Original papers
Intensive chemotherapy in children with acute lymphoblastic leukemia. Interim analysis in a referral center in Colombia
Quimioterapia intensiva en niños con leucemia linfoblástica aguda. Análisis ínterin en un centro de referencia en Colombia
Intensive chemotherapy in children with acute lymphoblastic leukemia. Interim analysis in a referral center in Colombia
Revista de la Facultad de Medicina, vol. 64, no. 3, pp. 417-425, 2016
Universidad Nacional de Colombia
Received: 03 November 2015
Accepted: 28 January 2016
Abstract
Background: Acute lymphoblastic leukemia is the most common cancer in children. In developed countries, overall survival rates are around 80%, while in developing countries, survival rate is much lower due to high rates of relapse, and abandonment and complications arising from the disease treatment.
Objectives: To assess induction mortality, relapse and treatment abandonment. To describe the most frequent side effects of chemotherapy. To evaluate survival rates of patients and compare the findings found in this study with the existing literature.
Material and methods: A retrospective cohort study was conducted on patients aged 1 to 18 with acute lymphoblastic leukemia, who received treatment under the BFM ALL IC 2009 protocol at Fundación Hospital La Misericordia (HOMI), from November 2012 to December 2014.
Results: 119 patients were included. Death occurred in two cases during induction (1.67%) and in nine (7.7%) due to treatment, all of them caused by infection/sepsis and in complete remission. Six patients abandoned treatment (5%), while seven relapses occurred (5.9%). All patients experienced some type of side effect related to chemotherapy, the most frequent being febrile neutropenia (41.2%) and grade 3-4 infections (15.8%). Overall survival and event-free survival rates were 79.9% and 73.3%, respectively.
Conclusions: Evaluating complications of treatment and death allows adopting measures and strategies to reduce such complications.
Keywords: Lymphoblastic Leukemia+ Pediatrics+ Side Effects+ Survival (MeSH).
Resumen
Introducción. : La leucemia linfoblástica aguda es el cáncer más frecuente en los niños. La sobrevida en países desarrollados está alrededor de 80%, mientras que en países de bajos ingresos la tasa de supervivencia es menor debido a altas cifras de recaída, abandono de tratamiento y complicaciones relacionadas con el tratamiento.
Objetivos. : Hacer una evaluación de muerte en inducción relacionada con el tratamiento, las recaídas y los abandonos de tratamiento; describir las reacciones adversas más observadas relacionadas con medicamentos de quimioterapia; evaluar la sobrevida, y comparar los hallazgos con publicaciones previas.
Materiales y métodos. : Estudio de cohorte retrospectivo. Se incluyeron pacientes con edades entre 1 y 18 años, con diagnóstico de leucemia linfoblástica aguda tratada entre noviembre de 2012 y diciembre de 2014 en la Fundación Hospital La Misericordia de Bogotá (HOMI) y a quienes se les había aplicado tratamiento con el protocolo BFM ALL IC 2009.
Resultados. : Se incluyeron 119 pacientes. Se presentaron dos (1.67%) muertes en inducción y nueve (7.7%) relacionadas con tratamiento -todas por infección/sepsis y en remisión completa-, seis abandonos (5%) y siete recaídas (5.9%). Todos los pacientes presentaron algún tipo de reacción adversa relacionada con medicamentos de quimioterapia, las más frecuentes fueron neutropenia febril (41.2%) e infecciones grado 3-4 (15.8%). Las sobrevidas global y libre de evento fueron de 79.9% y 73.3%, respectivamente.
Conclusiones. : La evaluación de los efectos deletéreos del tratamiento y muerte durante tratamiento permiten tomar medidas para disminuir estas complicaciones.
Palabras clave: Leucemia linfoblástica, Pediatría, Toxicidad de medicamentos, Sobrevida (DeCS).
