
Recepción: 04 Junio 2024
Aprobación: 25 Julio 2024
Publicación: 01 Agosto 2024
DOI: https://doi.org/10.46551/rc24482692202419
Resumo: Este artigo objetivou analisar a origem territorial, os aspectos demográficos, financeiros e a frequência das ocorrências das Internações por Condições Sensíveis à Atenção Primária ocorridas no sistema público de saúde de Montes Claros, município no Norte de Minas Gerais, no período de 2017 a 2021. Trata-se de um estudo ecológico com análise de tendência de série temporal desenvolvido a partir de dados de pacientes residentes no município. Foram utilizados registros do Sistema de Informação Hospitalar do Departamento de Informática do Sistema Único de Saúde (DATASUS), do Sistema de Informação e Gestão da Atenção Básica, e da base cartográfica digital da prefeitura de Montes Claros (MG). Quanto aos resultados, a maioria (18%) é originária da região Centro da cidade, sendo os diagnósticos mais frequentes Insuficiência Cardíaca (17,38%); Doenças Cerebrovasculares (12,87%); e Pneumonias Bacterianas (11,52%). O custo médio por ICSAP foi de R$ 1.781,23, sendo o maior custo o relacionado à Angina (R$4.859,04). O perfil demográfico dos internados por CSAP é composto por uma discreta maioria do sexo masculino (50,62%) e a maior faixa etária foi de 60 a 79 anos (37,19%). Quanto à cor da pele, 62,94% das internações contemplaram os hospitalizados que se autodeclararam pardos. Registrou-se concentração de ICSAP oriundas da região central, com predomínio de idosos e causas cardiovasculares. Os resultados podem auxiliar os gestores de saúde na adoção de medidas específicas e mais efetivas.
Palavras-chave: Hospitalização, Qualidade, Acesso e avaliação da assistência à saúde, Atenção Primária à saúde, Estratégia Saúde da Família.
Abstract: This article aimed to analyze the territorial origin, demographic and financial aspects and the frequency of occurrences of Hospitalizations due Primary Care Sensitive Conditions (HPCSC), that occurred in the public health system of Montes Claros, a municipality in the North of Minas Gerais, from 2017 to 2021. This is an ecological study with time series trend analysis developed from data of patients living in the city. Records from the Hospital Information System of the Information Technology Department of the Unified Health System (DATASUS), the Primary Care Information and Management System, and the digital cartographic base of the city council of Montes Claros (MG) were used. Regarding the results, the majority (18%) come from the city center region, with the most frequent diagnoses being Heart Failure (17.38%); Cerebrovascular Diseases (12.87%); and Bacterial Pneumonia (11.52%). The average cost per HPCSC was R$1,781.23, with the highest cost being related to Angina (R$4,859.04). The demographic profile of those hospitalized for HPCSC is made up of a slight majority of men (50.62%) and the largest age group was 60 to 79 years old (37.19%). Regarding skin color, 62.94% of hospitalizations included patients who declared themselves mixed race. There was a concentration of ACSCs from the central region, with a predominance of elderly people and cardiovascular causes. The results can help health managers in adopting specific and more effective measures.
Keywords: Hospitalization, Health care quality, Access and evaluation, Primary health care, Family Health Strategy.
Resumen: Este artículo tuvo como objetivo analizar el origen territorial, los aspectos demográficos, financieros y la frecuencia de ocurrencia de Hospitalizaciones por Condiciones Sensibles en Atención Primaria ocurridas en el sistema público de salud de Montes Claros, ciudad del Norte de Minas Gerais, desde 2017 hasta 2021. Se trata de un estudio ecológico, con análisis de tendencias de serie temporal, desarrollado a partir de datos de pacientes residentes en la ciudad. Se utilizaron registros del Sistema de Información Hospitalaria del Departamento de Informática del Sistema Único de Salud (DATASUS), del Sistema de Información y Gestión de la Atención Básica y de la base cartográfica digital del ayuntamiento de Montes Claros (MG). En cuanto a los resultados, la mayoría (18%) proviene de la región centro de la ciudad, siendo los diagnósticos más frecuentes Insuficiencia Cardíaca (17,38%); Enfermedades Cerebrovasculares (12,87%); y Neumonía Bacteriana (11,52%). El costo promedio por HCSAP fue de R$ 1.781,23, siendo el mayor costo el relacionado con la angina (R$ 4.859,04). El perfil demográfico de los hospitalizados por CSAP está compuesto por una ligera mayoría de hombres (50,62%) y el grupo de edad más numeroso fue el de 60 a 79 años (37,19%). En cuanto al color de la piel, el 62,94% de las hospitalizaciones incluyeron pacientes hospitalizados que se declararon mestizos. Se registró una concentración de HCSAP provenientes de la región central, con predominio de personas mayores y de causas cardiovasculares. Los resultados pueden ayudar a los gestores sanitarios a adoptar medidas específicas y más eficaces.
