Artículos de investigación
Diversidad de musgos del bosque nublado de la Sierra Juárez, Oaxaca, México
Moss diversity of the cloud forest of the Sierra Juárez, Oaxaca, Mexico
Diversidad de musgos del bosque nublado de la Sierra Juárez, Oaxaca, México
Acta botánica mexicana, núm. 127, e1616, 2020
Instituto de Ecología A.C., Centro Regional del Bajío
Recepción: 21 Agosto 2019
Recibido del documento revisado: 14 Noviembre 2019
Aprobación: 10 Diciembre 2019
Publicación: 24 Febrero 2019
Financiamiento
Fuente: SEP
Nº de contrato: 20110001312689
Nº de contrato: 46508
Financiamiento
Fuente: AMC
Nº de contrato: dd892704e598bdff6543e00d6c15524
Descripción del financiamiento: Secretaría de Educación Pública: 20110001312689 y 46508. Academia Mexicana de Ciencias: dd892704e598bdff6543e00d6c15524.
Resumen
Antecedentes y Objetivos: El bosque nublado de la Sierra Juárez, Oaxaca, presenta el mayor nivel de conservación y es el más grande en términos de extensión en México. Los musgos son un componente clave de la flora del bosque nublado y desempeñan funciones ecológicas importantes. Sin embargo, la composición y diversidad de musgos de esta región continúan siendo desconocidas. Los objetivos de este trabajo fueron determinar la composición florística y estimar la diversidad α y β de musgos del bosque nublado de la Sierra Juárez.
Métodos: La composición florística de musgos del bosque nublado, ubicado dentro del municipio Santiago Comaltepec, Oaxaca, fue evaluada a través de ocho sitios de muestreo. Además, se estimó la diversidad α y β de este grupo florístico. Los análisis fueron realizados para todas las especies, así como para los gremios de especies terrestres y epífitas.
Resultados clave: Se registraron 102 especies de musgos, agrupadas en 64 géneros y 32 familias. De dichas especies, 13 son nuevos registros para el estado. Las familias más diversas fueron Leucobryaceae y Orthotrichaceae. Los géneros con el mayor número de especies fueron Syrrhopodon, Campylopus, Fissidens, Macromitrium y Pogonatum. En este estudio se reporta una alta diversidad α y β de musgos con un patrón similar entre los musgos de los gremios terrestre y epífito.
Conclusiones: El bosque nublado de la Sierra Juárez, Oaxaca, es un ecosistema con una alta diversidad de musgos y gran posibilidad de incrementar los registros para el estado. Con base en los análisis de diversidad estimada, se hace evidente la necesidad de continuar estudios básicos a nivel microambiente sobre uno de sus componentes más característicos.
Palabras clave: briofitas+ bosque húmedo+ bosque mesófilo+ diversidad α+ diversidad β.
Abstract
Background and Aims: The cloud forest of the Sierra Juárez, Oaxaca, presents the highest level of conservation and is the largest in terms of extension in Mexico. Mosses are a key component of cloud forest flora, playing important ecological functions. However, the composition and moss diversity in this region remains unknown. Hence, our goals were to determine the floristic composition and estimate the α and β diversity of mosses in the cloud forest of the Sierra Juárez.
Methods: The floristic composition of mosses in the cloud forest located within the municipality of Santiago Comaltepec, Oaxaca, was evaluated through eight sampling sites. In this forest, the diversity α and β of this floristic group were also estimated. The analyses were performed for all the species, as well as for the guilds of the terrestrial and epiphytic species.
Key results: In this study, we registered 102 species of mosses, grouped into 64 genera and 32 families. Of those species, 13 are new records for the state. The most diverse families were Leucobryaceae and Orthotrichaceae. The genera with the highest number of species were Syrrhopodon, Campylopus, Fissidens, Macromitrium and Pogonatum. This study reports a high α and β diversity of mosses with a similar pattern between the terrestrial and epiphytic species.
Conclusions: The cloud forest of the Sierra Juárez, Oaxaca, is an ecosystem with a high moss diversity and a great possibility of increasing the records for the state. Based on the analyses of estimated diversity, the need becomes evident to continue fundamental studies at the microenvironmental level on one of its most characteristic components.
Keywords: bryophytes, humid forest, mesophyll forest, α diversity, β diversity.
