera amplios niveles de disturbio, existen presiones de selección que impiden su amplia distribución. Entender el comportamiento de esta fracción de la flora de México que establece y determinará mucho del paisaje urbano cada vez más extendido en el país, solamente podrá hacerse teniendo una idea más precisa de cuáles podemos llamar estrictamente o más comúnmente ruderales. Estudios como el aquí presentado, junto con los que se discuten en el texto, son el inicio de esta empresa qué sin lugar a dudas, revelará muchas sorpresas y aclarará preguntas sobre la distribución y ecología de la gran riqueza florística de México.
Agradecimientos
Eladio Cesar Flores-Huitzil agradece a la Facultad de Ciencias Biológicas de la Benemérita Universidad Autónoma de Puebla por las facilidades para llevar a cabo una estancia de prácticas profesionales en el Instituto de Biología de la Universidad Nacional Autónoma de México. Agradece también al Jardín Botánico las facilidades brindadas y al Herbario de la BUAP, con permiso de colecta Oficio N° SGPA/DGGFS/712/2044/16, bajo el cual se realizaron las colectas. Enrique Ortiz apoyó en el manejo de los programas computacionales empleados. Se reconoce y agradece a los curadores del HUAP y MEXU por las facilidades otorgadas para la consulta de los ejemplares de herbario y el apoyo logístico para llevar a cabo este estudio. Finalmente, se agradece a los siguientes especialistas que ayudaron con la identificación de material: Gerardo Salazar-Chávez (Orchidaceae), José Luis Vigosa-Mercado (Poaceae), Martha Martínez-Gordillo (Lamiaceae), Verónica Juárez (Apocynaceae) y Elia Matias-Hernández (Cyperaceae).
Literatura citada
APG IV. 2016. An update of the Angiosperm Phylogeny Group classification for the orders and families of flowering plants: APG IV. Botanical Journal of the Linnean Society 181(1): 1-20. DOI: https://doi.org/10.1111/boj.12385
Beutelspacher, C. R., J. L. Villaseñor, A. Gómez-López, R. García-Martínez y M. Martínez-Icó. 2017. Flora vascular del municipio de San Cristóbal de Las Casas, Chiapas, México. Lacandonia 11: 21-139.
Blumenthal, D., C. E. Mitchell, P. Pysek y V. Jarosik. 2013. Synergy be tween pathogen release and resource availability in plant inva sion. Proceedings of the National Academy of Sciences 106(19): 7899-7904. DOI: https://doi.org/10.1073/pnas.0812607106
Briones, O. L. 1986. Notas geográficas sobre la vegetación y flora de Lampazos de Naranjo, Nuevo León, México. Reporte Científico No. 4. Facultad de Silvicultura y Manejo de Recursos Renovables, Universidad Autónoma de Nuevo León, Unidad Linares. Linares, México. 20 pp.
Calderón de R., G. y J. Rzedowski. 2001. Flora fanerogámica del Valle de México. Instituto de Ecología, A.C., Centro Regional del Bajío y Comisión Nacional para el Conocimiento y Uso de la Biodiversidad. Pátzcuaro, México. 1406 pp.
Calderón de R. , G. yJ. Rzedowski . 2004. Manual de malezas de la región de Salvatierra, Guanajuato. Flora del Bajío y de regiones adyacentes, Fascículo Complementario XX: 1-315.
Calónico, J. 2001. Contribución a la flora de la Cuenca del Río Balsas en su parte oriental, Tecoyo y sus alrededores: Municipio Alpoyeca, Guerrero. Tesis de licenciatura. Facultad de Ciencias, Universidad Nacional Autónoma de México. México, D.F., México. 122 pp.
Campos-Villanueva, A. y J. L. Villaseñor. 1995. Estudio florístico de la porción central del Municipio de San Jerónimo Coatlán, Distrito de Miahuatlán (Oaxaca). Boletín de la Sociedad Botánica de México 56: 95-120. DOI: https://dx.doi.org/10.17129/botsci.1468
Castillo-Argüero, S., Y. Martínez y M. A. Romero. 2016. Las malezas de la cuenca del río Magdalena, Ciudad de México. Universidad Nacional Autónoma de México. México, D.F., México. 142 pp.
Castillo-Argüero, S. , Y. Martínez-Orea, J. A. Meave, M. Hernández-Apolinar, O. Núñez-Castillo, G. Santibáñez-Andrade y P. Guadarrama-Chávez. 2009. Flora: susceptibilidad de la comunidad a la invasión de malezas nativas y exóticas. In: Lot, A. y Z. Cano-Santana (eds.). Biodiversidad del ecosistema del pedregal de San Ángel. Universidad Nacional Autónoma de México. México, D.F., México. Pp. 107-133.
Castillo-Campos, G. y V. E. Luna M. 2009. Flora y vegetación del Municipio de Coatepec, Veracruz. Flora de Veracruz, Fascículo Complementario 1: 1-280.
Colwell, R. K. 2009. EstimateS, Version 8.2.0: statistical estimation of species richness and shared species from samples (Software and User’s Guide). http://viceroy.eeb.uconn.edu/estimates.
Colwell, R. K. y J. A. Coddington. 1994. Estimating terrestrial bio diversity through extrapolation. Philosophical Transactions of the Royal Society (Series B) 345(1311): 101-118. DOI: https://doi.org/10.1098/rstb.1994.0091
Espinosa, F. J. y J. Sarukhán. 1997. Manual de malezas del Valle de México. Universidad Nacional Autónoma de México y Fondo de Cultura Económica. México, D.F., México. 407 pp.
Galindo, G. y R. Fernández N. 2002. Inventario florístico del municipio de Amacuzac, Morelos, México. Polibotánica 13: 107-135.
