Artículos de investigación
Cambios estructurales de la vegetación arbórea en un bosque templado de Durango, México
Structural changes of arboreal vegetation in a temperate forest of Durango, Mexico
Cambios estructurales de la vegetación arbórea en un bosque templado de Durango, México
Acta botánica mexicana, núm. 127, e1522, 2020
Instituto de Ecología A.C., Centro Regional del Bajío
Recepción: 26 Febrero 2019
Recibido del documento revisado: 10 Junio 2019
Aprobación: 12 Noviembre 2019
Publicación: 11 Febrero 2020
Financiamiento
Fuente: CONACyT
Nº de contrato: 429594
Descripción del financiamiento: Este estudio fue apoyado por el Consejo Nacional de Ciencia y Tecnología (CONACyT) con la beca otorgada al primer autor por sus estudios de posgrado (No. 429594).
Resumen
Antecedentes y Objetivos: El manejo forestal ocasiona cambios en la composición, estructura y funcionamiento del bosque. El objetivo de este estudio fue comparar la estructura de especies arbóreas en un periodo de 10 años en un bosque de Durango, México.
Métodos: Los datos provienen de árboles con DAP mayor o igual a 7.5 cm (a una altura >1.3 m), ubicados en sitios permanentes que fueron evaluados en intervalos de cinco años (2007, 2012 y 2017). Se definieron tres estratos de altura para cada año de medición, bajo la metodología del índice de perfil vertical (A) de Pretzsch tomando en cuenta la altura mayor de cada medición. En cada estrato se evaluó la estructura a través del índice de valor de importancia (IVI), la diversidad alfa (α) con la riqueza de especies (S) y el índice de Shannon-Wiener (H’). Todas las variables dasométricas por estrato de cada medición se compararon con un ANOVA de un factor para determinar la existencia de diferencias estadísticamente significativas entre evaluaciones.
Resultados clave: Aunque hubo un aumento en el área basal, el volumen y la cobertura de 2007 a 2017, este no fue estadísticamente significativo. Los estratos II y III presentaron el mayor aumento en el área basal y el volumen. La cobertura fue superior a 100%, presentando mejor contribución el estrato III. La composición de especies fue similar en las tres mediciones, siendo el estrato III el más diverso. Pinus durangensis fue la especie de mayor importancia ecológica en los estratos I y II, mientras que Quercus sideroxyla presentó relevancia alta en el III.
Conclusiones: La comparación realizada en un periodo de 10 años (2007-2017) permitió determinar que la vegetación arbórea de la comunidad evaluada se mantiene sin cambios respecto a la diversidad de especies, mientras que el área basal y el volumen tienden a aumentar.
Palabras clave: área basal+ cobertura+ diversidad+ estratos+ estructura vertical+ volumen.
Abstract
Background and Aims: Forest management causes changes in the composition, structure and functioning of the forest. The objective of this study was to compare the structure of tree species over a period of 10 years in a forest in Durango, Mexico.
Methods: The data come from trees with DBH greater than or equal to 7.5 cm (at a heigth 1.3 m) located in permanent sites that were evaluated over a five-year interval (2007, 2012, 2017). Three height strata were defined for each year of measurement under the Pretzsch index methodology taking into account the highest height of each measurement. In each stratum, the structure was assessed through the importance value index (IVI), alpha diversity (α) with species richness (S) and the Shannon-Wiener index (H'). All dasometric variables per stratum of each measurement were compared with ANOVA of a factor to determine the existence of statistically significant differences between the evaluations.
Key results: Although there was an increase in basal area, volume and coverage from 2007 to 2017, this was not statistically significant. Strata II and III showed the greatest increase in basal area and volume. The coverage was greater than 100%, with the highest contribution being stratum III. The composition of species was similar in the three measurements, with stratum III being the most diverse. Pinus durangensis, was the species of greatest ecological importance in strata I and II, while Quercus sideroxyla presented greater relevance in stratum III.
Conclusions: The comparison made over a period of 10 years (2007-2017) allowed us to determine that the tree vegetation of the evaluated community remains unchanged with respect to the diversity of species, while the basal area and volume tend to increase.
Keywords: basal area, coverage, diversity, strata, vertical structure, volume.
Introducción
Los bosques templados del mundo se encuentran en su mayoría en las regiones Neártica y Paleártica, formando parte del conjunto de vegetación típico de latitudes no tropicales, en donde el clima tiene su estacionalidad anual marcada y un invierno durante el cual la temperatura cae por debajo de 0 °C (Olson et al., 2001; Challenger, 2003). En México, este tipo de bosque está asociado estrechamente con las zonas montañosas debido a la ubicación geográfica del país y a la relación que existe entre el clima y la altitud (Tamayo, 1990; Sánchez et al., 2003).
Según la Organización de las Naciones Unidas para la Alimentación y Agricultura (FAO, 2010), 35% de la superficie de México se encuentra ocupada por ecosistemas forestales, de los cuales 24% corresponden a bosques templados (CONAFOR, 2014), en donde la zona de mayor concentración de ecosistemas boscosos es la Sierra Madre Occidental (Challenger y Soberón, 2008). En esta región se presenta gran diversidad de asociaciones de Pinus L., Quercus L. y Arbutus L. (González-Elizondo et al., 2007). La importancia de este tipo de vegetación no es sólo por su alta diversidad, sino también porque las especies de Pinus y Quercus son los árboles de mayor interés económico (Sánchez et al., 2003).
El manejo forestal maderable realizado en las últimas décadas ha sido muy selectivo, sobre todo en las mejores especies de árboles e individuos, ocasionando cambios en la composición, la estructura y la función del bosque. Este manejo crea condiciones de desarrollo para especies de mayor importancia económica, y disminuye la proporción de especies de importancia ecológica por tener menor valor económico (Fregoso et al., 2001; Hernández-Salas et al., 2013, 2018).
El conocimiento de la estructura constituye uno de los fundamentos principales para entender el funcionamiento de los ecosistemas, lo cual puede aportar elementos de decisión para contribuir al manejo adecuado de los bosques (Cascante y Estrada, 2001; Franklin et al., 2002; Aguirre et al., 2003; Castellanos-Bolaños et al., 2008). La variación estructural de las poblaciones forestales, depende en gran medida de la composición de especies de las comunidades, de tal forma que una misma especie puede presentar diferente condición estructural de acuerdo con la asociación florística donde se encuentra coexistiendo (Johnson et al., 2002).
