Artículos de revisión
Cinco especies vegetales antiinflamatorias del Libellus de Medicinalibus Indorum Herbis de México, 1552: Una revisión botánica, química y farmacológica
Five anti-inflammatory plant species of the Libellus de Medicinalibus Indorum Herbis from Mexico, 1552: A botanical, chemical and pharmacological review
Cinco especies vegetales antiinflamatorias del Libellus de Medicinalibus Indorum Herbis de México, 1552: Una revisión botánica, química y farmacológica
Acta Botanica mexicana, no. 130, e2137, 2023
Instituto de Ecología A.C., Centro Regional del Bajío
Received: 28 September 2022
Revised document received: 17 January 2023
Accepted: 17 April 2023
Published: 17 May 2023
Funding
Funding source: UNAM-DGAPA-PAPIIT
Funding source: Consejo Nacional de Ciencia y Tecnología
Contract number: IG200321
Contract number: 706129
Funding statement: UNAM-DGAPA-PAPIIT (Proyecto IG200321) y gracias a una beca del Consejo Nacional de Ciencia y Tecnología (706129)
Resumen
Antecedentes y Objetivos: El Libellus de Medicinalibus Indorum Herbis (Librito de las Hierbas Medicinales de los Indios) incluye 185 plantas bellamente ilustradas, 131 interpretadas a especie. Solo algunas se han investigado respecto a las propiedades que ahí se les atribuyen. Por ello, seleccionamos seis plantas utilizadas como antiinflamatorias. Los objetivos de este trabajo fueron corroborar su identidad botánica y determinar si la información química y farmacológica contemporánea respalda sus antiguas aplicaciones terapéuticas.
Métodos: Para proponer las especies a las cuales posiblemente corresponden las ilustraciones de las plantas elegidas, estas se compararon con especímenes del Herbario MEXU. Se revisó en bases de datos la fitoquímica y actividad antiinflamatoria de dichas especies.
Resultados clave: Las seis plantas seleccionadas del códice corresponden a cinco especies, pues consideramos que las plantas tetzmitl (Folium 13r) y texiyotl (Folium 22v) son la misma especie: Sedum dendroideum. Los extractos de las hojas de S. dendroideum han presentado actividad antiinflamatoria en diferentes modelos farmacológicos debido a derivados del flavonoide kaempferol, lo cual respalda sus antiguas aplicaciones médicas para tratar la cara, ojos y boca hinchados. En el Folium 48v se prescriben tzihuac copalli y tlacoecapatli cuando “se hincha la vena pinchada por la flebotomía”. Concordamos en que son Bursera bipinnata y Litsea glaucescens, respectivamente. A la fecha, no se han investigado sus posibles propiedades antiinflamatorias, pero sí las presentan otras especies relacionadas. El Folium 22v recomienda tememetla y tequixquiçacatl para aliviar la boca inflamada. Corroboramos que son Echeveria gibbiflora y Distichlis spicata, respectivamente. Dichas especies no cuentan con estudios químico-farmacológicos.
Conclusiones: La revisión bibliográfica sugiere que las propiedades antiinflamatorias atribuidas en el Códice para S. dendroideum tienen sustento químico y farmacológico. La información quimiotaxonómica y farmacológica sugiere que B. bipinnata y L. glaucescens podrían presentarlas y deben investigarse experimentalmente. Estas tres especies aún se emplean como antiinflamatorias en la medicina tradicional contemporánea.
Palabras clave: Etnobotánica+ etnomedicina+ farmacología+ fitoquímica+ Nueva España+ siglo XVI.
Abstract
Background and Aims: The Libellus de Medicinalibus Indorum Herbis (Little Book of the Medicinal Herbs of the Indians) includes 185 beautifully illustrated plants, 131 interpreted to species. Only some have been investigated regarding their attributed properties. Therefore, we selected six plants used as anti-inflammatories. The objectives of this work were to corroborate their botanical identity and to determine if contemporary chemical and pharmacological information supports their ancient therapeutic applications.
Methods: The illustrations of the chosen plants were compared with specimens from the MEXU Herbarium to propose their possible taxonomic identity. The phytochemistry and anti-inflammatory activity of these species were reviewed in databases.
Key results: The six plants selected from the Codex correspond to five species, since we consider that tetzmitl (Folium 13r) and texiyotl (Folium 22v) plants are the same species: Sedum dendroideum. Extracts from the leaves of S. dendroideum have shown anti-inflammatory activity in different pharmacological models due to derivatives of the flavonoid kaempferol, which supports its ancient medical applications to treat swollen face, eyes, and mouth. In Folium 48v, tzihuac copalli and tlacoecapatli are prescribed when “the vein punctured by the phlebotomy swells.” We agree they are Bursera bipinnata and Litsea glaucescens, respectively. To date, their possible anti-inflammatory properties have not been investigated, but other related species do present these. The Folium 22v recommends tememetla and tequixquiçacatl to relieve inflamed mouth. We corroborate that they are Echeveria gibbiflora and Distichlis spicata, respectively. These species do not have chemical-pharmacological studies.
Conclusions: The bibliographic review suggests that anti-inflammatory properties attributed to S. dendroideum in the Codex have chemical and pharmacological support. Chemotaxonomic and pharmacological information suggests that B. bipinnata and L. glaucescens could bear these attributes and should be investigated experimentally. These three species are still used as anti-inflammatory in contemporary traditional medicine.
Key words: Century XVI, ethnobotany, ethnomedicine, New Spain, pharmacology, phytochemistry.
Introducción
El Libellus de Medicinalibus Indorum Herbis (Librito de Hierbas Medicinales de los Indios), también conocido como Códice De la Cruz-Badiano, es el primer libro sobre plantas medicinales escrito en el continente americano. El manuscrito fue elaborado en la Nueva España (México) en 1552. Sin embargo, permaneció inédito durante siglos, pues fue descubierto en 1929 e impreso por primera vez en 1939 (de la Cruz 1964, 1991; Kumate Rodríguez, 1992; Turner, 2007; Reyes-Chilpa et al., 2021). Desde la primera edición del Códice por William Gates en 1939, diversos autores han propuesto diversas interpretaciones taxonómicas a las 185 plantas bellamente ilustradas (Gates, 1939, 2000; Emmart, 1940; Recko, 1947; Somolinos, 1984; Miranda González y Valdés Gutiérrez, 1991; Tucker y Janick, 2020), esto con base principalmente en su iconografía, su nombre en náhuatl y fitogeografía. La identidad taxonómica de las plantas del Códice no es unánime, pero en ocasiones existe una alta concordancia entre distintos botánicos. En la revisión más reciente publicada en México en 2013, se proponen a nivel de especie 131 de las 185 plantas dibujadas (Bye y Linares, 2013; Linares y Bye, 2013).
Sin duda, una de las principales interrogantes sobre el Códice es la posible eficacia terapéutica de las plantas ahí dibujadas. Para ofrecer una respuesta con suficiente validez científica, se requiere como primer paso contar con su posible identidad taxonómica. Posteriormente, colectar las especies en el campo y documentar sus aplicaciones etnomédicas contemporáneas, para finalmente proceder a su estudio químico-farmacológico bibliográfico y experimental. De esta forma, puede afirmarse que las propuestas o interpretaciones taxonómicas a las plantas del Códice son fundamentales para su estudio químico y farmacológico. Este camino se facilita cuando las aplicaciones terapéuticas de una especie vegetal se conocen hasta nuestros días; también si sus propiedades medicinales, actividad farmacológica y semiología del padecimiento o enfermedad pueden ser observados claramente (Reyes-Chilpa et al., 2021).
Empero, Xavier Lozoya Legorreta advertía en 1992 un panorama que aún es vigente: “El estudio farmacológico de las plantas descritas en el “Libellus de Medicinalibus Indorum Herbis”, ha sido una tarea esporádica desarrollada en México por muy pocos investigadores y solo en años recientes valorada por la medicina mexicana… durante casi medio siglo se le vio solo como una obra curiosa y de artística presentación; una hermosa muestra de la visión mágica que los representantes de la cultura médica nahoa nos legaron, pero carente de interés científico”. En efecto, existen pocos estudios farmacológicos de este antiguo texto. Posiblemente, porque su investigación se dificulta por los distintos procesos de traducción, primero del náhuatl al latín y posteriormente al inglés o al español, así como por el complejo contexto cultural e histórico en el cual fue escrito (del Pozo, 1964; Lozoya Legorreta, 1992; Béjar et al., 2000). El Códice parece, a la vista de muchos científicos, principalmente como un producto del pensamiento mágico; sin embargo, se ha señalado que también contiene en buena medida conocimiento empírico adquirido por ensayo y error, lo cual permite plantear hipótesis susceptibles de ser examinadas mediante la revisión de la literatura química-farmacológica, experimentalmente e incluso mediante estudios clínicos (Reyes-Chilpa et al., 2021).
Un ejemplo son las hojas del árbol frutal xacocotl (Psidium guajava L., Myrtaceae) que forman parte de una receta para tratar la disentería que aparece en el Folium 31r. Inicialmente se demostró el efecto de los extractos metanólicos de las hojas sobre la motilidad intestinal in vitro en cobayo (Lozoya Legorreta, 1992). Posteriormente, se realizaron estudios clínicos con un fitomedicamento elaborado con un extracto de las hojas inhibiendo los espasmos y la motilidad intestinal debido a la presencia de cinco derivados glicosilados de la quercetina (Lozoya Legorreta et al., 2002; Rivera-Arce, et al., 2003). Este fitomedicamento actualmente lo elabora y comercializa una compañía farmacéutica nacional. Otros estudios farmacológicos de las plantas del Códice han empleado especies no humanas, como ratas y ratones, es decir “modelos animales”. Un ejemplo es la hierba huitzquilitl (Folium 41r, Cirsium ehrenbergii Sch.Bip., Asteraceae) recomendada en el Códice para el tratamiento de la “sangre negra” (depresión), de la que se identificó un flavonoide como principio activo (Guzmán-Gutiérrez et al., 2023). Por otro lado, los estudios químicos experimentales también aportan información relevante. Este es el caso de la hierba huetzcanixochitl (Zephyranthes fosteri Traub, Amaryllidaceae) dibujada en el Folium 38r, la cual contiene alcaloides tipo mesembrano, lo cual apoya su posible uso como estimulante (Centeno-Betanzos et al., 2021).
