Artículos originales
Avifauna de la Sierra de Santa Catarina, Ciudad de México
Avifauna of the Sierra de Santa Catarina, Mexico City
Avifauna de la Sierra de Santa Catarina, Ciudad de México
Acta zoológica mexicana, vol. 41, e2725, 2025
Instituto de Ecología A.C.
Received: 26 September 2024
Accepted: 07 June 2025
Published: 24 July 2025
Resumen: La Sierra de Santa Catarina, ubicada al oriente de la Ciudad de México, integrada por siete volcanes extintos, representa uno de los pocos sitios verdes dentro de la entidad federativa, dominados por pastizal y matorral xerófilo. No obstante que existe un Área Natural Protegida estatal, carece de inventarios actualizados de su flora y fauna. El presente estudio pretende aportar información sobre las especies de aves en el polígono de tres volcanes, el Tetlamanche, Tecuatzin y Mazatepec, que corresponden al área mejor conservada de la sierra. De marzo de 2022 a febrero de 2023 realizamos 12 muestreos utilizando conteos en 11 puntos, en donde registramos la riqueza de especies y la abundancia de los taxa observados. Se realizó un muestreo mensual recorriendo todos los puntos. Se utilizaron curvas de rarefacción para evaluar la completitud del inventario, así como curvas de rango-abundancia para analizar la dominancia de las especies. Se calculó la diversidad alfa de cada mes con el índice de Shannon-Wiener usando el programa PAST y la diversidad beta entre ambos tipos de vegetación en el área. Registramos un total de 113 especies de aves para la Sierra de Santa Catarina: 96 observadas durante el muestreo de campo, y 17 con registros en bases de datos, las cuales pertenecen a 11 órdenes y 29 familias. Ocho especies están en alguna de las categorías de riesgo de la NOM-059 como Accipiter cooperii y Geothlypis tolmiei, y 19 tienen un grado de endemismo. De acuerdo con la curva de rarefacción/extrapolación, el inventario es aún incompleto. La diversidad alfa de la avifauna fue de H´ = 3.22, mientras que la H´ por mes siempre >2 (2-3.50). En conclusión, en este sitio se distribuyen al menos 113 especies de aves, algunas en categoría de riesgo dentro de la Ciudad de México. Es necesario realizar un mayor esfuerzo de muestreo y a largo plazo en esta sierra de Santa Catarina para explorar la dinámica de las comunidades de aves en esta área de impacto urbano.
Palabras clave: Aves, área natural protegida, conteo por puntos, extrapolación, Mazatepec, Tecuatzin, Tetlamanche, volcanes.
Abstract: The Sierra de Santa Catarina, located east of Mexico City, is one of the green areas that represent the grasslands and xerophytic scrub in this state. Although the Sierra de Santa Catarina is a state nature reserve, it lacks an up-to-date inventory of its flora and fauna. This study provides information on the bird species present in the three volcanoes (Tetlamanche, Tecuatzin and Mazatepec) out of a total of seven that make up the Sierra, which is the best-preserved area. March 2022 to February 2023, we conducted monthly surveys using the point count method at 11 points, where we recorded the species richness and abundance of the observed taxa. Rarefaction curves were used to assess the completeness of the inventory and range-abundance curves to analyze the dominance of species. We calculated alpha diversity for each month using the Shannon-Wiener index and beta diversity between the two vegetation types. We recorded a total of 113 bird species for the Sierra de Santa Catarina: 96 species observed during the field observations and 17 species recorded in the database, belonging to 11 orders and 29 families. Eight of the recorded species belong to one of the NOM-059 risk categories and 19 show some degree of endemism. According to the rarefaction/extrapolation curve, the inventory is still incomplete. The alpha diversity of the avifauna was H' = 3.22, while H' per month was always >2 (2-3.50). In summary, this site serves as a refuge and feeding ground for at least 113 bird species in Mexico City. Although the results show a greater species diversity than previously observed, a greater sampling effort is required.
Key words: Birds, natural protected areas, point counts, extrapolation, Mazatepec, Tecuatzin, Tetlamanche, volcanoes.
Introducción
Aproximadamente 2041 especies (20%) de las aves del mundo se pueden encontrar cerca de las ciudades (Aronson et al., 2014). Sin embargo, su abundancia y riqueza se reducen conforme se aproximan a los centros urbanos (Aronson et al., 2014), principalmente por los cambios atmosféricos, al aumento en la contaminación y la disminución de la vegetación (Seress & Liker, 2015). En México, el cambio de uso de suelo es la principal causa de pérdida de la biodiversidad de aves, no obstante, el efecto del cambio de uso de suelo no es igual para todas las especies, ya que algunas han incrementado su abundancia poblacional y/o distribución, por ejemplo, el zanate mayor (Quiscalus mexicanus) (Prieto-Torres et al., 2023). Por otra parte, se ha observado que existe una asociación positiva entre los parches de áreas verdes en los centros urbanos y la diversidad de aves (La Sorte et al., 2020).
La Ciudad de México (CDMX), es la entidad federativa más pequeña de México con apenas 148,500 ha, es decir, el 0.1% del país, en la cual 53,560 ha de su área corresponde a paisaje natural, 71,280 ha a suelo de uso urbano y 23,760 ha a zonas agropecuarias y semi urbanizadas (Cram et al., 2016). Al mismo tiempo, la CDMX es la segunda entidad más poblada del país con 9,209,944 habitantes (INEGI, 2020), y en donde la búsqueda de vivienda es constante, situación que ha llevado a la transformación de los suelos de conservación y áreas naturales a suelos de uso urbano, con asentamientos irregulares en la periferia de la ciudad. En la CDMX hay 27 Áreas Naturales Protegidas (SEDEMA, 2024), entre las que destaca la Sierra de Santa Catarina (SCC), ubicada entre las alcaldías Iztapalapa y Tláhuac, al oriente de la ciudad. Esta sierra funciona como un corredor biológico y punto de conectividad para las aves y otra fauna con otros parches de vegetación (Zellmer & Goto, 2022). La Sierra de Santa Catarina se encuentra en una de las zonas más densamente pobladas de la entidad con alrededor de 4,000,000 de habitantes (Granados, 2013), y, en consecuencia, se han visto reducidas las áreas silvestres debido a nuevos asentamientos humanos, así como de las actividades mineras y agrícolas (Granados, 2013).