La estructura horizontal de los bosques está dada por la abundancia, distribución y dominancia de las especies que lo conforman con respecto a la masa boscosa total, por lo que los parámetros más usados para medir la estructura son la densidad de árboles y el área basal (Rubio Camacho et al., 2014). Verticalmente se pueden distinguir tres estratos arbóreos: el estrato alto o superior, el estrato medio y el estrato bajo o inferior (Richards, 1966; Lamprecht, 1977; Pretzsch, 2009).
La información derivada de sitios permanentes (aquellas medidas sucesivas al menos tres veces) constituyen una fuente de información importante en manejo e investigación forestal para conocer los cambios respecto al crecimiento, producción y evolución de las masas forestales (Gadow et al., 1999; Kleinn y Morales, 2002). Una de las premisas del aprovechamiento sustentable es el mantenimiento de la composición e incremento del volumen maderable.
El objetivo de la investigación fue comparar la estructura (abundancia, área basal, área de copa, volumen e índice de Pretzsch), riqueza y complejidad biológica de especies arbóreas en un periodo de 10 años, medidas en intervalos de cinco años (2007, 2012, 2017) en un bosque de Durango, México.
Materiales y Métodos
El estudio se realizó en el ejido San Esteban y Anexos, municipio Pueblo Nuevo, ubicado en la parte suroeste del estado de Durango, en el macizo montañoso de la Sierra Madre Occidental (noroeste de México). Dicho ejido está enmarcado geográficamente entre los paralelos 23°43'46" y 23°55'17" de latitud Norte y los meridianos 105°22'23" y 105°29'59" de longitud Oeste (Fig. 1).

La altitud sobre el nivel del mar varía entre 2400 y 2600 m. Los tipos de suelo presentes son litosol, cambisol y regosol con textura predominantemente gruesa a media. El tipo de roca predominante es ígnea extrusiva ácida (INEGI, 2015). En esta zona prevalecen los climas templado subhúmedo con lluvias en verano y semifrío subhúmedo con lluvias en verano, los valores promedio anuales de precipitación y temperatura son 1200 mm y 18 ºC respectivamente (INEGI, 2009). Los tipos de vegetación predominantes corresponden a formaciones naturales de bosques de Pinus y Pinus-Quercus.
El manejo forestal que se lleva a cabo en este ejido contempla técnicas silvícolas del Método Mexicano de Ordenación de Bosques Irregulares (MMOBI) y del Método de Desarrollo Silvícola (MDS), realizando cortas de selección en sitios forestales con menor productividad y cortas más intensas, en calidades de estación altas y en sitios donde el riesgo de dañar los recursos asociados al bosque sea mínimo (UPSE 6, 2007).
Los datos dasométricos para el estudio se tomaron de ocho parcelas permanentes de muestreo, de forma cuadrangular de 2500 m2 (50 × 50 m). Las parcelas se establecieron en el 2007 siguiendo las metodologías desarrolladas por Corral-Rivas et al. (2009) y fueron evaluadas en intervalos de cinco años (2007, 2012 y 2017). A todos los árboles con diámetro a la altura del pecho ≥7.5 cm (DAP ≥7.5 cm, a una altura >1.3 m) conforme a los criterios de análisis de datos establecidos por Corral-Rivas et al. (2009), se les realizaron mediciones de DAP (cm), altura total (m), diámetro de la copa (mayor y menor, m). La identificación de cada una de las especies se realizó con base en la consulta de bibliografía especializada (García y González, 1998; González-Elizondo et al., 2007) y The Plant List (TPL, 2013), para confirmar el nombre científico correcto.
Análisis de datos
Para la caracterización de la estructura vertical de las especies se utilizó el índice de distribución vertical de especies (A) el cual es una modificación del índice Shannon (Pretzsch, 1996; Del Río et al., 2003). Donde A tiene valores entre cero y un valor máximo (Amax ); cuando un valor A=0 significa que el rodal está constituido por una sola especie que ocurre en un solo estrato y Amax se alcanza cuando la totalidad de las especies ocurren en la misma proporción tanto en el rodal como en los diferentes estratos y depende del número de especies y de estratos (Nagel, 1994; Pretzsch, 1996). Para la estimación de la distribución vertical de las especies, se definieron tres zonas de altura (Jiménez et al., 2001): zona I (alta): 80 a 100% de la altura máxima del área; zona II (media): 50 a 80% de la altura máxima, y zona III (baja): de cero a 50% de la altura máxima. El índice se estima mediante la fórmula:
donde S es el número de especies presentes, Z es el número de estratos de altura, pij es el porcentaje de especies en cada zona, y se estima mediante la siguiente ecuación pij=ni,j/N, donde ni,j es el número de individuos de la misma especie (i) en la zona (j) y N es el número total de individuos. El valor de A se estandariza de la siguiente forma:
Los valores de Arel cercanos a 100% indican que todas las especies se encuentran distribuidas de forma equitativa en los tres estratos de altura. En cada uno de los estratos de altura se caracterizó la estructura horizontal; se determinó su abundancia de acuerdo con el número de árboles, su dominancia en función del área basal, y su frecuencia con base en su presencia en los sitios de muestreo. Las variables relativizadas se utilizaron para obtener un valor ponderado a nivel de especie denominado índice de valor de importancia (IVI), que adquiere valores porcentuales en una escala de cero a 100 (Mueller y Ellenberg, 1974). Las fórmulas para estos cálculos se describen a continuación.
donde Ai es la abundancia absoluta, ARi es la abundancia relativa de la especie i respecto a la abundancia total, Ni es el número de individuos de la especie i, y E la superficie de muestreo (ha).
La dominancia (área basal) relativa se evaluó mediante la siguiente fórmula:
donde Di es la dominancia absoluta, DRi es dominancia relativa de la especie i respecto a la dominancia, Abi es el área basal de la especie i y E la superficie (ha).
La frecuencia relativa se obtuvo con la siguiente ecuación:
donde Fi es la frecuencia absoluta, FRi es la frecuencia relativa de la especie i respecto a la suma de las frecuencias, Pi es el número de sitios en el que está presente la especie i y NS el número total de sitios de muestreo.
El índice de valor de importancia (IVI) se define como (Whittaker, 1972; Moreno, 2001):
También se determinó la cobertura total (área de copa) y por estrato en las tres mediciones:
donde Ci es la cobertura absoluta y E la superficie (ha) y Aci el área de copa de la especie i (Ac=π/4*d2) (Romahn y Ramírez, 2010).
Para cada una de las especies se determinó el volumen rollo total árbol utilizando las ecuaciones de Schumacher y Hall sugeridas por Contreras y Návar (1997) las cuales se utilizan para estimar el volumen de las principales especies arbóreas en la Sierra Madre Occidental (Cuadro 1).