Introduction
Acute lymphoblastic leukemia (ALL) is the most common neoplasm in pediatric patients 1. Overall cure rates for childhood ALL have improved over the years and current survival rates vary from 75% to 85% in patients treated in high-income countries 2; with the continuous improvement of survival rates, the goal of current clinical protocols is to reduce adverse reactions related to treatment 3. In contrast, in low-income countries, the possibilities of cure are lower, probably due to disease status at diagnosis, treatment abandonment, high rates of relapse and death caused by toxicity or side effects related to treatment 2.
In Colombia, the Cancer Registry of Cali (RPCC by its acronym in Spanish) reported a rate of 41% of survival in children with leukemia between 1994 and2003 4; the Protocol of Public Health Surveillance on Childhood Cancer reported that high mortality in children with leukemia is given by deaths during the first year of treatment, possibly because of poor access to treatment, low intensity treatment and toxicity caused by it. It also mentions that the causes of such low survival rates have not been identified, so intervention on them has not been possible 5.
Better cure rates are affected by additional barriers; the evaluation in children with ALL by Suarez et al. in Bogotá 6 reports that delays due to non-medical reasons in treatment are common and predict treatment failure. The same study also reported mortality during induction of 7%, death in complete remission of 3% and abandonment rates of 9% 6. According to information provided by the National Institute of Health of Colombia, 455 new cases of ALL were confirmed in 2013, with an overall mortality related to treatment of 15.6% 7.
In a study conducted in Central America, specifically in low-income countries, overall mortality related to treatment of 9.3% and mortality during induction of 5.5% were described 2.
Within the International BFM Study Group (Berlin-Frankfurt-Münster) (I-BFM-SG), the ALL strategy committee has developed several protocols with optimal clinical results over the last 20 years, most of them derived from the original BFM. Chemotherapy treatments proposed by the BFM for resource-limited countries have some changes aimed at local needs and conditions. In 2007, an amendment to the Intercontinental BFM 2002 Protocol was defined as more suitable for the diagnosis and treatment of children with ALL in Colombia 8. This protocol was adapted and applied for about five years at Fundación Hospital La Misericordia in Bogotá (Fundación HOMI), referral center for care of children with ALL in Colombia.
In 2012, the implementation of a modified version of the "Protocol for study and treatment of childhood lymphoblastic leukemia, ALL PINDA 2009, ALL IC BFM 2009" was decided. This approach to treatment is the same currently used in Argentina, Uruguay, Chile and Colombia, where the protocol is conducted by the National Cancer Institute.
In 2014, the BFM group published their experience with the BFM ALL IC 2002 treatment protocol, showing results from 15 countries of three continents, most of them with average incomes, as in the case of Colombia. The results of the implementation of this protocol show an improvement in the outcome of treatment for ALL, with event-free survival of 74% and overall survival of 82% 9.
There are no publications in Colombia that evaluate the results obtained with this type of treatment strategies, including survival and deleterious effects. This work aims at conducting an interim assessment of death during induction, treatment-related death (in remission), relapse and treatment abandonment, as well as at describing the most frequent adverse reactions observed with chemotherapy drugs, assessing overall and general event-free survival rates, and comparing -by risk group- previous outcomes with previous reports to assess the results of the implementation of this protocol at the institution.
Materials and methods
The description of a cohort of patients was performed. The inclusion criteria for the study were: age under 18, confirmed acute lymphoblastic leukemia diagnosis at Fundación HOMI between November 1, 2012 and December 31, 2014, treatment using the protocol BFM ALL IC 2009 (Table 1) in the same institution and continuity in treatment during the time of evaluation; those who started treatment and abandoned are also included until the time of abandonment. Exclusion criteria included being diagnosed in other institutions and being transferred to Fundación HOMI to continue treatment. Information was collected from clinical records.


This study was approved by the ethics committee of the institution prior to the review of the database, and the principle of privacy and confidentiality was preserved. Follow-up time was considered in months and was measured from the moment of diagnosis of the disease until the outcomes, which were defined as death during induction, death related to treatment, relapse, abandonment and transfer. The follow-up was done until September 30, 2015 and lasted between 9 and 34 months. The protocol was valid until the date of termination of the study.