Garcillán, P. P., J. L. León de La Luz, J. P. Rebman y J. Delgadillo. 2013. Plantas no nativas naturalizadas de la península de Baja California, México. Botanical Sciences 91(4): 461-475. DOI: https://dx.doi.org/10.17129/botsci.423
Gómez, R. J. 2017. Distribución y cobertura de malezas de acuerdo a la zonificación térmica en la ciudad de Morelia, Michoacán, México. Tesis de maestría. Posgrado en Ciencias Biológicas, Universidad Nacional Autónoma de México. México, D.F., México. 93 pp.
Google Earth, 2018. Google Earth Pro versión 7.3.2.5776 (64-bit), 5776 (64-bit), https://earth.google.com/intl/es/download-earth.html (consultado diciembre de 2018).
Gotelli, N. J. y R. K. Colwell. 2001. Quantifying biodiversity: procedures and pitfalls in the measurement and comparison of species richness. Ecological Letters 4(4): 379-391. DOI: https://doi.org/10.1046/j.1461-0248.2001.00230.x
Grime, J. P. 1977. Evidence for the existence of three primary strategies in plants and its relevance to ecological and evolutionary theory. The American Naturalist 111(982): 1169- 1194. DOI: https://doi.org/10.1086/283244
Grime, J. P. y S. Pierce. 2012. The evolutionary strategies that shape ecosystems. Wiley-Blackwell. Chichester, UK. 264 pp. DOI: https://doi.org/10.1002/9781118223246
Gutiérrez, C. 2001. Dicotiledóneas del municipio de Campeche. Gaceta Universitaria 62: 14-21.
INAFED. 2010. Enciclopedia de los Municipios y Delegaciones de México: Puebla. Instituto para el Federalismo y el Desarrollo Municipal. Puebla, México. http://www.inafed.gob.mx/work/enciclopedia/EMM21puebla/index.html (consultado diciembre de 2018).
INEGI. 2009. Prontuario de información geográfica municipal de los Estados Unidos Mexicanos. Coronango, México. http://www3.inegi.org.mx/contenidos/app/mexicocifras/datos_geograficos/21/21034.pdf (consultado diciembre de 2018).
Malezas de México. 2019. http://www.conabio.gob.mx/malezasdemexico/2inicio/home-malezas-mexico.htm (consultado enero de 2019).
Martínez-de la Cruz, I., H. Vibrans, L. Lozada-Pérez, A. Romero-Manzanarez, L. I. Aguilera-Gómez e I. V. Rivas-Manzano. 2015. Plantas ruderales del área urbana de Malinalco, estado de México, México. Botanical Sciences 93: 907-919. DOI: https://dx.doi.org/10.17129/botsci.213
Microsoft. 2010. Microsoft Access versión 2010. Microsoft Corporation. Redmont, EUA.
Murguía, M. y J. L. Villaseñor. 1993. Famex versión 2.0, clave para familias de plantas con flores (Magnoliophyta) de México. Asociación de Biólogos Amigos de la Computación, A.C. México, D.F., México. 56 pp. https://www.abatax.abaco2.org/clavesTax_lista.php (consultado enero de 2019).
Murguía, M. y J. L. Villaseñor. 1996. Gencomex. Policlave para la identificación de los géneros de Compositae presentes en México. Asociación de Biólogos Amigos de la Computación, A.C. México, D.F., México. 36 pp. http://www.abatax.abacoac.org/clavesTax_lista.php(consultado enero de 2019).
Murguía, M. y J. L. Villaseñor. 2003. Estimating the effect of the similarity coefficient and the cluster algorithm on biogeographic classifications. Annales Botanici Fennici 40: 415-421.
Rapoport, E. H., M. E. Díaz-Betancourt e I. R. López-Moreno. 1983. Aspectos de la ecología urbana en la Ciudad de México: Flora de las calles y baldíos. LIMUSA. México, D.F., México. 197 pp.
Reyes, J. M. y D. Martínez. 2001. La plasticidad de las plantas. Elementos 41: 39-43.
Reynoso, J. J., L. Hernández, R. Ramírez, M. Harker., M. Cedano. e I. L. Álvarez. 2006. Catálogo preliminar de la flora vascular y micobiota del municipio de San Sebastián del Oeste, Jalisco, México. Ibugana 14: 51-91.
Rodríguez-Acosta, M., J. L. Villaseñor, A. J. Coombes y A. B. Cerón-Carpio. 2014. Flora del estado de Puebla, México. Benemérita Universidad Autónoma de Puebla. Puebla, México. 176 pp.
Rzedowski, J. 1991. Diversidad y orígenes de la flora fanerogámica de México. Acta Botanica Mexicana 14: 3-21. DOI: https://doi.org/10.21829/abm14.1991.611
Rzedowski, J. 2006. Vegetación de México. Primera Edición digital. Comisión Nacional para el Conocimiento y Uso de la Biodiversidad. México, D.F., México. 504 pp.
Rzedowski, J., H. Vibrans y G. C. de Rzedowski. 2003. Senecio inaequidens DC., (Compositae, Senecioneae), una maleza perjudicial introducida en México. Acta Botanica Mexicana 63: 83-96. DOI: https://doi.org/10.21829/abm63.2003.922
Sánchez-González, A. y M. González. 2007. Técnicas de recolecta de plantas y herborización. In: Contreras-Ramos, A., C. Cuevas C. , I. Goyenechea y U. Iturbe (eds.). La sistemática, base del conocimiento de la biodiversidad. Universidad Autónoma del Estado de Hidalgo. Pachuca, Hidalgo, México. Pp. 123-133.