La diversidad alfa (α) se determinó con la riqueza de especies (S) y con el índice de Shannon-Wiener (H’), el cual es una medida legítima de la complejidad de las comunidades biológicas (Moreno, 2001; Leyva-López, et al., 2010; Jost y González-Oreja, 2012). Para determinar la existencia de diferencias estadísticamente significativas entre mediciones se realizó un análisis de varianza (ANOVA) de un factor a cada parámetro dasométrico, primero se constató que los datos cumplieran con los supuestos de normalidad, para lo cual se realizó la prueba de Shapiro-Wilk, mientras que el de homocedasticidad mediante la prueba de Levene. En caso de diferencias significativas se usaron las pruebas de comparaciones múltiples de Tukey. El nivel de significancia para todas las pruebas fue α=0.05. Los análisis estadísticos se llevaron a cabo con el programa SPSS 22.0 para Windows (IBM Corp. Released, 2013).
Resultados
En total se registraron 16 especies distribuidas en cuatro géneros y cuatro familias. Las familias Pinaceae y Fagaceae fueron la más representadas con seis especies cada una. En total estas dos familias integraron 12 especies (Cuadro 2).

Índice de distribución vertical
Por el índice de distribución vertical (A) se definieron tres estratos de altura (I, II y III) para cada año de medición, tomando en cuenta la altura mayor de cada medición, la cual aumentó en promedio (± desviación estándar) 1.5 ± 0.07 m cada cinco años. Para la primera medición (2007) el estrato I (19.9-24.9 m) incluyó 41 árboles ha-1 distribuidos en seis especies, en el II (12.5-19.8 m) se registraron 169 árboles ha-1 distribuidos en 14 especies, mientras que el III (<12.4 m) se conformó por 505 árboles ha-1 distribuidos en las 16 especies totales.
Por otro lado, en la segunda medición (2012) en el estrato I (21.1-26.4 m) disminuyó el número de individuos a 25 árboles ha-1 en cuatro especies, en el II (13.2-21.0 m) el número de individuos aumentó a 177 árboles ha-1 distribuidos en las mismas 14 especies y finalmente en el III (<13.1 m) el número de individuos disminuyó a 484 árboles ha-1 distribuidos en las 16 especies.
En la última medición (2017) el estrato I (22.2-27.8 m) disminuyó en número de individuos respecto a las mediciones anteriores, pues se registraron 18 árboles ha-1, pero aumentó el número de especies a cinco; en el II (13.9-22.1 m) el número de individuos disminuyó a 171 árboles ha-1 distribuidos en 10 especies, que también disminuyeron respecto a la medición anterior y en el III (2.3-13.8 m) el número de individuos aumentó a 525 árboles ha-1 distribuidos en las 16 especies originales.
Las especies Pinus cooperi C.E. Blanco, Pinus durangensis Martínez, Pinus teocote Schied. ex Schltdl. & Cham. y Quercus sideroxyla Bonpl., estuvieron presentes en todos los estratos de altura en las tres mediciones, donde su proporción de individuos fue mayor en el III y disminuyó en el I (Cuadro 3).

El valor absoluto del índice de Pretzsch (A) para el año 2007 fue de A=2.72 con Amax =3.87 y Arel =70%, para los siguientes años estos valores presentaron una disminución mínima, para el año 2012 fueron de A=2.67 con Amax =3.87 y Arel =69%, mientras que para el 2017 los valores fueron de A=2.66 con Amax =3.87 y Arel =68%.
Estructura de la vegetación
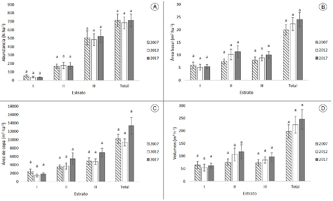
La abundancia total no presentó cambios significativos del año 2007 al 2017 (F2,21=0.051, P=0.950), en 2007 el promedio (± error estándar) fue 715±74 árboles ha-1, disminuyendo levemente en 2012 a 685±71 árboles ha-1, mientras que en 2017 el valor fue 714±77 árboles ha-1. Esta abundancia disminuyó ligeramente en estrato I de 2007 (54±15 árboles ha-1) a 2017 (36±5 árboles ha-1), P. durangensis fue la especie de mayor abundancia en 2007 (25 árboles ha-1), la cual disminuyó 56% en la última medición (11 árboles ha-1). En el II fue constante de 2007 (169±26 árboles ha-1) a 2017 (171±40 árboles ha-1), P. durangensis presentó el mayor valor (72 árboles ha-1) sin presentar cambios considerables a través del tiempo. El III presentó un aumento de 2007 (505±84 árboles ha-1) a 2017 (525±75 árboles ha-1), Q. sideroxyla fue la especie más abundante (180 árboles ha-1), disminuyendo su presencia en 8% en las siguientes mediciones (166 árboles ha-1) (Fig. 2A).

El área basal total (dominancia) del arbolado no mostró cambios significativos del año 2007 a 2017 (F2,21=0.670, P=0.522). En el 2007 el promedio (± error estándar) fue de 19.99±2.00 m2 ha-1 y aumentó en las siguientes mediciones hasta alcanzar 24.07±2.86 m2 ha-1 en 2017. El estrato I mantuvo un valor constante (5.97±1.27 m2 ha-1 en 2007 y 5.47±0.77 m2 ha-1 en 2017), la mayor dominancia fue la de P. durangensis en 2007 (2.24 m2 ha-1), que disminuyó en 2017 (1.49 m2 ha-1). El II aumentó de 2007 (7.48±1.06) a 2017 (11.35±2.39 m2 ha-1), la especie P. durangensis presentó mayor dominancia; sin embargo, aumentó conforme pasó el tiempo (2.49 a 4.27 m2 ha-1). El III se incrementó de 2007 (8.03±1.18 m2 ha-1) a 2017 (9.98±1.36 m2 ha-1), Q. sideroxyla fue la especie más dominante, aumentando su área basal en el período (3.25 a 3.65 m2 ha-1) (Fig. 2B).
El área de copa total del arbolado no presentó cambios significativos de 2007 a 2017 (F2,21 =2.238, P=0.131), el promedio (± error estándar) para 2007 fue de 10251±1079 m2 ha-1, mientras que para el 2012 disminuyó a 9388±830 m2 ha-1 y para 2017 aumentó a 13333±1978 m2 ha-1. Los estratos no presentaron cambios significativos. En el estrato I el promedio de 2007 fue de 2443±544 m2 ha-1, el cual disminuyó en 2017 donde registró un valor de 1816±242 m2 ha-1. En el estrato II el promedio para 2007 fue de 3523±491 m2 ha-1, el cual aumentó considerablemente hasta 5456±1404 en 2017. Para el estrato III se presentó un promedio para 2007 de 4895±797, mientras que para 2017 aumentó considerablemente a 6968±995 m2 ha-1 (Fig. 2C).