La información obtenida del monitoreo de las especies en zonas perturbadas proporciona información valiosa sobre los efectos del cambio ambiental en sus poblaciones y facilita la investigación sobre biodiversidad global (Wetzel et al., 2018). Sin embargo, pese a los esfuerzos recientes de evaluar las tendencias poblacionales de las aves a gran escala, los resultados siguen siendo insuficientes para evaluar a todas las especies en todas las escalas. Por lo tanto, el monitoreo de la biodiversidad a escalas regionales y locales toma mayor importancia.
Para la Sierra de Santa Catarina no existe un inventario ni estudio actualizado sobre la riqueza de aves. La única información disponible son los listados por la Dirección General de la Comisión de Recursos Naturales y Desarrollo Rural (GODF, 2005), con 30 especies y en el Parque Ecológico Yecahuitzol con 56 especies de aves (eBird, 2024). De manera qué, para la mayor parte de la SSC, que no forma parte del ANP-SSC, se desconoce la riqueza de especies de aves. Por tal motivo, el objetivo de este estudio fue proporcionar una lista actualizada, una estimación de la diversidad y un análisis de la riqueza de especies de aves en tres volcanes de la SSC.
Materiales y métodos
Área de estudio. La Sierra de Santa Catarina, ubicada al oriente de la Ciudad de México (19°19´29.21´´ N, 99°16.7´´ O), está conformada por siete volcanes monogenéticos extintos del Cuaternario, tiene una longitud de 12 km con orientación oriente a poniente, entre las alcaldías de Iztapalapa y Tláhuac, CDMX (Lugo-Hubp et al., 1994). Esta sierra tiene un área de 2,166 ha, de las cuales el 34% pertenecen al Área Natural Protegida-SSC. El muestreo se llevó a cabo fuera del ANP-SSC por ser la zona mejor conservada de la SSC, es la menos estudiada y con menos visitantes. El polígono está conformado por los volcanes Tetlamanche (Volcán de Guadalupe), Tecuatzin (Cerro de las Tres Cruces) y Mazatepec, estos tres volcanes en conjunto serán referidos posteriormente como “TETEMAC” (Fig. 1). El polígono TETEMAC abarca 181.51 ha y tiene un clima templado subhúmedo con lluvias en verano y dos tipos de vegetación, el matorral xerófilo y el pastizal inducido (Fig. 2). El matorral xerófilo se caracteriza por ser una comunidad de arbustos y arboles bajos, en donde predominan la siempreviva (Sedum praealtum A.DC, 1848), nolina (Nolina parviflora Hemsl, 1884), palo loco (Senecio praecox DC., 1838), tepozán (Buddleja cordata Kunth, 1957 y Buddleja parviflora Kunth, 1818), y el huizache (Acacia farnesiana Willd, 1806), así como, algunas especies de cactáceas como el nopal chamacuero (Opuntia tomentosa Salm-Dyck, 1822). El pastizal inducido está dominado por especies de pastos anuales como Aristida adscensionis L., 1753 y Chondrosum simplex Kunth, 1829 (Gobierno del Distrito Federal, 2005).


Trabajo de campo. De marzo del 2022 a febrero del 2023 se realizaron 12 muestreos mensuales, en un horario de 07:00-15:00 h. El conteo se llevó a cabo en 11 puntos de muestreo separados al menos 250 m, cinco puntos fueron ubicados en el matorral y seis en el pastizal, los cuales presentaron un radio de 25 m. El tiempo de observación fue de 10 minutos en cada punto (Volpato et al., 2009). Para el caso de las aves rapaces se utilizaron cuatro puntos elevados de observación en 12 muestreos mensuales. Estos puntos elevados estaban ubicados en las partes más altas de cada volcán, donde se registraron individuos en un campo visual de 120° y un radio de 1000 m, durante 30 minutos (Ralph et al., 1995). El muestreo se realizó por tres personas por punto de observación. Durante las observaciones de campo se emplearon binoculares Carl Zeiss (10 x 52) y cámaras fotográficas Canon con lentes de 75-300 mm. Para la determinación taxonómica de las especies se usaron las guías de campo de Howell y Webb (1995), Sibley (2000), Kaufman (2005), Dunn y Alderfer (2017) y eBird (2024).
Se realizó una lista taxonómica de acuerdo con la American Ornithological Society (Chesser et al. 2024). Asimismo, utilizamos las seis categorías de residencia propuestas por Berlanga et al. (2019). Para completar el listado taxonómico, incluimos las especies de aves incluidas en las bases de datos de GBIF (2024), Naturalista (2024) y Ebird (2024), seleccionando los registros dentro y en la periferia del área de estudio (250 m como máximo fuera del límite establecido). En estos registros se incluyeron los años 1990 al 2023. Así mismo, se incluyeron los registros de colecciones biológicas. Para aquellas que no contaban con material de referencia, se usaron sólo las que tenían registro fotográfico que permitiera la determinación taxonómica del individuo.