También es posible correlacionar las propiedades medicinales mencionadas en el Códice y otras fuentes etnobotánicas del siglo XVI, con la información bibliográfica química y farmacológica disponible actualmente para las especies interpretadas. Ejemplos de este enfoque son los trabajos de Domínguez (1969), Ortiz de Montellano (1975), Ríos-Castillo et al. (2012), Béjar et al. (2000) y Reyes-Chilpa et al. (2021). Dichos estudios son la base para subsecuentes investigaciones experimentales, pero no los remplazan. Siguiendo dicho enfoque, en este trabajo, investigamos tres recetas del Códice (Fig. 1) empleadas para el tratamiento de “hinchazón” de ojos, boca y vena, es decir signos clínicos de procesos inflamatorios claramente observables. A saber:

Folium 13r. Oculi tumescentes. Tetzmitl, Tequixquiçacatl (Ojos hinchados, Sedum dendroideum DC., Distichlis spicata L. (Greene)).
Folium 22v. Contra buccam tumescentem. Tememetla, Texiyotl. (Para la boca hinchada, Echeveria gibbiflora DC., Sedum praealtum a. DC.).
Folium 48v. Quando vena obtussa iam tumescit. Tzihuac copalli, Tlacoecapahtli. (Cuando se hincha la vena pinchada, Bursera bipinnata Engl., Litsea glaucescens Kunth).
Las interpretaciones botánicas arriba citadas fueron tomadas de Bye y Linares (2013) y Linares y Bye (2013) y se revisaron. Los objetivos de este estudio son: 1) corroborar la identidad taxonómica de las plantas seleccionadas presentando una breve descripción morfológica, así como su distribución geográfica en México, y 2) determinar si estas especies poseen compuestos químicos con actividad antiinflamatoria que sustenten las aplicaciones terapéuticas mencionadas en el Códice.
Materiales y Métodos
Para corroborar la identidad taxonómica de las plantas seleccionadas del Códice se revisaron las propuestas de Bye y Linares (2013) y Linares y Bye (2013), y se confrontaron las ilustraciones con ejemplares botánicos depositados en el Herbario Nacional de México (MEXU) a través del sitio web IBdata (2020). Los datos de distribución espacial de cada especie en México se consultaron en el portal Global Biodiversity Information Facility (GBIF, 2020a, b, c, d, e) y la capa de División Política Estatal 1:1,000,000 (CONABIO, 2005). Los mapas de distribución se generaron con el programa QGIS® v. 3.18 (QGIS Development Team, 2023), considerando exclusivamente los datos de ejemplares georreferenciados; es decir, son mapas parciales.
La información sobre la actividad antiinflamatoria reportada para cada una de las especies se buscó bibliográficamente en línea, a través de las bases de datos Dictionary of Natural Products (DNP, 2022), Science Direct (2020) y Scopus (2020). Los términos de búsqueda fueron “anti-inflamatory activity”, “inhibition of COX-2, IL, or TNF-a”, e “inhibition of edema”, seguido del nombre de la especie y, de existir evidencia experimental, se identificaron los compuestos asociados. La Figura 2 se adaptó de la plantilla “Neutrophil Recluitment Pathway” de BioRender Team (2022), mientras que las estructuras químicas se elaboraron con Chemdraw Professional v. 17.0 (Chemdraw Professional, 2022).

Resultados
Propuestas taxonómicas y distribución geográfica
En el Libellus de Medicinalibus Indorum Herbis se dibujaron seis plantas en los Folia 13r, 22v y 48v que se empleaban en el tratamiento de la “hinchazón” de ojos, boca y vena, respectivamente. Las seis plantas seleccionadas del códice corresponden a cinco especies, pues consideramos que las hierbas tetzmitl y texiyotl representadas en los Folia 13r y 22v, respectivamente, son la misma especie: Sedum dendroideum. Salvo esta excepción, nuestras interpretaciones taxonómicas concuerdan con las previamente propuestas por Valdés Gutiérrez et al. (1992), Bye y Linares (2013) y Linares y Bye (2013). En cuanto a las plantas tetzmitl y tequixquiçacatl ambas ilustradas en el Folium 13r consideramos que corresponden a Sedum dendroideum y Distichlis spicata, respectivamente. Respecto a tememetla ilustrada en el Folium 22v, esta es Echeveria gibbiflora. Finalmente, los árboles tzihuac copalli y tlacoecapahtli dibujados en el Folium 48v equivalen a Bursera bipinnata y Litsea glaucescens, respectivamente.
El Libellus de Medicinalibus Indorum Herbis y la Inflamación
Varias recetas del Libellus de Medicinalibus Indorum Herbis mencionan los términos “se hincha”, “hinchado(a)” e “hinchazón”. Estos términos sugieren “edema”, el cual es uno de los cinco signos cardinales de la inflamación, junto con calor, dolor, eritema (enrojecimiento) y pérdida de función. Adicionalmente, el paciente puede referir síntomas sobre su malestar (Berrios y Fuentenebro de Diego, 1996; Radostits et al., 2001; Kasper et al., 2015). Los signos o hallazgos clínicos son anomalías que un profesional de la salud encuentra con base en la observación y/o análisis de laboratorio e imagenología en un paciente. Los síntomas son solo perceptibles por el paciente (Berrios y Fuentenebro de Diego, 1996; Radostits et al., 2001).
Se investigaron tres prescripciones del Códice anotadas en los Folium 13r, 22v y 48v empleadas para el tratamiento de la “hinchazón” de “ojos”, “boca”, y de la “vena pinchada”, respectivamente. Las causas pueden ser físicas, pero no se pueden descartar agentes biológicos, tales como infecciones bacterianas, virales, fúngicas, o alergias. Desde la perspectiva de la semiología médica contemporánea dichas recetas incluyen como signo clínico “inflamación”.
La inflamación actualmente se describe como una respuesta fisiológica al daño tisular dado por agresiones físicas, químicas o biológicas, desencadenando fenómenos moleculares, celulares y vasculares que conducen a los cinco signos característicos ya mencionados. Una reacción inflamatoria localizada incluye la vasodilatación donde el aumento del volumen de la sangre y reducción del flujo ocasiona el rubor y el calor de la zona. En ocasiones, el líquido intersticial o vascular (contiene agua y múltiples sales, pero no células ni proteínas) se acumula en el tejido desarrollando el edema (Bordés González et al., 1994; Kindt et al., 2007).
La inflamación en etapas tempranas (fase aguda) transcurre de minutos a horas, en la cual se alteran varias proteínas plasmáticas para contrarrestar el daño. La fase aguda se caracteriza por la inducción del aumento de la temperatura corporal lo que inhibe el desarrollo de diversos agentes patógenos (Kindt et al., 2007). Los neutrófilos predominan en las etapas iniciales de la inflamación. Estos son atraídos al tejido dañado por substancias quimioatrayentes que permiten su adhesión al endotelio y posteriormente su migración trans-endotelial, en donde liberan sus gránulos con proteasas, fosfolipasas, elastasas y colagenasas para eliminar a los agentes patogénicos (Fig. 2). Otras células que llegan al tejido dañado son los macrófagos. Este tipo de células se caracterizan por la producción de citocinas, la cual depende de diferentes vías de señalización intracelular activadas por especies reactivas de oxígeno (ROS) o nitrógeno, como óxido nítrico (NO) mediante la óxido nítrico sintetasa inducible (iNOS) (Fiella et al., 2002; Eriksson et al., 2003; Fang et al., 2007; Kindt et al., 2007; Rang et al., 2015).
Estas cascadas de señalización de la fase aguda de la inflamación se desarrollan tanto en infecciones bacterianas y virales, como por daño físico, ya que no son respuestas específicas. Sin embargo, en la inflamación alérgica que se desarrolla en personas sensibles a factores biológicos, físicos o químicos (hipersensibilidad tipo 1 o inmediata) se requiere una exposición previa para desarrollar la presencia de linfocitos B. Estos son capaces de reconocer sustancias extrañas (antígenos) y secretar la inmunoglobulina E (IgE) que se encuentra preformada en las células plasmáticas (González Ortíz, 2014).
Recetas y especies estudiadas
A continuación, se presentan las tres recetas estudiadas. Inicialmente se presenta su redacción original en latín que incluye el Folium en que aparecen, el padecimiento y las plantas empleadas. Se prosigue con la traducción de cada receta del latín al español, las cuales fueron tomada de Garibay (1991), experto en latín y náhuatl. La “aproximación-interpretación clínica” de estas afecciones, signos de inflamación señaladas en el Códice fue realizada por algunos de los autores, con base en la literatura y experiencia médicas, considerando los signos descritos para algunas enfermedades comunes reconocidas por la medicina alopática.
Folium 13r. Oculi tumescentes. Tetzmitl, Tequixquiçacatl.
Folio 13r. Ojos hinchados. Sedum dendroideum, Distichlis spicata
“Cuando se hinchan los ojos y se abochorna la cara por el calor, sirve de preventivo y de curación esta mezcla: tallos de tetzmitl y tequixquiçacatl, y una piedrita, blanca, o purpurina, que se halla en el buche de la golondrina, todo ello bien molido en sangre de la misma ave” (Garibay, 1991).
La interpretación médica contemporánea del padecimiento descrito sugiere que se trata de “blefaritis”, que es una inflamación conjuntival del borde del parpado producida por infección bacteriana (Giménez Serrano, 2005). Sin embargo, no se puede descartar conjuntivitis (ojos rojos), “erisipela” y “celulitis facial” u otras entidades clínicas (Fica, 2003; Giménez Serrano, 2005; Ciufo, 2018).
Los nombres de las plantas tetzmitl y tequixquiçacatl fueron traducidos como “de flechas duras” y “grama de hojas salitrosas”, respectivamente (Garibay, 1991). Previamente se han interpretado dichas plantas como Sedum dendroideum (Crassulaceae) y Distichlis spicata (Poaceae), respectivamente (Figs. 1A, 1C) (Valdés Gutiérrez et al., 1992; Bye y Linares, 2013). Sedum dendroideum es una planta suculenta, comúnmente cultivada como ornamental y medicinal por la población campesina y urbana en todo el país. Distichlis spicata es una gramínea silvestre que crece en el suelo salino en los lagos orientales de la Cuenca de México. Actualmente es conocida como “zacate salado” (Martínez y Martínez, 1987), precisamente por acumular sales. De hecho, la palabra náhuatl çacatl o zacatl se castellanizó a “zacate”; hoy día es un término usual entre los campesinos para referirse al “pasto o grama” (Montemayor, 2007). La receta incluye un par de ingredientes inusuales en la actualidad, pero comunes en la medicina europea del siglo XVI: “piedra bezoar”, en este caso de “golondrina” y “sangre de golondrina”. Estos elementos seguramente provienen del pensamiento mágico (Llamas Camacho y Ariza Calderón, 2019).