Palabras clave: Hospitalización, Calidad, Acceso y evaluación de la atención en salud, Atención primaria en salud, Estrategia de Salud de la Familia.
Introdução
As Internações por Condições Sensíveis à Atenção Primária (ICSAP) constituem um importante indicador da área da saúde, usado para avaliar, de forma indireta, tanto o acesso dos usuários à Atenção Primária à Saúde (APS), como a qualidade desses serviços (Alfradique et al., 2009; Billings et al., 2017; Caminal Homar, 2007; Billings et al., 1993; Homar, 2007). A utilização desse indicador fundamenta-se na noção de que um acesso ampliado e uma elevada capacidade resolutiva por parte da APS (incremento das medidas preventivas e melhoria da atenção ambulatorial) implica uma diminuição das admissões hospitalares (Caminal Homar, 2007; Macinko; Mendonça, 2018).
Geralmente, os estudos que abordam as ICSAP apresentam duas abordagens complementares. Uma, a mais recorrente, sustenta que quanto maior a cobertura da APS, maiores são as possibilidades da redução das hospitalizações evitáveis, diminuindo, assim, a demanda junto aos leitos dos nosocômios (Macinko; Mendonça, 2018). A segunda, amplia a análise do indicador, alertando que, além da cobertura assistencial, outros componentes de natureza socioeconômica também interferem nas internações (Billings et al., 1993).
Componentes como localização de clínicas de saúde em áreas urbanas, realização de consultas na Atenção Primária no ano anterior, consultas em Atenção Primária com qualidade e maior densidade médico/habitante, médicos na área urbana e clínicas rurais em áreas com escassez profissional também são apontados como características da APS associadas a menores taxas de ICSAP (Silva; Pinheiro; Loyola Filho, 2021).
Considerando que as ICSAP são eventos potencialmente evitáveis e envolvem dispêndios financeiros que poderiam ser empregados em outras ações de saúde, a identificação territorial dos pacientes internados com diagnósticos de condições sensíveis aos cuidados primários por meio do mapeamento tem potencial de contribuir para um melhor entendimento da dinâmica dessas internações. Também há a possibilidade em ser uma ferramenta gerencial para o gestor de saúde realizar intervenções necessárias junto às Equipes de Saúde responsáveis por aqueles territórios que apresentam números de internações muito elevados, ou mesmo para certificar o desempenho daquelas que apresentam indicadores satisfatórios, permitindo, dessa forma, melhorias na gestão das atividades.
Sobre o tema, alguns pesquisadores têm buscado analisar a distribuição espacial ou variabilidade geográfica das internações hospitalares por condições sensíveis, envolvendo um único diagnóstico, como diabetes mellitus (Dias et al., 2020), tuberculose (Freitas, 2014), ou uma única faixa etária, como idosos (Silva; Pinheiro; Loyola Filho, 2021) e relacionadas às Doenças Crônicas Não Transmissíveis (Pereira; Moschini; Uehara, 2021).
Os métodos de análise espacial aplicados à saúde coletiva possibilitam identificar aglomerados espaciais em que diagnósticos podem ser identificados. Esses parâmetros ao serem adotados pela gestão, para realizar seu planejamento, impacta diretamente na qualidade, no acesso e na avaliação de usos dos serviços de saúde. Outro benefício, é a mapeação das áreas de maior vulnerabilidade econômica para que a equidade dos recursos destinados ao SUS seja respeitada (Pereira; Moschini; Uehara, 2021; Fernandes et al., 2020). Espera-se que, dessa forma, o planejamento e a reorganização da APS no município sejam otimizados a partir das especificidades apontadas pelo mapeamento.