Sánchez-Ken, J. G., G. A. Zita-Padilla y M. Mendoza-Cruz. 2012. Catálogo de las gramíneas malezas nativas e introducidas de México. Secretaría de Agricultura, Ganadería, Desarrollo Rural, Pesca y Alimentación (SAGARPA), Asociación Mexicana de la Ciencia de la Maleza (ASOMECIMA), A.C., Instituto de Biología, Universidad Nacional Autónoma de México, Facultad de Estudios Superiores, Cuautitlán (UNAM) y Consejo Nacional Consultivo Fitosanitario (CONACOFI). México, D.F., México. 433 pp.
Sanz-Elorza, M., E. Dana y E. Sobrino. 2001. Aproximación al listado de plantas alóctonas invasoras reales y potenciales en España. Lazaroa 22: 121-131.
Soberón, J. y J. Llorente. 1993. The use of species accumulation functions for the prediction of species richness. Conservation Biology 7(3): 480-488. DOI: https://doi.org/10.1046/ j.1523-1739.1993.07030480.x
Solano, L. 1997. Estudio florístico y descripción de la vegetación del Municipio de Asunción Cuyotepeji, Distrito de Huajuapan de León, Oaxaca. Polibotánica 5: 37-75.
StatSoft, Inc. 2011. STATISTICA, version 10. Tulsa, Oklahoma, USA. http://www.statsoft.com.
Valdés-Reyna, J. 2015. Gramíneas de Coahuila. Comisión Nacional para el Conocimiento y Uso de la Biodiversidad (CONABIO). México, D.F., México. 556 pp.
Vega, R. 2001. Flora del municipio de Culiacán, Sinaloa (México): un estudio preliminar para evaluar futuras áreas de protección. Tesis de doctorado. Facultad de Ciencias, Universidad Nacional Autónoma de México. México, D.F., México. 147 pp.
Vibrans, H. 1998. Urban weeds of Mexico City. Floristic composition and important families. Anales del Instituto de Biología, Universidad Nacional Autónoma de México, Serie Botánica 69(1): 37-69.
Villarreal, J. A. 1983. Malezas de Buenavista, Saltillo, Coahuila. Universidad Autónoma Agraria Antonio Narro. Saltillo, México. 269 pp.
Villarreal, J. A. 2001. Listados Florísticos de México XXIII: Flora de Coahuila. Instituto de Biología, Universidad Nacional Autónoma de México. México, D.F., México. 138 pp.
Villaseñor, J. L. 2004. Los géneros de plantas vasculares de la flora de México. Boletín de la Sociedad Botánica de México 75: 105-135. DOI: https://doi.org/10.17129/botsci.1694
Villaseñor, J. L. y F. J. Espinosa-García. 1998. Catálogo de malezas de México. Universidad Nacional Autónoma de México y Fondo de Cultura Económica. México, D.F., México. 449 pp.
Villaseñor, J. L. y F. J. Espinosa-García. 2004. The alien flowering plants of Mexico. Diversity and Distributions 10(2): 113-123. DOI: https://doi.org/10.1111/j.1366-9516.2004.00059.x
Zamora, C., P. 1996. Listado florístico del Municipio de La Antigua, Veracruz. La Ciencia y el Hombre 22: 91-117.
Zamora, C., P. 2003. Contribución al estudio florístico y descripción de la vegetación del Municipio de Tenabo, Campeche, México. Polibotánica 15: 1-40.
Apéndice
Lista de especies ruderales del municipio Coronango, Puebla. Con asterisco (*) se señalan las plantas introducidas a México y con la letra E las especies endémicas de México. Entre paréntesis se indican los cuadros mostrados en la Figura 2 donde se registró la especie. El número en negritas indica el número de recolecta correspondiente al primer autor, salvo los números de LCO (Lucio Caamaño Onofre). Entre paréntesis se mencionan los acrónimos de las colecciones en las que se encuentran depositados los ejemplares. Las familias siguen la clasificación de The Angiosperm Phylogeny Group (APG IV, 2016) y están ordenadas alfabéticamente dentro de su grupo principal.
MONOCOTILEDÓNEAS
Amaryllidaceae
Nothoscordum bivalve (L.) Britton (9) 175 (HUAP, MEXU).
EZephyranthes fosteri Traub (9, 36) 176 (HUAP, MEXU).
Cannaceae
*Canna indica L. (29, 39) 189 (HUAP, MEXU).
Commelinaceae
Commelina diffusa Burm. f. (26, 31, 34, 40) 218 (HUAP, MEXU).
Commelina tuberosa L. (6, 21, 26, 28, 29, 30, 31, 34, 35,37, 38, 41) 214 (HUAP, MEXU).
Tinantia erecta (Jacq.) Schltdl. (3, 4, 5, 7, 9, 10, 13, 14, 18, 20, 27, 28, 29, 30, 34, 35, 37, 41) 223, 242 (HUAP, MEXU).
Tradescantia crassifolia Cav. (34) 222 (HUAP, MEXU).
Tripogandra purpurascens (S. Schauer) Handlos (5, 6, 8. 9, 10, 11, 14, 28, 29, 30, 31, 34, 37, 41) 224 (HUAP, MEXU).
Cyperaceae
*Cyperus esculentus L. (28, 35, 44) 108, 226 (HUAP, MEXU).
Cyperus hermaphroditus (Jacq.) Standl. (7) 208 (HUAP, MEXU).
Cyperus odoratus L. (4, 28, 29, 34, 37, 44) 40 (HUAP).
Orchidaceae
Dichromanthus cinnabarinus (Lex.) Garay (20, 26, 28, 35, 37) Ferrari973 (UAMIZ); 217 (HUAP, MEXU).
Dichromanthus michuacanus (Lex.) Salazar & Soto Arenas (6) 266 (HUAP, MEXU).