Folium 22v. Contra buccam tumescentem. Tememetla, Texiyotl.
Folio 22v. Para la boca hinchada. Echeveria gibbiflora, Sedum dendroideum
“Para curar la boca inflamada tómese un líquido que consiste en agua de hojas molidas de tememetla, meollo de texiyotl y tierra blanca. Este líquido es amargo. También se le agregan gotas de goma viscosa que exuda una planta y que llamamos nocheztli. Cuando no se puede abrir bien la boca, es provechoso tomar en agua tibia la raíz molida de la hierba de tlatlacotic. Si bebe esto vomitará inmediatamente, con lo que desechará las flemas y podrá abrir la boca” (Garibay, 1991).
Este padecimiento fue interpretado por el médico otorrinolaringólogo Márquez (1977), como “absceso periamigdalino”, el cual se caracteriza por la dificultad para abrir la boca por presentar inflamación, fiebre y pus (Campagne, et al., 2016; Guerrero Aguilar, 2018). Sin embargo, por la falta de información clínica, la interpretación es imprecisa y podría también referirse a otros procesos de tipo alérgico debidos a la ingestión de algún alimento o incluso a una infección de Herpes simplex tipo 1, el cual causa lesiones orales y faciales que pueden dar lugar a una dermatitis atópica diseminada en todo el cuerpo y además de afectar otros órganos (Bussmann et al., 2008; González Ortíz, 2014).
En este folio solo se dibujaron las plantas texiyotl y tememetla.Garibay (1991) tradujo la primera como “magueycillos de las piedras” y la segunda como “costra dura” o “costra de piedra”. Valdés Gutiérrez et al. (1992) indican que texiyotl es Sedum praealtum subsp. parviflorum (R.T. Clausen) R.T. Clausen (Crassulaceae) por presentar flores rojizas en la base y amarillas en el ápice de la inflorescencia, mientras que tememetla es Echeveria gibbiflora (Crassulaceae). Bye y Linares (2013) las identifican como Sedum praealtum (Crassulaceae) y Echeveria gibbiflora respectivamente (Figs. 1G, I). Ambas especies crecen sobre lava volcánica solidificada al sur de la Cuenca de México, de ahí posiblemente las referencias a “piedra”.
En nuestra opinión la ilustración del texiyotl del Folio 22v representa a S. dendroideum, pues en las ilustraciones del Códice se observan plantas con hojas pecioladas, espatuladas u obovadas. Ambas características son distintivas de S. dendroideum y se emplean para diferenciarla de S. praealtum (Pérez-Calix, 2008; Davidse et al., 2015). Al revisar los nombres científicos también detectamos que S. praealtum subsp. parvifolium es considerada un sinónimo de Sedum dendroideum subsp. parvifolium (R.T. Clausen) R.T. Clausen (IPNI, 2021).
La terra alba (“tierra blanca”) probablemente corresponde al tequixquitl (tetl: piedra; quixquitl: brotante) castellanizado a “tequesquite”. Esta sal blanquecina aflora en los suelos cuando se evapora el agua de los lagos salobres y someros de la Cuenca de México. En la época prehispánica, y aún actualmente, se emplea para la preparación de alimentos, pero también para aliviar problemas estomacales y como detergente. Está compuesta por NaCl, mineral trona Na2CO3 NaHCO3 2H2O, K2SO4 y KCl (Flores-Hernández y Martínez-Jerónimo, 2016).
La receta sugiere que el nocheztli es la goma que exudan algunas especies de “nopal” (Opuntia spp., Cactaceae) al sufrir un daño físico. Sin embargo, el término nocheztli se empleaba en la época prehispánica para nombrar insectos del género Dactylopius Costa (1835), cuya linfa posee un intenso color rojo o carmín. Dichos insectos parasitan muchas cactáceas comestibles nombradas “nopal” (Reyes-Chilpa, 1980a, b; del Campo, 1957). Etimológicamente nocheztli proviene de nochtli (nopal = Opuntia spp.) y eztli (sangre) (Simeón, 1981). Hoy día, dichos insectos se conocen como “grana cochinilla” y continúan empleándose, como hace siglos, para obtener un colorante rojo que en la época colonial fue una de las principales exportaciones de la Nueva España. Otra hierba mencionada, pero no dibujada, es tlatlacotic que corresponde a Bidens odorata Cav. (Asteraceae) (Bye y Linares, 2013). La ilustración del tlatlacotic aparece en el Folium 27r donde se menciona que es útil para inducir el vómito.
Folium 48v. Quando vena obtussa iam tumescit. Tzihuac copalli, Tlacoecapahtli.
Folio 48v. Cuando se hincha la vena pinchada. Bursera bipinnata, Litsea glaucescens
“Si sucede que la vena se hincha por la flebotomía, se muelen y se cuecen en agua brotes de tzihuac copalli y tlacoehecapatli y tetzmitl; raíz de la hierba tlanenpopoloa, hojas de la hierba cuauhiyauhtli, y ahuiyac tlatlancuaye y hierba coyoxihuitl y se agrega yema de huevo. Luego todo se junta con agua que huele a incienso y con ese jugo se unta la vena” (Garibay, 1991).
La frase “se hincha la vena pinchada” podría interpretarse actualmente como “flebitis”, la cual se caracteriza por la inflamación de la pared venosa y tejido circundante, y por la formación de un coágulo (Rosenthal, 2007; Brenes Artavia, 2019). El Códice indica que la flebitis se originó por iatrogenia (error médico), en este caso por impericia de un “flebotomista” virreinal. Es decir, un experto en “flebotomía: arte de sangrar, abrir o sangrar una vena” (RAE, 2022). Esta receta pone de manifiesto que el Códice incorpora elementos de la medicina europea del siglo XVI (Schendel, 1980). Sin embargo, en la época prehispánica también se utilizaban espinas de “maguey” (Agave salmiana Otto ex Salm-Dyck, Agavaceae) o navajas de obsidiana para abrir las venas, tanto con fines rituales, como para reducir la inflamación (Schendel, 1980).
Solo las plantas tzihuac copalli y tlacoecapatli fueron dibujadas en este folio, por lo cual podrían considerarse las más importantes de la larga lista. Estas han sido interpretadas por Linares y Bye (2013) como Bursera bipinnata (Burseraceae) y Litsea glaucescens (Lauraceae), respectivamente (Figs. 1D, F). La planta tetzmitl está dibujada y mencionada en una receta anterior (Folium 13r) y corresponde a Sedum dendroideum.
Conocimiento actual de las especies interpretadas
En esta sección se presenta la descripción botánica, etnobotánica, distribución geográfica, así como su composición química y estudios farmacológicos de las cinco especies vegetales que corroboramos del Libellus de Medicinalibus Indorum Herbis y anotadas como útiles en el tratamiento de procesos inflamatorios.
Sedum dendroideum
Arbusto o sufrutíce, 0.3-2 m de alto; hojas alternas, dispuestas en espiral, enteras, obovadas o espatuladas, 2.3-4.5 cm de largo, 1.2-2.1 cm de ancho, margen entero con glándulas rojas o verdes, translucidas, haz y envés glabro; inflorescencias paniculadas, terminales; flores amarillas hermafroditas, actinomorfas, sésiles o cortamente pediceladas; fruto un folículo.
Se distribuye de México a Centroamérica. En México, se encuentra en los estados de Chiapas, Estado de México, Hidalgo, Michoacán, Nayarit, Oaxaca, Puebla, Querétaro, Tlaxcala y Veracruz (Fig. 3). En condiciones naturales se encuentra en laderas rocosas en el bosque tropical caducifolio, en elevaciones de entre 1800 y 2100 m, florece de invierno a primavera, pero ha sido propagada y semidomesticada (Pérez-Calix, 2008). En México tiene usos ornamentales y medicinales, por lo que frecuentemente es cultivada. Es conocida popularmente como “siempreviva” o “siempreviva amarilla” (Argueta Villamar et al., 1994; Pérez-Calix, 2008). Empero aún es conocida en ciertas localidades como tetzmitl, nombre náhuatl con el que se le designa en el Códice, así como tetzmitic, texiotl, lipacum-mauai y texiote (Díaz, 1976; Martínez y Martínez, 1987; García Regalado, 2015).

Actualmente, el jugo de las hojas de S. dendroideum se emplea en el tratamiento de problemas oftálmicos (Argueta Villamar et al., 1994; González González, 2016), lo cual tiene relación con sus antiguas aplicaciones en el Códice (Folium 13r). Las hojas de Sedum praealtum también se aplican para el tratamiento de ojos irritados, para desinflamar las “anginas”, para “lavar encías”, aliviar el “dolor de muelas”, para tratar las quemaduras, contra el “escorbuto”, “estómago irritado” y para tratar los riñones (Argueta Villamar et al., 1994; Bye y Linares, 2013; Ciufo, 2018; Díaz, 1976; Martínez y Martínez, 1987; García Regalado, 2015). En Brasil, S. dendroideum se conoce como “bálsamo”; el jugo fresco de sus hojas se emplea en el tratamiento de úlceras, problemas inflamatorios, heridas y como anticonceptivo (de Melo et al., 2005; 2009).
Se han comprobado las propiedades antiinflamatorias in vivo del extracto acuoso liofilizado de las hojas de Sedum dendroideum, así como su efecto contra el dolor (antinocicepción), edema y migración celular, manifestaciones características de la inflamación (de Melo et al., 2005; 2009). En un primer estudio, se evaluó la actividad antinociceptiva del liofilizado del jugo fresco de las hojas por vía oral (v.o.) en ratones, utilizando tres modelos animales (de Melo et al., 2005). En el primero, se midió el número de estiramientos abdominales del ratón posteriormente a la administración intraperitoneal (i.p.) de una solución de ácido acético (1.2%). La concentración inhibitoria media (CI50) del liofilizado fue de 631 mg/kg. Como fármaco de referencia se empleó la indometacina, pero no se calculó la CI50. En el segundo modelo se observó que el liofilizado administrado por v.o. (1 g/kg) inhibió en 66% el edema en oreja de ratón inducido mediante la aplicación tópica de aceite de crotón, mientras que la indometacina (10 mg/kg) lo inhibió en 42.3%. En el tercer modelo se inyectó formalina en la pata del ratón, el liofilizado inhibió en 46.5% el lamido, mientras que la indometacina (10 mg/kg, v.o.) mostró una inhibición de 62.8%.
