Articles
Variation of the community structure of terrestrial gastropods in different plant associations from the Coatán River watershed, southeastern Chiapas, Mexico
Variación en la estructura comunitaria de los gastrópodos terrestres en distintas asociaciones vegetales de la cuenca del río Coatán, sureste de Chiapas, México
Variation of the community structure of terrestrial gastropods in different plant associations from the Coatán River watershed, southeastern Chiapas, Mexico
Acta zoológica mexicana, vol. 36, e3612307, 2020
Instituto de Ecología A.C.
Received: 02 July 2020
Accepted: 08 September 2020
ABSTRACT: The Gastropoda class is the only one on Mollusca phylum to have terrestrial representatives. These organisms are used as ecosystem indicators due to being closely related to environmental variables such as soil and relative humidity, pH, temperature, and plant association, variables sensitive to habitat alteration. The original ecosystems of the watersheds in the Soconusco, Chiapas, Mexico are suitable for the presence of terrestrial gastropods, however, has experimented severe loss of the original plant association, the objective of the research was to determine the diversity of terrestrial gastropods and its changes in the Coatán River watershed. Sampling was carried out at three sites according to their plant association (primary vegetation, secondary vegetation, and crops), within three zones of the watershed (upper, middle, and lower zone). A total of 342 organisms was obtained and classified into 16 families, 29 genera and 43 species, of these totals, 89% were Heterobranchia and 11% Caenogastropoda-Neritimorpha, which are mainly present in the middle zone. Five species are new records for Mexico and 10 species for Chiapas and extend the range distribution of several Central America species. The results of changes in diversity and abundance occurred at zone level and were influenced by environmental variables, mainly relative humidity and tree covered plant association. Low diversity patterns were related to high environmental temperature and low relative humidity, both related to the degree of disturbance and loss plant covered. The human activity in the Coatán watershed has an adverse effect on terrestrial gastropod diversity.
Key words: Mollusca, Soconusco, diversity, distribution.
RESUMEN: La clase Gastropoda es la única del filo Mollusca en tener representantes terrestres. Estos organismos se han usado como indicadores del ecosistema porque tienen una estrecha relación con variables ambientales como el suelo, la humedad relativa, pH, temperatura y comunidad vegetal, variables sensibles a la alteración del hábitat. Las cuencas hidrográficas del Soconusco en Chiapas poseen condiciones adecuadas para los gastrópodos, sin embargo, la pérdida del hábitat puede afectar su diversidad por lo que el objetivo de este trabajo fue determinar los cambios de diversidad y abundancia de los gastrópodos terrestres en la Cuenca del Río Coatán. El muestreo se realizó en sitios con distintas asociaciones vegetales (vegetación primaria, acahuales y cultivos), en tres diferentes zonas de la cuenca (zonas Alta Media y Baja). Un total de 342 organismos pertenecientes a 43 especies, 29 géneros y 16 familias fueron recolectados, del total, el 89% pertenecen a Heterobranchia y el 11% a Caenogastropoda-Neritimorpha, estas últimas se presentaron principalmente en la zona media. Cinco especies son nuevos registros para México y 10 para Chiapas, algunas de estas extienden su rango de distribución hacia el norte de Centro América. Los cambios en la diversidad y abundancia se observaron a nivel de zona de la cuenca. El patrón de baja diversidad se relacionó con las altas temperaturas y baja humedad relativa, ambas relacionadas con la pérdida de la cobertura vegetal. La actividad humana en la cuenca del río Coatán tiene efecto desfavorable para la diversidad de los gasterópodos terrestres.
Palabras clave: Mollusca, Soconusco, diversidad, distribución.
INTRODUCTION
Gastropods are a diverse taxonomic group of animals and the only group of phylum Mollusca that occurs in marine, freshwater, and terrestrial environments. The latter two, members of the subclasses Heterobranchia and Caenogastropoda-Neritimorpha (formerly Pulmonata and Prosobranchia, respectively) (Bouchet et al., 2017), have special adaptations in the mantle cavity that allows them to breathe atmospheric oxygen (Brusca & Brusca, 2005).
Gastropods are a fundamental part of ecosystems, the mucus they generate is rich in nutrients which facilitates the colonization of microbes that degrade organic matter in the soil (Berg, 1994). They form a part of the diet of birds, snakes, mammals, and other invertebrates (Sazima, 1989), and are also intermediary hosts of parasites that infected the organisms that consume them (Fleta-Zaragozano, 2017). When dying, the empty shell degrades and provides calcium to the soil (Lannge, 2003).
The distribution of these organisms is closely related to the temperature, relative humidity, thickness, and complexity of the layer of leaf litter, soil humidity and compaction and diversity of plant communities (Schilthuizen et al., 2005). They also have the ability to accumulate heavy metals, in which they have consequently been used as bioindicators of ecosystem alteration and pollution (Pérez et al., 2006).
Mexico has 1,184 species recorded, in which Veracruz is the most diverse state with 267 species, followed by the state of Chiapas with 128 (Thompson, 2011; Naranjo-García & Smith, 2014). Despite this, Chiapas has had few studies conducted (Naranjo-García, 2014; Naranjo-García & Smith, 2014). All species found in Chiapas have been recorded in the works of Bequaert (1957), Thompson (1966; 1967; 1976), Naranjo-Garcia et al. (2000), Naranjo-Garcia (2003), Avendaño-Gil et al. (2010), Falcón-Brindis et al. (2014), Naranjo-García and Smith (2014) which covered an important area of the state, especially the central and eastern area. Consequently, regions such as the southeast -which presents environmental conditions conducive to the development of this group of organisms- are practically unexplored.