Habenaria guadalajarana S. Watson (28, 35) 227 (HUAP).
ESchiedeella crenulata (L.O. Williams) Espejo & López-Ferrari (10, 19, 32, 37, 39, 42, 44) 128 (HUAP).
Poaceae
*Arundo donax L. (11, 20, 25, 28, 32, 33, 34, 38, 39) 147 (HUAP, MEXU).
*Avena sativa L. (17, 26, 32, 41) 94 (HUAP, MEXU).
Bothriochloa laguroides (DC.) Herter (3, 6, 8, 9, 10, 19, 20, 25, 27, 29, 32, 34, 35, 37, 38, 39, 40, 41, 44) 36 (HUAP, MEXU).
Bouteloua gracilis (Kunth) Lag. ex Griffiths (26) 237 (HUAP, MEXU).
Bromus carinatus Hook. & Arn. (8, 32, 39) 5 (HUAP, MEXU).
*Bromus catharticus Vahl (9, 27, 28, 39) 28 (HUAP, MEXU).
*Cenchrus setaceus (Forssk.) Morrone (39, 42) 126 (HUAP, MEXU).
Chaetium bromoides (J. Presl) Benth. ex Hemsl. (5, 6, 11, 35, 36, 37, 40) 181 (HUAP, MEXU).
Chloris submutica Kunth (10) 183 (HUAP, MEXU).
Chloris virgata Sw. (3, 6, 9, 11) 262 (HUAP, MEXU).
*Cynodon dactylon (L.) Pers. (10, 20, 25, 27, 28, 29, 32, 38, 39, 40) 113 (HUAP, MEXU).
*Cynodon nlemfuensis Vanderyst (33) LCO 3721 (HUAP).
*Eleusine indica (L.) Gaertn. (10, 38) 51 (HUAP, MEXU).
*Eleusine multiflora Hochst. ex A. Rich. (4, 5, 10, 11, 13, 30, 32) 86 (HUAP, MEXU).
Eragrostis lugens Nees (10) 182 (HUAP, MEXU).
Eragrostis mexicana (Hornem.) Link (6, 39) 161, 142 (HUAP, MEXU).
Eragrostis tenuifolia (A. Rich.) Hochst. ex Steud. (10, 25, 26, 27, 32, 34, 38, 39, 40, 44) 22, 27 (HUAP, MEXU).
*Festuca perennis (L.) Columbus & J.P. Sm. (5, 6, 8. 9, 13, 14, 20, 27, 29, 30, 32, 37, 38, 39, 41) 26 (HUAP, MEXU).
Hilaria cenchroides Kunth (17, 26, 35) 96, 228 (HUAP, MEXU).
Ixophorus unisetus (J. Presl) Schltdl. (25, 38) 90, (HUAP, MEXU).
*Melinis repens (Willd.) Zizka (3, 4, 5, 6, 7, 9, 11, 14, 18, 20, 25, 26, 27, 28, 29, 30, 31, 32, 34, 35, 37, 38, 39, 40, 41, 43, 44) 25 (HUAP, MEXU).
Muhlenbergia microsperma (DC.) Kunth (31) 255 (HUAP, MEXU).
Paspalum dilatatum Poir. (9) 174 (HUAP, MEXU).
*Phalaris canariensis L. (41) 259 (HUAP, MEXU).
*Poa annua L. (5, 11, 20, 29, 32) 87 (HUAP, MEXU).
Polypogon interruptus Kunth (39) 59 (HUAP, MEXU).
Schizachyrium sanguineum (Retz.) Alston (28) 257 (HUAP, MEXU).
Setaria parviflora (Poir.) Kerguélen (5, 6, 9, 10, 28, 32, 38, 39) 2 (MEXU)
*Sorghum halepense (L.) Pers. (35, 39, 41) 204 (HUAP, MEXU).
*Sporobolus indicus (L.) R. Br. (4, 5, 6, 10, 11, 27, 28, 29, 31, 32, 34, 35, 37, 39, 40, 41) 21 (HUAP, MEXU).
EUDICOTILEDÓNEAS
Acanthaceae
EDicliptera peduncularis Nees (33) 50 (HUAP, MEXU).
Aizoaceae
*Aptenia cordifolia (L. f.) Schwantes (5, 13, 20, 26, 32, 36) 117 (HUAP, MEXU).
Amaranthaceae
Alternanthera caracasana Kunth (10, 11, 25, 26, 27, 29, 32, 33, 36, 38, 39, 40, 43) 29 (HUAP, MEXU).
Amaranthus hybridus L. (6, 20, 26, 29, 33, 34, 39) 18, 140 (HUAP, MEXU).
*Chenopodiastrum murale (L.) S. Fuentes-B., Uotila & Borsch (5, 9, 10, 11, 20, 25, 26, 27, 29, 32, 33, 34, 35, 36, 39) 23 (HUAP, MEXU).
*Chenopodium album L. (30, 34) 130 (HUAP, MEXU).
Dysphania ambrosioides (L.) Mosyakin & Clemants (5, 10, 11, 20, 27, 28, 29, 37, 39) 120 (HUAP, MEXU).
EGomphrena pringlei J.M. Coult. & Fisher (6, 30) 247 (HUAP, MEXU).
Gomphrena serrata L. (6, 11, 27, 37) 230 (HUAP, MEXU).
Guilleminea densa (Humb. & Bonpl. ex Schult.) Moq. (5, 17) 170 (HUAP).
Anacardiaceae
*Schinus molle L. (5, 8, 9, 11, 37, 39) 192 (HUAP, MEXU).
Apiaceae
Cyclospermum leptophyllum (Pers.) Sprague ex Britton & P. Wilson (32, 39) 83 (HUAP, MEXU).