Introducción
Los bosques nublados, boques mesófilos de montaña (Rzedowski, 1978) o bosques húmedos de montaña (Villaseñor, 2010) son repositorios de una alta diversidad de flora y fauna (González-Espinosa et al., 2011, 2012; Gual-Díaz y Rendón-Correa, 2014). En México, estos ecosistemas representan de 0.5 a 1% del territorio del país, siendo uno de los más amenazados (Toledo, 2009; CONABIO, 2010; Gual-Díaz y Rendón-Correa, 2014) y más vulnerables al cambio climático (Ponce-Reyes et al., 2012). En particular, el bosque nublado ubicado en la Sierra Juárez, Oaxaca, se considera el de mayor nivel de conservación y extensión en el país (Rzedowski, 1996; CONABIO, 2010; Ponce-Reyes et al., 2012). Este bosque representa un centro de diversidad de plantas vasculares junto con las regiones Uxpanapa-Chimalapa y Tehuacán-Cuicatlán (Dávila et al., 1997; Rzedowski y Palacios-Chávez, 1977), por lo que alberga una alta diversidad florística (Rzedowski, 1996; Acosta, 2004). Sin embargo, sigue siendo un ecosistema en el que todavía es necesario realizar estudios básicos sobre su flora no vascular, como es el caso de los musgos (Hamilton et al., 1995; Córdova y del Castillo, 2001).
Los musgos (Bryophyta, sensu stricto) son considerados el segundo grupo de plantas más numeroso después de las angiospermas (Buck y Goffinet, 2000). Crecen sobre diferentes sustratos y abundan en bosques nublados; desempeñan un rol importante en los ciclos del carbono y del nitrógeno (Gradstein et al., 2001b), así como en el ciclo del agua al almacenarla y liberarla paulatinamente, contribuyendo a mantener la humedad (Ah-Peng et al., 2017).
Se estima que de las casi 13,000 especies de musgos conocidas a nivel mundial, en México se presentan cerca de 8%, de las cuales Oaxaca posee 459, siendo el segundo estado con mayor riqueza (Goffinet et al., 2009; Delgadillo, 2014).
La diversidad de musgos en los bosques nublados del país ha sido documentada por varios trabajos desde hace casi 80 años (Sharp, 1939, 1944, 1946; Hernández et al., 1951; Thornburgh y Sharp, 1975; Delgadillo, 1979; Juárez, 1983; Herrera-Paniagua et al., 2017). El trabajo más reciente de Delgadillo et al. (2017) resalta la importancia de este tipo de ecosistema para la diversidad de estas plantas por la alta riqueza de musgos que puede albergar. En el caso del bosque nublado de la Sierra Juárez, Oaxaca, aunque se ha documentado gran parte de su diversidad florística vascular (Torres-Colín et al., 2009), no hay información sobre la diversidad de briofitas en general y de musgos en particular.
Este ecosistema es uno de los más amenazados en México, por lo que es importante realizar estudios sobre uno de sus componentes más característicos. De esta manera, los objetivos de este trabajo fueron i) determinar la composición florística de musgos del bosque nublado de la Sierra Juárez, Oaxaca y ii) estimar su riqueza y recambio de especies (diversidad α y β).
Materiales y Métodos
Área de estudio
Este estudio se desarrolló en el bosque nublado en la Región IX - Subregión Ixtlán (CONABIO, 2010) en el municipio Santiago Comaltepec, Oaxaca, México (17°35'N y 96°25'O). La altitud en la zona oscila entre 1000 y 2300 m s.n.m. (Rzedowski, 1978) (Fig. 1). El suelo es permeable, arcilloso o arenoso, poco o medianamente profundo, con materia orgánica y se desarrolla sobre rocas ígneas intrusivas o metamórficas (Ishiki, 1988). El rango de temperatura media anual está entre 16 y 20 °C, con una precipitación media anual entre 2000 y 4500 mm (Trejo, 2004). Además de estas características ambientales, el área posee elementos florísticos representativos del bosque nublado como especies caducifolias y perennifolias, gran cantidad de epífitas junto con palmas del género Chamaedorea Willd., helechos arborescentes, arbustos de la familia Ericaceae, enredaderas, así como herbáceas de zonas húmedas. El estrato dominante tiene una altura entre 30 y 60 m (Rzedowski, 1978). La especie arbórea dominante es Oreomunnea mexicana (Standl.) J.-F. Leroy (Pacheco-Cruz et al., 2018), asociada con Ulmus mexicana (Liebm.) Planch., Quercus candicans Née, Magnolia schiedeana Schltdl., Persea americana Mill., Billia hippocastanum Peyr. y Podocarpus matudae Lundell (Rzedowski, 1978; Torres-Colín, 2004).

Recolección de datos
Para la colecta de musgos se establecieron ocho transectos de 100 m (dos por cada 350 m s.n.m.), tomando como referencia la carretera 175 Oaxaca - Tuxtepec y los 1300 m del intervalo altitudinal en el que está presente el bosque (Fig. 1). Para evitar un efecto de borde, los transectos se dispusieron de forma perpendicular con respecto a la carretera y a una distancia mínima de 150 m. En cada transecto se realizó una búsqueda intensiva de musgos sobre sustratos como rocas, madera en descomposición, árboles y arbustos. Los musgos epífitos solo se colectaron hasta una altura máxima de 3 m.