The southeastern area of Chiapas State has been subjected to high anthropic pressure. In most hydrographic watersheds, the primary vegetation has decreased significantly or even disappeared due to changes in land use intended for agriculture and livestock. For example, the Coatán River watershed maintains only 16% of its area with original tree cover, restricted basically to the upper area of the watershed (Flores-Chilel, 2015). Given the lack of knowledge about terrestrial gastropod fauna in the southeastern area of the state and their sensitivity to habitat loss due to changes in land use, this work is intended to present a taxonomic list of terrestrial gastropod species present in the Coatán River watershed, as well as to estimate the changes in species richness and abundance between main plant associations, natural and altered, in the main zones of the watershed.
MATERIALS AND METHODS
Study area. The Coatán River watershed is a binational watershed shared between Mexico and Guatemala, located to the east of the Sierra Madre of Chiapas and the Mexican Pacific coastal plain within coordinates 92° 31' 12'' and 92° 07' 36'' of westerly longitude and 15° 16' 36'' and 14 °46' 12'' northerly latitude (Kauffer, 2010). The Mexican portion of the watershed has an area of 36,751.70 ha (Fig. 1) within the municipal limits of Tapachula, Mazatán, Motozintla and Cacahoatán (CONAGUA, 2003).

The climate of the watershed varies due to its gradient, giving two well-defined climatic seasons: the high precipitation season (HP), that occurs between the months of June to November, and the low precipitation season (LP), between the months of December to May (García, 1998). The average annual precipitation is 2,500 mm but varies between areas of the watershed. The upper zone averages 3,252 mm while the lower zone averages 1,420 mm (CONAGUA, 2010). It has two climatic classifications: wet temperate (C (m) w" i g) and semi-warm wet (A (C) m (w") i g), the plant associations characteristic of the area are the Mesophilic Mountain forest, Tropical Evergreen forest, Pine-Oak forest and Xeric scrubland (Miranda & Hernandez, 1963). In this area, maize and beans are the main land use and are cultivated by producers for their own consumption. In the middle zone, the climate is warm and humid (A m (w") i g), where the corresponding plant associations for this area are Tropical Semi-Evergreen forest, and Semi-Deciduous forest, the main antrophic activity is coffee production. In the lower zone of the watershed the climate is warm and sub-humid (A w2 (w) i g), where the landscape is composed almost entirely of fruit crops, paddocks and an emerging portion of low deciduous forest, palm, mangrove and grassland (CONAGUA, 2003; Rzedowski, 2006; Grajales et al., 2008).
Sampling design. The study area was divided into three zones according to the natural climatic division of the watershed: Upper Zone (UZ), Middle Zone (MZ) and Lower Zone (LZ) (Fig. 1). In each zone, three of the main plant associations (included natural and altered) were selected at an approximate distance of four kilometers apart from each other. The site 1’s (S1) in each area were considered as sites with primary or original plant associations. Unfortunately, in the MZ and LZ, sites could not be located with these characteristics and were replaced by Acahuales (secondary vegetation) with over 15 years of disuse and with a tree canopy 20 m high on average. For the MZ, the S1 was located in a diversified shade coffee crop with a tree canopy greater than 20 m. For the UZ, the S1 was located in a plant association of the Mesophilic Mountain Forest. The site 2’s (S2) were Acahuales of six to ten years in disuse with a tree canopy between 10 m to 20 m high for both the UZ and LZ. In the MZ, the site 2 was located in a diversified shade coffee crop with a variable canopy less than 20 m high. The site 3’s (S3) were characterized by the presence of the main agricultural activity characteristic of each zone: as corn-grassland in the UZ and LZ, and sun-exposed coffee crop with a shrub stratum less than 5 m high in the MZ.
Fieldwork. Three transects of 50 linear meters and 2 m wide were traced at each sampling site, in which the search of target species under rocks, pulled-away logs, in trees, and in leaf litter was carried out. In each transect, three quadrants of 25 x 25 cm located at 0 m, 25 m and 50 m were laid out, where leaf litter and a soil sample with a volume of 25 x 25 x 10 cm were collected. In each quadrant, data was taken for the environmental temperature (°C) and relative humidity (%), which were taken with the Sper scientific multiparametric probe 850070.
Laboratory work. The leaf litter and soil samples were reviewed under the microscope ‘Zeiss Stemi DV4 stereomicroscope’. The gastropods found were separated, counted, and identified. The live material was placed in beer for 24 hours (Naranjo-García & Gómez-Espinoza, 2011) for the body to relax and was then preserved in alcohol (70%). The identification of the organisms was carried out with the help of the guide made by Fahy (2003) and the works of Thompson (2011), Pilsbry (1906; 1907-1908; 1939; 1940; 1946; 1948) and, Martens (1890-1901), while the systematic arrangement was based on the proposal of Bouchet et al. (2017). The corroboration of the identification process was carried out in the Nacional Collection of Mollusks, at the Institute of Biology of the Universidad Autónoma de México (UNAM).