*Foeniculum vulgare Mill. (9, 26, 32, 33, 39) 91 (HUAP, MEXU).
Apocynaceae
Asclepias curassavica L. (33) 221 (HUAP, MEXU).
Asclepias glaucescens Kunth (9, 39, 40, 43, 44) 156 (HUAP, MEXU).
Asclepias rosea Kunth (17, 39) 167 (HUAP, MEXU).
ECynanchum foetidum (Cav.) Kunth (16) 220 (HUAP, MEXU).
EGonolobus chloranthus Schltdl. (38) 212, 290 (HUAP, MEXU).
*Vinca major L. (39) 194 (HUAP, MEXU).
Asteraceae
Adenophyllum porophyllum (Cav.) Hemsl. (30) 246 (HUAP, MEXU).
Aldama dentata La Llave (4, 5, 10, 18, 27, 42) 111 (HUAP, MEXU).
Ambrosia cumanensis Kunth (4, 5, 6, 8, 11, 13, 14, 20, 25, 27, 28, 29, 30, 31, 32, 33, 34, 35, 37, 39, 41) 69 (HUAP, MEXU).
Baccharis pteronioides DC. (17, 39) 158, 169 (HUAP, MEXU).
Baccharis salicifolia (Ruiz & Pav.) Pers. (6, 27, 37) 64 (HUAP, MEXU).
Barkleyanthus salicifolius (Kunth) H. Rob. & Brettell (5, 6, 8, 9, 10, 11, 15, 18, 19, 20, 21, 25, 26, 28, 29, 30, 32, 33, 34, 38, 39, 44) 112 (HUAP, MEXU).
Bidens aurea (Aiton) Sherff (7, 14) 207, 245 (HUAP, MEXU).
Bidens odorata Cav. (4, 6, 8, 10, 14, 20, 27, 29, 35, 38, 39) 7 (HUAP, MEXU).
Bidens pilosa L. (17, 26) 95 (HUAP, MEXU).
EBidens serrulata (Poir.) Desf. (5) 264 (HUAP, MEXU).
Brickellia eupatorioides (L.) Shinners (6, 9, 17, 27, 31, 37, 38, 39, 40, 42, 44) 121, 166 (HUAP, MEXU).
EBrickellia tomentella A. Gray (11, 18, 28, 32, 38, 39, 40, 41) 55 (HUAP, MEXU).
Calyptocarpus vialis Less. (28) 256 (HUAP, MEXU).
Conyza canadensis (L.) Cronquist (33) LCO 3718 (HUAP).
Cosmos bipinnatus Cav. (5, 6, 8, 9, 10, 11, 14, 18, 21, 26, 27, 28, 29, 30, 35, 37, 41) 231 (HUAP, MEXU).
*Cotula australis (Sieber ex Sperng.) Hook. f. (4, 33) 70 (HUAP, MEXU).
Dyssodia papposa (Vent.) Hitchc. (5, 9, 31, 41) 100 (HUAP, MEXU).
Erigeron longipes DC. (8, 25, 26, 32, 33, 39) 92 (HUAP, MEXU).
EFlaveria pringlei Gand. (37, 41) 129 (HUAP, MEXU).
Florestina pedata (Cav.) Cass. (38) 213 (HUAP, MEXU).
Galinsoga parviflora Cav. (11, 18, 28, 29, 32, 34) 42, 43 (HUAP, MEXU).
Helianthus annuus L. (7) 206 (HUAP, MEXU).
Heterosperma pinnatum Cav. (32, 33) 80 (HUAP, MEXU).
EHeterotheca inuloides Cass. (30) 133 (HUAP, MEXU).
Hieracium mexicanum Less. (9, 15, 20, 27, 29, 40, 44) 148 (HUAP, MEXU).
Lactuca brachyrrhyncha Greenm. (31) 254 (HUAP, MEXU).
*Lactuca serriola L. (6, 9, 14, 29, 30, 31, 35, 39, 42, 44) 118 (HUAP, MEXU).
Laennecia schiedeana (Less.) G.L. Nesom (5, 32, 34) 19 , 139 (HUAP, MEXU).
Laennecia sophiifolia (Kunth) G.L. Nesom (5, 10, 13, 20, 33) 137 (HUAP, MEXU).
Melampodium perfoliatum (Cav.) Kunth (9, 14, 21, 29, 37, 41) 243 (HUAP, MEXU).
Montanoa leucantha (Lag.) S.F. Blake (1) 265 (HUAP, MEXU).
Parthenium bipinnatifidum (Ortega) Rollins (14) 270 (HUAP).
Pinaropappus roseus (Less.) Less. (8, 9, 10, 16, 32, 37, 38, 39, 40, 42, 44) 110 (HUAP, MEXU).
Pseudognaphalium canescens (DC.) Anderb. (3, 9, 26, 28, 29, 32, 36, 38, 39, 41) 77 (HUAP, MEXU).
Sanvitalia procumbens Lam. (6, 11) 260 (HUAP, MEXU).
Schkuhria pinnata (Lam.) Kuntze ex Thell. (6, 9, 26) 240 (HUAP, MEXU).
*Senecio inaequidens DC. (44) 107 (MEXU).
*Senecio vulgaris L. (20) 134 (HUAP, MEXU).
Simsia foetida (Cav.) S.F. Blake (34) 20 (HUAP, MEXU).
*Sonchus oleraceus L. (4, 5, 6, 8, 9, 10, 11, 18, 20, 26, 28, 29, 30, 32, 33, 34, 36, 37, 38, 39, 40, 41) 3, 15 (HUAP, MEXU).
Stevia ovata Willd. (28, 30, 31, 35, 37, 39, 41) 9 (MEXU).