En la determinación de los ejemplares se utilizaron las claves taxonómicas de Allen (1994, 2002, 2010), Buck (1998), Gradstein et al. (2001b) y Sharp et al. (1994).
La nomenclatura utilizada para las especies corresponde a LATMOSS (Delgadillo, 2010) y para las familias a la clasificación propuesta por Goffinet y Buck (2008). Los ejemplares fueron depositados en el Herbario Nacional de México (MEXU) y en el Herbario de la Universidad de la Sierra Juárez (HUNSIJ).
Análisis de datos
Para el análisis de datos los musgos se clasificaron en dos gremios: 1) terrestres, incluyen especies colectadas sobre suelo, rocas y humus y 2) epífitos, incluyen aquellas colectadas sobre árboles, arbustos, lianas y madera en descomposición. Los análisis se realizaron para la totalidad de las especies y para cada gremio.
La completitud del inventario y la riqueza de especies (diversidad α) se evaluó mediante el estimador Chao 2, ya que es el menos sesgado para muestras pequeñas (Colwell y Coddington, 1994). Posteriormente se calculó el porcentaje de registro dividiendo el número de especies observadas entre las estimadas multiplicado por cien. Se realizaron curvas de rarefacción/extrapolación (R/E) con intervalos de 95% utilizando el método de Chao et al. (2014), mediante el número de Hill de orden cero (q=0), para comparar la diversidad α observada y estimada (Hsieh et al., 2016). Los números de Hill representan una alternativa estadísticamente rigurosa con respecto a otros índices de diversidad (Chao et al., 2014).
Para evaluar la diversidad β se utilizó el método propuesto por Carvalho et al. (2012), que relaciona el reemplazo de especies (βrepl) y las diferencia en riqueza (βrich) para explicar el recambio total (βTotal).
Los análisis se realizaron en el programa R 3.5.0 (R Core Team, 2018), utilizando los paquetes iNEXT 2.0.14 (Hsieh et al., 2016) para el estimador Chao 2 y las curvas de R/E, y el paquete BAT (Cardoso et al., 2017) para el cálculo de la diversidad β.
Resultados
En el bosque nublado se colectaron 455 muestras pertenecientes a 32 familias, 64 géneros y 102 especies de musgos.
De las especies identificadas, 13 son nuevos registros para el estado: Acroporium estrellae (Müll. Hal.) W.R. Buck & Schäf. -Verw., Atractylocarpus longisetus (Hook.) E.B. Bartram, Daltonia longifolia Taylor, Diphyscium chiapense D.H. Norris, Holomitrium pulchellum Mitt., Leucoloma subimmarginatum (Müll. Hal.) A. Jaeger, Orthostichella versicolor (Müll. Hal.) B.H. Allen & W.R. Buck, Pilosium chlorophyllum (Hornsch.) Müll. Hal. ex Broth., Pilotrichella mauiensis (Sull.) A. Jaeger, Porotrichum tenuinerve B.H. Allen, Rhynchostegium serrulatum (Hedw.) A. Jaeger, Syrrhopodon lycopodioides (Sw. ex Brid.) Müll. Hal. y Taxiphyllum ligulifolium (E.B. Bartram) W.R. Buck.
Las familias con mayor número de especies son Leucobryaceae (9), Orthotrichaceae (8), Calymperaceae, Dicranaceae, Neckeraceae, Pilotrichaceae (7), Polytrichaceae, Sematophyllaceae (6) y Daltoniaceae (5). Las 23 familias restantes estuvieron representadas por una a cuatro especies. Aquellas con el mayor número de géneros son Neckeraceae, Pilotrichaceae (6), Leucobryaceae y Orthotrichaceae (4), el resto incluyen de uno a tres. De éstos, los que presentan mayor riqueza son Syrrhopodon Schwägr. (5), Campylopus Brid., Fissidens Hedw., Macromitrium Brid. y Pogonatum P. Beauv. (4) (Apéndice).
De las 102 especies, 32 son tanto terrestres como epífitas, 22 exclusivamente terrestres y las 48 restantes exclusivamente epífitas. De esta manera, por las especies compartidas entre gremios, 54 especies fueron registradas como terrestres y 80 como epífitas (Fig. 2).

Las familias con mayor número de especies terrestres son Leucobryaceae (8), Pilotrichaceae, Polytrichaceae (6) y Dicranaceae (4). En el caso de los musgos epífitos, son Orthotrichaceae (8), Calymperaceae, Leucobryaceae, Neckeraceae (7), Sematophyllaceae (6), Daltoniaceae, Dicranaceae y Pilotrichaceae (5).
Los géneros de musgos terrestres con más riqueza son Pogonatum (4), Campylopus y Fissidens (3). Para los epífitos, son Syrrhopodon (5), Campylopus, Macromitrium (4), Leucoloma Brid. y Sematophyllum Mitt. (3). Para ambos gremios, los restantes tienen de una a dos especies.