Three subsamples of 100 gr of soil of each quadrant sample were analyzed to estimate pH, soil moisture, the amount of organic matter and soil texture, these variables were taken as soon as possible after being collected.
Data analysis. To estimate differences in species composition between levels of each factor, the biological data was analyzed with a Multivariate Permutational Variance Analysis (PERMANOVA), using the Sorensen coefficient as a similarity criterion and a significance limit level of α = 0.05. A Percentage Similarity Analysis (SIMPER) was performed to determine the contribution of each species with respect to the similarity or dissimilarity of the species sets from each zone of the watershed, for this purpose the Sorensen coefficient was used as a similarity criterion.
The environmental data was standardized and analyzed using a Multivariate Permutational Variance Analysis (PERMANOVA), using the Euclidean Distance index as a similarity criterion with a significance limit level of α = 0.05.
To estimate the relationship between the environmental variables and the biological data, a Canonical Correspondence Analysis (CCA) was carried out with a significance level limit of α = 0.05. For this analysis, species that were more abundant than one individual were included.
RESULTS
A total of 342 organisms was obtained, which were classified into 16 families, 29 genera and 43 species (Table 1); 16 of them were identified at the genus level due to either deterioration of shells or no match was found with any species described.

The genus Drepanostomella (Bourguignat, 1889) and the species, Drepanostomella stolli (Von Martens, 1892), Amphicyclotus ponderosus (Pfeiffer, 1851), Cecilioides (Geostilba) native of The Antilles (Swainson, 1840), Leptinaria stolli (Von Martens, 1898), and Thysanophora (Thysanophora) costarisensis (Rehder, 1942), represent new records for Mexico. For the state of Chiapas, the Strobilopsidae family has been reported for the first time with the species Strobilops strebeli, with its subspecies to be confirmed (Pfeiffer, 1862). Equally, the Gastrodontidae family was reported with the species Striatura (Striatura) meridionalis (Pilsbry & Ferriss, 1906) and the Diplommatinidae family with the species Adelopoma stolli (Von Martens, 1890). Also reported are the genera: Rectaxis (Baker, 1926) Rectaxis intermedius (Strebel, 1882), Nesovitrea (Cooke, 1921), Nesovitrea subhyalina subhyalina (Pfeiffer,1867), and Zonitoides sp. (Lehmann, 1862), as well as the species Cecilioides (Karolus) consobrinus primus (De Folin, 1870), Lamellaxis mexicanus mexicanus (Pfeiffer, 1866), Miradiscops haplocochlion (Thompson, 1967), and Miradiscops maya (Pilsbry, 1920).
The species Leptopeas micra (D´Orbigny, 1835) (14.6%), A. ponderosus (11.4%), N. subhyalina subhyalina (7.9%) and Neocyclotus dysoni ambiguus ( Von Martens, 1890) (7.9%), accounted for 41.8% of the total abundance of gastropods at all sampling sites in the watershed. The watershed zone with the largest number of species was the MZ with 28. The zone with the lowest number of species was the LZ with eight species (Fig. 2). The sites with the highest number of species were the site 2’s for the LZ and MZ zones and the site 1 for the UZ (Fig. 3). Of the total abundance recorded, 50% (171 individuals, highest value) was found in the MZ and 22.5% (77 individuals, lowest value) was found in the LZ. The greatest abundances of species in each zone were recorded in the site 1’s of the LZ and UZ, and in the site 2 of the MZ (Fig. 4).



The assembly of species, depending on the specific zone, differed between all areas (p = 0.001; pseudo F = 8.3421). The dissimilarity between LZ and MZ was 97.56%, in which the species that contributed a higher percentage to this were: L. micra (10.04%), Lamellaxis martensi martensi (Pfeiffer, 1856) (8.27%) from the LZ and MZ. Amphicyclotus ponderosus (11.03%), N. dysoni ambiguus (8.75%), N. subhyalina subhyalina (8.68%), and L. mexicanus mexicanus (7.03%). Between the LZ and UZ, the dissimilarity was 100%, in which the species that had the greatest contribution to such dissimilarity were: L. martensi martensi (11.28%), L. micra (10.34%), Bulimulus unicolor (Sowerby, 1833) (9.40%) from the LZ, and Rectaxis sp.1 (8.37%), Carychium mexicanum (Pilsbry, 1891) (8.01%) and M. maya (7.80%) from the UZ. The MZ and UZ differed by 96.47%, in which the species that contributed most to this were: A. ponderosus (9.66%), N. subhyalina subhyalina (8.62%), Beckianum beckianum beckianum (Pfeiffer, 1846) (7.74%), L. mexicanus mexicanus (6.15%), N. dysoni ambiguus (6.07%), C. (Geostilba) aperta (4.22%) from the MZ, and the M. maya (5.10%) and C. mexicanum (4.01%) from the UZ.
The assembly of species between sites in each zone only showed differences (p = 0.02; pseudo F = 1.6576) between site 1 and site 3 of the UZ (Table 2).