Symphyotrichum expansum (Poepp. ex Spreng.) G.L. Nesom (20, 28, 29, 32, 34, 36, 39, 40, 42) 76 , 106 (HUAP, MEXU).
Tagetes tenuifolia Cav. (39) 12 (HUAP, MEXU).
*Taraxacum officinale F.H. Wigg. (4, 5, 10, 11, 14, 20, 25, 26, 29, 32, 33, 35, 36, 37, 39, 41) 101 (HUAP, MEXU).
Tithonia tubiformis (Jacq.) Cass. (4, 5, 6, 8, 9, 11, 14, 21, 26, 27, 28, 29, 30, 35, 37, 41) 65 (HUAP, MEXU).
ETridax coronopifolia (Kunth) Hemsl. (7, 10, 28, 39) 180, 209 (HUAP, MEXU).
ETridax trilobata (Cav.) Hemsl. (15) 268 (HUAP, MEXU).
Betulaceae
Alnus acuminata Kunth (6, 32) 179 (HUAP, MEXU).
Boraginaceae
*Borago officinalis L. (39) 235 (HUAP, MEXU).
Wigandia urens (Ruiz & Pav.) Kunth (9, 19, 33, 35, 44) 146 (HUAP, MEXU).
Brassicaceae
*Brassica rapa L. (4, 6, 29, 38) 54, 141 (HUAP, MEXU).
*Capsella bursa-pastoris (L.) Medik. (5, 10, 11, 16, 25, 39) 99 (HUAP, MEXU).
EDescurainia virletii (E. Fourn.) O.E. Schulz (5, 9, 29, 32, 34) 46 (MEXU).
*Lepidium didymum L. (6, 29, 34, 39) 74 (HUAP, MEXU).
Lepidium virginicum L. (4, 5, 6, 8, 9, 10, 11, 13, 14, 21, 25, 26, 27, 28, 29, 30, 31, 32, 33, 34, 35, 37, 38, 39, 40, 41) 6 (HUAP, MEXU).
*Raphanus raphanistrum L. (3, 9, 10, 28, 29, 34, 35, 36, 38, 39, 40) 35 (HUAP, MEXU).
*Rapistrum rugosum (L.) All. (42) 269 (HUAP).
Caryophyllaceae
Drymaria glandulosa Bartl. (11) 261 (HUAP, MEXU).
Drymaria molluginea (Ser.) Didr. (40) 150 (HUAP, MEXU).
Stellaria cuspidata Willd. ex Schltdl. (11, 34) 44 (HUAP, MEXU).
Convolvulaceae
Convolvulus equitans Benth. (10, 28, 29, 36, 39, 40, 44) 152 (HUAP, MEXU).
Ipomoea purpurea (L.) Roth (3, 4, 5, 6, 8, 9, 10, 11, 13, 14, 18, 21, 26, 28, 29, 30, 33, 34, 35, 37, 38, 39, 41) 4, 244 (HUAP, MEXU).
Ipomoea trifida (Kunth) G. Don (37) 251 (HUAP, MEXU).
Cucurbitaceae
ESicyos microphyllus Kunth (4, 5, 6, 7, 8, 9, 10, 11, 13, 14, 20, 26, 27, 28, 29, 30, 35, 37, 39, 41) 188 (HUAP, MEXU).
Euphorbiaceae
Acalypha mexicana Müll. Arg. (37, 38, 41) 197 (HUAP, MEXU).
Acalypha phleoides Cav. (38) 178 (HUAP, MEXU).
Euphorbia delicatula Boiss. (32, 39, 40) 155 (HUAP, MEXU).
Euphorbia dentata Michx. (19, 28, 30, 35, 37, 39, 41) 8 (MEXU).
Euphorbia heterophylla L. (34) 47 (HUAP, MEXU).
Euphorbia macropus Boiss. (38) 199 (HUAP, MEXU).
*Euphorbia peplus L. (5, 13, 26, 28, 29, 32) 75 (HUAP, MEXU).
Euphorbia prostrata Aiton (33) 61 (HUAP).
Euphorbia radians Benth. (8, 10) 171 (HUAP, MEXU).
Euphorbia serpens Kunth (33) 68 (HUAP).
Euphorbia serpyllifolia Pers. (25, 38, 39) 98 , 198 (HUAP, MEXU).
*Ricinus communis L. (4, 5, 6, 10, 11, 13, 14, 18, 19, 20, 25, 26, 28, 29, 30, 32, 33, 4, 35, 36, 37, 39, 40, 41, 44) 56 (HUAP, MEXU).
Fabaceae
Acaciella angustissima (Mill.) Britton & Rose (38) 202 (HUAP, MEXU).
Calliandra grandiflora (L'Hér.) Benth. (38) 201 (HUAP, MEXU).
Calliandra humilis (Schltdl.) Benth. (32, 38, 39) 177 (HUAP)
Cologania broussonetii (Balb.) DC. (8, 10, 11, 14, 25, 26, 27, 30, 31, 32, 38, 39, 40, 42, 44) 104 , 184 (HUAP, MEXU).
Crotalaria incana L. (3) 267 (HUAP, MEXU).
Crotalaria pumila Ortega (3, 6, 11, 14, 28, 30, 35, 37, 39, 41, 42, 44) 13 (HUAP, MEXU).
Crotalaria rotundifolia (Walter) Walter ex J.F. Gmel. (42) 124 (HUAP).
Dalea foliolosa (Aiton) Barneby (6, 20, 26, 27, 28, 30, 31, 35, 37, 38, 41) 93 , 233 (HUAP, MEXU).
Dalea leporina (Aiton) Bullock (3, 6, 8, 10, 11, 14, 28, 37, 39, 41) 11 (MEXU).