El volumen total del arbolado presentó un aumento, pero no significativo del año 2007 a 2017 (F2,21 =0.517, P=0.604), para 2007 el promedio (± error estándar) fue de 198±27 m3 ha-1, el cual aumentó en 2017 a 246±39 m3 ha-1. Los estratos no mostraron cambios significativos. El promedio para el estrato I en 2007 fue de 64±14 m3 ha-1, el cual disminuyó levemente a 62±10 m3 ha-1 en 2017. En el estrato II el promedio para 2007 fue de 76±13 m3 ha-1 aumentando considerablemente en 2017 a 117±28 m3 ha-1. Para el estrato III el promedio para 2007 fue 73±13 m3 ha-1 aumentando a 97±17 m3 ha-1 en 2017 (Fig. 2D).
Índice de valor de importancia (IVI)
Las especies con mayor abundancia en los tres estratos (I, II y III) de los tres años de medición (2007, 2012 y 2017) fueron casi las mismas. En el estrato I resultó ser P. durangensis (62.7, 65.3 y 61.1%) seguida de P. teocote para el año 2007 (14.8%) y P. cooperi en los años 2012 y 2017 (16.3 y 19.4%). Situación similar se presentó en el II donde P. durangensis fue la más abundante en las tres mediciones (42.6, 42.5 y 45%), pero seguida por Q. sideroxyla en los tres años (18.3, 16.4 y 15.8%). Q. sideroxyla fue la especie con mayor porcentaje de individuos en las tres evaluaciones del III (35.6, 34.3 y 31.6%).
Los tres estratos de cada año estuvieron dominados por las mismas especies. Pinus durangensis fue la más dominante en el I en los tres años (50, 60.2 y 54.7%), seguida por Q. sideroxyla. En el II también P. durangensis dominó en todas las evaluaciones (33.4, 33.6 y 37.6%), seguida de Q. sideroxyla (29, 30, 26.9%). Esta última especie fue la más dominante en el III (40.4, 39.3 y 36.6%) seguida de P. durangensis (14.3, 15.8 y 14.8%).
No todos los estratos tuvieron la misma frecuencia de especies. La especie Pinus durangensis fue la más frecuente en el estrato I en todos los años (26.3, 41.7, 30%). Mismo caso para el II donde P. durangensis presentó la mayor frecuencia en las tres mediciones (17.8, 18.2 y 21.1%). Por otro lado, Q. sideroxyla fue la más frecuente en el III (12.1, 12.7 y 13.6%), en todas las evaluaciones.
De acuerdo con los resultados anteriores P. durangensis resultó ser la especie con mayor peso ecológico en las tres mediciones de los estratos I (46, 55.7 48.6%) y II (31.3, 31.4 y 34.6%). Mientras que para el III fue Q. sideroxyla (29.4, 28.8 y 27.3%) (Cuadro 4).

Distribución por clases diamétricas
El número de árboles ha-1 por clase diamétrica, en cada estrato fue diferente. El III registró la mayor cantidad de individuos, mostrando un comportamiento decreciente (J invertida) en las tres mediciones, presentándose mayor abundancia de árboles en las clases diamétricas menores y decreciendo conforme aumentan estas. El estrato II tiene un comportamiento similar, pero a menor escala, mientras que en el I la menor abundancia de árboles ha-1 se encuentra en las categorías mayores (Fig. 3).

Diversidad alfa (α)
La riqueza de especies total (S) no presentó cambios significativos de 2007 a 2017 (F2,21 =1.054, P=0.366), el promedio (± error estándar) para 2007 fue de 8.8±0.45 especies, el cual disminuyó a 7.88±0.52 especies en 2017. Los estratos no presentaron cambios. En I en 2007 el promedio fue de 2.38±0.60 especies disminuyendo a 1.25±0.49 en 2017. En el estrato II el valor de 2007 fue de 5.63±0.32 especies, valor que disminuyó a 4.75±0.25 en 2017. Para el estrato III el promedio para 2007 fue de 8.25±0.53 especies, disminuyendo a 7.38±0.60 en 2017 (Fig. 4A).

La complejidad biológica total medida a través del índice de Shannon-Wiener (H´) no presentó cambios significativos de 2007 a 2017 (F2,21 =0.028, P=0.973), el valor promedio para 2007 fue de 1.54±0.09, mientras que para 2017 fue muy similar (1.57±0.08). Los estratos no presentaron cambios significativos. El valor del estrato I para 2007 fue de 0.61±0.16, disminuyendo en las siguientes mediciones hasta registrar un valor de 0.33±0.15 en 2017. El promedio para el estrato II para 2007 fue de 1.33±0.10, disminuyendo a 1.24±0.11 en 2017. Para el estrato III en el 2007 el valor promedio fue de 1.48±0.10 manteniéndose similar en las siguientes mediciones (1.48±0.08) (Fig. 4B).
Discusión
La estructura general del bosque templado estudiado se caracteriza por el dominio de las familias Pinaceae y Fagaceae, que han sido registradas como las de mayor representatividad en los bosques templados de México (Aragón-Piña et al., 2010; López-Hernández et al., 2017). La familia Pinaceae y el género Pinus son de amplia distribución en todas las cadenas montañosas del país (García y González 1998; Hernández-Salas et al., 2013).
Según Lamprecht (1986), el análisis de especies arbóreas se debe realizar mediante el estudio de los estratos en las copas. La altura máxima que alcanzaron los individuos localizados en el área de muestreo fue diferente en cada año de medición, aumentando de 24.9 m en 2007 a 27.8 m en 2017, a partir de las cuales se determinaron los tres estratos del índice A (Aguirre, 2002; Pretzsch, 2009). Los valores del índice A fueron muy similares en las tres mediciones (A=2.66 con Amax =3.87 y Arel =68%). Lo que indica que la zona evaluada tiene una alta uniformidad y no presentó cambios considerables en la distribución de especies en los estratos de altura en el tiempo, siendo el estrato III el que presenta la mayor heterogeneidad. Estos valores coinciden con Graciano-Ávila et al. (2017) quienes registraron valores de A=2.07 y Amax =3.58 al caracterizar un bosque de la misma región y con Jiménez et al. (2001) que registraron valores similares (A=2.07; Amax =3.50) al analizar la estructura horizontal y vertical en un ecosistema multicohortal de pino-encino en el norte de México.