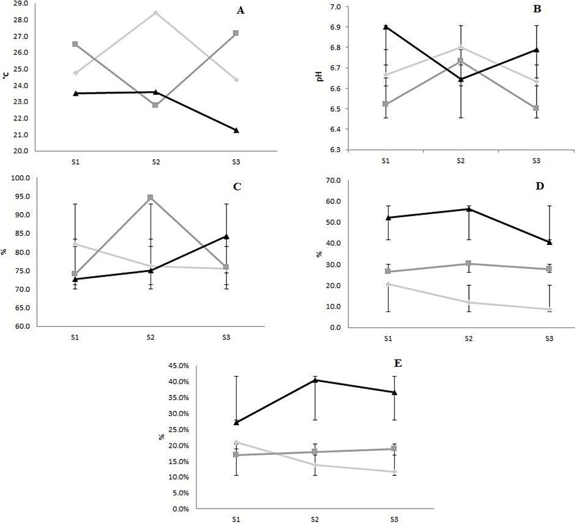
The lowest environmental temperature recorded during fieldwork was 21.5°C at the S3 site of the UZ, while the highest temperature was 28.4°C at the S2 site of the ZB (Fig. 5A). The lowest pH value of the soil, 6.5, was registered at the S3 site of the MZ and the highest, 6.9, at the S1 site of the UZ (Fig. 5B). Relative humidity ranged from 72.6% in the S1 site of the UZ to 94.6% in the S2 site of the MZ (Fig. 5C). Soil moisture was consistently lower in the LZ and higher in the UZ with a downward trend in moisture levels from the S1 sites to S3 sites for both these zones. The lowest values were recorded in the S3 site of the LZ (8.7%), while the highest values (56.2%) were recorded in the S2 site of the UZ (Fig. 5D). Similar values were recorded between sites in the MZ. The amount of organic matter in the soil was lower in the LZ and the MZ, with values measured between 11.6% (in S3 of the LZ) and 21% (in S1 of the LZ), while in the UZ values of up to 40.5% were recorded in the S2 (Fig. 5E).

In the LZ, the soil textures recorded in sites S1 and S2 were sandy loam, muddy loam and muddy. In addition, muddy, clay-like loam was recorded at the S3 site. Throughout the MZ, the predominant soil texture was clay-like, however muddy, clay-like loam, and muddy clay textures were also recorded. In the UZ, the predominant textures recorded were clay-like, and muddy clay, although muddy loam, clay-like loam and muddy clay loam were also recorded in the S1 site. In the S2 site, muddy loam, clay-like loam, and muddy clay loam textures were recorded and muddy clay, muddy, and muddy clay loam textures were observed in the S3 site.
Environmental variables showed differences between watershed zones (p = 0.001; pseudo F = 21.978), and between sites (pseudo F = 4.8055), whilst only sites S1 and S3 of the MZ showed no difference (p = 0.907) (Table 3).

The CCA showed three corresponding groupings (Fig. 6) -one for each zone of the watershed- where the variation explained with the CCA was 59.7% in the first two axes (first axis 35.44%; p = 0.001 and second axis 24.3%; p = 0.002). Soil texture, temperature, relative humidity, and organic matter were the variables with the greatest influence on the dispersion of the data.

DISCUSSION
The knowledge of the diversity of land gastropods in southern Mexico and Central America is limited, it is estimated that only between 10% and 30% of this diversity is known (Naranjo-García, 2003; Thompson, 2011). The lack of knowledge is reflected in the results of this work, given that 11% of the species found in the Coatán River watershed were new records for Mexico. For the Chiapas state, 23% including the registration of three families and 11 species, also 37% of the total species could not be determined even though they were found in conditions conducive to their identification, meaning they could potentially be new species.
The existence of some of these new records of gastropods either increases their presence or confirms it in areas where their presence was likely. The species D. stolli had been reported for the San José area in Costa Rica (Martens, 1890-1901) with an average annual rainfall of 2,250 mm, an average annual temperature of 20.5°C, and litosol and andosol soils (Solano & Villalobos, 2019). It has also been reported to the department of Estelí in Nicaragua (González-Valdivia et al., 2018), which has an annual rainfall of 1,250 mm, clay-like loam soils, and an annual average temperature of 23°C (INIDE & MAGFOR, 2013), and also in the department of Alta Verapaz, Guatemala (Hinkley, 1920), where the average annual temperature is 22.7°C and the average annual relative humidity is 81% (INIDE, 2013).
The species Cecilioides (Geostilba) aperta has been reported in the Antilles (Swainson, 1840; Pilsbry, 1946) and in Nicaragua (Pérez & López, 2002), M. panamensis in Nicaragua (Pérez & López, 2002) and Panama (Pilsbry, 1930), A. ponderosus in Guatemala, and L. stolli and T. (Thysanorphora) costaricensis in Costa Rica (Rehder, 1942) and Nicaragua (Pérez & López, 2001). The distribution of these species increases towards the northwest of Central America within the ecoregion called the Neotropical realm, a region characterized by tropical and subtropical humid forests with altitudes of up to 4,000m above sea level, a temperate climate from 18°C to 24°C and high rainfall of 2,000-4,000 mm annually (Olson et al., 2001).
The presence of Adelopomas stolli confirms its distribution around the southeast of the country, as it had already been previously reported in San Luis Potosí (Correa-Sandoval, 1999) and Tamaulipas (Correa-Sandoval & Rodríguez, 2005). Furthermore, it had also been recorded in Guatemala and Nicaragua (Pérez & López, 2001). This species has been located in sites with characteristically good soil condition, with high soil moisture, abundant leaf litter and humus (Correa-Sandoval et al., 2009; Garcés et al., 2009). In this work the species was registered in the S1 site of the UZ -the site in the best state of conservation.