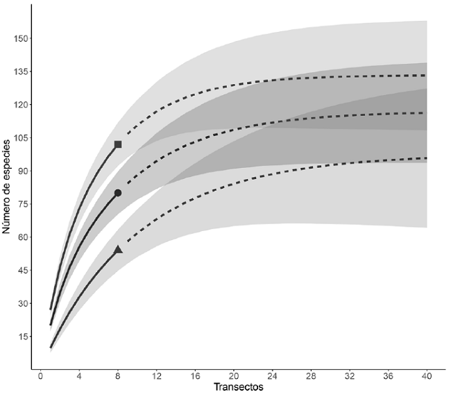
Con base en el análisis Chao 2 se estimó que en el bosque nublado de la Sierra Juárez puede haber hasta 134 especies de musgos, por lo que la completitud del muestreo fue de 76%. Por otra parte, si se analiza de forma independiente la diversidad por gremios, la riqueza de los terrestres es de alrededor de 98 especies, mientras que la de los epífitos de aproximadamente 116 especies. En general, se registró más de 50% de las especies estimadas por el análisis en cada caso (Cuadro 1, Fig. 2). La sobreposición de los intervalos de confianza de las curvas R/E indica que no existen diferencias significativas entre la totalidad de especies de musgos, las encontradas en el suelo del bosque y las epífitas cuando se aumenta el número de transectos (40) (Fig. 2).

Con respecto a la diversidad β, se obtuvo un promedio alto de βTotal (88%), del cual 61% de la variación está explicada por el reemplazo de especies (βrepl) y 27% por diferencias en riqueza (βrich) (Fig. 3).

Discusión
El estado de Oaxaca alberga cerca de 47% de la diversidad de musgos de México, la cual es de alrededor de 459 especies (Delgadillo y Cárdenas, 2011). En el bosque nublado de la Sierra Juárez, el número de especies de musgos registradas fue de 102, es decir, cerca de 22% de la riqueza del estado y aproximadamente 10% de la del país.
El análisis de diversidad α indica que se pueden encontrar 134 especies en este bosque, hasta 98 terrestres y 116 epífitas (Fig. 2). Estos resultados concuerdan con lo descrito por Gradstein et al. (2001a), en que el número de briofitas epífitas es mayor que el de las encontradas en otros microhábitats. Esta alta riqueza también es apoyada por el análisis de diversidad β, donde los altos valores de recambio están explicados en mayor medida por el reemplazo (βremp) que por diferencias en el número de especies entre sitios (βriq). Esto sugiere que la composición de la comunidad en general, y la de las terrestres y epífitas en particular, está representada por una riqueza (diversidad α) notablemente cambiante (diversidad β) entre sitios, dentro de la misma área. Adicionalmente, estos resultados señalan un patrón similar en la variación de la diversidad en el estrato inferior del bosque y en parte del estrato arbóreo (3 m) (Fig. 3). Esta variabilidad puede ser favorecida por una amplia diversidad de microhábitats (Richards, 1984), variaciones ambientales a escala local (p. ej. temperatura, luz) y regional (p. ej. gradientes altitudinales), así como a condiciones constantes de humedad (Gradstein et al., 2001b; Fahey et al., 2016) que proveen este tipo de bosque y que son aprovechadas por estas plantas (Frahm y Gradstein, 1991).
La exploración de la diversidad de musgos en bosques nublados ha enriquecido los listados briológicos en otras partes del país. Herrera-Paniagua y Martínez (2014) reportaron 24 nuevos registros para la flora de Querétaro y San Luis Potosí. En el caso de Oaxaca, el trabajo desarrollado en Sierra Juárez incrementó su flora de musgos a 472 especies. Además, esto ha permitido ampliar el rango de distribución de aquellas con alta especificidad de hábitat como son Syrrhopodon lycopodioides, Holomitrium pulchellum y Diphyscium chiapense que solo se habían reportado para Veracruz y Chiapas, respectivamente, lo que sugiere un buen estado de conservación del área (Sharp et al., 1994; Longton y Hedderson, 2000; Brunialti et al., 2010). Por otra parte, dada la amplia heterogeneidad geográfica en la región, es probable que el número de especies continúe aumentando con la realización de futuros estudios, incluyendo áreas más alejadas de la población y en otras latitudes, con la exploración a nivel del suelo y de partes más altas de los árboles, como el dosel. En el último caso, esto permitiría incluir musgos que se distribuyen en este nivel (Sporn et al., 2010) que, por diferentes microambientes a lo largo de los árboles hospederos, son distintos a las encontrados en estratos más bajos (Boch et al., 2013; Gil-Novoa y Morales-Puentes, 2014). Por lo anterior y por la extensión de este bosque, es probable que su riqueza sea superior a la estimada en este estudio. En comparación con estos datos, Delgadillo et al. (2017) estiman que en el caso de Veracruz pueden existir hasta 590 especies de musgos, es decir, 83% más de lo que se ha registrado para el de la Sierra Juárez.