Para clasificar la abundancia de las especies, se usaron los números de registros de cada especie obtenidos durante el trabajo de campo y las categorías propuestas por Ramírez (2000): Abundancia extrema (AE, >100 organismos), muy abundante (MA, 41-99 organismos), abundante (A, 16-40 organismos), común (C, 6-15 organismos), rara (R, 3-5 organismos) y muy rara (MR, 1-2 organismos). Del mismo modo, se asignó a cada especie el tipo de residencia de acuerdo con la clasificación en González-García y Gómez de Silva (2003) y con base en los meses en que fue registrada la especie en los muestreos, siendo éstas: Residentes (R), Migratorias de invierno (MI), Migratorias de verano (MV), Transitorias (T), Accidentales (A) y Oceánicas (O), para el caso de las especies obtenidas de las bases de datos, se consideraron las fechas de observación del ejemplar especificadas en la plataforma para su ubicación en alguna categoría. Además, se utilizó la misma clasificación para describir su endemismo. También, se describe si la especie se encuentra en alguna categoría de riesgo de acuerdo con los datos de la Norma Oficial Mexicana-059-SSA1-2015 y su modificación del 2019 (SEMARNAT, 2019).
Análisis de diversidad. Para evaluar la completitud del inventario y analizar la riqueza de especies de aves, se generaron curvas de rarefacción y extrapolación para los tres primeros números de Hill (q=0, 1 y 2) (Fig. 3) con el programa iNEXT Online, tomando en consideración que la diversidad obtenida se expresa en número efectivo de especies o especies verdaderas (Chao et al., 2022), dónde el número de Hill de orden q = 0 representa la riqueza de especies, q = 1 representa el exponencial del índice de Shannon y pondera las especies por su abundancia sin ningún sesgo por las especies raras o abundantes, mientras que q = 2 equivale al inverso del índice de Simpson y representa a las especies dominantes (Chao et al., 2022).

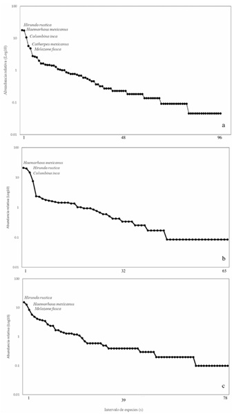
Con el programa Excel Ver.2307 se construyó una curva de rango-abundancia para observar la estructura de la comunidad (Fig. 4). Se utilizó la abundancia relativa de las especies de aves, calculada por la fórmula: “Abundancia relativa = (Abundancia absoluta de la especie/total de individuos) *100” y usamos el logaritmo base 10 de la abundancia para una mejor apreciación de la estructura de la comunidad (Magurran, 2004).

Se calculó la diversidad alfa para cada mes con el índice de Shannon-Wiener (H´), por medio del programa PAST, esto debido a que este índice es igual de sensible tanto al aporte de las especies abundantes, como a las especies raras, disminuyendo el sesgo que pudiese presentarse con otros índices de diversidad (Cruz et al., 2017). El resultado de este análisis fue transformado a valores de “diversidad verdadera” (expH´=Número efectivo de especies) utilizando las fórmulas de Jost (2007). Esto permitió comparar la diferencia entre la diversidad de cada mes, algo que no es posible sólo con los índices de diversidad (Cruz et al., 2017). Por último, se obtuvo la diversidad beta, al comparar el grado de disimilitud entre ambos tipos de vegetación, para lo cual se calculó el índice de disimilitud de Sorensen con la formula proporcionada por Baselga (2009).
Resultados
Se obtuvo un total de 2,197 registros de campo de 96 especies de aves, 68 géneros, 30 familias y 11 órdenes (Cuadro 1), de las cuales 49 fueron especies residentes, 20 migratorias de invierno, siete migratorias de verano y 20 transitorias. De acuerdo con la NOM-059 (SEMARNAT 2019) cinco especies están en categoría de Protección Especial y una Amenazada. De forma adicional, cinco especies se consideraron como endémicas, 11 semi-endémicas, una cuasi-endémica y una exótica, aunque el mirlo dorso canela (Turdus rufopalliatus de Lafresnaye, NFAA, 1840) también suele ser considerado como especie exótica (Wilson y Ceballos-L., 1986, citado por Howell & Webb, 1995). De las bases de datos que se revisaron se registraron 52 especies, que pertenecen a 45 géneros, 21 familias y 7 órdenes, 17 de estas especies no se observaron durante este estudio (Cuadro 1).

La riqueza de especies de aves reportada con este estudio y registros previos para el polígono TETEMAC es de 113 especies, de 77 géneros, 30 familias y 11 órdenes. Las familias con mayor riqueza específica fueron Tyrannidae y Parulidae con 13 especies cada una, seguidas de Passerellidae con 12 especies. Del total de especies, 53 son residentes, 31 son migratorias de invierno, siete son migratorias de verano y 22 son transitorias, siendo así que, más de la mitad son especies no residentes. En conjunto, a nivel nacional, siete especies están clasificadas bajo la categoría de Protección Especial y una en la categoría de Amenazada (Cuadro 1). Asimismo, cinco especies son endémicas de México, 12 especies son semi-endémicas, una cuasi-endémica, y una exótica.
De acuerdo con la completitud del muestreo, la curva de rarefacción mostró > 99% para el área estudiada, con una extrapolación a 103.55 taxa considerando un tamaño de muestra del doble (Fig. 3). Asimismo, las curvas de rarefacción y extrapolación indican que las especies comunes (q1 = 25.12) y dominantes (q2 = 11.93) fueron muestreadas adecuadamente (Cuadro 2).

Los valores de la diversidad de Shannon-Wiener fueron de 2.35 - 3.56 en todos los meses, siendo abril el mes con el valor mayor H´ = 3.56, seguido de marzo con 3.16, mientras que diciembre presentó los valores menores con 2.35. Considerando estos valores como número efectivo de especies, todos los meses presentaron valores >10, abril fue el más diverso con un valor de 35.16 especies y diciembre el menos diverso con 10.55 (Cuadro 3). Al comparar por tipos de vegetación, el matorral tuvo un valor de Shannon-Wiener de 2.85 y el pastizal de 3.40, al transformarlo en número efectivo de especies cada sitio presentó 17.28 y 29.96 especies efectivas respectivamente. Al analizar la diversidad beta por medio del índice de disimilitud de Sorensen y sus componentes, tenemos que βSOR = 0.33, mientras que βSIMP = 0.26 y βNES = 0.07.