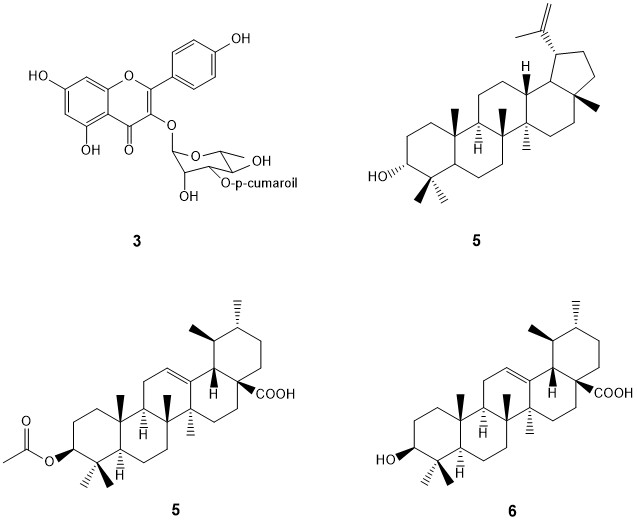
De Melo et al. (2009) posteriormente aislaron e identificaron los posibles compuestos activos de este liofilizado, obteniendo siete derivados del flavonoide kaempferol; cuatro de ellos fueron evaluados por vía oral en dos de los modelos antes mencionados. En el modelo antinociceptivo de estiramiento abdominal en ratón inducido por ácido acético la inhibición de los compuestos (10 mg/kg) fue de 25.7 al 60.2%. El compuesto 1 fue el más activo (Fig. 4), mientras que la indometacina (29.95 mg/kg) mostró inhibición de 58%. En el segundo modelo se observó que los flavonoides (10 mg/kg) inhibieron en 33.3-46.5% el edema de oreja de ratón inducido mediante la aplicación tópica de aceite de crotón. El compuesto 2 fue el más activo (Fig. 4), mientras que la dexametasona (2 mg/kg) usada como control positivo la inhibió en 83.7%. Adicionalmente, estos autores utilizaron el modelo de periodontitis (inflamación de las encías) inducida por carragenina. En este, se observó que el rango de inhibición de la migración de leucocitos fue del rango de 42.9 a 50.4%. El más activo fue el compuesto 1, mientras que la dexametasona la inhibió en 66.1% (2 mg/kg). Cabe señalar que la dexametasona es un potente fármaco antiinflamatorio de tipo esteroidal. La migración de leucocitos es una respuesta a la inflamación producida por agentes patógenos (Rang et al., 2015).

Distichlis spicata
Herbácea, 0.2-0.6 m de alto; hojas dísticas, enteras, lineares, 1-10 cm de largo, 0.5-3 cm de ancho, margen revoluto, haz glabro a piloso, envés glabro; inflorescencias en panículas, terminales; flores unisexuales, zigomorfas, sésiles, pardo-verdosas; fruto una cariopsis.
Se distribuye a lo largo de las costas y cuencas interiores de América. En México se conoce en los estados de Baja California, Baja California Sur, Campeche, Chiapas, Chihuahua, Ciudad de México, Coahuila, Durango, Estado de México, Guanajuato, Guerrero, Hidalgo, Jalisco, Michoacán, Morelos, Nuevo León, Oaxaca, Puebla, Quintana Roo, San Luis Potosí, Sinaloa, Sonora, Tabasco, Tamaulipas, Tlaxcala, Veracruz, Yucatán y Zacatecas (Fig. 5). Se encuentra en lagunas y pastizales salinos, así como en zonas salinas perturbadas, en elevaciones de 1300 a 2250 m, florece durante todo el año (McVaugh, 1983; Calderón de Rzedowski y Rzedowski, 2005). Se le conoce comúnmente como “zacate salado, huizapol, huizapole y zacahuistle” (Martínez y Martínez, 1987).

De acuerdo con la revisión efectuada no se cuenta con información química ni farmacológica para esta especie. Sin embargo, se ha determinado su calidad nutricional como forraje, pues se emplea en la alimentación del ganado ovino y vacuno (Soriano Torres et al., 1995; Escobar-Hernández et al., 2005).
Echeveria gibbiflora
Herbácea, 1-2 m de alto, incluyendo la inflorescencia; hojas dispuestas en espiral, formando una roseta, enteras, obovado-espatuladas, 12-30 cm de largo, 7-15 cm de ancho, margen entero a ondulado, en ocasiones de color rojo, haz y envés glabro; inflorescencias paniculadas, laterales; flores hermafroditas, actinomorfas, pediceladas, rojo-amarillentas; fruto un folículo (Pérez-Calix, 2008).
Es nativa de México; se conoce de la Ciudad de México, Estado de México, Guerrero, Michoacán, Morelos, Oaxaca y Puebla (Fig. 6), aunque también ha sido reportada en Sudamérica (Calderón de Rzedowski y Rzedowski, 2005). Se encuentran en taludes de bosques de encino, bosques de Juniperus L. y bosques mixtos de pino-encino, en elevaciones de 2300 a 2350 m, florece de octubre a enero. Actualmente es conocida como “metate de piedra” (Díaz, 1976), “lengua de vaca” (Arias Toledo et al., 2000) y “oreja de burro” (Pérez-Calix, 2008). Es utilizada en el estado de Guerrero para tratar la diarrea y en Michoacán para tratar el acné y el herpes simple (López-Austin, 1969; Martínez y Martínez, 1987; López-Angulo et al., 2016).

A la fecha no se han realizado estudios antiinflamatorios de E. gibbiflora. Sin embargo, diversos extractos pueden disminuir los ROS y con ello las vías de señalización inflamatorias (Díaz Escobar, 2017). El extracto de metanol de E. gibbiflora resultó rico en fenoles por el método Folin-Ciocalteu y presentó actividad antioxidante en el modelo de DPPH (2,2-difenil-1-picrilhidracilo) (Díaz Escobar, 2017). El extracto de acetona mostró propiedades similares (Díaz Escobar, 2017). Por otra parte, los extractos orgánicos de la especie relacionada Echeveria leucotricha J.A. Purpus no mostraron actividad en un modelo in vitro que cuantifica la secreción de la interleucina 6 proinflamatoria en macrófagos THP-1 (Martínez Ruíz et al., 2013).
Bursera bipinnata
Árbol o arbusto, 6-12 m de alto, corteza gris a gris-rojiza, no exfoliante; hojas alternas, generalmente bipinnadas, en ocasiones pinnadas o tripinnadas, 2.5-10 cm de largo, 1-6.5 cm de ancho, regularmente con 3-4 pares de pinnas, cada pinna con 4-9 pares de foliolos, margen de los foliolos entero a trilobado, haz glabrescente, envés pubérulo o viloso a glabrescente; inflorescencias racimosas a paniculiformes, axilares; flores unisexuales, actinomorfas, pediceladas, blanquecino-amarillentas a amarillo-verdosos; fruto drupáceo.
Se distribuye de México a Centroamérica. En México se conoce de los estados de Aguascalientes, Chiapas, Chihuahua, Durango, Estado de México, Guanajuato, Guerrero, Jalisco, Michoacán, Morelos, Nayarit, Oaxaca, Puebla, San Luis Potosí, Sinaloa, Sonora y Veracruz (Fig. 7). Es un elemento común del bosque tropical caducifolio y de la transición entre este tipo de vegetación y el bosque de encino, además de la vegetación secundaria derivada del bosque de encino, en elevaciones de 1650 a 2200 m, floreciendo de mayo a junio (Rzedowski y Guevara-Féfer, 1992; Medina-Lemos, 2008).

Es conocida como “copal”, “copal amargo”, “copal chino”, “copal negro”, “copal virgen”, “copalillo”, tetlate, “copal colorado”, tecopalquahuitl pitzahoac (Díaz, 1976), “copal cimarrón”, “copal santo”, “cuajilote colorado”, “incienso”, “jaboncillo”, palopal, perlate, tetlate, tetlatián, tetrati y “torote blanco”(Martínez y Martínez, 1987; Rzedowski y Guevara-Féfer, 1992; Medina-Lemos, 2008). Es una especie ampliamente utilizada desde la época prehispánica para obtener una resina aromática llamada “copal” que se quema en rituales y ceremonias para obtener humo aromático; actualmente se usa para tratar enfermedades respiratorias y musculares-óseas (Rzedowski y Guevara-Féfer, 1992; Case et al., 2003; Cruz León et al., 2006; Orta Amaro, 2007).
Los estudios de B. bipinnata se restringen al perfil químico de sus hojas. Se ha encontrado que el extracto H2O-MeOH (2:8) contiene flavonoides mediante los reactivos de ácido 2-amino-etil éster difenilbórico 1% m/v en metanol (RPN) y polietilenglicol 4000 (PEG) al 5% en metanol, pero no se identificaron. Este extracto presentó actividad antioxidante en el modelo de DPPH a 10 ppm (Guevara-Fefer, 2017).
Sin embargo, se ha estudiado la actividad antiinflamatoria en especies relacionadas taxonómicamente. El aceite esencial (0.31 mg/oreja) de la corteza de B. submoniliformis Engl., B. grandifolia Engl., B. aptera Ramirez y B. lancifolia Engl. causó una disminución de la inflamación de 0, 2.0, 10.0 y 16.6%, respectivamente, en el modelo de oreja de ratón con TPA. En contraste, la indometacina la inhibió en 31.4% con la misma concentración y vía (Zuñiga et al., 2005).
Los estudios más completos se han realizado con B. copallifera (Sessé & Moc.) Bullock (Columba-Palomares et al., 2015, 2018; Romero-Estrada, 2016). Esta especie recibe usos similares y comparte distribución con B. bipinnata (Medina-Lemos, 2008). Columba-Palomares et al. (2015) investigaron los extractos hidroalcohólicos y de diclorometano de las semillas y hojas de B. copallifera, encontrando que inhiben la respuesta inflamatoria en 54.3% (0.5 mg/oreja) y en 55.4% (0.1 mg/oreja), respectivamente, en el modelo de inflamación de oreja de ratón por TPA. La indometacina mostró inhibición de 77.8% (0.1 mg/oreja). Se puede concluir que el efecto de los extractos es menor al del fármaco de referencia; sin embargo, los extractos son mezclas complejas, por lo que la comparación con una substancia pura no es directa. Previamente se mencionó (Fig. 2) que la cicloxigenasa 2 (COX-2) regula la síntesis de mediadores proinflamatorios, como prostaglandinas, interleucinas y TNFα (Rang et al., 2015). El extracto hidroalcohólico de las semillas de B. copallifera inhibió in vitro la COX-2 con una CI50=19.9 μg/ml, siendo más efectiva que el control positivo (indometacina) que presentó una CI50= 33.1 μg/ml; sin embargo, no aislaron los principios activos. El extracto de diclorometano de las hojas presentó una CI50=47.8 μg/ml (Columba-Palomares et al., 2015).