Qualitative variables were presented as absolute and relative frequencies for the descriptive analysis. Similarly, a survival analysis was performed using Kaplan-Meier and Log Rank test for comparison of curves. High risk patients received prophylactic or therapeutic radiation accordingly to their condition.
Diagnosis
Diagnosis of ALL was confirmed with the presence 25% or more lymphoblasts in bone marrow. Flow cytometry based on EuroFlow panel criteria 10 was used for immunological classification of tumor cells, karyotype cytogenetic assessment was performed, and translocations t (12:21), t (4:11) and t (9:22) were identified with fluorescence in situ hybridization (FISH).The involvement of the central nervous system (CNS) was determined through identification of the cells using the cytospin method, for posterior classification according to the status:
Status 1: No clinical evidence disease, including facial paralysis that may be attributable to leukemia; no images -computerized axial tomography scan (CT scan) or magnetic resonance imaging (MRI) taken by suspicion- with evidence of CNS abnormalities attributable to leukemia, normal fundus or cerebrospinal fluid with no blasts and no other evidence of CNS leukemia.
Status 2: Blasts clearly identifiable in a CSF cytocentrifuge with cell count of <5/uL and CSF ratio of red blood cells (RBCs): leukocytes (LEU) <100:1; with this ratio between RBCs and LEU, a lumbar puncture is considered non-traumatic and CSF non-contaminated with blood. Lymphoblasts in a CSF cytocentrifuge and ratio GR: LEU> 100:1; with this ratio between erythrocytes and leukocytes, lumbar puncture is considered traumatic and CSF contaminated with blood or as a traumatic lumbar puncture -CSF contaminated with blood- associated with an initial leukocyte count of >50000/uL.
Status 3: Abnormal mass in the brain and/or meninges detected through CT/MRI, cranial nerve palsies, regardless of origin; although CSF does not show blasts nor abnormal masses in the images, isolated compromise of the retina is evident but with CFS with no blasts nor masses in CT/MRI or a non-traumatic lumbar puncture with a cell count CSF>5/uL and most of the blasts in the cytocentrifuge.
Risk classification
Risk classification was established by the BFM group considering clinical and laboratory criteria evaluated in previous protocols; according to the characteristics described in Table 2, patients were classified as standard risk, intermediate risk and high risk.

Outcomes
Treatment-related death, defined as death during induction or death in complete remission occurred; the first death was specified as death in the first 33 days of treatment and the second, as death after this period without clinical or paraclinical evidence of disease activity.
Secondary outcomes were abandonment, defined as the interruption of treatment for four or more weeks without medical reason, transfer to another institution due to the change of treatment center by the insurer, and relapse in bone marrow caused by the reappearance of lymphoblasts >25% in bone marrow.
In the SNC, relapses were established by the appearance of cells >5/uL CSF and indisputable lymphoblasts identified in cytocentrifuge or intracerebral mass in CT/MRI without blasts in cerebrospinal fluid (CSF), peripheral blood (PB) or bone marrow (BM) -a biopsy may be necessary for diagnosis-. In the testicles, relapses were verified by a steady insensitive unilateral or bilateral increase of one or both testicles, with volume >2 and deviations measured with the Prader orchidometer -the diagnosis must be confirmed through biopsy- and combined by simultaneous compromise of two or more compartments or locations; BM relapse is considered compromised when >5% lymphoblasts.
Another outcome was the description of adverse reactions to chemotherapy drugs, which were evaluated based on the criteria of the National Cancer Institute (NCI CTC v2.0): incidence of infections, defined as those with identified pathogen and antibiotic treatment and sepsis; incidence of cardiac, liver toxicity and mucositis grade 3 and 4; requirement for admission to the intensive care unit and transfusion requirement, which includes transfusions of red blood cells, platelets, fresh frozen plasma and cryoprecipitate.