La curva de rango-abundancia muestra que el ensamblaje de aves estuvo dominado por cinco especies con abundancia extrema: el Rascador viejita (Melozone fusca (Swanson, 1827) n= 106, Saltapared barranqueño (Catherpes mexicanus Swainson, 1829) n = 126, Pinzón mexicano (Haemorhous mexicanus Müller, 1776) n = 379, Golondrina tijereta (Hirundo rustica Linnaeus, 1758) n = 391 y la Tortolita cola larga (Columbina inca Lesson, 1847) n = 232 (Fig. 4). Del resto de las especies, cuatro fueron muy abundantes, 17 fueron abundantes, 16 comunes, 24 raras y 30 muy raras, de estas últimas la mayoría son especies migratorias o transitorias (Cuadro 1).
Discusión
Este estudio se realizó en tres de los siete volcanes que conforman la Sierra de Santa Catarina, por motivos logísticos, debido a lo difícil del acceso a los sitios. En los tres volcanes se registraron en total 113 especies de avifauna, que representan al 10.06% de las 1,123 especies reportadas para México (Navarro-Sigüenza et al., 2014) y al 27.62% de las 409 especies registradas para la Ciudad de México de acuerdo con eBird (Meléndez-Herrada et al., 2016; eBird, 2024). De las 96 especies de aves registradas, solo 26 especies representan más del 86% de los individuos avistados, mientras que en el caso de las aves rapaces su abundancia fue del 1.8% de los individuos totales observados, siendo en su mayoría especies transitorias y migratorias de invierno.
La completitud del inventario de acuerdo con la curva de rarefacción, indican que es necesario un mayor esfuerzo de muestreo para alcanzar la asíntota y el inventario sea más confiable para un análisis de diversidad, por lo que, el número de especies para la SSC puede incrementarse, ya que el presente listado representa solo tres de los siete volcanes que conforman la sierra, lo que representa el 31% de toda la SSC (1815 km2) (Gobierno del Distrito Federal, 2005). No obstante, la riqueza de especies de aves del TETEMAC resulta similar a la avifauna de otras áreas de conservación presentes en el Valle de México como la Sierra de Guadalupe (GOCDMX, 2016) y la Reserva del Pedregal de San Ángel (Chávez & Gurrola, 2009), no obstante que estos sitios presentan mayor extensión territorial o tipos de vegetación que la SSC.
La diversidad de la avifauna para todo el ciclo anual entre 2022-2023 en el TETEMAC fue de H´ = 3.22, valor que se interpreta como de diversidad media, dónde Margalef (1972) y Magurran (2004) indican que el índice de Shannon-Wiener varía entre 1 a 5, donde valores menores a 2 indica una diversidad baja, valores de 2 a 3.50 una diversidad media y superiores a 3.50 una diversidad alta. Las estimaciones de diversidad fueron similares cada mes, con una H´ > 2, siendo abril el mes que presentó el valor más alto (H´ = 3.56) que convertido a número efectivo de especies es igual a 35.16. Estos resultados coinciden con otros estudios donde encontraron que la mayor riqueza de especies ocurrió entre los meses de enero a junio, destacando aquellas especies con una dependencia forestal media (Sandoval, 2019). Adicionalmente, contrario a lo que podríamos esperar, el pastizal presentó mayor diversidad que el matorral xerófilo, lo que puede deberse a un conjunto de factores, como el amplio uso del pastizal por especies migratorias y playeras, así como la llegada de especies generalistas a causa del efecto antrópico.
La mayor riqueza de especies de aves fue en la temporada seca, de noviembre a mayo, donde coincide con la presencia de las especies migratorias neotropicales. Mientras que la menor riqueza de especies ocurrió en la época húmeda (junio-octubre) en la SSC, lo cual coincide con el regreso de las aves migratorias para reproducirse en Norteamérica (Girma et al., 2017). Asimismo, algunas especies tienen movimientos hacia los campos de cultivo que existen en las partes bajas de la SSC y que representan una alternativa para el forrajeo y sitios de nidificación para estos taxa (LaGory et al., 2024). Por ejemplo, Spizella passerina, Piranga bidentata y Lanius ludovicianus, Polioptila caerulea se registraron en las partes altas en el matorral xerófilo durante la época seca, durante la época de lluvias se registraron también en el pastizal en zonas bajas.
La disminución en el número de taxa totales observados respecto al número efectivo de especies (q1) para todo el ciclo anual fue del 73.83%, lo que indica que la estructura de la comunidad es menos equitativa (Zelený, 2023). Cinco especies fueron las dominantes por su abundancia (M. fusca, C. mexicanus, H. mexicanus, H. rustica y C. inca), cuyas poblaciones han sido favorecidas por la expansión de las actividades antrópicas (Woods, 1998; Kannan et al., 2019). En el otro extremo están aquellas que sólo fueron registradas una vez en todo el ciclo anual, principalmente rapaces diurnas como Accipiter cooperii (Bonaparte, CLJL 1828), Accipiter striatus (Vieillot, LJP 1808), Buteo platypterus (Vieillot, LJP 1823) o Circus hudsonius (Linnaeus, C 1766), lo que puede indicar una disminución de la riqueza y abundancia de especies de rapaces diurnas a causa de la perturbación como se ha reportado en otros estudios (Eduardo et al., 2007).