It is important to mention that of the total number of species recorded in the Coatán River watershed, two of them can be considered as exotic. Allopeas gracile, which has a wide distribution, was first reported in Mirzapur, India, but its country of origin is uncertain (Pilsbry, 1946). Pfeiffer (1839) first recorded it in the Americas in Matanzas and Havana, Cuba, so it is likely that it has arrived and spread on the continent through arable or garden plants, where it is frequently found (Martens & Thiele, 1903).
Species C. (Geostilba) aperta is a species reported by Swainson (1840) as a native of the Antilles. Pilsbry (1946) comments that it was able to reach the continent through garden plants, however, its presence was reported by Henderson in 1914 in an uncultivated desert town in Florida. Consequently, the idea of migration through garden plants is doubtful. Both species were found in areas where there is increased human and agricultural activity (LZ and MZ).
The ratio of Heterobranchia gastropods (Hb) to Caenogastropoda-Neritimorpha (Ca-Ne) has been considered as a conservation status indicator of forested areas (Schilthuizen et al., 2005; Raheem et al., 2008; Nurinsiyah et al., 2016). Ca-Ne gastropods are closely linked with habitats of dense tree cover and high humidity because their mantle cavity is open and tends to lose water, unlike the Hb in which the mantle cavity is connected to the outside by a narrow respiratory pore or pneumostome that can be closed (Solem, 1974). This allows them to live in altered habitats of low tree cover, in warmer climates with less relative humidity, and in the soil.
The ratio of Hb to Ca-Ne in the Coatán River watershed was 89% and 11%, respectively, although this ratio varied with respect to the watershed zone. In the LZ, 100% of species were Hb while in the UZ, 99.95% were Hb and 0.05% Ca-Ne. In the MZ, 85.72% were Hb and 14.28% Ca-Ne. These proportions contrast with what was reported by Avendaño-Gil et al. (2010) who found a ratio of 75% Hb and 25% Ca-Ne in the Lacandona Forest in the Ixcán river region. In the Saba Hills of Malaysia, Schilthuizen et al. (2005) also reported a ratio of 54% Hb and 46% Ca-Ne, in both regions the coverage of the original vegetation was important.
The absence of Ca-Ne in the LZ may be related to the intensity and type of agricultural activity, in which temporary agriculture and livestock occupy 97% of the area (Flores-Chilel, 2015). These activities require open spaces to burn vegetation to maintain soil without vegetation, thus the areas have a lower relative humidity and higher temperature, conditions not conducive to the Ca-Ne.
Nearly all the species of Ca-Ne recorded in this work were found in the MZ, where the relative humidity was the variable that had the greatest influence in the area. Its impact was had on the assembly of the following species that characterized this area: A. gracile, A. ponderosus, N. subhyalina subhyalina, B. beckianum beckianum, L. mexicanus mexicanus and N. dysoni ambiguus. This last species has been found in areas of primary vegetation, at altitudes from 212 m to 1,094 m above sea level (Avendaño-Gil, 2004; González-Valdivia et al., 2011).
In both the LZ and the MZ, the primary vegetation areas are practically non-existent. Unlike the LZ, the MZ has more rainfall (1,345 mm and 4,252 mm, respectively) and diversified shade coffee is grown in the zone, which maintains shrub and arboreal coverage and consequently favors other variables such as relative humidity. It is likely that for this reason the zone maintained the greatest shade and diversity of species and individuals, even maintaining Ca-Ne species. It is important to mention that diversified shaded coffee crops have been considered low-impact crops for biodiversity and a refuge for other species such as reptiles and amphibians (Macip-Ríos & Casas-Andreu, 2008; Rojas, et al., 2012; Muños-Cruz, 2016).
The UZ was characterized by higher soil moisture, organic matter, and fine soils; conditions recorded mainly for the S1 site. The assembly of species associated with these conditions was represented by the species R. intermedius, S. (striatura) meridionalis, A. stolli and C. mexicanum, in which the latter species has been reported as typical of mountain mesophyll forest vegetation, of very fine soils with a high content of organic matter (condition observed in the soils of this site) and is sensitive to disturbances (Snodgrass, 1998; Correa-Sandoval et al., 2009).
The association of species observed for the LZ is represented by L. martensi martensi, B. unicolor and L. micra micra. This area was characterized by having a higher environmental temperature, lower relative humidity, thick soil texture, and little organic matter content typical of eroded sites. Leptopeas micra micra has in fact been reported as tolerant, cosmopolitan and has been found in secondary forests, anthropized habitats, and even urban areas (Maceira et al., 2013).
The wealth of species assemblies did not differ significantly between the LZ and MZ sites, however, the S1 site of the UZ had a greater wealth of species than the S3 site (the S1 site of the UZ was the only primary vegetation site in the whole watershed). There was, however, a decrease shown in the abundance of species in the S1 site, from the areas of highest to lowest coverage. The little variation of the diversity in the assemblies of species between sites and the decrease in abundance coincided with those reported by Schilthuizen et al. (2005) in Borneo; Raheem et al. (2008) in Sri Lanka; and Nurinsiyah et al. (2016) in Java. In this regard, it is important to mention that the virtual absence of Ca-Ne and the reduction of diversity and abundance between sites of the UZ (including Hb) may be due to soil erosion in this area, which has rains of up to (4,252 mm) and steep slopes allowing the soil of the growing areas to be lost and with it individuals. Nonetheless, it is a topic that needs to be further explored given that a large diversity of Ca-Ne has been reported in areas of primary plant associations (Schilthuizen et al., 2005; Nurinsiyah et al., 2016).