Utilizada nesse trabalho, a Geografia da Saúde, uma subdisciplina da Geografia, com seu caráter transdisciplinar, busca entender como os fatores geográficos influenciam a distribuição e prevalência de doenças, a acessibilidade aos serviços de saúde e as condições de vida que afetam o bem-estar da população, questões verificadas nesse estudo (Santana, 2014). Seu objetivo é proporcionar conhecimentos que sirvam para entender as relações que se estabelecem entre as condicionantes da saúde e os resultados efetivos na saúde, qualidade de vida e desenvolvimento de territórios (Santana, 2014).
Estudos analisando as ICSAP sob a perspectiva da distribuição espacial podem contribuir com a gestão municipal de saúde. Nessa perspectiva, este estudo objetivou analisar a origem territorial, os aspectos demográficos, financeiros e a frequência das Internações por Condições Sensíveis à Atenção Primária ocorridas no sistema público de saúde em um município do Norte de Minas Gerais, no período de 2017 a 2021.
Desenvolvimento do texto Área de estudo
Métodos
Trata-se de um estudo ecológico com análise de tendência de série temporal, desenvolvido a partir de dados de pacientes residentes no município de Montes Claros, no Norte de Minas Gerais, no período de 2017 a 2021. A estrutura de saúde local é composta por seis hospitais credenciados em baixa, média e alta complexidade, que disponibilizam, juntos, 963 leitos de internação, sendo 72,9% deles destinados ao SUS. A rede básica de saúde possui cobertura populacional ampla que inclui, além das 143 Equipes de Saúde da Família, 106 Equipes de Saúde Bucal, 20 salas de vacina, 1 Equipe Consultório na Rua, 5 Academias de Saúde, 31 farmácias e quatro Unidades de Pronto Atendimento com plantões noturnos (Veloso; Caldeira, 2022).
Neste estudo, foram utilizados registros do Sistema de Informação Hospitalar do Departamento de Informática do Sistema Único de Saúde (DATASUS) e do Sistema de Informação e Gestão da Atenção Básica. Para as informações populacionais, foram utilizados dados do Instituto Brasileiro de Geografia e Estatística (IBGE).
Foi considerado como causa de internação o diagnóstico principal registrado na ficha de Autorização de Internação Hospitalar (AIH), classificado conforme a 10ª revisão da Classificação Estatística Internacional de Doenças e Problemas Relacionados à Saúde (CID-10). Foram excluídas as internações decorrentes de partos por representarem um desfecho natural da gestação e por determinarem internações que ocorrem apenas na população feminina.
Na composição do banco, foram selecionadas variáveis relativas aos hospitais do município (identificação e município de localização), aos pacientes (local de residência ou endereço postal, faixa etária e raça/cor da pele) e às internações propriamente (data de internação, data de saída, diagnóstico principal, desfecho, valor total pago pelo SUS e valor pago por uso de unidade de terapia intensiva – (UTI). Cada uma das internações foi classificada como ICSAP ou não-ICSAP, segundo a Lista Nacional de Condições Sensíveis à Atenção Primária (Brasil, 2008).
As informações obtidas pelos registros das Autorizações de Internação Hospitalar (AIH) foram extraídas e processadas a partir do programa Tabwin versão 4.15 e, posteriormente, exportadas para o programa Microsoft Excel (planilha eletrônica) e, depois de conferidos, foram tratados no sistema de informação geográfica ArcGiz om apoio do aplicativo ArcMap. para visualizar, editar e consultar dados geoespaciais e criar mapas. A base cartográfica digital utilizada na elaboração dos mapas foi obtida na Prefeitura do Município de Montes Claros (MG). Para elaboração da estratificação do número total de ICSAP, foram estabelecidas, arbitrariamente, cinco faixas, com cores diferentes para facilitar a identificação, segundo o número de ICSAP no período avaliado.