Posteriormente, Columba-Palomares et al. (2018) realizaron un estudio químico biodirigido del extracto de diclorometano de las hojas de B. copallifera en el modelo de TPA, logrando identificar cinco compuestos, tres de ellos triterpenos (α-amina, 3-epi-lupeol y estigmasterol), y dos acil-glucosil-flavonas. Estas fueron aisladas y evaluadas puras a 0.1 mg/oreja, pero solo el compuesto luteolin-3'-O-(3''-O-E-p-coumaroil)-α-L-ramnopiranosido (3, Fig. 8) presentó actividad inhibitoria de 10.5%. Esta actividad fue menor que la obtenida con indometacina, la cual inhibió en 77.8% a la misma concentración. Estos autores propusieron con base en la literatura que los triterpenos también son responsables de la actividad antiinflamatoria del extracto, pero no lo demostraron experimentalmente.

Romero-Estrada et al. (2016) estudiaron el extracto de diclorometano de la resina de B. copallifera, observando actividad antiinflamatoria en ratón con el modelo de TPA con una CI50 =0.70 mg/oreja. Se aislaron seis triterpenos derivados del lupeol y amirina, los cuales presentaron actividad antiinflamatoria con un rango de inhibición de CI50 de 0.83 a >2.34 µmol/oreja. El 3-epilupeol (4) fue el compuesto más abundante (59.75%) y el que presentó la mayor actividad con una CI50= 0.83 µmol/oreja; sin embargo, fue menos efectivo que la indometacina que presentó una CI50 = 0.63 µmol/oreja. Estos autores también estudiaron los seis triterpenos en el modelo de inhibición de COX-2 in vitro, pero solo el 3-epilupeol acetato y la α-amirina acetato (5) inhibieron esta enzima con una CI50 de 73.28% y 62.85%, respectivamente; mientras que el compuesto de referencia (COX-2 DuP-697) la inhibió más de 90% a una concentración de 3 μM. Los seis triterpenos también se evaluaron en un modelo de inhibición de óxido nítrico en macrófagos RAW264.7, resultando efectivos en un rango de CI50 8.98 a 43.31 µM, mientras que la indometacina mostró una CI50=54.69 µM. El más activo fue el 3-epilupeol (4) seguido de la α-amirina (6) (Romero-Estrada et al., 2016).
Litsea glaucescens
Árbol o arbusto, 0.5-10 m de alto, corteza pardo-oscuro o amarillo-verdosa, no exfoliante; hojas alternas, enteras, lanceoladas, ovadas o elípticas, 3.5-10 cm de largo, 1.5-5 cm de ancho, margen entero en ocasiones engrosado, haz glabro a ligeramente pubescente, envés glabro a pubescente, en ocasiones tomentoso; inflorescencias en umbelas, axilares; flores unisexuales, actinomorfas, pediceladas, amarillas; fruto drupáceo.
Se distribuye de México a Centroamérica. En México se conoce de los estados de Chiapas, Chihuahua, Coahuila, Estado de México, Guanajuato, Guerrero, Hidalgo, Jalisco, Michoacán, Nayarit, Nuevo León, Oaxaca, Puebla, Querétaro, San Luis Potosí, Sinaloa, Tamaulipas, Veracruz y Zacatecas (Fig. 9). Es un elemento común del bosque de encino, bosque mesófilo de montaña y bosque de pino, en elevaciones de 800 a 2500 m, floreciendo de febrero a mayo (Lorea-Hernández y Jiménez-Pérez, 2010).

Es conocido como “laurel”, zin-uch, sufracalla (Díaz, 1976), cu-jue-e, lipa-cujue, “laurel de la sierra” e izitzuch (Martínez y Martínez, 1987). Las hojas son utilizadas como condimento y para tratar diferentes afecciones, por ejemplo, para ayudar a la recuperación posparto, “antiespasmódica”, “congestión del pecho”, “escalofríos”, “tos”, “problemas de garganta” y “gastrointestinales”. La corteza ayuda a prevenir a “hemorragia posparto”, “infertilidad” y “dismenorrea”. Las ramas se usan para tratar infecciones y el aceite se utiliza para tratar la inflamación y “cólicos” (Martínez y Martínez, 1987, 1996; Cruz y Cáceres, 2011). Una infusión de las hojas junto con otras plantas medicinales también se emplea para el tratamiento de la “tristeza” y “nervios” (Lozano-Mascarua, 1996), que pueden interpretarse como depresión y ansiedad (Guzmán-Gutiérrez et al., 2014).
La actividad antiinflamatoria de Litsea glaucescens no se ha estudiado, pero sí su composición química. Del extracto etanólico de la corteza de L. glaucescens colectado en Costa Rica se aislaron las flavanonas pinostrobina y pinocembrina, así como la 2',6'-dihidroxi-4'-metoxidihidro-chalcona (López et al., 1995). Los extractos metanólicos de las hojas de L. glaucescens fueron analizados por HPLC encontrando los flavonoides quercitrina, epicatequina y kaempferol. La quercitrina fue la más abundante a lo largo del año. Se examinó la actividad citotóxica, antimicrobiana y antioxidante de los extractos en las cuatro temporadas del año. El material colectado en otoño y verano presentó mayor actividad antioxidante comparado con las otras estaciones del año (López-Romero et al., 2018; 2022).
Por otra parte, se han demostrado las propiedades antiinflamatorias y antihiperalgésicas (vs. dolor) de la especie relacionada Litsea guatemalensis Mez (Simão da Silva et al., 2012), la cual también se distribuye en México. Litsea guatemalensis es utilizada en Guatemala para el tratamiento de problemas respiratorios e inflamatorios. El extracto etanólico de las hojas mostró actividad antiinflamatoria en el modelo de carragenina-pata de ratón. De este extracto aislaron la 5,7,3',4'-tetrahidroxi-isoflavona (7, Fig. 10). Este compuesto inhibió 62.7% la inflamación inducida por carragenina por vía intraperitoneal (1 mg/kg) en el modelo de pata de ratón. La indometacina inhibió la inflamación 76% a 2 mg/kg en las mismas condiciones. Estos resultados sugieren que este isoflavonoide tiene una potencia similar al fármaco de referencia. Adicionalmente, se aislaron el flavonoide la pinocembrina y la coumarina escopoletina de este extracto, pero no fueron evaluados farmacológicamente. Otro modelo empleado por Simão da Silva et al. (2012) fue el de pleuresía inducida por carragenina, el cual tiene como objetivo determinar la migración de células inflamatorias. En este experimento se observó que el compuesto 7 (Fig. 10) administrado a 1 mg/kg por vía intraperitoneal inhibió la migración de neutrófilos 62.5%. La indometacina mostró una inhibición 75% a 2 mg/kg.

Discusión
En el Libellus de Medicinalibus Indorum Herbis se dibujaron seis plantas en tres recetas anotadas en los Folia 13r, 22v y 48v que se empleaban en el tratamiento de la “hinchazón” de ojos, boca y vena, respectivamente. Salvo una excepción, nuestras interpretaciones botánicas concuerdan con las previamente propuestas por Bye y Linares (2013) y Valdés Gutiérrez et al. (1992). Identificamos cinco especies. De esta forma, tetzmitl y tequixquiçacatl (Folium 13r) corresponden a Sedum dendroideum y Distichlis spicata, respectivamente. Tememetla (Folium 22v) es Echeveria gibbiflora. Tzihuac copalli y tlacoecapahtli (Folium 48v) equivalen a Bursera bipinnata y Litsea glaucescens, respectivamente.
En nuestra opinión la ilustración del texiyotl (Folium 22v) concuerda más con los caracteres morfológicos de la hoja de Sedum dendroideum y no con Sedum praealtum como lo indican Bye y Linares (2013). Ambas especies se distribuyen en la Cuenca de México. Un futuro estudio lingüístico puede aportar mayores elementos para corroborar o no esta interpretación, pues la interpretación botánica de las plantas del Códice se realiza con base en su iconografía, pero también por su nombre en náhuatl (Valdés Gutiérrez et al., 1992).
En todas las recetas estudiadas destacan como elementos terapéuticos plantas nativas de México. Empero, es importante señalar que dos recetas incorporan además de ingredientes o prácticas de la medicina prehispánica, otros provenientes de la tradición europea del siglo XVI. Aportaciones de esta última son: “una piedrita, blanca, o purpurina que se halla en el buche de la golondrina” (Folium 13r) que nos remite a las piedras bezoares (Llamas Camacho y Ariza Calderón, 2019), así como la mención a “la flebotomía” (Folium 48v) (Schendel, 1980). Cabe recordar que el Libellus se escribió en el Colegio de Indios de la Santa Cruz de Tlatelolco en 1552, es decir 31 años después de la caída del imperio Azteca, por tanto, es un producto del sincretismo de la época colonial, donde seguramente los curas franciscanos que regían al Colegio aportaron su cosmovisión (Reyes-Chilpa et al., 2021).
De las especies antes mencionadas, la única que cuenta con estudios de actividad antiinflamatoria en las bases de datos consultadas es S. dendroideum, la cual se atribuye a derivados del flavonoide kaempferol (de Melo et al., 2005; 2009). Actualmente, la savia de las hojas suculentas de S. dendroideum se emplea en México en el tratamiento de problemas oftálmicos (Argueta Villamar et al., 1994; González González, 2016), lo cual tiene relación con sus antiguas aplicaciones en el Códice (Folium 13r, 22v y 48v). Hoy día es ampliamente propagada y cultivada en zonas urbanas y rurales, por razones de ornato y medicinales (Pérez-Calix, 2008), lo cual podría remontarse a la época prehispánica.
No se encontraron publicaciones científicas que aborden la posible actividad antiinflamatoria de B. bipinnata y L. glaucescens, pero sí para las especies relacionadas B. copallifera (Columba-Palomares et al., 2015, 2018; Romero-Estrada et al., 2016) y L. guatemalensis (Simão da Silva et al., 2012). Estas dos especies poseen antecedentes etnomédicos pertinentes y se han aislado flavonoides y triterpenos con actividad antiinflamatoria. Los compuestos antiinflamatorios identificados de B. copallifera y L. guatemalensis podrían encontrarse en B. bipinnata y L. glaucescens por pertenecer al mismo género, respectivamente, y presentar similitud en su distribución ambiental, es decir por su cercana relación quimiotaxonómica y geográfica.