En la densidad, los cambios más notorios fueron por la muerte, tala e incorporación de individuos en las mediciones del 2012 y 2017, aun así, no se registraron cambios significativos, ya que el número de individuos fue constante a través del tiempo. Los estratos I y II se encuentran dominados por P. durangensis en las tres mediciones, dicha especie se caracteriza por ser una de las que alcanza mayor altura en los bosques templados de México (hasta 42 m) (González-Elizondo et al., 2012). Además, ha sido registrada en diversos estudios como la especie más abundante en los bosques templados de Durango (Noroeste de México) (Valenzuela-Núñez y Granados-Sánchez, 2009). En el estrato III existe mayor presencia de Q. sideroxyla en las tres mediciones, esta especie junto con P. durangensis y P. teocote es común que se encuentren asociadas entre sí (García y González, 1998; Márquez-Linares et al., 1999) y han sido documentadas como las más frecuentes en los bosques templados (Silva-Flores et al., 2014). Jiménez et al. (2001) al analizar la estructura de un bosque en el norte de México, encontraron que las distintas especies de Quercus se ubicaron de manera mínima en el estrato II y en mayor proporción en el estrato III; coincidiendo con Villavicencio et al. (2005), que señalan que las especies del género Quercus son las dominantes en el estrato bajo. Cabe señalar que todas las especies arbóreas registradas en el área de estudio tuvieron presencia en el estrato inferior (III).
El área basal total aumentó en las tres mediciones; sin embargo, el cambio no fue significativo, el estrato bajo (III) fue el de mayor aumento. Uno de los mejores indicadores para medir el grado de recuperación del bosque es el área basal (Norden et al., 2009). Diversos autores señalan que el área basal de los bosques secundarios incrementa de forma asintótica a través del tiempo y tiende a ser semejante a los bosques primarios (Guariguata y Ostertag, 2002; Ruschel et al., 2009).
No se presentaron cambios significativos en composición de especies en el área de estudio en las tres mediciones, la especie P. durangensis resultó ser la especie de mayor importancia ecológica; sin embargo, al analizar el IVI por estratos, resultó que Q. sideroxyla fue la de mayor relevancia en el estrato III. Estos resultados concuerdan con Delgado et al. (2016) quienes registraron a P. durangensis y Q. sideroxyla como especies de mayor valor ecológico en bosques de la región aledaños al área de estudio.
Las copas de los árboles compiten por recursos, especialmente con individuos vecinos, siendo la competencia por espacio de crecimiento y radiación, algunos de los factores más importantes que determinan el adecuado crecimiento y buen desarrollo de un árbol (Saavedra-Romero et al., 2016). El área de copa total no presentó cambios significativos entre los diferentes años de medición, pero esta fue mayor a 10,000 m2 ha-1; es decir superior a 100% de la superficie muestreada, lo que significa una sobreposición de copas. El estrato III presentó el mayor aporte y aumento en las mediciones. López-Hernández et al. (2017) registraron un valor menor (8463 m2 ha-1) en un bosque templado del centro de México.
El área de estudio presentó un aumento en volumen que no fue significativo (197.89 a 245.57 m3 ha-1), siendo los estratos II y III los que presentaron el mayor incremento; en éstos se concentraron el mayor número de individuos de Pinus y Quercus. Autores como Návar-Cháidez y González-Elizondo (2009), señalan que el volumen aumenta con el índice de mezcla de Pinus y Quercus y con el incremento en la densidad en bosques de Durango, México. Corral-Rivas et al. (2015) registraron valores menores (181.7 m3 ha-1) en bosques mixtos e irregulares de Durango, México.
La distribución de clases diamétricas presentó una forma de J invertida en las tres mediciones, encontrándose gran cantidad de individuos en las categorías diamétricas menores que disminuyen en los mayores diámetros, dichos individuos jóvenes reemplazarán a árboles maduros en un futuro (Arruda et al., 2011; Hernández-Stefanoni et al., 2011). Este tipo de distribuciones diamétricas es la mejor garantía de la supervivencia de la comunidad forestal, ya que los individuos de tallas superiores son eliminados ocasionalmente y sustituidos sin dificultad por individuos de las categorías diamétricas inferiores (Lamprecht, 1990). La desigualdad en los tamaños diamétricos es un efecto asociado a procesos competitivos que llevan a cabo las especies durante las diferentes etapas de desarrollo del rodal (Olvera-Vargas y Figueroa-Rangel, 2012).
La riqueza total de especies en las tres mediciones no presentó cambios significativos (S=8 en promedio en cada sitio). El estrato I fue el que tuvo menor número, mientras que el III, al agrupar mayor número de individuos, permitió que el número de especies aumentara. Condit et al. (1996), mencionan que las especies se acumulan en función del número de individuos muestreados. Los valores encontrados en este estudio fueron mayores a las que López-Hernández et al. (2017) registraron en un bosque de Puebla, México (11).
Por otro lado, la complejidad biológica en el área de estudio no presentó cambios significativos (H´=1.57), esta disminuyó ligeramente en los estratos I y II a través del tiempo, mientras que en el III se presentó el mayor valor que fue constante en las tres mediciones. López-Hernández (2017) registraron valores menores (H´=1.37) a lo registrado en este estudio. Por otro lado, se han reportado valores de H´=1.51 y H´=1.87 en Áreas Naturales Protegidas del estado de Durango (Vargas Larreta, 2013; Domínguez et al., 2018). En bosques con poca perturbación y mayor edad, generalmente se presenta alta diversidad de árboles y especies arbustivas (Onaindia et al., 2004).
Conclusiones
La comparación realizada permitió determinar que la vegetación arbórea de la comunidad evaluada se mantiene sin cambios respecto a la diversidad de especies, mientras que el área basal y el volumen tienden a aumentar. La composición de especies en el área estudiada fue muy similar en las tres mediciones, se registraron 16 pertenecientes principalmente a las familias Pinaceae y Fagaceae, siendo el género Pinus el de mayor representatividad. La altura máxima aumentó en promedio 1.5 m cada 5 años. De acuerdo con los valores del índice vertical (A) existe alta uniformidad, no hay cambios considerables en la distribución de especies en los tres estratos de altura a través del tiempo, y el estrato III tiene mayor heterogeneidad. Las especies con mayor contribución estructural son P. durangensis y Q. sideroxyla, la importancia de la primera recae en los estratos I y II, mientras que la segunda presenta mayor relevancia en el III. La cobertura fue mayor a 100% y aumentó conforme pasó el tiempo, indicando una sobreposición de copas, presentando la mayor contribución el estrato III. Los estratos II y III presentaron el mayor aumento en volumen, reflejo de la densidad existente en estos.