Con respecto a la composición florística, se presentan familias, géneros y especies que se han reportado en otros bosques nublados. En este trabajo, las familias con el mayor número de especies (Dicranaceae, Leucobryaceae, Orthotrichaceae y Neckeraceae), así como algunas de las menos diversas (Prionodotaceae y Phyllogoniaceae), también están distribuidas en otros bosques nublados de país de acuerdo con lo reportado por Delgadillo (1979), Delgadillo et al. (2017) y Herrera-Paniagua et al. (2017). Una situación similar se tiene con los géneros registrados, siendo Campylopus, Fissidens y Macromitrium, algunos de los más frecuentes en estos bosques (Delgadillo com. pers. en Rzedowski (1978); Delgadillo et al., 2017).
Es importante destacar que existen familias y géneros representativos para los gremios de musgos terrestres (Leucobryaceae; Pogonatum) y epífitos (Orthotrichaceae y Calymperaceae; Macromitrium y Syrrhopodon). En ambos casos, su representatividad se puede explicar porque constituyen grupos en los que se encuentra el mayor número de especies en el neotrópico (Gradstein et al., 2001b).
Tomando como referencia los trabajos más recientes de musgos en bosques nublados de México (Delgadillo et al., 2017; Herrera-Paniagua et al., 2017), el de la Sierra Juárez comparte 74% de su flora (75 especies) con los de Veracruz, Querétaro y San Luis Potosí, mientras que el 26% restante no ha sido reportado. Esto por un lado refleja la afinidad de estas plantas a las condiciones de este ecosistema y, por el otro, confirma la necesidad de continuar con su exploración (Delgadillo et al., 2017). De esta manera, este estudio sugiere que la diversidad de musgos es compatible con la de otros grupos florísticos en esta vegetación, por lo que la Sierra Juárez sigue siendo una zona que alberga una amplia diversidad biótica (CONABIO, 2010).
Finalmente, este trabajo proporciona un listado de las especies de musgos, así como parámetros de su riqueza y recambio, que explican su alta diversidad en el bosque nublado de la Sierra Juárez. Aunque se han realizado trabajos que han permitido conocer gran parte de la flora de musgos de estos bosques en México, es necesario realizar trabajos ecológicos para comprender, cuantificar y conservar esta diversidad (Legendre et al., 2005). Es así como se espera que el presente estudio sirva como referencia para futuras investigaciones en la zona y para otros bosques nublados del país.
Contribución de autores
EHR realizó las determinaciones taxonómicas y, con la asistencia de VAH, los análisis estadísticos. Ambos autores contribuyeron en la interpretación de datos, discusión, revisión y aprobación del manuscrito final.
Financiamiento
Este estudio fue apoyado por la Secretaria de Educación Pública (Programa Nacional de Becas para la Educación Superior, Fol. 20110001312689 y Beca Titulación, Fol. 46508) y la Academia Mexicana de Ciencias (XXII Verano de la Investigación Científica, ID edd892704e598bdff6543e00d6c15524) mediante el otorgamiento de becas al primer autor.
Agradecimientos
Los autores agradecen a la Colección de Briofitas del Herbario Nacional (MEXU), al Instituto de Biología, Universidad Nacional Autónoma de México y al Laboratorio de Ecología y Biodiversidad, Universidad de la Sierra Juárez por el uso de instalaciones para la realización de este estudio. A Claudio Delgadillo Moya por su apoyo en la determinación de ejemplares, así como por sus comentarios en el escrito original. A Gabriel González Adame, José Arturo Casasola González, Itandehui Hernández Santos y Violeta Saraí Jiménez Hernández por su ayuda en el trabajo de campo. A las autoridades de la comunidad de la Esperanza, Santiago Comaltepec, por permitir desarrollar el trabajo de campo en sus áreas naturales. Finalmente, agradecemos a un revisor anónimo por sus valiosos comentarios y sugerencias sobre el escrito.
Literatura citada
Acosta, S. 2004. Afinidades de la flora genérica de algunos bosques mesófilos de montaña del nordeste, centro y sur de México: un enfoque fenético. Anales del Instituto de Biología serie Botánica 75: 61-72.
Ah-Peng, C., A. W. Cardoso, O. Flores, A. West, N. Wilding, D. Strasberg y T. A. J. Hedderson. 2017. The role of epiphytic bryophytes in interception, storage, and the regulated release of atmospheric moisture in a tropical montane cloud forest. Journal of Hydrology 548: 665-673. DOI: https://doi.org/10.1016/j.jhydrol.2017.03.043.
Allen, B. H., 1994. Moss flora of Central America. Part 1. Sphagnaceae-Calymperaceae. Missouri Botanical Garden Press. Missouri, USA. 242 pp.