Dalea obovatifolia Ortega (3, 6, 17, 30, 35) 165 (HUAP, MEXU).
Dalea sericea Lag. (9, 26) 236 (HUAP, MEXU).
Desmodium grahamii A. Gray (6, 9, 14, 20, 21, 28, 30, 31, 37, 41) 232 (HUAP, MEXU).
EDesmodium subsessile Schltdl. (30, 37) 248 (HUAP, MEXU).
ELupinus campestris L. (10, 16, 25, 32, 39, 40, 42) 123 (HUAP, MEXU).
Macroptilium gibbosifolium (Ortega) A. Delgado (6, 39) 159 (HUAP, MEXU).
*Medicago lupulina L. (3, 9, 27, 28, 29, 32, 34, 39, 42) 102 (HUAP, MEXU).
*Medicago polymorpha L. (5, 6, 14, 26, 28, 30, 31, 33, 34, 37, 38, 39, 41) 66 (HUAP, MEXU).
*Medicago sativa L. (34, 36, 38, 39, 40, 44) 135 (HUAP, MEXU).
*Melilotus albus Desr. (37, 43) 151 (HUAP, MEXU).
*Melilotus indicus (L.) All. (3, 6, 9, 28, 29, 30, 35, 37, 41) 172 (HUAP, MEXU).
Mimosa aculeaticarpa Ortega (9, 18, 33, 38, 39) 186 (HUAP, MEXU).
Phaseolus coccineus L. (33) LCO 3713 (HUAP).
Senna multiglandulosa (Jacq.) H.S. Irwin & Barneby (34, 41) 225 (HUAP, MEXU).
Trifolium amabile Kunth (7, 20, 24, 25, 27, 29, 32, 34, 35, 38) 41 , 89 , 210 (HUAP, MEXU).
Vachellia farnesiana (L.) Wight & Arn. (42) 125 (HUAP, MEXU).
Zornia thymifolia Kunth (26, 28) 238 (HUAP, MEXU).
Geraniaceae
*Erodium cicutarium (L.) L'Hér. ex Aiton (33) 229 (HUAP, MEXU).
Geranium seemannii Peyr. (14, 25, 27, 31, 33, 39) 81 (HUAP, MEXU).
Lamiaceae
*Leonotis nepetifolia (L.) R. Br. (13) 211 (HUAP, MEXU).
*Marrubium vulgare L. (32, 39, 40) 60 (HUAP, MEXU).
Salvia hispanica L. (4, 5, 11) 263 (HUAP, MEXU).
Salvia polystachia Cav. (33) 190 (HUAP, MEXU).
Salvia tiliifolia Vahl (25, 32, 33, 39) 49 , 164 (HUAP, MEXU).
Stachys agraria Schltdl. & Cham (13, 32) 163 (HUAP, MEXU).
Lythraceae
Cuphea carthagenensis (Jacq.) J.F. Macbr. (3, 6, 8, 9, 11, 14, 27, 28, 29, 30, 34, 35, 37, 40, 41) 219 (HUAP, MEXU).
Cuphea tolucana Peyr. (37) 252 (HUAP, MEXU).
Malvaceae
Anoda cristata (L.) Schltdl. (4, 5, 6, 8, 9, 10, 11, 13, 14, 18, 20, 25, 26, 27, 28, 29, 30, 32, 33, 34, 35, 37, 38, 39, 41) 10 (HUAP, MEXU).
Fuertesimalva jacens (S. Watson) Fryxell (6, 11, 29, 33, 37) 72 (HUAP, MEXU).
Kearnemalvastrum lacteum (Aiton) D.M. Bates (10, 28, 33, 38, 39) 71 , 154 (HUAP, MEXU).
*Malva parviflora L. (9, 11, 20, 29, 30, 36, 37, 38, 39, 40) 52 (HUAP, MEXU).
*Modiola caroliniana (L.). G. Don (26, 29, 32) 85 (HUAP, MEXU).
Sida haenkeana C. Presl (33, 13, 14, 27, 29, 32, 33, 39, 44) 116 (HUAP, MEXU).
Martyniaceae
Proboscidea louisiana (Mill.) Thell. (38) 234 (HUAP, MEXU).
Nyctaginaceae
Mirabilis jalapa L. (4, 5, 10, 11, 13, 14, 25, 26, 27, 29, 32, 33, 34, 36, 38, 39) 32 (HUAP, MEXU).
Mirabilis viscosa Cav. (39) 187 (HUAP, MEXU).
Onagraceae
Lopezia racemosa Cav. (3, 4, 5, 6, 9, 28, 30, 33, 35, 37, 39, 41) 1 (HUAP, MEXU).
Ludwigia octovalvis (Jacq.) P.H. Raven (31) 253 (HUAP, MEXU).
EOenothera biennis L. (14, 21, 26, 29, 30) 131 (HUAP, MEXU).
Oenothera hexandra (Ortega) W.L. Wagner & Hoch (8, 10, 27, 28, 32, 39, 40) 30 (HUAP, MEXU).
Oenothera pubescens Willd. ex Spreng. (8, 11, 26, 32, 33, 36, 38, 39, 42, 44) 122 (HUAP, MEXU).
Oenothera rosea L'Hér. ex Aiton (6, 9, 10, 21, 25, 29, 33, 36, 39, 40, 44) 62 (HUAP, MEXU).
Oxalidaceae
Oxalis corniculata L. (4, 5, 6, 9, 10, 11, 13, 14, 18, 19, 26, 27, 28, 29, 32, 34, 36, 37, 38, 39, 40, 41, 44) 31 (HUAP, MEXU).