La distribución de clases diamétricas presentó una forma de tipo J invertida, donde el mayor número de individuos se localiza en el estrato III, lo que garantiza la supervivencia de esta comunidad forestal. Los valores de riqueza y complejidad biológica no mostraron cambios significativos, pero tienden a disminuir con el paso del tiempo, aun así, son altos en comparación con otros bosques similares. Las especies registradas se distribuyeron de diferente forma en los estratos, siendo el estrato III el más diverso.
Lo obtenido en esta investigación sirve como referencia para el desarrollo de planes de manejo silvícola, aportando información respecto a los cambios existentes en el bosque y sus estratos a través del tiempo.
Agradecimientos
Agradecemos a Adrián Maturano por su apoyo en los análisis estadísticos y a José J. Corral Rivas por las facilidades prestadas para la realización de este estudio.
Literatura citada
Aguirre, C. O. 2002. Índices para la caracterización de la estructura del estrato arbóreo de ecosistemas forestales. Ciencia Forestal en México 27(29): 5-27.
Aguirre, O., G. Hui, K. Gadow y J. Jiménez. 2003. An analysis of spatial forest structure using neighbourhood-based variables. Forest Ecology and Management 183(1-3): 137-145. DOI: https://doi.org/10.1016/S0378-1127(03)00102-6.
Aragón-Piña, E. E., A. Garza-Herrera, M. S. González-Elizondo e I. Luna-Vega. 2010. Composición y estructura de las comunidades vegetales del rancho El Durangueño, en la Sierra Madre Occidental, Durango, México. Revista Mexicana de Biodiversidad 81(3): 771-787. DOI: https://dx.doi.org/10.22201/ib.20078706e.2010.003.648.
Arruda, D. M., D. O. Brandao, F. V. Costa, G. S. Tolentino, R. D. Brasil, S. N. D´ângelo Neto y Y. R. Ferreira-Nunes. 2011. Structural aspects and floristic similarity among tropical dry forest fragments with different management histories in Northern Minas Gerais, Brazil. Revista Árvore 35(1): 131-142. DOI: https://dx.doi.org/10.1590/S0100-67622011000100016.
Cascante, M. A. y A. C. Estrada. 2001. Composición florística de un bosque húmedo premontano en el valle central de Costa Rica. Revista de Biología Tropical 49(1): 213-225.
Castellanos-Bolaños, J. F., E. J. Treviño-Garza, Ó. A. Aguirre-Calderón, J. Jiménez-Pérez, M. Masulem-Santiago y R. López-Aguillón. 2008. Estructura de bosques de pino pátula bajo manejo en Ixtlán de Juárez, Oaxaca, México. Madera y Bosques 14(2): 51-63. DOI: https://doi.org/10.21829/myb.2008.1421212.
Challenger, A. 2003. Conceptos generales acerca de los ecosistemas templados de montaña de México y su estado de conservación. In: Sánchez, O., E. Vega, E. Peters y O. Monroy-Vilchis (eds.). Conservación de ecosistemas templados de montaña en México. Instituto Nacional de Ecología. México, D.F., México. Pp. 17-44.
Challenger, A. y J. Soberón. 2008. Los ecosistemas terrestres. In: Sarukhán, J. (coord.). Capital natural de México, vol. I: Conocimiento actual de la biodiversidad. Comisión Nacional para el Conocimiento y Uso de la Biodiversidad (CONABIO). México, D.F., México. Pp. 87-108.
CONAFOR. 2014. Comisión Nacional Forestal. Programa Nacional Forestal 2014-2018. http://www.conafor.gob.mx:8080/documentos/ver.aspx?articulo=5382&grupo=4 (consultado junio de 2019).
Condit, R., S. Hubbell, J. Lafrankie, R. Sukumar, N. Manokaran, R. Foster y P. Ashton. 1996. Species-area and species-individual relationships for tropical trees: a comparison of three 50-ha plots. Journal of Ecology 84(4): 549-562. DOI: https://doi.org/10.2307/2261477.
Contreras, A. J. y J. Návar. 1997. Ecuaciones de volumen para estimar volúmenes rollo total árbol, fustal, fuste y tocón y fuste y ramas de Pinus durangensis y Pinus teocote del ejido Vencedores, Dgo., México. Congreso mexicano de recursos forestales. Linares, N.L., México. Pp. 40-42.
Contreras, J. C. y J. Návar. 2002. Ecuaciones aditivas para estimar componentes de volumen para Pinus teocote de Durango, México. Ciencia Forestal en México 27: 67-82.
Corral-Rivas, J. J., L. Vargas, C. Wehenkel, C. Aguirre, G. Álvarez y A. Rojo 2009. Guía para el establecimiento de sitios de investigación forestal y de suelos en bosques del estado de Durango. Editorial UJED. Durango, México. 81 pp.
Corral-Rivas, S., J. Álvarez-González, J. Corral-Rivas, C. Wehenkel y C. López-Sánchez. 2015. Diagramas para el manejo de la densidad en bosques mixtos e irregulares de Durango, México. Bosque (Valdivia) 36(3): 409-421. DOI: https://dx.doi.org/10.4067/ S0717-92002015000300008.
Del Río, M., F. Montes, I. Cañellas y G. Montero. 2003. Revisión Índices de diversidad estructural en masas forestales. Investigaciones Agrarias: Sistema de Recursos Forestales 12(1): 159-176.
Delgado, D. A., S. A. Heynes, M. D. Mares, N. L. Piedra, F. I. Retana, K. Rodríguez, A. I. Villanueva, M. S. González y L. Ruacho. 2016. Diversidad y estructura arbórea de dos rodales en Pueblo Nuevo, Durango. Revista Mexicana de Ciencias Forestales 7(33): 94-107. DOI: https://doi.org/10.29298/rmcf.v7i33.92.
Domínguez, T. G., B. N. Hernández, H. González, I. Cantú, E. Alanís y M. D. S. Alvarado. 2018. Estructura y composición de la vegetación en cuatro sitios de la Sierra Madre Occidental. Revista Mexicana de Ciencias Forestales 9(50): 9-34. DOI: https://doi.org/10.29298/rmcf.v9i50.227.
FAO. 2010. Evaluación de los recursos forestales mundiales 2010. Informe Nacional México. Organización de las Naciones Unidas para la Alimentación y la Agricultura (FAO). Roma, Italia.