Statistical analysis
The event-free and overall survival were estimated according to the Kaplan Meier method. Event-free survival was defined as the period between the start of treatment and presentation of an event (whichever comes first: death, relapse, second malignancy, transfer or abandonment), for those who have not presented any, the event was the last control alive. Overall survival was defined as the time between the start of treatment and the last control alive, regardless of the condition of the disease.
Results
The sample includes 119 patients who meet the inclusion criteria in the specified period. Demographic characteristics are shown in Table 3.


Mortality
Of 119 patients, two (1.67%) died during induction, nine (7.7%) died in remission related to treatment due to infection/sepsis, seven of them were classified as high risk, two as intermediate risk, and there were no deaths in those with standard risk. Deaths that occurred during the treatment stages were: two (18%) in phase Ib, two (18%) in block HR1#1, two (18%) in block HR 3#1, one (10%) in HR3 block HR3#2 and two (18%) in protocol II phase A.
Abandonment and relapse
Six abandonments (5%) and seven relapses occurred (5.9%), the latter in two high-risk patients and five in intermediate-risk patients. Five relapses (71.4%) were isolated bone marrow, one (14.3%) was isolated CNS and one (14.3%) was isolated testicular. In two patients, relapses occurred after completing treatment -at 30 and 26 months after diagnosis-; one patient was considered high risk and the other intermediate risk. The remaining five patients -a high-risk patient and four-intermediate risk patients- relapsed within the first year of treatment.
Drug-related adverse reactions
A description of the adverse reactions related to chemotherapy drugs used in the treatment for each phase and risk group was made (Table 4 and 5).


All the patients had some adverse reactions related to chemotherapy drugs; the most frequent was febrile neutropenia during induction phase for all risks and in the consolidation phase for high risk patients. In the mM protocol, lower incidence of complications in general was found, as well as less febrile neutropenia, grade 3-4 infections and admission to the pediatric intensive care unit (PICU). The transfusion requirement was high in all groups of patients, especially in the induction phase.
Comparison with previous studies
After comparing the adverse reactions to chemotherapy drugs observed in this study (ALL IC-BFM 2009 protocol) with reported in the Intercontinental Trial BFM ALL IC 2002 (9) Trial BFM ALL IC 2002. 9 (Table 6), the main findings were lower incidence of infections for all risks -demarcated as an identified infection pathogen requiring antibiotics IV or septic shock- and increased incidence of liver toxicity and mucositis in the Intercontinental Trial BFM ALL IC 2002.

Interim survival analysis in the sample
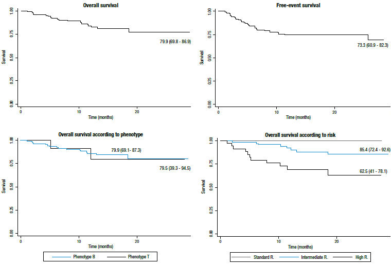
Overall survival at the moment of this evaluation was 79.9%, similar for patients with phenotype B and T. According to the risk, survival was 100% for standard risk, 85.4% for intermediate risk and 62.5% for high risk (Figure 1).

Discussion
Acute lymphoblastic leukemia is the most common malignancy in children 1; although overall cure rates have improved in high-income countries, most patients live in low-income countries, where the possibility of cure is much lower 2.
Comparing the mortality results found in this study with those reported in Latin America 2 and with specific numbers of Colombia 6,11, lower incidence of death during induction is observed; a possible explanation is that the patients of this protocol are hospitalized during the first month of treatment for the induction phase, so the detection and treatment of complications is timely.
The pediatric oncology unit of service of Fundación HOMI has evaluated death induction along different ALL protocols based on the BFM strategy: 9.6% during 1996-2000, 6.5% after this, and 3.5% for the previous protocol to BFM ALL IC 2012. Support measures and experience with the protocol during induction may explain the decline in death.