Os bairros que não tiveram moradores internados receberam cor branca (nenhuma internação). Aqueles que apresentaram de 1 a 49 internações foram identificados com a cor azul; de 50 a 99, cor verde; 100 atendimentos até 149, cor amarela; 150 até 199, cor laranja; para os bairros que tiveram, durante o período de estudo, 200 ou mais usuários internados por ICSAP, a cor de identificação foi a vermelha.
A escolha das cores buscou fazer uma analogia ao sistema de classificação para triagem de atendimentos de urgência, do Protocolo de Manchester (GBCR, 2015) que consiste em cinco cores: azul, não urgente; verde, pouca urgência; amarelo, urgente; laranja, muito urgente; e, vermelho, emergência. Dessa forma, a identificação dos bairros por cores, comparativamente, denota a urgência ou não de intervenção gerencial do gestor de saúde sobre as Equipes da ESF responsáveis pelos respectivos territórios.
Resultados
No período de 2017 a 2021, ocorreram no sistema público de saúde de Montes Claros (MG) 116.897 internações de todas as causas, sendo que, desse total, 18.293 (15,65%) referem-se às ICSAP. Ao longo do período avaliado, observou-se uma redução média de 16,43% no volume total das ICSAP, com destaque para o ano de 2020 (Tabela 1).
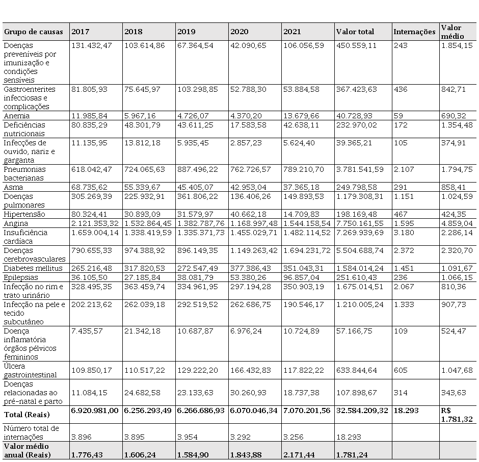
Os principais grupos de causas de ICSAP no período avaliado foram Insuficiência Cardíaca (17,38%), Doenças Cerebrovasculares (12,97%) e Pneumonias Bacterianas (11,52%). Os diagnósticos que apresentaram maiores reduções de hospitalizações foram os grupos de causa Hipertensão (69,29%) e Angina (43,12%). Por outro lado, alguns grupos apresentaram aumento nas quantidades de hospitalizações, com destaque para o Epilepsia (78%) seguido por Doenças relacionadas ao pré-natal e parto (66,67%) (Tabela 1).
O perfil demográfico dos pacientes com ICSAP mostrou discreta maioria do sexo masculino (50,63%) e predomínio das faixas etárias de 60 a 79 anos (37,19%); em seguida, de 20 a 59 anos (32,57%). Em relação à raça/cor da pele, 62,94% das internações contemplaram pessoas que se autodeclararam pardas, e a cor branca foi declarada por 12,55%. Ressalta-se, entretanto, que 21,26% das AIH não registram essa informação (Tabela 2).
Em relação aos valores repassados aos hospitais referentes às ICSAP, o período avaliado registra um desembolso financeiro de R$32.584.209,32 (16,65% do total de todas as internações), com um valor médio por internação no período variando de R$ 1.584,90 a R$2.171,44. Considerando o custo médio por internação, o maior valor foi identificado com o diagnóstico Angina (R$4.859,04) e o menor valor por hospitalização foi com o diagnóstico Doenças relacionadas ao pré-natal e parto (R$ 343,63) (Tabela 3).
Em relação às participações dos diagnósticos no volume global dos recursos financeiros, bem como no total das hospitalizações, os diagnósticos Angina (R$7.750.161,55); Insuficiência Cardíaca (R$7.269.939,69); e Doenças Cerebrovasculares (R$5.504.688,74), lideraram os desembolsos e foram responsáveis por mais de 60% de todo o recurso financeiro com as ICSAP. Particularmente, em relação à quantidade de hospitalizações no quinquênio, os três diagnósticos foram responsáveis por 7.147(39,0%) das internações (Tabela 3).