Las cinco especies más abundantes son tolerantes al disturbio y su dominancia está sometida a diferentes actividades antrópicas como la ganadería de caprinos, agricultura de temporal, minería extractiva e incendios frecuentes, asimismo el sitio es usado como lugar de recreación por los vecinos, sobre todo los fines de semana (Román-Suárez, 2022). Estas actividades afectan la equitatividad y riqueza de las especies de un lugar. No obstante, también se registraron especies en zonas menos perturbadas que se ubican en las partes altas de la sierra, dominadas por el matorral xerófilo, por ejemplo, Cynanthus latirostris (Sawaison, WJ 1827), Thryomanes bewickii (Audubon, JJ 1827) o Spizella atrogularis (Cabanis, JL 1851), especies susceptibles a la antropización del hábitat de las zonas bajas de la sierra y que se reproducen en sitios a mayor altitud, así como, matorrales densamente poblados con grandes rocas y laderas (Kennedy & White, 2020; Powers & Wethington, 2022), características propias de las zonas más altas de la SSC.
La diversidad beta presentó una baja similitud entre las comunidades de aves entre ambos tipos de vegetación, consecuencia del bajo recambio de especies. Esto puede deberse a que el pastizal inducido posee una mayor distribución en las partes bajas de la sierra y tiene una estructura física más simple que el matorral, lo que genera en la avifauna un uso diferencial de estos ambientes que se refleja en la estructura de las comunidades de las aves, principalmente por la llegada de especies exóticas en el pastizal (Búrquez et al., 1998).
La mayoría de las especies del TETEMAC son de hábitos exclusivamente terrestres, excepto Actitis macularius (Linnaeus, 1766) y Ardea ibis (Linnaeus, 1758) y representan al 35.22% de las 264 especies terrestres registradas en la CDMX (Meléndez-Herrada et al., 2016). Las familias Tyrannidae, Parulidae y Passerellidae, fueron las de mayor riqueza específica y las más diversas en la avifauna de la Ciudad de México (con 30, 40 y 15 especies respectivamente) (Meléndez-Herrada et al., 2016). Así mismo, son familias diversas en la Reserva Ecológica del Pedregal de San Ángel (REPSA) (con 14, 19 y 11 especies respectivamente) (Chávez & Gurrola, 2009). Estas familias son las más diversas en las comunidades de aves neotropicales (Schmitt & Edwards, 2022), motivo de su gran representatividad en el TETEMAC al igual que en otros sitios de México.
El 7.07% de la avifauna del TETEMAC, se encuentran en alguna categoría de riesgo a escala nacional (SEMARNAT 2019), número similar al 9% encontrado para la avifauna de la CDMX (Meléndez-Herrada et al., 2016). La única especie amenazada es G. tolmiei, mientras las otras seis especies están bajo protección especial. En este estudio las especies observadas fueron A. cooperii y A. striatus consideradas muy raras, G. tolmiei como rara y P. unicinctus como abundante. Todas estas especies son de amplia distribución (SEMARNAT, 2019).
Registramos cinco especies endémicas de México que representaron el 4.42% de la avifauna registrada, valor menor al 5.30% de especies endémicas con distribución en la CDMX (González-García & Gómez de Silva, 2003; Meléndez-Herrada et al., 2016), aunque el área de estudio forma parte de la región biogeográfica Eje Neovolcánico, una zona reconocida por ser un centro de endemismo y de transición biogeográfica para un número importante de especies (Gámez et al., 2012). La SSC no refleja este mismo patrón de alto endemismo, lo que puede ser una consecuencia de que las comunidades vegetales de matorral y pastizal de la SSC son más similares a las comunidades del Altiplano Mexicano que a los bosques de la Eje Neovolcánico (Gámez et al., 2012). Por lo tanto, el nivel de endemismo registrado fue menor al del Eje Neovolcánico, considerando que en el matorral xerófilo el número de especies endémicas suele ser menor (González-García & Gómez de Silva, 2003; Navarro-Sigüenza et al., 2014).
Las cinco especies endémicas a México registradas en el área de estudio tienen una distribución amplia en el territorio nacional, de ellas S. torqueola llega a ser abundante en otras regiones, principalmente en las tierras bajas del Pacífico Mexicano en áreas abiertas como sabanas, bordes de pantano, pastizales y bordes de carreteras (Hilty, 2011). Por su parte, G. nelsoni habita matorrales áridos y semihúmedos (Howell & Webb, 1995), y su abundancia es baja en otros sitios, como fue registrado en este estudio. Por otro lado, I. abeillei y S. heloisa aunque residen en tierras altas por encima de los 1500 msnm, su baja abundancia se debe a que utilizan los bosques húmedos y semihúmedos de pino, así como, la vegetación arbustiva (Howell & Webb, 1995), contrario a T. rufopalliatus, que presenta una amplia distribución (Howell & Webb, 1995) y un buen aprovechamiento de ambientes antropizados y, por ende, una mayor abundancia en la zona.
El 53.09% de las especies de aves registradas en el TETEMAC son migratorias o transitorias, valor que indica el importante uso de las aves en la SSC, la cual funciona como corredor biológico o sitio de conexión para las aves que se desplazan hacia otras áreas como las montañas del Eje Neovolcánico y matorrales del Altiplano (Zellmer & Goto, 2022). Asimismo, usan la SSC como sitio de descanso debido a la presencia de recursos necesarios y las condiciones medioambientales adecuadas para recuperar energías (Packett & Dunning, 2009).
En conclusión, el polígono TETEMAC de la SSC, presenta una diversidad avifaunística similar al de otras áreas de importancia ecológica presentes en el Valle de México. Además, corresponde a un sitio donde más de la mitad de las especies registradas son migratorias. Es necesario llevar a cabo más estudio en la SSC, que abarque la totalidad de la sierra y un mayor periodo de tiempo para dilucidar los cambios en la riqueza de la avifauna del sitio, determinación de los patrones de cambios poblacionales de los taxa presentes en la sierra y evaluar el efecto de la creciente presión urbana.
Agradecimientos.