When the incidence of death in induction and death in complete remission is compared against the Intercontinental Trial BFM ALL IC 2002 9, no significant differences are observed in the mortality rate (2.77% vs. 1.67%).
Seven relapses (5.9%) occurred: two after completing treatment at 26 and 30 months after diagnosis, and five during treatment. The factors assessed, and that may have contributed to relapse, included two patients with positive minimal residual disease (MRD) at the end of induction, which increases risk of relapse as demonstrated in multiple studies 12,13.
Another factor that may be related is the intensity of treatment: three of the seven patients who relapsed experienced delays (one for medical reasons and two by administrative constraints). The remaining four underwent appropriate treatment intensity and did not experience unjustified delays. The study by Suarez et al.6 showed that a four-week or longer delay for initiation of treatment phase Protocol II, was associated with lower survival at two years (67% vs. 88%, p=0.016); it was also evident that, regardless the cause of the delay, this is associated with lower survival.
The incidence of abandonment was lower than that reported by previous studies in Bogotá (5% vs. 9%) 6: previous data in the institution showed 25% of abandonment. This decrease could be related to regulatory strategies -guidelines for attention of leukemias in children- that have been implemented within the institution by a multidisciplinary team, which accompanies the patient and provides psychosocial support in order to ensure that patients understand the importance of compliance and to achieve full management of the disease in a single institution, according to the directions of the current regulation for the attention of children with leukemia.
This study identifies in detail, and for the first time, adverse reactions related to chemotherapy drugs, since information that describes complications related to the treatment of ALL in children is not found in previous publications in Colombia. Deaths, both during induction and complete remission, were all caused by sepsis and occurred more frequently in high risk patients during the consolidation blocks.
A study conducted in Central America 2 reported that the incidence of death related to treatment in patients during complete remission was lower than what was found in this investigation (7.7% vs. 3.8%), which can be explained by late consultation or failure to deliver timely treatment to patients during episodes of febrile neutropenia. Death related to treatment, without detailed description of the causes, has been reported in previous assessments published about ALL in Colombia, where protocols of lower treatment intensity were used and rates of 6.17% and 3% were reported in the study by Buendía et al.11 and by Suarez et al., respectively 6.
The comparison of toxicity reported in this research with the Intercontinental Trial BFM ALL IC 2009 (Table 6) shows that the incidence of grade 3-4 infections or septic shock was lower for all risks. This may be related to a very low percentage of microbial agent identification. The incidence of liver toxicity and mucositis was higher in the Intercontinental Trial BFM ALL IC 2002, which has no clear explanation.
The most frequent complications included febrile neutropenia, found in most patients during phase IB regardless of risk stratification, in all high risk patients during consolidation and in phase A of Protocol II. This complication allowed anticipating all the recommendations on fever and consultation to emergency care, as well as the administration of antibiotics within two hours.
One of the limitations of this study, when evaluating the overall and event-free survival, was that this research is an interim evaluation of the implementation of a protocol, so the follow up is of maximum of 34 months; however, it is very important for childhood cancer treatment centers to make these assessments, particularly aiming at more intensive treatment strategies. This study shows 73.3% event free survival rate -considering abandonment as an event- at two years, which is higher than the 67% reported by an evaluation conducted at the National Cancer Institute in Colombia 6.
The results of this evaluation have allowed taking actions to reduce deaths during complete remission: on the one hand, education to caregivers about fever and signs for early consultation to emergency room and, on the other, implementation of a protocol of febrile neutropenia with priority attention and administration of antibiotics within two hours of consultation in the emergency room, and at the onset of fever in hospitalized patients. In addition, abandonments are strictly followed by the institution and informed to the insurance company of the patient for active search.
The results show a decrease in mortality during induction; treatment-related mortality is within expectations of an intensive chemotherapy protocol and strategies are being implemented to reduce these numbers. Abandonment is below 10%, and follow-up time is still short; however, overall and event-free survival is higher than that in previous treatment protocols.