Allen, B. H., 2002. Moss flora of Central America. Part 2. Encalyptaceae-Orthotrichaceae. Missouri Botanical Garden Press. Missouri, USA. 699 pp.
Allen, B. H. 2010. Moss Flora of Central America, Part 3. Anomodontaceae-Symphyodontaceae. Missouri Botanical Garden Press. Missouri, USA. 731 pp.
Boch, S., J. Müller, D. Prati, S. Blaser y M. Fischer. 2013. Up in the tree - The overlooked richness of bryophytes and lichens in tree crowns. PLoS ONE 8(12): e84913 (1-8). DOI: https://doi.org/10.1371/journal.pone.0084913.
Buck, W. R. 1998. Pleurocarpous Mosses of the West Indies. New York Botanical Garden Press. New York, USA. 400 pp.
Buck, W. R. y B. Goffinet. 2000. Morphology and classification of Mosses. In: Goffinet, B. y A. J. Shaw (eds.). Bryophyte Biology. Cambridge University Press. Cambridge, UK. Pp. 71-123.
Brunialti, G., L. Frati, M. Aleffi, M. Marignani, L. Rosati, S. Burrascano, S. Ravera. 2010. Lichens and bryophytes as indicators of old‐growth features in Mediterranean forests. Plant Biosystems 144(1): 221-233. DOI: https://doi.org/10.1080/11263500903560959.
Cardoso, P., F. Rigal y J. C. Carvalho. 2017. BAT: Biodiversity Assessment Tools. University of Helsinki. https://cran.r-project.org/package=BAT (consultado octubre de 2017).
Carvalho, J. C., P. Cardoso y P. Gomes. 2012. Determining the relative roles of species replacement and species richness differences in generating beta-diversity patterns. Global Ecology and Biogeography 21(7): 760-771. DOI: https://doi.org/10.1111/j.1466-8238.2011.00694.x.
Chao, A., N. J. Gotelli, T. C. Hsieh, E. L. Sander, K. H. Ma, R. K. Colwell y A. M. Ellison. 2014. Rarefaction and extrapolation with Hill numbers: A framework for sampling and estimation in species diversity studies. Ecological Monographs 84(1): 45-67. DOI: https://doi.org/10.1890/13-0133.1.
Colwell, R. K., y Coddington, A. J. 1994. Estimating terrestrial biodiversity through extrapolation. Philosophical Transactions of the Royal Society of London. Series B: Biological Sciences 345(1311): 101-118. DOI: https://doi.org/10.1098/rstb.1994.0091.
CONABIO. 2010. El Bosque Mesófilo de Montaña en México: Amenazas y Oportunidades para su Conservación y Manejo Sostenible. Comisión Nacional para el Conocimiento y Uso de la Biodiversidad. México, D.F., México. 197 pp.
Córdova, J. y R. del Castillo. 2001. Changes in epiphyte cover in three chronosequences in a Tropical Montane Cloud Forest in Mexico. In: Gottsberger, G. y S. Liede (eds.). Life Forms and Dynamics in Tropical Forests. J. Cramer in der Gebrüder Borntraeger Verlagsbuchhandlung. Stuttgart, Germany. Pp. 79-94.
Dávila, P., L. Torres, R. Torres-Colín y O. Herrera-McBryde. 1997. Sierra Juárez, Oaxaca, México. In: Davis, S., D. Heywood, V. H. Herrera-MacBryde, O. Villa-Lobos y A. C Hamilton (eds.). Centres of Plant Diversity: A guide and strategy for their conservation: The Americas. v. 3. The World Wide Fund For Nature, International Union for Conservation of Nature y The World Conservation Union. Cambridge, UK. Pp. 135-138.
Delgadillo, C. M. 1979. Mosses and Phytogeography of the Liquidambar Forest of Mexico. The Bryologist 82: 432-449. DOI: https://doi.org/https://doi.org/10.2307/3242218.
Delgadillo, C. M. 2010. LATMOSS 2010. http://www.ibiologia.unam.mx/briologia/www/index/Bases.html (consultado septiembre de 2018).
Delgadillo, C. M. 2014. Biodiversidad de Bryophyta (musgos) en México. Revista Mexicana de Biodiversidad 85: 100-105. DOI: https://doi.org/10.7550/rmb.30953.
Delgadillo, C. M. y A. Cárdenas. 2011. Bryophyta (Musci). In: García-Mendoza, A. J. y J. A. Meave (eds.). Diversidad florística de Oaxaca: de musgos a angiospermas. Instituto de Biología, Universidad Nacional Autónoma de México, Comisión Nacional para el Conocimiento y Uso de la Biodiversidad, México, D.F., México. Pp. 65-66; 137-148.
Delgadillo, C. M. , J. L. Villaseñor, E. Ortiz y Á. Campos-Villanueva. 2017. Floristic richness of the cloud forest moss flora of Veracruz, Mexico. Nova Hedwigia 105(1): 43-63. DOI: https://doi.org/10.1127/nova_hedwigia/2017/0399.