CONCLUSIONS
The change or use of soil and the loss of tree cover for activities such as temporary agriculture, livestock and human establishments has a decisive influence on the reduction of diversity in the assemblies of gastropod species in the Coatán River watershed. It is likely that the intensity of these activities, especially in the Lower Zone could eventually cause the extinction of species -with Ca-Ne gastropods being especially vulnerable- a process that occurs as increases or changes in activity take place in other areas of the watershed.
Acknowledgements
We gratefully acknowledge J. Hernández, J.J. De la Rosa, D. Ramírez, K. Ocampo, J. Gómez, for field assistance and Don Santiago (in MZ) and Don Lazaro (in UZ) for the permission to work on their property. Thanks to David Olvera and Daniel Megenning for the support in the English translation.
LITERATURE CITED
Avendaño-Gil, M. J. (2004) Inventario de gasterópodos terrestres y dulceacuícolas del área focal de Ixcán, Chiapas. México D.F. Instituto de Historia Natural y Ecología. Bases de datos SNIB-Conabio proyecto No. Y015.
Avendaño-Gil, M. J., Carbot-Chanona, G., Naranjo-García, E. (2010) Moluscos gasterópodos terrestres y dulceacuícolas del área focal Ixcán, Chiapas, México. Lacandonia, 4 (1), 29-36.
Berg, G. H. (1994) Caracoles y babosas de importancia cuarentenaria, agrícola y médica para América Latina y el Caribe. Organismo internacional regional de sanidad agropecuaria (OIRSA). México, Centro América, Panamá y Belice, 90 pp.
Bequaert, J. C. (1957) Land and freshwater mollusks of the Selva Lacandona. Chiapas, Mexico. Bulletin of the Museum of Comparative Zoology at Harvard College, 116, 204-227.
Bouchet, P., Rocroi, J-P., Hausdorf, B., Kaim, A., Kano, Y., Nu¨tzel, A., Parkhaev, P., Schro¨dl, M., Strong, E. E. (2017) Revised classification, nomenclator and typification of gastropod and monoplacophoran families. Malacologia, 61, 1-526. https://doi.org/10.4002/040.061.0201
Brusca, R. C., Brusca, G. J. (2005) Invertebrados. Ed. MacGraw-Hill. Interamericana.
CONAGUA (Comisión Nacional del Agua) (2003) Curso-taller para la determinación de los planes de gestión del agua de la región costa de Chiapas: Cuenca Coatán. Universidad de Ciencias y Artes de Chiapas. Tuxtla Gutiérrez.
CONAGUA (Comisión Nacional del Agua) (2010) Normas climatológicas de Tapachula, Chiapas 1981 2000. Available in: Available in: http://200.4.8.21/observatorios/historica/tapachula.pdf (consulted October 20, 2018).
Correa-Sandoval, A. (1999) Zoogeografía de los gastrópodos de la región oriental de San Luis Potosí. Revista de Biología Tropical, 47, 493-502.
Correa-Sandoval, A., Rodríguez-Castro, R. (2005) Los gasterópodos terrestres. Pp: 340-344. In: G. Sánchez-Ramos, P. Reyes-Castillo, R. Dirzo (Eds.). Historia Natural de la Reserva de la Biosfera El Cielo, Tamaulipas, México. Universidad Autónoma de Tamaulipas. Tamaulipas, México.
Correa-Sandoval, A., Strenth, N. E., Rodríguez-Castro, R., Horta-Vega, J. V. (2009) Análisis ecológico básico de los gastrópodos terrestres de la región oriental de San Luis Potosí, México. Acta Zoología Mexicana (nueva serie), 25, 105-122.
Fahy, N. E. (2003) Clave de los géneros de moluscos terrestres mexicanos usando caracteres conquiológicos.Revista de Biología Tropical , 51 (3), 473-482.
Fleta-Zaragozano, J. (2017) Enfermedades del caracol. El caracol como vector: esquistosomiasis. Boletin de la Sociedad de Pediatría de Aragón, La Rioja y Soria, 48, 5-10.
Falcón-Brindis, B., Macilla-Brindis, R. F., Araujo-Magano, D., Ribeiro-Machado, R. M., Zotti, M. J. (2014) Gradiente de conservación de comunidades de gasterópodos como indicadores ecológicos, al Norte de Chiapas, México. Ciência e Natura, 36, 655-662.
Flores-Chilel, L. (2015) Uso de suelo en la cuenca del río Coatán (2014), Chiapas, México. Tesis de licenciatura. Ingeniería en Sistemas Costeros, Universidad Autónoma de Chiapas.
Garcés, N., Hernández, A., Caro, I., Arteaga, M. (2009) El humus de suelos cubanos en ecosistemas tropicales conservados y la energía. Terra Latinoamericana, 27, 85-96. Available in: Available in: http://www.scielo.org.mx/scielophp?scrip=sci_arttext&pid=S0187-57792009000200001&Ing=es&ting=es (consulted November 07, 2018).