Agradecemos al Consejo Nacional de Humanidades, Ciencias y Tecnologías (Conahcyt) por el apoyo a los estudiantes de posgrado Luis Enrique Galeana Barrera (2223803845) y Raúl Balam Pérez Hernández (2223803854) para realizar esta investigación. Al Sr. José Luis Sotelo Guadarrama y a la Biol. Aurora Elizabeth Ramírez López por su apoyo en campo. Asimismo, a los revisores de la revista quienes con sus observaciones permitieron mejorar el manuscrito original. Agradecemos a la Sra. Hermelinda Barrera Bernabé por su apoyo al proporcionarnos equipo de campo usado durante los muestreos. Por último, agradecemos a la Coordinación de la Maestría en Biología de la Universidad Autónoma Metropolitana Unidad Iztapalapa por las facilidades otorgadas para realizar dicha investigación.
Litertura citada
Aronson, M. F. J., La Sorte, F. A., Nilon, C. H., Katti, M., Goddard, M. A., Lepczyk, C. A., Warren, P. S., Williams, N. S. G., Cilliers, S., Clarkson, B., Dobbs, C., Dolan, R., Hedblom, M., Klotz, S., Koojimans, J. L., Kühn, I., MacGregor-Fors, I., McDonell, M., Mörtberg, U., Pysek, P., Siebert, S., Sushinsky, J., Werner, P., Winter, M. (2014). A global analysis of the impacts of urbanization on bird and plant diversity reveals key anthropogenic drivers. Proceedings of the Royal Society B, 281(1780), 20133330-20133330. https://doi.org/10.1098/rspb.2013.3330
Baselga A. (2009) Partitioning the turnover and nestedness components of beta diversity. Global Ecology and Biogeography, 19(1), 134-143. https://onlinelibrary.wiley.com/doi/epdf/10.1111/j.1466-8238.2009.00490.x
Berlanga, G. H., Gómez, S. H., Vargas, C. V. M., Sánchez, G. L. A., Ortega, A. R., Calderón, P. R. (2019) Aves de México. Lista actualizada de especies y nombres comunes. CONABIO, México, 18 pp. https://www.biodiversidad.gob.mx/media/1/ciencia-ciudadana/documentos/Lista_actualizada_aos_2019.pdf (consultado 29 febrero 2024).
Búrquez-Montijo, A., Miller, M. E., Martínez-Yrízar, A. (1998) Mexican grasslands and the changing aridlands of Mexico: an overview and a case study in northwestern Mexico. pp 21-32. En: Tellman, B. D., Finch, D., Edminster, C., Hamre, R. (Eds.). The future of arid grasslands: identifying issues seeking solutions. Us Department of Agriculture, Forest Service, Rocky Mountain Res, United States. Disponible en: Disponible en: https://www.fs.usda.gov/rm/pubs/rmrs_p003/rmrs_p003_021_032.pdf (consultado 06 diciembre 2024).
Chao, A., Ma, K. H., Hsieh, T. C. (2022) iNEXT (iNtrapolation and EXTrapolation) Online: Software for Interpolation and Extrapolation of Species Diversity Program and User´s Guide. Version 3.0.1 (29 March 2023). http://chao.stat.nthu.edu.tw/wordpress/software_download/inext-online/ (consultado 19 febrero 2024).
Chávez, C. N., Gurrola, H. M. A. (2009) Avifauna. Pp. 496. En: Lot, A., Cano-Santana, Z. (Eds). 2009. Biodiversidad del ecosistema del Pedregal de San Ángel. UNAM, México. https://www.researchgate.net/publication/268516691_Biodiversidad_del_ecosistema_del_Pedregal_de_San_Angel-Herpetofauna (consultado 19 febrero 2024).
Chesser, R. T., Billerman, S. M., Burns, K. J., Cicero, C., Dunn, J. L., Hernández-Baños, B. E., Jiménez, R. A., Johnson, O., Kratter, A. W., Mason, N. A., Rasmussen, P. C., Remsen, J. V. Jr . (2024) Sixty-fifth Supplement to the American Ornithological Society’s Check-list of North American Birds. Ornithology, 141 (3), 1-21. https://doi.org/10.1093/ornithology/ukae019
Cram, S., Reygadas, P. D., Fernández-Lomelín, P. (2016) Resumen ejecutivo. Contexto físico. Pp. 25-28. En: CONABIO/SEDEMA (Eds.). La biodiversidad en la Ciudad de México. Vol. I. CONABIO-SEDEMA. México. https://dev-chm.cbd.int/doc/nbsap/study/mx-study-cuidad-de-mexico-p1-es.pdf (consultado 19 febrero 2024).
Cruz, F. D. D., Martínez, B. D., Fontenla, J. L., Mancina, C. A. (2017) Inventarios y estimaciones de la biodiversidad. Pp. 28-43. En Mancina CA, Cruz DD (Eds.). Diversidad biológica de Cuba: métodos de inventario, monitoreo y colecciones biológicas. AMA, Cuba. https://www.researchgate.net/profile/Daily-Martinez-Borrego-2/publication/324925621_INVENTARIOS_Y_ESTIMACIONES_DE_LA_BIODIVERSIDAD/links/5aeba572458515f59981e2b2/.pdf (consultado 19 febrero 2024).
Dunn, J., Alderfer, J. L. (2017) National Geographic Field Guide to the Birds of North America. National Geographic, United States. 592 pp.
eBird. (2024) Ciudad de México. Disponible en: Disponible en: https://ebird.org/region/MX-DIF (consultado 25 de agosto 2024).
Eduardo, C., Carcalho, A., Marini, M. Á. (2007) Distribution patterns of diurnal raptors in open and forested habitats in south-eastern Brazil and the effects of urbanization. Bird Conservation International, 17, 367-380.