Franklin, J. F., T. A. Spies, R. Van Pelt, A. B. Carey, D. A. Thornburgh, D. R. Berg, B. Lindenmayer, M. E. Harmon, W. S. Keeton, D. C. Shaw, K Bible y J. Chen. 2002. Disturbances and structural development of natural forest ecosystems with silvicultural implications, using Douglas-fir forests as an example. Forest Ecology and Management 155(1-3): 399-423. DOI: https://doi.org/10.1016/S0378-1127(01)00575-8.
Fregoso, A., A. Velásquez, G. Bocco, G. Cortéz. 2001. El enfoque de paisaje en el manejo forestal de la comunidad indígena de Nuevo San Juan Parangaricutiro, Michoacán, México. Investigaciones Geográficas. Boletín del Instituto de Geografía, Universidad Nacional Autónoma de México 46: 58-77.
Gadow, K., A. Rojo-Alboreca, J. G. Álvarez-González y R. Rodríguez-Soalleiro. 1999. Ensayos de crecimiento. Parcelas permanentes, temporales y de intervalo. Investigación Agraria: Sistemas y Recursos Forestales 1: 229-310.
García, A. A. y M. S. González. 1998. Pináceas de Durango. Centro Interdisciplinario de Investigación para el Desarrollo Integral Regional-Instituto Politécnico Nacional, Instituto de Ecología A.C., Sistema Regional de Investigación Francisco Villa-Gobierno del Estado de Durango. Durango, México. 179 pp.
González-Elizondo, M. S., M. González-Elizondo y M. Márquez Linares. 2007. Vegetación y ecorregiones de Durango. Instituto Politécnico Nacional. Durango, México. 219 pp.
González-Elizondo, M. S. , M. González-Elizondo , J. A. Tena-Flores, L. Ruacho-González e I. L. López-Enríquez. 2012. Vegetación de la Sierra Madre Occidental, México: una síntesis. Acta Botanica Mexicana 100: 351-403. DOI: https://doi.org/10.21829/abm100.2012.40.
Graciano-Ávila, G., Ó. A. Aguirre-Calderón, E. Alanís-Rodríguez y J. E. Luján-Soto. 2017. Composición, estructura y diversidad de especies arbóreas en un bosque templado del Noroeste de México. Ecosistemas y Recursos Agropecuarios 4(12): 535-542.
Guariguata, M. R. y R. Ostertag. 2002. Sucesión secundaria. In: Guariguata, M. R. y G. H. Kattan (eds.). Ecología y conservación de bosques neotropicales. Libro Universitario Regional (LUR). Cartago, Costa Rica. Pp. 591-623.
Hernández-Salas, J., Ó. A. Aguirre-Calderón , E. Alanís-Rodríguez, J. Jiménez-Pérez, E. J. Treviño-Garza, M. A. González-Tagle, C. Luján-Álvarez, J. M. Olivas-García y A. Domínguez-Pereda. 2013. Efecto del manejo forestal en la diversidad y composición arbórea de un bosque templado del noroeste de México. Revista Chapingo, Serie Ciencias Forestales y del Ambiente 19(2): 189-199. DOI: https://dx.doi.org/10.5154/r.rchscfa.2012.08.052.
Hernández-Salas, J. , Ó. A. Aguirre-Calderón , E. Alanís-Rodríguez, J. Jiménez-Pérez, E. J. Treviño-Garza, M. A. González-Tagle, C. Luján-Álvarez, J. M. Olivas-García y A. Domínguez-Pereda. 2018. Dinámica del crecimiento de un bosque templado bajo manejo en el noroeste de México. Madera y Bosques 24(2): e2421767. DOI: https://doi.org/10.21829/myb.2018.2421767.
Hernández-Stefanoni, J. L., J. M. Dupuy, F. Tun-Dzul y F. May-Pat. 2011. Influence of landscape structure and stand age on species density and biomass of a tropical dry forest across spatial scales. Landscape Ecology 26(3): 355-370. DOI: https://doi.org/10.1007/s10980-010-9561-3.
IBM Corp. Released. 2013. IBM SPSS Statistics for Windows, Version 22.0. Armonk, NY, USA. https://www.ibm.com/mx-es.
INEGI. 2009. Cartas temáticas del estado de Durango. Instituto Nacional de Estadística, Geografía e Informática. México, D.F., México.
INEGI. 2015. Carta topográfica, 1:50,000. El Salto F13-A18. Instituto Nacional de Estadística, Geografía e Informática. México, D.F., México.
Jiménez, J., Ó. Aguirre-Calderón y H. Kramer. 2001. Análisis de la estructura horizontal y vertical en un ecosistema multicohortal de pino-encino en el norte de México. Investigaciones Agrarias: Sistema de Recursos Forestales 10(2): 355-366.
Johnson, P. S., S. R. Shifley y R. Rogers. 2002. The Ecology and Silviculture of Oaks. CABI Publishing. Oxford, UK. 53 pp.
Jost, L. y J. A. González-Oreja. 2012. Midiendo la diversidad biológica: más allá del índice de Shannon. Acta Zoológica Lilloana 56(1-2): 3-14.
Kleinn, C. y D. Morales. 2002. Consideraciones metodológicas al establecer parcelas permanentes de observación en bosque natural o plantaciones forestales. Revista Forestal Centroamericana 39(40): 6-12.
Lamprecht, H. 1977. Structure and function of South American forests. Biogeographica 8: 1-15.
Lamprecht, H. 1986. Waldbau in den Tropen. Hamburg, Paul Parey. Berlin, Germany. 318 pp.
Lamprecht, H. 1990. Silvicultura en los trópicos: los ecosistemas forestales en los bosques tropicales y sus especies arbóreas, posibilidades y métodos para un aprovechamiento sostenido. Deutsche Gesellschaft fur Technische Zusammenarbeit. Eschborn, Germany. 335 pp.
Leyva-López, J. C., A. Velázquez-Martínez y G. Ángeles-Pérez. 2010. Patrones de diversidad de la regeneración natural en rodales mezclados de pino. Revista Chapingo, Serie Ciencias Forestales y del Ambiente 16(2): 227-239. DOI: https://dx.doi.org/10.5154/r.rchscfa.2010.06.038.
López-Hernández, J. A., Ó. A. Aguirre-Calderón , E. Alanís-Rodríguez, J. C. Monarrez-González, M. A. González-Tagle y J. Jiménez-Pérez. 2017. Composición y diversidad de especies forestales en bosques templados de Puebla, México. Madera y Bosques 23(1): 39-51. DOI: https://doi.org/10.21829/ myb.2017.2311518.