Fahey, T. J., R. E. Sherman y E. V. J. Tanner. 2016. Tropical montane cloud forest: environmental drivers of vegetation structure and ecosystem function. Journal of Tropical Ecology 32(5): 355-367. DOI: https://doi.org/10.1017/S0266467415000176.
Frahm, J.-P. y S. R. Gradstein. 1991. An altitudinal zonation of tropical rain forests using byrophytes. Journal of Biogeography 18(6): 669-678. DOI: https://doi.org/10.2307/2845548.
Gil-Novoa, J. E. y M. E. Morales-Puentes. 2014. Vertical stratification of epiphytic bryophytes found on Quercus humboldtii (Fagaceae) from Boyacá, Colombia. Revista de Biología Tropical 62(2): 719-727. DOI: https://doi.org/https://doi.org/10.15517/rbt.v62i2.8482.
Goffinet, B. y W. R. Buck. 2008. Classification of the Bryophyta. http://bryology.uconn.edu/classification/ (consultado septiembre de 2018).
Goffinet, B. , W. R. Buck y A. J. Shaw. 2009. Morphology, anatomy, and classification of the Bryophyta. In: Goffinet, B. y A. J. Shaw (eds.). Bryophyte biology. Cambridge University Press. Cambridge, UK. Pp. 55-138.
González-Espinosa, M., J. A. Meave, F. G. Lorea-Hernández, G. Ibarra-Manríquez y A. C. Newton. 2011. The Red List of Mexican Cloud Forest Trees. Fauna and Flora International, Botanic Gardens Conservation International, The Global Trees Campaign y The International Union for Conservation of Nature/Species Survival Commission Global Tree Specialist Group. Cambridge, UK. 149 pp.
González-Espinosa, M. , J. A. Meave, N. Ramírez-Marcial, T. Toledo-Aceves, F. G. Lorea-Hernández y G. Ibarra-Manríquez. 2012. Los bosques de niebla de México: conservación y restauración de su componente arbóreo. Ecosistemas 21(1-2): 36-52.
Gradstein, S. R., D. Griffin, M. I. Morales y N. M. Nadkarni. 2001a. Diversity and habitat differentiation of mosses and liverworts in the cloud forest of Monteverde, Costa Rica. Caldasia 23: 203-212.
Gradstein, S. R. , N. Salazar-Allen y S. P. Churchill. 2001b. Guide to the Bryophytes of Tropical America. The New York Botanical Garden Press. New York, USA. 577 pp.
Gual-Díaz, M. y A. Rendón-Correa. 2014. Bosques Mesófilos de Montaña de México: diversidad, ecología y manejo. Comisión Nacional para el Conocimiento y Uso de la Biodiversidad. México, D.F., México. 351 pp.
Hamilton, L. S., J. O. Juvik y F. N. Scatena. 1995. Tropical Montane Cloud Forests. Ecological Studies Vol. 110. Springer-Verlag. New York, USA. 407 pp.
Hernández, E., H. Crum, W. B. Fox y A. J. Sharp. 1951. A unique vegetational area in Tamaulipas. Bulletin of the Torrey Botanical Club 78(6): 458-463. DOI: https://doi.org/https://doi.org/10.2307/2482247.
Herrera-Paniagua, P. y M. Martínez. 2014. Musgos de bosques húmedos de montaña en la Sierra Madre Oriental: Nuevos registros regionales. Botanical Sciences 92(1): 81-88. DOI: https://doi.org/https://doi.org/10.17129/botsci.155.
Herrera-Paniagua, P. , M. Martínez, L. Hernández-Sandoval y J. García-Franco. 2017. Epiphytic Mosses in the Humid Mountain Forests of the Sierra Madre Oriental, Mexico - Species Richness, Rarity and Composition. Cryptogamie, Bryologie 38(2): 171-190. DOI: https://doi.org/10.7872/cryb/v38.iss2.2017.171.
Hsieh, T. C., K. H. Ma y A. Chao. 2016. iNEXT: an R package for rarefaction and extrapolation of species diversity (Hill numbers). Methods in Ecology and Evolution 7(12): 1451-1456. DOI: https://doi.org/10.1111/2041-210X.12613.
Ishiki, I. M. 1988. Las selvas bajas perennifolias del Cerro Salomón, Región de Chimalapa, Oaxaca: flora, comunidades y relaciones fitogeográficas. Tesis de maestría. Colegio de Postgraduados, Universidad Autónoma Chapingo. Estado de México, México. 201 pp.
Juárez, G. 1983. Los musgos de Coatepec, Veracruz, México. Biótica 8: 49-58.
Legendre, P., D. Borcard y P. R. Peres-Neto. 2005. Analyzing beta diversity: Partitioning the spatial variation of community composition data. Ecological Monographs 75(4): 435-450. DOI: https://doi.org/https://doi.org/10.1890/05-0549.