García, E. (1998) Modificaciones al sistema de clasificación climática de Köppen. Instituto de Geografía Universidad Nacional Autónoma de México.
Grajales, M., De la Piedra, R., López, J. (2008) Diagnostico biofísico y socioeconómico de la parte media y alta de la subcuenca Coatán, Chiapas. Avances de investigación agropecuaria. Revista de Investigación y Difusión Científica Agropecuaria, 12 (1), 28-44.
González-Valdivia, N., Ochoa-Gaona, S., Pozo, C., Gordon-Ferguson, B., Rangel-Ruiz, L. J., Arriaga-Weiss, S. L., Ponce-Mendoza, A. (2011) Indicadores ecológicos de hábitat y biodiversidad en un paisaje neotropical: perspectiva multitaxonómica. Revista Biología Tropical, 59, 1433-1451.
González-Valdivia, N., Martínez-Puc, J., Echeverria-Góngora, E. (2018) Malacofauna en dos sistemas silvopastoriles en Estelú, Nicaragua. Journal Selva Andina Animal Science, 5, 3-13.
Henderson, J. B. (1914) Notes. The Nautilus, 27, 120.
Hinkley, A. A. (1920) Guatemala Mollusca. Nautilus, 34, 37-55.
INIDE (Instituto Nacional de Información de Desarrollo) & MAGFOR (Ministerio Agropecuario y Forestal) (2013) Caracterización agropecuaria del departamento de estelí de acuerdo a datos del IV Cenagro 2011. Departamento de Estelí y sus municipios uso de la tierra y el agua en el sector agropecuario. IV Censo Nacional Agropecuario, Instituto Nacional de Información de Desarrollo y Ministerio Agropecuario y Forestal.
Kauffer, M. E. F. (2010) La cuenca del río Coatán: entre inundaciones y escasez, un escenario complejo para la Cooperación México-Guatemala. En las cuencas hidrográficas de México: Priorización y toma de decisiones. Instituto Nacional de Ecología, México, 202 pp.
Lannge, C. N. (2003) Environmental factors influencing land snail, diversity in Arabuko Sokoke forest, Kenya. African Journal of Ecology, 41, 352-355. http//dx.doi.org/10.1111/j.1365
Maceira, D., Miquel, E. S., Espinosa, J., Virgillito, M., Lauranzón, B. (2013) Moluscos terrestres exóticos y primera cita de la familia Punctidae (Mollusca: Pulmonata: Gastropoda) y de su especie Paralaoma servilis para Cuba. Solenodon, 11, 95-102.
Macip-Ríos, R., Casas-Andreu, G. (2008) Los cafetales en México y su importancia para la conservación de los anfibios y reptiles. Acta Zoológica Mexicana (nueva serie), 24, 143-159.
Martens, E., Thiele, J. (1903) Die beschalten Gasteropoden der deutschen Tiefsee-Expedition. Pp: 1898-1899. In: C. Chun (Ed). Wissenschaftliche Ergebnisse der deutschen TiefseeExpedition auf dem Dampfer ‘Valdivia’, 1898-1899. Jena: Gustav Fischer, 3-179.
Martens, E. von. (1890-1901) Biologia Centrali-Americana. Mollusca. British Museum (Natural History), 196 pp.
Miranda, F., Hernández, E. (1963) Los tipos de vegetación de México y su clasificación. Botanical Sciences, 28, 29-179.
Muños-Cruz, M. L. (2016) Variación de la comunidad de lagartijas (Suborden Sauria) en distintas asociaciones vegetales de la cuenca del rio Coatán, Chiapas, México. Tesis de licenciatura. Ingeniería en Sistemas Costeros, Universidad Autónoma de Chiapas.
Naranjo-García, E., Polaco, O. J., Pearce, T. A. (2000) A new genus and species of semi-slug from Chiapas (Pulmonata: Xanthonychidae). Archiv für Molluskendunde, 128, 153-161.
Naranjo-García, E. (2003) Moluscos continentales de México: Terrestres. Revista de Biología Tropical , 51, 483-493.
Naranjo-García, E. (2014) Biodiversidad de moluscos terrestres en México. Revista Mexicana de Biodiversidad, 85, 431-440.
Naranjo-García, E., Gómez-Espinosa, C. (2011) Moluscos. Pp: 477-499. In: F. Bautista-Zuñiga (Ed). Técnicas de muestreo para manejadores de recursos naturales. Universidad Nacional Autónoma de México, Ciudad de México.
Naranjo-García, E., Smith, A. G. (2014) Update on the terrestrial mollusk of Chiapas, Mexico. American Malacological Bulletin, 32, 32-51.
Nurinsiyah, A. S., Fauzia, H., Hennig, C., Hausdorf, B. (2016) Native and introduced land snail species as ecological indicators in different land use type in Java. Ecological Indicators, 70, 557-565.
Olson, D. M., Dinerstein, E., Wikramanayake, E. D., Burgess, N. D., Powell, G. V. N., Underwood, E. C., D’amico, J. A., Itoua, I., Strand, H. E., Morrison, J. C., Loucks, C. J., Allnutt, T. F., Ricketts, T. H., Kura, Y., Lamoreux, J. F., Wettengel, W. W., Hedao P., Kassem, K. R. (2001) Terrestrial ecoregions of the world: A new map of life on earth. Bioscience, 51, 933-938.