Conflict of interests
None stated by the authors.
Acknowledgements
None stated by the authors.
References
1. Hunger SP, Mulliglian CG. Acute Lymphoblastic Leukemia in Children. N. Engl. J. Med 2015;373(16):1541-52. http://doi.org/bk5f.
2. Gupta S, Antillon FA, Bonilla M, Fu L, Howard SC, Ribeiro RC, et al Treatment-Related Mortality in Children With Acute Lymphoblastic Leukemia in Central America. Cancer 2011;117:4788-95. http://doi.org/crc7nq.
3. Pui CH, Evans WE. Treatment of Acute Lymphoblastic Leukemia. N. Engl. J. Med 2006;354(2):166-78. http://doi.org/cggrpn.
4. Bravo LE, García LS, Collazos P, Aristizabal P, Ramírez O. Descrip tive epidemiology of childhood cancer in Cali, Colombia 1977-2011. Colomb. Med 2013;44(3):155-64.
5. González M. Protocolo vigilancia de salud pública. Cancer infantil. Bogotá, D.C.: Instituto Nacional de Salud; 2014 [cited 2016 Jul 8]. Available from: Available from: http://goo.gl/sN0z7W.
6. Suarez A, Piña M, Nichols-Vinueza DX, Lopera J, Rengifo L, Mesa M, et al A Strategy to Improve Treatment-Related Mortality and Aban donment of Therapy for Childhood ALL in a Developing Country Reveals the Impact of Treatment Delays. Pediatr. Blood Cancer 2015;62(8):1395-402. http://doi.org/bk5m.
7. Instituto Nacional de Salud. Informe de Gestión 2013. Bogotá, D.C: INS; 2014 [cited 2016 Jul 8]. Available from: Available from: http://goo.gl/2SZmwL.
8. Fronkova E, Mejstrikova E, Avigad S, Chik KW, Castillo L, Manor S, et al Minimal residual disease (MRD) analysis in the non-MRD-based ALL IC-BFM 2002 protocol for childhood ALL: is it possible to avoid MRD testing? Leukemia 2008;22(5):989-97. http://doi.org/cfzvhp.
9. Stary J, Zimmermann M, Campbell M, Castillo L, Dibar E, Donska S, et al Intensive Chemotherapy for Childhood Acute Lymphoblastic Leukemia: Results of the Randomized Intercontinental Trial ALL IC-BFM 2002. J. Clin. Oncol 2014;32(3):174-84. http://doi.org/bk5n.
10. van Dongen JJ, Lhermitte L, Böttcher S, Almeida J, van der Velden VHJ, Flores-Montero J, et al Euro Flow antibody panels for standardized n-dimensional flow cytometric immunophenotyping of normal, reactive and malignant leukocytes. Leukemia 2012;26(9):1908-75. http://doi.org/bk5p.
11. Buendía-Hernández A, Loboguerrero-Compagnoli J, Lozano-León JM. Resultados de tratamiento para cáncer infantil en una población de recursos limitados en Bogotá, Colombia. Bol. Med. Hosp. Infant. Mex 2010;67(6):518-35.
12. van Dongen JJ, Seriu T, Panzer-Grümayer ER, Biondi A, Pon-gers-Willemse MJ, Corral L, et al Prognostic value of minimal residual disease in acute lymphoblastic leukaemia in childhood. Lancet 1998;352(9142):1731-8. http://doi.org/drdd46.
13. Coustan-Smith E, Sancho J, Hancock ML, Boyett JM, Behm FG, Raimondi SC, et al Clinical importance of minimal residual disease in childhood acute lymphoblastic leukemia. Blood 2000;96(8):2691-6.
Notes
Author notes
Corresponding author: Adriana Linares. Pediatric Oncology Unit, Fundación Hospital de La Misericordia. Avenida Caracas No. 1-13. Phone number: +57 1 3373824, ext.: 120. Bogotá, D.C., Colombia. Email: talinaresb@unal.edu.co.