Oxalis latifolia Kunth (9, 20, 27, 29, 39) 185 , 205 (HUAP)
*Oxalis pes-caprae L. (5, 33, 38) 215 (HUAP, MEXU).
Papaveraceae
Argemone ochroleuca Sweet (8, 10, 14, 18, 20, 24, 25, 26, 27, 28, 29, 30, 32, 33, 34, 35, 38, 39, 40) 78 , 162 (HUAP, MEXU).
Argemone platyceras Link & Otto (13, 20, 34, 35, 37) 115 (HUAP, MEXU).
*Fumaria parviflora Lam. (5, 6) 143 (HUAP, MEXU).
Phytolaccaceae
Phytolacca icosandra L. (13, 14, 15, 21, 25, 26, 29, 37, 39, 42, 44) 14 (HUAP, MEXU).
Plantaginaceae
*Cymbalaria muralis G. Gaertn., B. Mey. & Scherb. (9, 32, 33, 39) 79 (HUAP, MEXU).
*Plantago lanceolata L. (41, 42) 127 (HUAP, MEXU).
*Plantago major L. (9, 29, 33) 73 (HUAP, MEXU).
Veronica peregrina L. (9) 173 (HUAP, MEXU).
Veronica persica Poir. (32) 84 (HUAP, MEXU).
Polygalaceae
EPolygala scoparia Kunth (10, 17) 168 (HUAP, MEXU).
Polygonaceae
*Persicaria capitata (Buch.-Ham. ex D. Don) H. Gross (33) 48 (HUAP, MEXU).
*Persicaria lapathifolia (L.) Gray (5, 9, 28, 29, 35, 38, 39, 42) 109 (HUAP, MEXU).
*Polygonum aviculare L. (4, 5, 9, 10, 25, 29, 32, 34, 39) 16 (HUAP, MEXU).
*Rumex crispus L. (5, 11, 39) 58 (HUAP, MEXU).
Rumex mexicanus Meisn. (33) 67 (HUAP, MEXU).
*Rumex obtusifolius L. (9, 18, 29) 136 (HUAP, MEXU).
Portulacaceae
Portulaca oleracea L. (4, 5, 6, 11, 13, 17, 26, 27, 35, 38) 97 (HUAP, MEXU).
Primulaceae
*Lysimachia arvensis (L.) U. Manns & Anderb. (6. 9, 28, 30, 34, 39, 44) 45 (HUAP, MEXU).
Resedaceae
*Reseda luteola L. (5, 6, 8, 10, 14, 15, 20, 25, 26, 27, 28, 29, 30, 32, 33, 34, 35, 36, 37, 38, 39, 40, 41, 43, 44) 33 (HUAP, MEXU).
Rosaceae
Crataegus mexicana DC. (9, 32, 33, 39, 41) 153 (HUAP, MEXU).
Prunus serotina Ehrh. (8, 9, 10, 25, 27, 30, 31, 32, 33, 34, 35, 38, 39, 40, 44) 132 (HUAP, MEXU).
Rubiaceae
Bouvardia ternifolia (Cav.) Schltdl. (27, 29, 34, 35, 39, 40) 149 (HUAP, MEXU).
Crusea diversifolia (Kunth) W.R. Anderson (26, 28, 30) 239 (HUAP, MEXU).
Rutaceae
Casimiroa edulis La Llave (33, 40) 145 (HUAP, MEXU).
Salicaceae
Salix bonplandiana (9, 14, 25, 31, 32, 33, 34, 37, 38, 39, 44) 17 (HUAP, MEXU).
Scrophulariaceae
Buddleja cordata Kunth (25, 33, 49, 40) 144 (HUAP, MEXU).
Buddleja sessiliflora Kunth (33) 82 (HUAP, MEXU).
Solanaceae
Cestrum roseum Kunth (39) 191 (HUAP, MEXU).
Datura stramonium L. (4, 5, 14, 26, 28, 29, 32, 34, 35, 38, 39) 34 (HUAP, MEXU).
*Jaltomata procumbens (Cav.) J.L. Gentry (28, 33, 38, 39) 53 (HUAP, MEXU).
*Nicotiana glauca Graham (4, 5, 6, 9, 10, 16,19, 26, 28, 29, 30, 32, 33, 34, 35, 36, 37, 39, 40, 44) 63 (HUAP, MEXU).
*Nicotiana tabacum L. (25) 271 (HUAP).
Physalis philadelphica Lam. (6, 10, 11, 21, 34, 41) 39 (MEXU).
Solanum erianthum D. Don (27) 24 (HUAP, MEXU).
Solanum heterodoxum Dunal (4, 11, 38) 216 (HUAP, MEXU).
Solanum lanceolatum Cav. (41) 258 (HUAP, MEXU).
Solanum nigrescens M. Martens & Galeotti (20, 32, 34, 36, 41) 37 (HUAP, MEXU).
Solanum pubigerum Dunal (39) 193 (HUAP, MEXU).
Solanum rostratum Dunal (4, 5, 6, 10, 11, 14, 18, 19, 20, 25, 26, 27, 28, 29, 30, 32, 34, 35, 37, 38, 41) 119 (HUAP, MEXU).
Urticaceae
Parietaria pensylvanica Muhl. ex Willd. (13) 114 (HUAP, MEXU).
Verbenaceae
Glandularia bipinnatifida (Nutt.) Nutt. (6, 10, 15, 24, 26, 28, 30, 32, 38) 88 (HUAP, MEXU).
Verbena carolina L. (5, 11, 27, 29, 33, 34, 39) 138 (HUAP, MEXU).
Violaceae
Pombalia verbenacea (38) 203 (HUAP).
Notas
Notas de autor
4Autor para la correspondencia: vrios@ib.unam.mx