Gámez, N., Escalante, T., Rodríguez, G., Linaje, M., Morrone, J. J. (2012) Caracterización biogeográfica de la Faja Volcánica Transmexicana y análisis de los patrones de distribución de su mastofauna. Revista Mexicana de Biodiversidad 83 (1), 258-272.
Global Biodiversity Information Facility (GBIF). (2024) Occurrence. https://www.gbif.org/es/occurrence/search?occurrence_status=present&q= (consultado 02 mayo 2023).
Girma, Z., Mamo, Y., Mengesha, G., Verma, A., Asfaw, T. (2017) Seasonal abundance and habitat use of bird species in and around Wondo Genet Forest, south‐central Ethiopia. Ecology and Evolution, 7 (10), 3397-3405. https://doi.org/10.1002/ece3.2926
Granados, A. J. L. (2013) La ciudad fugada hacia el horizonte: La Sierra de Santa Catarina. Tesis de Maestría. Universidad Autónoma Metropolitana Unidad-Azcapotzalco, México.
Gaceta Oficial del Distrito Federal (GODF). 2005. Acuerdo por el que se aprueba el programa de manejo del área natural protegida con carácter de zona de conservación ecológica “Sierra de Santa Catarina”. Gaceta Oficial del Distrito Federal. 19 de agosto de 2005. México. Pp. 18. Disponible en: Disponible en: https://paot.org.mx/centro/programas/manejo/santacatarina.pdf (consultado 19 febrero 2024).
Gaceta Oficial del Distrito Federal (GOCDMX). (2016) Aviso por el que se da a conocer el Programa de Manejo del Área Natural Protegida, con Categoría de Zona sujeta a Conservación Ecológica “Sierra de Guadalupe”. Gaceta Oficial de la Ciudad de México. 08 de noviembre de 2016. México, Ciudad de México. https://data.consejeria.cdmx.gob.mx/portal_old/uploads/gacetas/0239ee9e006a15977b93fa2e2546a5dd.pdf (consultado 19 febrero 2024).
González-García, F., Gómez de Silva, G. H. (2003) Especies endémicas: riqueza, patrones de distribución y retos para su conservación. Pp. 151-194. En: H. Gómez de Silva, A. Oliveras de Ita (Eds.). Conservación de aves: experiencias en México. CIPAMEX, NFWF, CONABIO. México. https://www.researchgate.net/publication/265466602_Especies_endemicas_riqueza_patrones_de_distribucion_y_retos_para_su_conservacion (consultado 19 febrero 2024).
Hilty, S. L. (2011) Family Thraupidae (Tanagers). Pp. 46-329. En: del Hoyo, J., Elliott, A., Christíe, D. (Eds.). Handbook of the birds of the world. Volume 16 Tanagers to World Blackbirds. Lynx Editions, España.
Howell, S. N. G., Webb, S. (1995) A guide to the birds of Mexico and Northern Central America. OXFORD University Press, Estados Unidos. 851 pp.
Instituto Nacional de Estadística y Geografía (INEGI). (2020) Censo de Población y Vivienda 2020. https://www.inegi.org.mx/programas/ccpv/2020/ (consultado 02 diciembre 2024).
Jost, L. (2007) Partitioning diversity into independent Alpha and beta components. Ecology, 88 (10), 2427-2439. https://doi.org/10.1890/06-1736.1
Kannan, R., Jackson, J. L., Brooks, E. (2019) History and current status of the Inca Dove (Columbina inca) in Arkansas. Journal of the Arkansas Academy of Science, 73, 65-71. https://doi.org/10.54119/jaas.2019.7308
Kaufman, K. (2005) Kaufman Field Guide to Birds of North America. Houghton Mifflin Harcourt, Estados Unidos. 392 pp.
Kennedy, E. D., White, D. W. (2020). Bewick's Wren (Thryomanes bewickii), version 1.0. In Birds of the World. https://doi.org/10.2173/bow.bewwre.01 (consultado 16 abril 2025).
LaGory, K. E., Cacho, J. F., Zumpf, C. R., Lee, D., Feinstein, J., Dematties, D., Walston, L. J., Namoi, N., Negri, M. C. (2024). Bird species use of bioenergy croplands in Illinois, USA-Can advanced switchgrass cultivars provide suitable habitats for breeding grassland birds? Sustainability, 4807. https://doi.org/10.3390/su16114807
La Sorte, F. A., Aronson, M. F. J., Lepzyck, C. A., Horton, K. G. (2020). Area is the primary correlate of annual and seasonal patterns of avian species richness in urban green spaces. Landscape and Urban Planning, 203, 103892. https://doi.org/10.1016/j.landurbplan.2020.103892
Lugo-Hubp, J., Mooser, F., Pérez-Vega, A., Zamorano-Orozco, J. (1994) Geomorfología de la Sierra de Santa Catarina, D.F., México. Revista Mexicana de Ciencias Geológicas 2 (1), 43-52.
Magurran, A. E. (2004) Measuring Biological Diversity. Blackwell Science Ltd, United Kingdom. 261 pp. Disponible en: Disponible en: http://www.bio-nica.info/Biblioteca/Magurran2004MeasuringBiological.pdf (consultado 19 febrero 2024).
Margalef, R. (1972) Homage to E. Hutchison, or why is there an upper limit to diversity. Transactions of the Connecticut Academy of Arts and Sciences, 44, 21-235.
Meléndez-Herrada, A., Gómez de Silva, H., Ortega-Álvarez, R. (2016) Aves. Pp. 404-4013. En: CONABIO/SEDEMA (Eds.). La biodiversidad en la Ciudad de México, vol. ii. CONABIO/SEDEMA, México. https://biblioteca.semarnat.gob.mx/janium/Documentos/Ciga/Libros2013/CD002458.pdf (consultado 19 febrero 2024).