Longton, R. E. y Hedderson, T. A. 2000. What are rare species and why conserve them? Lindbergia 25(2): 53-61.
Pacheco-Cruz, N., R. Clark-Tapia, J. E. Campos-Contreras, M. Gorgonio-Ramírez, M. D. Luna-Krautlez, F. J. Naranjo-Luna y C. Alfonso-Corrado. 2018. Demografía de Oreomunnea mexicana (Standl.) J. F. Leroy en el bosque de niebla de Sierra Juárez, Oaxaca. Madera y Bosques 24(2): 1-11. DOI: https://doi.org/10.21829/myb.2018.2421509.
Ponce-Reyes, R., V. H. Reynoso-Rosales, J. E. M. Watson, J. Vanderwal, R. A. Fuller, R. L. Pressey y H. P. Possingham. 2012. Vulnerability of cloud forest reserves in Mexico to climate change. Nature Climate Change 2(6): 448-452. DOI: https://doi.org/10.1038/nclimate1453.
R Core Team. 2018. R: A language and environment for statistical computing. R Foundation for Statistical Computing. Vienna, Austria. http://www.R-project.org/.
Richards, P. W. 1984. The ecology of tropical forest bryophytes. In: Schuster, R. M. (ed.). New manual of bryology Vol. II. The Hattori Botanical Laboratory. Miyazaki, Japan. Pp. 1233-1270.
Rzedowski, J. 1978. Vegetación de México. Limusa. México, D.F., México. 432 pp.
Rzedowski, J. 1996. Análisis preliminar de la flora vascular de los bosques mesófilos de montaña de México. Acta Botanica Mexicana 35: 25-44. DOI: https://doi.org/10.21829/abm35.1996.955.
Rzedowski, J. y R. Palacios-Chávez. 1977. El bosque de Engelhardtia (Oreomunnea) mexicana en la región de La Chinantla (Oaxaca, México): una reliquia del Cenozoico. Boletín de la Sociedad Botánica de México 36: 93-127. DOI: https://doi.org/10.17129/botsci.1161.
Sharp, A. J. 1939. Taxonomic and ecological studies of eastern Tennessee bryophytes. The American Miland Naturalist 21: 267-354.
Sharp, A. J. 1944. Some problems in American bryology. Lilloa 10: 265-283.
Sharp, A. J. 1946. Informe preliminar sobre algunos estudios fitogeográficos efectuados en México y Guatemala. Revista de la Sociedad Mexicana de Historia Natural 7: 35-44.
Sharp, A. J., H. Crum y P. M. Eckel. 1994. The Moss Flora of Mexico. Part one and two. Memoirs of the New York Botanical Garden. New York, USA. 1113 pp.
Sporn, S. G., M. M. Bos, M. Kessler y S. R. Gradstein. 2010. Vertical distribution of epiphytic bryophytes in an Indonesian rainforest. Biodiversity and Conservation 19(3): 745-760. DOI: https://doi.org/10.1007/s10531-009-9731-2.
Thornburgh, K., y A. J. Sharp. 1975. Lista preliminar de musgos colectados en ramas de árboles en México. Boletín de la Sociedad Botánica de México 35: 51-58. https://doi.org/10.17129/botsci.1152.
Toledo, T. 2009. El bosque de niebla. Biodiversitas 83: 1-16.
Torres-Colín, R. 2004. Tipos de vegetación. In: García-Mendoza, A. J., M. J. Ordoñez y M. Briones-Salas (eds.). Biodiversidad de Oaxaca. Instituto de Biología, Universidad Nacional Autónoma de México, Fondo Oaxaqueño para la Conservación de la Naturaleza, World Wildlife Fund. México, D.F., México. Pp. 105-117.
Torres-Colín, R., D. Lorence, M. Ramírez de Anda y R. Villa-Arce. 2009. Flora de la Sierra de Juárez, Oaxaca: Distrito de Ixtlán y Áreas Adyacentes (Sierra Norte de Oaxaca). Listados Florísticos de México XXV: 7-79.
Trejo, I. 2004. Clima. In: García-Mendoza, A. J. , M. J. Ordoñez y M. Briones-Salas (eds.). Biodiversidad de Oaxaca. Instituto de Biología, Universidad Nacional Autónoma de México, Fondo Oaxaqueño para la Conservación de la Naturaleza, World Wildlife Fund. México, D.F., México. Pp. 67-85.
Villaseñor, J. L. 2010. El bosque húmedo de montaña en México y sus plantas vasculares: catálogo florístico-taxonómico. Comisión Nacional para el Conocimiento y Uso de la Biodiversidad, Universidad Nacional Autónoma de México, México, D.F., México. 40 pp.
Apéndice

Notas
Notas de autor
3 Autor para la correspondencia: enrique.hernandezrodriguez@uqat.ca