Quanto à origem territorial dos pacientes que foram internados por CSAP, das 18.293 registradas, para 2.971 (16,24%) hospitalizações não foram identificados os bairros onde os pacientes habitam em função da ausência da inserção do Código de Endereçamento Postal (CEP) na AIH, indicador utilizado para identificar a origem do usuário.
Os bairros que tiveram maiores participações no total das internações (Faixa Vermelha) nos cinco anos foram, em ordem decrescente: Centro, com 3.274 (17,9%) hospitalizações; Alice Maia, com 656 (3,59%) hospitalizações; São Judas Tadeu, com 374 (2,04%) hospitalizações; Major Prates, com 372 (2,03%) hospitalizações e o Maracanã, com 284 (1,55%) hospitalizações (Figura 1). Os bairros que se situaram na Faixa Laranja (de 150 a 199 internações no período) foram: Planalto, com 191(1,04%); Delfino Magalhães, com 190(1,03%); Esplanada do Aeroporto, com 178 (0,97%); Alterosa, com 175 (0,96%); Monte Carmelo, com 175 (0,96%) e Jardim Primavera, com 164 (0,89%) (Figura 1).




DISCUSSÃO
Este trabalho identificou que a proporção entre ICSAP e internações gerais para o período avaliado é maior do que se observa para o país e em algumas capitais no período de 2009 a 2018, segundo um estudo que registrou os seguintes percentuais: Brasil, como um todo, 12,2%; Capitais, 10,8%; Distrito Federal, 12,6%; São Paulo 10,7%; Rio de Janeiro, 9,5%; Belo Horizonte, 12,9%; Porto Alegre, 8,5%; Curitiba, 8,5%; e Florianópolis, 11,1% (Pinto et al., 2019). Todavia, essa comparação deve ser realizada com cautela, considerando que são períodos distintos de avaliação e contextos igualmente diferenciados.
Os diversos grupos que compõem as ICSAP também apresentam desigualdades regionais que podem sugerir diferentes estágios de organização dos sistemas de saúde e a centralidade, ou não, da APS no sistema (Pinto; Giovanella, 2018). Estudo realizado no mesmo município objeto deste estudo, contemplando o período de 2010 a 201,9 identificou proporção de 16,7% (Veloso; Caldeira, 2022).
Em relação à queda das internações por CSAP em 2020 e 2021, em comparação com o primeiro ano da série, bem como o aumento dos valores financeiros médios das internações no mesmo período, ambas as situações parecem ter uma associação direta com o advento da Covid-19, já que foi um evento registrado tanto em nível nacional quanto internacional (Haldane et al., 2020; Mughal; Mallen; Mckee, 2021) e exigiu que os hospitais destinassem parte de seus leitos exclusivamente para atender aos pacientes acometidos pela doença.
Em revisão sistemática (Lamberti-Castronuovo et al., 2022) que buscou entender até que ponto as taxas de internações das CSAP durante desastres foram estudadas, os autores observaram que os pacientes evitam o contato com o hospital e aqueles com doenças crônicas procuram os hospitais mais tarde, o que aumenta a probabilidade de serem hospitalizados posteriormente. A análise dos artigos revisados confirmou que as ICSAP podem servir como um indicador útil do desempenho dos APS durante catástrofes, com diversas ressalvas que devem ser consideradas (Lamberti-Castronuovo et al., 2022).
Outras explicações que podem ser consideradas na interpretação do declínio de internações por CSAP, estão relacionadas à continuidade da expansão da APS no período, aos investimentos em programas de melhorias na APS no período, como o Programa de Melhoria do Acesso e Qualidade da Atenção Básica (PMAQ-AB) (Soares; Ramos, 2020), posteriormente, substituído pelo Programa Previne Brasil (Brasil, 2019), como também à crescente cobertura da ESF no município, que a partir de 2015 já era superior a 100% (Veloso; Caldeira, 2022).