Naturalista. (2024) Diversidad biológica de la Sierra de Santa Catarina. Disponible en: Disponible en: https://www.naturalista.mx/projects/diversidad-biologica-de-la-sierra-de-santa-catarina (consultado 20 febrero 2024).
Navarro-Sigüenza, A. G., Rebón-Gallardo, M. F., Gordillo-Martínez, A., Townsend, P. A., Berlanga-García, H., Sánchez-González, L. A. (2014) Biodiversidad de aves en México. Revista Mexicana de Biodiversidad, 85, 476-495.
Packett, D. L., Dunning, J. B. (2009) Stopover habitat selection by migrant landbirds in a fragmented forest-agricultural landscape. The Auk, 126 (3), 579-589.https://doi.org/10.1525/auk.2009.08198
Prieto-Torres, D. A., Vázquez-Reyes, L. D., Kiere, L. M., Sánchez-González, L. A., Pineda-López, R., Coro, A. M., Gordillo-Martínez, A., Almazán-Núñez, R. C., Rojas-Soto, O. R., Ramírez-Bastida, P., Townsend, P. A., Navarro-Sigüenza, G . (2023) Mexican avifauna of the anthropocene. Pp. 181-214. En: Jones, R. W., Ornelas-García, C. P., Pineda-López, R., Álvarez, F. (Eds). Mexican fauna in the anthropocene. Springer. México. https://www.uv.mx/personal/cmacswiney/files/2023/02/Saldana-Vazquez_etal_2023_compressed.pdf (consultado 19 febrero 2024).
Powers, D. R., Wethington, S. M. (2022). Road-billed Hummingbird (Cynanthus latirostris), version 1.2. In Birds of the World. Disponible en: https://doi.org/10.2173/bow.brbhum.01.2 (consultado 16 abril 2025).
Ralph, C. J., Droege, S., Sauer, J. R. (1995). Managing and monitoring birds using point counts: standards and applications. United States Department of Agriculture, United States, 168 pp. Disponible en: Albany, CA (consultado 16 abril 2024).
Ramírez, B. P. (2000) Aves de humedales en zonas urbanas del noreste de la Ciudad de México. Tesis de Maestría. Universidad Nacional Autónoma de México, México.
Román-Suárez, H. R (2022) La Sierra de Santa Catarina: extractivismo, urbanización, gentrificación y construcción social de alternativas en el oriente de la CDMX. Diversidad, 23, 81-91.
Sandoval, L. (2019) Variación anual y mensual de la riqueza y abundancia de especies de aves dentro de un paisaje agrícola semiurbano tropical. Revista de Biología Tropical, 67 (2), 298-314. http://dx.doi.org/10.15517/rbt.v67i2supl.37253.
Schmitt, J., Edwards, S. V. (2022) Passerine birds. Current Biology, 32 (20), R1149-R1154. 10.1016/j.cub.2022.08.061
Secretaría del Medio Ambiente de la Ciudad de México (SEDEMA) (2024) ¿Qué son las ANP? Disponible en: Disponible en: http://data.sedema.cdmx.gob.mx:9000/rally/pex/assets/pages/anp.php (consultado 01 diciembre 2024).
SEMARNAT (Secretaría del Medio Ambiente y Recursos Naturales) (2019) Modificación del Anexo Normativo III, Lista de especies en riesgo de la Norma Oficial Mexicana NOM-059- SEMARNAT-2015, Protección ambiental-Especies nativas de México de flora y fauna silvestres-Categorías de riesgo y especificaciones para su inclusión, exclusión o cambio-Lista de especies en riesgo. Diario Oficial de la Federación, 14 de noviembre de 2019, México. Disponible en: Disponible en: https://www.dof.gob.mx/nota_detalle.php?codigo=5578808 (consultado 19 febrero 2024).
Seress, G., Liker, A. (2015). Habitat urbanization and its effects on birds. Acta Zoologica Academiae Scientiarum Hungaricae, 61(4), 373-408. 10.17109/AZH.61.4.373.2015
Sibley, D. A. (2000) The Sibley guide to birds, 2nd. ed. Knopf Publishing Group, Estados Unidos. 544 pp.
Volpato, H. G., Lopes, V. E., Mendonça, B. L., Boçon, R., Bisheimer, V. M., Serafini, P. P., Dos Anjos, L. (2009) The use of the point count method for bird survey in the Atlantic Forest. Zoologia 26 (1), 74-78.
Wetzel, F. T., Bingham, H. C., Groom, Q., Haase, P., Koljalg, U., Kuhlmann, M., Martin, C. S., Penev, L., Robertson, T., Saarenmaa, H., Schmeller, D. S., Stoll, S., Tonkin, J. D., Häuser, C. L. (2018). Unlocking biodiversity data: Prioritization and filling the gaps in biodiversity observation data in Europe. Biological Conservation, 221, 78-85. https://doi.org/10.1016/j.biocon.2017.12.024
Woods, R. S. (1998). Carpodacus mexicanus frontalis (Say) House Finch. Pp. 290-314. En: Bent, A. C., Austin, O. L. Jr. (Eds). Life histories of North American Cardinals, Grosbeaks, Buntings, Towhees, Finches, Sparrows and Allies. Bulletin of the United States National Museum, United States of America. Disponible en: Disponible en: https://repository.si.edu/handle/10088/10027 (consultado 19 febrero 2024).
Zelený, D. (2023). Indices of diversity and evenness. Analysis of community ecology data in R: an online reference. Disponible en: Disponible en: https://www.davidzeleny.net/anadat-r/doku.php/en:div-ind. (consultado 19 febrero 2024).
Zellmer, A. J., Goto, B. S. (2022) Urban wildlife corridors: Building bridges for wildlife and people. Frontiers in Sustainable Cities, 4, 954089. https://doi.org/10.3389/frsc.2022.954089
Notes
Author notes
*Autor corresponsal: Luis E. Galeana-Barrera barrera.g8b9@gmail.com