Pérez, A. M., López, A. (2001) Nicaraguan continental molluscan fauna: commentaries and additions. Malacological Review, 33/34, 87-97.
Pérez, A. M., López, A. (2002) Atlas de los moluscos gasterópodos continentales del Pacífico de Nicaragua. Managua: UCA Publicaciones. Universidad Centroamericana, Nicaragua.
Pérez, A. M., Sotelo, M., Ramírez, F., Ramírez, I., López A., Síria. I. (2006) Conservación de la biodiversidad en sistemas agropastoriles de Matiguás y Río Blanco (Matagalpa, Nicaragua). Ecosistemas, 15, 125-14. Available in: Available in: http://www.revistaecosistemas.net/pdfs/429.pdf (consulted August 18, 2018).
Pfeiffer, L. (1839) Bericht über die Ergebnisse meiner Reise nach Cuba im Winter 1838-1839. Arch Naturgesch, 5, 346-358.
Pilsbry, H. A. (1906) Manual of Conchology: Achatinidae: Stenogyrinae and Coeliaxinae. Ser. 2, Vol. 18. (Pp: 1-357). Academy of Natural Sciences, Philadelphia.
Pilsbry, H. A. (1907-1908) Manual of Conchology: Oleacinidae, Ferussacidae. Ser. 2, Vol. 19. (Pp: 1-366). Academy of Natural Sciences, Philadelphia .
Pilsbry, H. A. (1930) Results of the Pinchot south sea expedition, II. Land mollusk of the canal zone, the republic of Panama and the Cayman Islands. Proceedings of the Academy of Natural Sciences of Philadelphia, 82, 339-354.
Pilsbry, H. A. (1939) Land Mollusca of North America (north of Mexico). Vol. 1, Pt. 1. (Pp: 1-573). Monograph 3 of the Academy of Natural Science of Philadelphia.
Pilsbry, H. A. (1940) Land Mollusca of North America (north of Mexico). Vol. 1, Pt. 2. (Pp: 575-994). Monograph 3 of the Academy of Natural Science of Philadelphia.
Pilsbry, H. A. (1946) Land mollusca of North America (north of Mexico). Monographs of the Academy of Natural Sciences of Philadelphia, 3, II (1), 1-520.
Pilsbry, H. A. (1948) Land Mollusca of North America (north of Mexico). Vol. II, Pt. 2. (Pp: 521-1113). Monograph 3 of the Academy of Natural Science of Philadelphia.
Raheem, D. C., Naggs, F., Preece, R. C., Mapatuna, Y., Kariyawasam, L., Eggleton, P. (2008) Structure and conservation of Sri Lankan land-snail assemblages in fragmented lowland rainforest and village home gardens. Journal of Applied Ecology, 45, 1019-1028.
Rehder, H. A. (1942) Some new land shells from Costa Rica and Panama. Journal of the Washington Academy of Sciences, 35, 350-352.
Rojas, S. A., Hartman K. U., Almonacid, R. (2012) El impacto de la producción de café sobre la biodiversidad, la transformación del paisaje y las especies exóticas invasoras. Ambiente y Desarrollo, 16, 93-104.
Rzedowski, J. (2006) Vegetación de México. 1ra.Edición digital, Comisión Nacional para el Conocimiento y Uso de la Biodiversidad, México, 504 pp.
Sazima, I. (1989) Feeding behavior of the snail-eating snake Dipsas indica. Journal Herpetology, 23, 464-468.
Schilthuizen, M., Thor-Seng, L., Berjaya, B. E., Lackman-Ancrenaz, I. (2005) Effects of karts forest degradation on pulmonate and prosobranch land snail communities in Sabah, Malaysian Borneo. Conservation Biology, 19, 949-954.
Snodgrass, M. F. (1998) Ancient climate as inferred by land snails at the Brokenleg Bend locality, Oklahoma. Journal Undergraduate Research, 1, 154-160.
Solano, J., Villalobos, R. (2000) Regiones y subregiones climáticas de Costa Rica. San José: Instituto Meteorológico Nacional. Instituto Meteorológico Nacional. Available in: Available in: https://www.imn.ac.cr/documents/10179/20909/regionalización+climática+de+Costa+Rica (consulted August 22, 2018).
Solem, A. (1974) On the affinities of Humboldtiana fullingtoni Cheatum 1972 (Mollusca: Pulmonata: Helminthoglyptidae). Veliger, 16, 359-226.
Swainson, W. (1840) A Treatise on Malacology, or Shells and Shell-fish. Longman, London.
Thompson, F. G. (1966) A new pomatiasid from Chiapas, Mexico. The Nautilus, 80 (1), 24-28.
Thompson, F. G. (1967) A new land snail of the family Proserpinidae from Chiapas, Mexico (Gastropoda: Prosobranchia). Proceedings of the Biological Society of Washington, 80, 61-64.
Thompson, F. G. (1976) The genus Epirobia in Chiapas, Mexico. The Nautilus, 90 (1), 41-46.
Thompson, F. G. (2011) An annotated checklist and bibliography of the land and freshwater snails of Mexico and Central America. Bulletin of the Florida Museum of Natural History, 50, 1-299.
Notes
Author notes
*Corresponding author: <edgar.tovar@unach.mx>