Actualmente, algunas especies de Bursera Jacq. ex L. (Rzedowski y Guevara-Féfer, 1992) y Litsea Lam. (Dávila-Figueroa et al., 2011) son propagadas por el ser humano para obtener productos útiles, como resinas y medicinas. En el caso de Bursera, el aprovechamiento de las resinas de “copal” se remonta claramente a la época precolombina, como lo demuestran los estudios arqueológicos (Montúfar López, 2015). Hoy día, no existen evidencias del uso tradicional de Distichlis spicata y Echeveria gibbiflora para tratar problemas inflamatorios, lo cual indica que este conocimiento posiblemente se perdió a lo largo de los siglos. En las bases de datos consultadas, tampoco se encontraron estudios sobre su posible actividad antiinflamatoria.
En general, la mayoría de las especies aquí estudiadas se distribuyen en ecosistemas de la Cuenca de México, cercanos al Real Colegio de Indios de la Santa Cruz de Tlatelolco donde fue escrito el Códice. Es decir, en esa época se pudo acceder a ejemplares silvestres mediante caminatas de algunas horas y hasta de tres días, por lo que pudieron ser colectados y observados con cierta facilidad. Aunque el paisaje ha sido destruido a lo largo de cinco siglos, estas especies aún pueden encontrarse en los remanentes de dichos ecosistemas, siendo los menos dañados los forestales ubicados en las montañas que rodean la Ciudad de México. Distichlis spicata aun crece entre la vegetación halófita de los lagos salinos del oriente de la Cuenca. Sedum dendroideum y Echeveria gibbiflora prosperan en el matorral xerófilo y en bosque de Quercus. Litsea glaucescens crece en los bosques de Pinus y Abies (Calderón de Rzedowski y Rzedowski, 2005). Bursera bipinnata es característica de la selva baja caducifolia, localizada fuera de la Cuenca de México y es la que mayores esfuerzos habrá requerido para ser observada. Adicionalmente, dichas especies pudieron dibujarse con base en ejemplares cultivados en huertos, o que sobrevivían en los remanentes de los antiguos jardines botánicos prehispánicos, como el de Chapultepec, Iztapalapa y Tetzcotzingo (Reyes-Chilpa et al., 2021).
Conclusiones
La revisión bibliográfica sugiere que las propiedades antiinflamatorias atribuidas en el Códice para S. dendroideum tienen sustento químico y farmacológico. La información quimiotaxonómica y farmacológica sugiere que B. bipinnata y L. glaucescens podrían presentar actividad antiinflamatoria y deben investigarse experimentalmente. Estudios posteriores podrán poner a prueba a esta hipótesis. Las propiedades antiinflamatorias de estas tres especies aún se conocen en la medicina popular contemporánea. En el caso de Echeveria gibbiflora y Distichlis spicata no se han realizado estudios químico-farmacológicos y sus antiguas aplicaciones medicinales al parecer se perdieron con el tiempo.
Agradecimientos
Este trabajo forma parte de los requisitos para obtener el grado de Doctora en Ciencias (Posgrado en Ciencias Biológicas, Universidad Nacional Autónoma de México) de DYLM, quién también agradece la oportunidad de realizar dichos estudios. Agradecemos a Alfredo López Caamal por su asesoría.
Literatura citada
Argueta Villamar, A., L. M. Cano Asseleih, M. E. Rodarte y M. C. Gallardo Vázquez. 1994. Atlas de las plantas de la medicina tradicional mexicana. Serie Biblioteca de la medicina tradicional mexicana. 3 vols. Instituto Nacional Indigenista. Cd. Mx., México. 1286 pp.
Arias Toledo, A. A., M. T. Valverde Valdés y J. Reyes Santiago. 2000. Las plantas de la región de Zapotitlán Salinas, Puebla. Instituto Nacional de Ecología, Secretaría de Medio Ambiente y Recursos Naturales, Universidad Nacional Autónoma de México. Cd. Mx., México. 80 pp.
Béjar, E., R. Reyes-Chilpa y M. Jiménez-Estrada. 2000. Bioactive compounds from selected plants used in the XVI century Mexican traditional medicine. In: Rahman, A. U. (ed.). Studies in Natural Products Chemistry, Vol. 24, part E. Elsevier Science Publishers. Amsterdam, The Netherlands. Pp. 799-844. DOI: https://doi.org/10.1016/S1572-5995(00)80055-1
Berríos, G. E y F. Fuentenebro de Diego Delirio. 1996. Historia. Clínica. Metateoría. Ed. Trotta, Madrid, España. 230 pp.
BioRender Team, 2022. Modificación de la plantilla “Neutrophil Recluitment Pathway”. https://app.biorender.com/biorender-templates (consultado noviembre de 2021).
Bordés González, R., M. Martínez Beltrán, E. García Olivares y R. Guisado Barrilao. 1994. El proceso inflamatorio. Revista de Enfermería 4: 30-33.
Brenes Artavia, M. 2019. Tromboflebitis superficial. Revista Médica Sinergia 4(3): 50-57. DOI: https://doi.org/10.31434/rms.v4i3.175
Bussmann, C., P. Wen-Ming, T. Bieber y N. Novak. 2008. Molecular pathogenesis and clinical implications of eczema herpeticum. Expert Reviews in Molecular Medicine 14(10): e21. DOI: https://doi.org/10.1017/S1462399408000756
Bye, R. y E. Linares. 2013. Códice De la Cruz-Badiano, Medicina prehispánica. Arqueología Mexicana 51(2): 11-79.
Calderón de Rzedowski, G. y J. Rzedowski. 2005. Flora Fanerogámica del Valle de México. Instituto de Ecología, A.C. y Comisión Nacional para el Conocimiento y Uso de la Biodiversidad. Pátzcuaro, México. 1046 pp.
Campagne, E. M., F. del Castillo Martín, M. M. Martínez López, C. Borque de Andrés, M. de José Gómez, M. J. García de Miguel y F. Baquero Artigao. 2016. Abscesos periamigdaliano y retrofaríngeo, estudio de 13 años. Anales de Pediatría 65(1): 32-36.
Case, R. J., A. O. Tucker, M. J. Maciarello y K. A. Wheeler. 2003. Chemistry and ethnobotany of commercial incense copals, copal blanco, copal oro, and copal negro, of North America. Economic Botany 57(2): 189-202. DOI: https://doi.org/10.1663/0013-0001(2003)057[0189:CAEOCI]2.0.CO;2
Centeno-Betanzos, L. Y., R. Reyes-Chilpa , N. B. Pigni, C. K. Jankowski, L. Torras-Claveria y J. Bastida. 2021. Plants of the “Libellus de Medicinalibus Indorum Herbis” from Mexico, 1552. Zephyranthes fosteri (Amaryllidaceae) Alkaloids. Chemistry and Biodiversity 18(3): e2000834. DOI: https://doi.org/10.1002/cbdv.202000834
Chemdraw Professional. 2022. Chemdraw (RRID:SCR_016768) http://www.perkinelmer.co.uk/category/chemdraw (consultado mayo de 2022).
Ciufo, G. 2018. Urgencias oftalmológicas, Guías de actuación en urgencias. Clínica Universidad de Navarra. Navarra, España. Pp. 325-341.
Columba-Palomares, M. C., M. L. Villareal, M. E. Acevedo Quiroz, S. Marquina Bahena, L. P. Álvarez Berber y V. Rodríguez-López. 2015. Anti-inflammatory and cytotoxic activities of Bursera copallifera. Pharmacognosy Magazine 11(2): S322-S328. DOI: https://doi.org/10.4103/0973-1296.166067
Columba-Palomares, M. C. , M. L. Villarreal, S. Marquina, A. Romero-Estrada, V. Rodríguez-López , A. Zamilpa Alvarez y L. Álvarez. 2018. Antiproliferative and anti-inflammatory acyl glucosyl flavones from the leaves of Bursera copallifera. Journal of the Mexican Chemical Society 62(4): 214-224. DOI: https://doi.org/10.29356/jmcs.v62i4.624
CONABIO. 2005. División Política Estatal. Escala 1:100 0000. Instituto Nacional de Estadística, Geografía e Informática 2000. http://www.conabio.gob.mx/informacion/gis/ (consultado agosto de 2021).
Cruz León, A., L. Salazar Martínez y M. Campos Osorno. 2006. Antecedentes y actualidad del aprovechamiento de copal en la Sierra de Huautla, Morelos. Revista de Geografía Agrícola 37: 97-116.
Cruz, S. y A. Cáceres. 2011. Actividad biológica y composición química de las especies del género Litsea en Mesoamérica: una revisión. Revista Científica 21(2): 70-81. DOI: https://doi.org/10.54495/Rev.Cientifica.v21i2.135
Davidse, G., M. Sousa-Sánchez, S. Knapp y F. Chiang-Cabrera. 2015. Saururaceae a Zygophyllaceae. 2(3): v-xvii, 1-347. In: Davidse, G. , M. Sousa Sánchez, S. Knapp y F. Chiang Cabrera. Flora Mesoamericana. Missouri Botanical Garden, St. Louis, USA. https://www.tropicos.org/docs/meso/crassulaceae.pdf (consultado agosto de 2021).
Dávila-Figueroa, C. A., F. J. Flores Tena, F. Morales Domínguez, R. Clark Tapia y E. Pérez Molphe Balch. 2011. Estatus poblacional y niveles de aprovechamiento del laurel silvestre (Litsea glaucescens Kunth) en Aguascalientes. Revista Mexicana de Ciencias Forestales 2(4): 47-59 DOI: https://doi.org/10.29298/rmcf.v2i4.608
de la Cruz, M. 1964. Libellus de Medicinalibus Indorum Herbis. Manuscrito Azteca de 1552. Según traducción latina de Juan Badiano, versión española con estudios y comentarios por diversos autores. México. Instituto Mexicano del Seguro Social. Cd. Mx., México.
de la Cruz, M. 1991. Libellus de Medicinalibus Indorum Herbis. Manuscrito Azteca de 1552. Según traducción latina de Juan Badiano. Vol. I y II. Versión española con estudios y comentarios por diversos autores. Fondo de Cultura Económica y Instituto Mexicano del Seguro Social. Cd. Mx., México.
del Campo, R. M. 1957. Las cactáceas entre los Mexica. Cactáceas y Suculentas Mexicanas II 2: 27-38.
de Melo, G., D. C. Malvar, F. A. Vanderlinde, P. A. Pires, W. S. Côrtes, P. Germano Filho, M. F. Muzitano, C. R. Kaiser y S. S. Costa. 2005. Phytochemical and pharmacological study of Sedum dendroideum leaf juice. Journal of Etnopharmacology 102(2): 217-220 DOI: https://doi.org/10.1016/j.jep.2005.06.015
de Melo, G. , D. C. Malvar , F. A. Vanderlinde , F. F. Rocha, P. Andrade Pires, E. A. Costa, L. G. De Matos, C. R. Kaiser yS. S. Costa . 2009. Antinociceptive and anti-inflammatory kaempferol glycosides from Sedum dendroideum. Journal of Etnopharmacology 124: 228-232. DOI: https://doi.org/10.1016/j.jep.2009.04.024
del Pozo, E. C. 1964. Valor Médico y Documental del Manuscrito. In: de la Cruz, M. (ed.). Libellus Medicinalibus Indorum Herbis. (Manuscrito azteca de 1552. Según traducción latina de Juan Badiano). Versión Española con Estudios y Comentarios por Diversos Autores Vol II. Fondo de Cultura Económica e Instituto Mexicano del Seguro Social. Cd. Mx., México.