Márquez Linares, M. A., M. S. González-Elizondo y R. Álvarez Zagoya. 1999. Componentes de la diversidad arbórea en bosques de pino encino de Durango, México. Madera y Bosques 5(2): 67-78. DOI: https://doi.org/10.21829/myb.1999.521348.
Moreno, C. E. 2001. Métodos para medir la biodiversidad. M&T-Manuales y Tesis SEA 1. Zaragoza, España. 84 pp.
Mueller, D. y H. Ellenberg. 1974. Aims and methods of vegetation ecology. John Wiley. New York, USA. 547 pp.
Nagel, J. 1994. Structural analyses of the forest reserve Saubrink on the basis of a permanent sample plot data. In: Pinto da Costa, M. E. y T. Preuhsler (eds.). Mixed Stands. Proceedings IUFRO working groups S4.01-03 and S4.01-04. Universidad Técnica de Lisboa. Lisboa, Portugal. Pp. 81-96.
Návar-Cháidez, J. D. J. y M. S. González-Elizondo. 2009. Diversidad, estructura y productividad de bosques templados de Durango, México. Polibotánica 27: 71-87.
Norden, N., R. Chazdon, A. Chao, Y. Jland y B. Vílchez-Alvarado. 2009. Resilience of tropical rain forest: tree community reassembly in secondary forests. Ecology Letters 12(5): 385-394. DOI: https://doi.org/10.1111/j.1461-0248.2009.01292.x.
Olson, D. M., E. Dinerstein, E. D. Wikramanayake, N. D. Burgess, G. V. Powell, E. C. Underwood, J. A. D’amico, I. I. Holly, E. Strand, J. C. Morrison, C. J. Loucks, T. F. Allnutt, T. H. Ricketts, Y. Kura, J. F. Lamoreux, W. W. Wettengel, P. Hedao y K. R. Kassem. 2001. Terrestrial Ecoregions of the World: A New Map of Life on Earth: A new global map of terrestrial ecoregions provides an innovative tool for conserving biodiversity. BioScience 51(11): 933-938. DOI: https://doi.org/10.1641/0006- 3568(2001)051[0933:TEOTWA]2.0.CO;2.
Olvera-Vargas, M. y B. L. Figueroa-Rangel. 2012. Caracterización estructural de bosques montanos dominados por encino en el centro-occidente de México. Ecosistemas 21(1-2): 74-84.
Onaindia, M., I. Domínguez, I. Albizu, C. Garbisu e I. Amezaga. 2004. Vegetation diversity and vertical structure as indicators of forest disturbance. Forest Ecology and Management 195(3): 341-354. DOI: https://doi.org/10.1016/j.foreco.2004.02.059.
Pretzsch, H. 1996. Strukturvielfalt als Ergebnis waldbaulichen Handelns. Allgemeine Forst- Und Jagdzeitung 167(11): 213-221.
Pretzsch, H. 2009. Forest Dynamics, Growth and Yield: from measurement to model. Springer-Verlag Berlin. Heidelberg, Germany. 664 pp. DOI: https://doi.org/10.1007/978-3-540-88307-4.
Richards, P. 1966. The Tropical rain forest, an ecological study. Cambridge University Press. Cambridge, UK. 450 pp.
Romahn, C. F. y H. Ramírez. 2010. Dendrometría. Universidad Autónoma de Chapingo. Chapingo, Texcoco, México. 294 pp.
Rubio Camacho, E. A., M. A. González Tagle, J. Jiménez Pérez, E. Alanís Rodríguez y D. Y. Ávila Flores. 2014. Diversidad y distribución vertical de especies vegetales mediante el índice de Pretzsch. Ciencia UANL 17(65): 34-41.
Ruschel, A., M. Mantovani, M. Sedrez y R. Onofre. 2009. Caracterização e dinâmica de duas fases sucessionais em floresta secundária da Mata Atlântica. Revista Árvore 33(1): 101-115. DOI: https://dx.doi.org/10.1590/S0100-67622009000100011.
Saavedra-Romero, L. L., D. Alvarado-Rosales, P. Hernández de la Rosa, T. Martínez-Trinidad, G. Mora-Aguilera y J. Villa-Castillo. 2016. Condición de copa, indicador de salud en árboles urbanos del Bosque San Juan de Aragón, Ciudad de México. Madera y Bosques 22(2): 15-27. DOI: https://doi.org/10.21829/ myb.2016.2221321.
Sánchez, O. , E. Vega , E. Peters y V. O. Monrroy. 2003. Conservación de ecosistemas templados de montaña en México. Instituto Nacional de Ecología-Secretaría de Medio Ambiente y Recursos Naturales. México, D.F., México. 315 pp.
Silva-Flores, R., G. Pérez-Verdín y C. Wehenkel. 2014. Patterns of tree species diversity in relation to climatic factors on the Sierra Madre Occidental, Mexico. PloS ONE 9(8): e105034. DOI: https://doi.org/10.1371/journal.pone.0105034.
Tamayo, J. L. 1990. Geografía moderna de México. Trillas. México, D. F., México. 512 pp.
TPL. 2013. The Plant List, a working list of all plant species, Version 1.1. http://www.theplantlist.org/ (consultado octubre de 2019).
UPSE 6. 2007. Programa de manejo forestal sustentable 2007- 2016 para el ejido San Esteban y Anexos, Municipio de Pueblo Nuevo, Durango. Unidad de Prestación de Servicios Ejidales 6. El Salto, Durango, México. 146 pp.
Valenzuela-Núñez, L. M. y D. Granados-Sánchez. 2009. Caracterización fisonómica y ordenación de la vegetación en el área de influencia de El Salto, Durango, México. Revista Chapingo, Serie Ciencias Forestales y del Ambiente 15(1): 29-41.
Vargas-Larreta, B. 2013. Presente y Futuro de los Bosques. Sierke Verlag. Göttingen, Alemania. 178 pp.
Villavicencio, G. R., P. B. Petersen, A. G. Rodríguez, A. L. S. Pérez y F. M. H. Martínez. 2005. Caracterización estructural y diversidad de comunidades arbóreas de La Sierra de Quila. Ibugana, Boletín IBUG 13(1): 67-76.
Whittaker, R. H. 1972. Evolution and measurement of species diversity. Taxon 21(2-3): 213-251. DOI: https://doi.org/10.2307/1218190.
Notas
Notas de autor
4 Autor para la correspondencia: eduardoforestal@gmail.com