Díaz, J. 1976. Índice y sinonimia de las plantas medicinales de México, Monografías científicas I. Instituto Mexicano para el estudio de las plantas medicinales. Cd. Mx., México.
Díaz Escobar, P. A. 2017. Actividad antimicrobiana y antioxidante de Echeveria gibbiflora D.C. (Crassulaceae). Tesis de licenciatura en biología. Facultad de Estudios Superiores Iztacala, Universidad Nacional Autónoma de México. Tlalnepantla de Baz, México.
DNP. 2022. Dictionary of Natural Products. Taylor & Francis Group. https://dnp.chemnetbase.com/chemical/ChemicalSearch.xhtml?dswid=-8737
Domínguez, X. A. 1969. Algunos aspectos químicos y farmacológicos de sustancias aisladas de las plantas descritas en el Códice Badiano (Libellus de Medicinalibus Indorum Herbis). Revista de la Sociedad Química de México 13: 85-89.
Emmart, E. W. 1940. The Badianus Manuscript (Codex Barberini, Latin 241) Vatican Library. An Aztec Herbal of 1552. Introduction, translation, and annotations by E. W. Emmart. The Johns Hopkins Press. Baltimore, USA. 341 pp.
Eriksson, U., R. Ricci, L. Hunziker, M. O. Kurrer, G. Y. Oudit, T. H. Watts, I. Sonderegger, K. Bachmaier, M. Kopf y J. M. Penniger. 2003. Dentritic cell-induced autoinmmune heart failure requieres cooperation between adaptative and innate immunity. Nature Medicine 9(12): 1484-1490. DOI: https://doi.org/10.1038/nm0104-105a
Escobar-Hernández, A., E. Troyo-Dieguez, J. L. García-Hernández, H. Hernández-Contreras, B. Murillo-Amador y R. López-Aguilar. 2005. Potencial forrajero del pasto salado Distichlis spicata L. (Greene) en ecosistemas costeros de Baja California Sur, México por el método de “componentes principales”. Técnica Pecuaria en México 43(1): 13-25.
Fang, W., D. Bi, R. Zheng, N. Cai, H. Xu, R. Zhou, J. Lu, M. Wan y X. Xu. 2007. Identification and activation of TLR4-mediated signaling pathways by alginate-derived guluronate oligosaccharide in RAW264.7 macrophages. Scientific Reports 7: 1663. DOI: https://doi.org/10.1038/S41598-017-01868-0
Fiella, X., R. Monila y A. M. Ballesta. 2002. Estructura y función de las citocinas. Medicina Integral 39(2): 63-71.
Fica, A. 2003. Celulitis y erisipela: manejo en atención primaria. Revista Chilena de Infectología 20(2): 104-110. DOI: https://doi.org/10.4067/S0716-10182003000200004
Flores-Hernández D. I. y F. Martínez-Jerónimo. 2016. Detailed chemical composition of tequesquite, a pre-hispanic and traditional mineral resource used in Mexico for culinary purposes. Acta Universitaria, Multidisciplinary Scientific Journal 26(5): 31-39. DOI: https://doi.org/10.15174/au.2016.987
García Regalado, G. 2015. Plantas medicinales de Aguascalientes. Segunda edición Universidad Autónoma de Aguascalientes. Aguascalientes, México. 496 pp.
Garibay, A. M. 1991. Nombres nahuas en el Códice de la Cruz-Badiano. Sentido Etimológico. In: Libellus Medicinalibus Indorum Herbis. (Manuscrito azteca de 1552. Según traducción latina de Juan Badiano). Versión española con estudios y comentarios por diversos autores. 2a. ed. Vol. II. Fondo de Cultura Económica e Instituto Mexicano del Seguro Social. Cd. Mx., México.
Gates W. 1939. The De la Cruz-Badiano Aztec Herbal of 1552. Publication 23. The Maya Society. Baltimore, USA. 143 pp.
Gates, W. 2000. An Aztec Herbal: The Classic Codex of 1552. (Reprint of the 1939 edition). Dover Publications New York. New York, USA. 144. pp.
GBIF. 2020a. Bursera bipinnata (Moc. & Sessé ex DC.) Engl. Global Biodiversity Information Facility. GBIF.org. GBIF Occurrence Download. DOI: https://doi.org/10.15468/dl.wzsf4d
GBIF. 2020b. Distichlis spicata (L.) Greene. Global Biodiversity Information Facility. GBIF.org. GBIF Occurrence Download. DOI: https://doi.org/10.15468/dl.amdmf1
GBIF. 2020c. Echeveria gibbiflora DC. Global Biodiversity Information Facility. GBIF.org. GBIF Occurrence Download. DOI: https://doi.org/10.15468/dl.gbxsri
GBIF. 2020d. Litsea glaucescens Kunth. Global Biodiversity Information Facility. GBIF.org. GBIF Occurrence Download. DOI: https://doi.org/10.15468/dl.5jpxcg
GBIF. 2020e. Sedum dendroideum Moc. & Sessé ex DC. Global Biodiversity Information Facility. GBIF.org. GBIF Occurrence Download. DOI: https://doi.org/10.15468/dl.6x6xap
Giménez Serrano, S. 2005. Infecciones e inflamaciones palpebrales. Farmacia Profesional 19(2): 56-60.
González Ortíz, L. M. 2014. Alergias y el sistema inmune: una revisión desde el aula. Revista Facultad de Ciencias de la Salud UDES 1(1): 43-51. DOI: https://doi.org/10.20320/rfcsudes.v1i1.200
González González, M. F. 2016. Uso y conocimiento de las plantas medicinales en traspatio sustentable, San Bernardino Tepenene, Municipio de Tzicatlacoyan. Tesis de licenciatura en biología. Benemérita Universidad Autónoma de Puebla. Puebla, Puebla. Pp. 29, 114.
Guerrero Aguilar, M. V., L. A. Pompa Milanés y L. R. Cutiño Montero. 2018. Absceso periamigdalino. Nuestra experiencia en 5 años. Revista Médica Granma 1: 1-11.
Guevara-Fefer, P., V. Muñoz-Ocotero, R. E. Llanos-Romero, B. Zúñiga-Ruiz, R. J. Cárdenas-Vázquez, J. L. Contreras-Jiménez y F. Ocampo Bautista. 2017. Flavonoides de trece especies del género Bursera con potencial antioxidante. Polibotánica 44(22): 185-193. DOI: https://doi.org/10.18387/polibotanica.44.14
Guzmán-Gutiérrez, S. L., R. Reyes-Chilpa y H. Bonilla-Jaime. 2014. Medicinal plants for the treatment of “nervios”, anxiety, and depression in Mexican traditional medicine. Revista Brasileira de Farmacognosia 24(5): 591-608. DOI: https://doi.org/10.1016/j.bjp.2014.10.007
Guzmán-Gutiérrez, S. L., R. Reyes-Chilpa , L. R. González-Diego, M. Silvia-Miranda, A. López-Caamal, K. P. García-Cruz, M. S. Jiménez-Mendoza, A. Arciniegas y C. Espitia. 2023. Five centuries of Cirsium ehrenbergii Sch. Bip. (Asteraceae) in México, from Huitzquilitl to Cardo Santo: history, ethnomedicine, pharmacology and chemistry. Journal of Ethnopharmacology 301: 115778. DOI: https://doi.org/10.1016/j.jep.2022.115778
IBdata. 2020. Web system to view the records of the National Collections of the Institute of Biology, UNAM. IBdata v3, “Helia Bravo Hollis” https://www.ibdata.abaco3.org/web/ (consultado agosto de 2022).
IPNI. 2021. International Plant Names Index. http://www.ipni.org (consultado enero de 2021).
Kasper, F., S. Hauser, L. Jameson, A. Fauci, A. D. Longo, J. Loscalzo y L. Jameson . 2015. Harrison principios de medicina interna, Vol. 2. Mc Graw Hill. Cd. Mx., México. Pp. 2103-2247.
Kindt, T. J., R. A. Goldsby y B. A. Osborne. 2007. Inmunología de Kuby. Sexta edición. Mc Graw Hill. Cd. Mx., México. 571 pp.
Kumate Rodríguez, J. 1992. Presentación. In: Estudios Actuales sobre el Libellus Medicinalibus Indorum Herbis. Secretaría de Salud. Cd. Mx., México. Pp. 9-16.
Linares, E. y R. Bye. 2013. Códice De la Cruz-Badiano. Medicina Prehispánica. Arqueología Mexicana 50(1): 37-91.
Llamas Camacho, E. y T. Ariza Calderón. 2019. Piedras bezoares entre dos mundos: de talismán a remedio en el septentrión novohispano, siglos XVI-XVIII. Historia Crítica 73: 43-64. DOI: https://doi.org/10.7440/histcrit73.2019.03
López, J. A., W. Barillas, J. Gomez-Laurito, F. T. Lin, A. Al-Rehaily, M. H. Sharaf y P. L. Schiff. 1995. Flavonoids of Litsea glaucescens. Planta Medica 61(2): 198. DOI: https://doi.org/10.1055/s-2006-958054
López-Angulo, G., J. Montes-Ávila, S. P. Díaz-Camacho, R. Vega-Aviña, M. E. Báez-Flores y F. Delgado-Vargas. 2016. Bioactive components and antimutagenic and antioxidant activities of two Echeveria DC. species. Industrial Crops and Products 85: 38-48. DOI: https://doi.org/10.1016/j.indcrop.2016.02.044
López-Austin, A. 1969. De las enfermedades del cuerpo humano y de las medicinas contra ellas. Estudios de la Cultura Náhuatl 8: 51-115.
López-Romero, J. C., H. González-Ríos, A. Peña-Ramos, C. Velázquez, M. Navarro, R. Robles-Zepeda, E. Martínez-Benavidez, I. Higuera-Ciapara, C. Virués, J. L. Olivares, Z. Domínguez y J. Hernández. 2018. Seasonal effect on the biological activities of Litsea glaucescens Kunth extracts. Evidence-Based Complementary and Alternative Medicine 2018: 2738489. DOI: https://doi.org/10.1155/2018/2738489
López-Romero, J. C., J. Hernández, J. F. Ayala-Zavala, C. Velázquez, R. E. Robles-Zepeda, E. Alday, E. Martínez-Benavidez, I. Higuera-Ciapara, J. L. Olivares, Z. Domínguez y H. González-Ríos. 2022. Identification of the main phenolic compounds responsible for the antioxidant activity of Litsea glaucescens Kunth. South African Jornual of Botany 147: 208-214. DOI: https://doi.org/10.1016/j.sajb.2022.01.012
Lorea-Hernández, F. G. y N. Jiménez-Pérez. 2010. Lauraceae. Flora del Valle de Tehuacán-Cuicatlán 82: 3-8.
Lozano-Mascarua, G. I. 1996. Plantas medicinales utilizadas por los mazahuas del municipio de San Felipe del Progreso, Estado de México. Tesis de licenciatura, Facultad de Ciencias, Universidad Nacional Autónoma de México. Cd. Mx., México. 220 pp.
Lozoya Legorreta, X. 1992. Aspectos farmacológicos de dos plantas del Libellus. In: Kumate, J. (ed.). Estudios actuales sobre el Libellus Medicinalibus Indorum Herbis. Secretaría de Salud. Cd. Mx., México. Pp. 181-202.
Lozoya Legorreta, X., H. Reyes-Morales, M. A. Chávez-Soto, M. C. Martínez-García, Y. Soto-González y S. V. Doubova. 2002. Intestinal anti-spasmodic effect of a phytodrug of Psidium guajava in the treatment of acute diarrheic disease. Journal Ethnopharmacology 83(1-2): 19-24. DOI: https://doi.org/10.1016/S0378-8741(02)00185-X
Márquez, F. 1977. Otorrinolaringología precortesiana. Talleres gráficos de Luysil. Cd. Mx., México. Pp. 76.
Martínez y Martínez, M. 1987. Catálogo de nombres vulgares y científicos de plantas mexicanas. Fondo de Cultura Económica. Cd. Mx., México. Pp. 1065, 1105, 1108, 1151, 1214.
Martínez y Martínez, M. 1996. Las plantas medicinales de México. 7a reimpresión. Editorial Botas. Cd. Mx, México. Pp. 445, 446, 492.
Martínez Ruíz, M., A. Gómez-Velasco, Z. N. Juárez, L. R. Hernández y H. Bach. 2013. Exploring the biological activities of Echeveria leucotricha. Natural Product Research 27(12): 1123-1126. DOI: https://doi.org/10.1080/14786419.2012.708662
McVaugh, R. 1983. Graminae. In: Anderson, W. R. (ed.). Flora Novo-Galiciana “A descriptive account of the vascular plants of Western Mexico” Vol. 14. The University of Michigan Press. Ann Arbor Michigan, USA.
Medina-Lemos, R. 2008. Burseraceae. Flora del Valle de Tehuacán-Cuicatlán . Fascículo 66. Instituto de Ecología, Universidad Nacional Autónoma de México. Cd. Mx., México. 74 pp.
Miranda González, F. y J. Valdés Gutiérrez. 1991. Comentarios Botánicos. In: de la Cruz. M. (ed.). Libellus Medicinalibus Indorum Herbis. (Manuscrito azteca de 1552. Según traducción latina de Juan Badiano). Versión española con estudios y comentarios por diversos autores. Fondo de Cultura Económica e Instituto Mexicano del Seguro Social. Cd. Mx., México. 258 pp.
Montemayor, C. (coor.). 2007. Diccionario del náhuatl en el español de México. Gobierno del Distrito Federal y Universidad Nacional Autónoma de México. Cd. Mx., México. 440 pp.
Montúfar López, A. 2015. Copal, humo aromático de tradición ritual mesoamericana. Olfato y cultura. Arqueología Mexicana 135: 64-65.
Orta Amaro, M. N. 2007. Copal: microestructura, composición y algunas propiedades relevantes. Tesis de ingeniería química industrial. Instituto Politécnico Nacional. Cd. Mx., México. 81 pp.
Ortiz de Montellano, B. 1975. Empirical Aztec Medicine. Science 188: 215-220.
QGIS Development Team. 2023. QGIS Geographic Information System. Open Source Geospatial Foundation Project. http://qgis.osgeo.org (consultado marzo de 2023).
Pérez-Calix, E. 2008. Crassulaceae. Flora del Bajío y de Regiones Adyacentes 156: 1-152. DOI: https://doi.org/10.21829/fb.92.2008.156
Radostits, O. M., I. G. Mayhew y D. M. Houston. 2001. Examen y diagnóstico clínico en veterinaria. Elsevier Science. Madrid, España. 59 pp.
Rang, H. P., R. J. Flower, J. M. Ritter y G. Henderson. 2015. Farmacología. Elsevier. Barcelona, España. Pp. 88-89, 212-221, 317-333.
RAE. 2022. Real Academia Española: Diccionario de la lengua española. https://dle.rae.es (consultado de mayo 2022).
Recko, B. P. 1947. Nombres botánicos del manuscrito Badiano. Boletín de la Sociedad Botánica de México 5: 23-43. DOI: https://doi.org/10.17129/botsci.940
Reyes-Chilpa, R. 1980a. El nopal en el tiempo I: El corazón de Copil. Revista Fundamento 1(1): 27-29.
Reyes-Chilpa, R. 1980b. El nopal en el tiempo II: El higo de Indias. Revista Fundamento 1(2): 20-23.
Reyes-Chilpa, R., S. L. Guzmán-Gutiérrez, M. Campos-Lara, E. Béjar, H. R. Osuna-Fernández y G. Hernández-Pasteur. 2021. On the first book of medicinal plants written in the American Continent: The Libellus Medicinalibus Indorum Herbis from Mexico, 1552. A review. Boletín Latinoamericano y del Caribe de Plantas Medicinales y Aromáticas 20(1): 1-27. DOI: https://doi.org/10.37360/blacpma.21.20.1.1
Ríos-Castillo, T., L. Quijano yR. Reyes-Chilpa . 2012. Algunas reflexiones actuales sobre la herbolaria prehispánica desde el punto de vista químico. Revista Latinoamericana de Química 40: 41-64.
Rivera-Arce, E., M. A. Chávez-Soto, M. Gattuso y X. Lozoya Legorreta. 2003. La hoja de guayabo en el tratamiento de afecciones gastrointestinales. Revista Fitoterapia 3(2): 101-111.
Romero-Estrada, A., A. Maldonado-Magaña, J. González-Christen, S. Marquina Bahena, M. L. Garduño-Ramírez, V. Rodríguez-López y L. Álvarez. 2016. Anti-inflammatory and antioxidative effects of six pentacyclic triterpenes isolated from the Mexican copal resin of Bursera copallifera. BMC Complementary Medicine and Therapies 16: 422. DOI: https://doi.org/10.1186/s12906-016-1397-1
Rosenthal, K. 2007. Cuando aparece la flebitis. Nursing 25: 4. https://www.elsevier.es/es-revista-nursing-20-articulo-cuando-aparece-flebitis-S0212538207709044
Rzedowski, J. y F. Guevara-Féfer. 1992. Burseraceae. Flora del Bajío y de Regiones Adyacentes 3: 1-46. DOI: https://doi.org/10.21829/fb.129.1992.3
Schendel, G. 1980. La medicina en México, de la herbolaria a la medicina nuclear. Instituto de Mexicano del Seguro Social. Cd. Mx., México. Pp. 69-138.
Science Direct. 2020. ScienciaDirect. Elsevier B. V. https://www.sciencedirect.com/ (consultado agosto de 2020).
Scopus. 2020. SCOPUS. Elsevier B. V. https://www.scopus.com/home.uri(consultado agosto de 2020).
Simão da Silva, K. A. B., L. C. Klein-Junior, S. M. Cruz, A. Cáceres, N. L. Meira Quintao, F. Delle y V. Cechinel-Filho. 2012. Anti-inflammatory and anti-hyperalgesic evaluation of the condiment laurel (Litsea guatemalensis Mez.) and its chemical composition. Food Chemistry 132(4): 1980-1986. DOI: https://doi.org/10.1016/j.foodchem.2011.12.036
Simeón, R. 1981. Diccionario de la lengua náhuatl o mexicana. 2a. ed. (Première édition en français, 1885). Siglo XXI Editores. Cd. Mx., México.
Somolinos, J. 1984. El primer manuscrito medico americano. In: Somolinos, J. (ed.). Contribuciones a la investigación médica. Universidad Nacional Autónoma de México. Cd. Mx., México. Pp. 19-31.
Soriano Torres, J., A. Martínez Avalos y A. S. Shimada Miyasaka. 1995. Tratamiento de heno de pasto salado (Distichlis spicata) con amonio anhidro para borregos pelibuey en crecimiento. Revista Mexicana de Ciencias Pecuarias 33(1): 43-47.
Tucker, O. y J. Janick. 2020. Flora of the Codex Cruz-Badianus. Springer. Cham, Switzerland. 321 pp.
Turner, G. G. 2007. El Códice de la Cruz-Badiano y su extensa familia herbaria. Historias 68: 109-122.
Valdés Gutiérrez, J., H. Flores Olvera y H. Ochoterena-Booth. 1992. La Botánica en el Códice De la Cruz. In: Kumate, J. (ed.). Estudios Actuales sobre el Libellus Medicinalibus Indorum Herbis. Secretaría de Salud. Cd. Mx., México. Pp. 129-180.
Zuñiga, B., P. Guevara-Fefer, J. Herrera, J. L. Contreras, L. Velasco, F. J. Pérez y B. Esquivel. 2005. Chemical composition and anti-inflammatory activity of the volatile fraction from the bark of eight mexican Bursera species. Planta Medica 71(9): 825-828. DOI: https://doi.org/10.1055/s-2005-871293
Contribución de autores
Financiamiento
Author notes
9Autor para la correspondencia: chilpa@unam.mx