Embora este trabalho não tenha feito a correlação das doenças com as faixas etárias, o resultado encontrado chama a atenção para o cuidado que a APS deve ter com os munícipes que estão na idade de 60 anos acima, pois é nessa faixa que apresenta a maior incidência das doenças apontadas e, no caso em estudo, esse grupo representa mais de 50% dos usuários que apresentaram ICSAP. A mudança da estrutura demográfica da população reduz a participação do grupo das crianças na população e amplia o peso do grupo dos idosos. O país passa a ter um número expressivo de pessoas com 60 anos ou mais que demandam cuidados e atenção especiais para que possam manter sua autonomia e bem-estar (Oliveira, 2019).
Um estudo que buscou analisar a magnitude, o perfil e o padrão de ocorrência das taxas de ICSAP em Goiânia (GO) e nas suas regiões de saúde no período de 2008 a 2013, também apontou que na faixa etária de 60 anos ou mais, as doenças do aparelho circulatório são as mais prevalentes, tendo a Insuficiência Cardíaca, Angina e Doenças Cerebrovasculares como os principais grupos de causa, com as maiores taxas de ICSAP (Magalhães; Morais, 2017).
Outro estudo que teve como objetivo determinar a morbidade e a mortalidade por Insuficiência Cardíaca no estado da Paraíba e no Brasil, e sua tendência em dez anos, registrou que essa foi a principal causa de internações entre as doenças cardiovasculares na Paraíba e no Brasil (Fernandes et al, 2020). Nos Estados Unidos, a Insuficiência Cardíaca é a principal causa de internações hospitalares em pacientes com idade superior a 65 anos (Lam et al, 2011) e a principal causa de hospitalização de aproximadamente 50% da população sul-americana (Bocchi, 2013). Dessa forma, a avaliação é importante para servir como base de alocação de recursos e abordagem no trato da doença com adoção de ações preventivas.
Na análise dos custos envolvidos, observou-se que, entre os grupos de causas, três diagnósticos (Angina, Insuficiência Cardíaca e Doenças Cerebrovasculares) foram responsáveis por quase dois terços do valor financeiro repassado aos hospitais no quinquênio, e por mais de um terço das quantidades de todas as internações ocorridas nos cinco anos analisados. Esse resultado é bastante relevante para os gestores de saúde da região, pois destaca uma necessidade urgente de intervenção. A situação é diferente da que se observa em estudo (Pinto et al., 2019) realizado no Distrito Federal, que aponta que os mesmos diagnósticos representaram 20% das quantidades de internações realizadas. Ou seja, inferior, portanto, ao verificado neste trabalho.
A análise espacial mostrou uma predominância de internações de pacientes oriundos da região central da cidade, território que apresenta baixa densidade populacional (Leite, 2020). O evento chama a atenção e sugere ao município supervisionar com bastante cuidado a atuação assistencial das ESF responsáveis pelo território, bem como os hospitais no tocante aos registros das informações, pois a taxa apurada (de 474 internações por cada grupo de mil habitantes) é um indicador muito elevado. Estudos realizados sobre taxas de ICSAP, considerando toda a população de municípios (Pereira; Moschini; Uehara, 2021; Veloso; Caldeira, 2022), de estados (Pinto et al., 2019; Santos et al., 2013) e de países (Pinto et al., 2019), apresentam indicadores bem inferiores ao observado nessa seção.
Em relação ao evento, inicialmente, pode-se questionar a possibilidade de que, pelo fato de a área central ser próxima aos hospitais, os usuários se sentem incentivados, por razões diversas, a procurar diretamente a atenção terciária em detrimento da primária. Reforçando essa hipótese, um estudo que investigou a associação entre a disponibilidade de infraestrutura e cobertura de serviços de saúde com as ICSAP, após o ajuste para variáveis socioeconômicas e demográficas no contexto dos municípios do Espírito Santo, Brasil, apontou maior número de ICSAP associado à maior urbanização (Pazó et al., 2014).
Segundo os autores, essa situação pode sugerir que a residência em aglomerados urbanos, nos quais, em geral, estão localizados os hospitais, facilita o acesso a eles, e o maior acesso aos serviços de urgência e de emergência hospitalares em detrimento de serviços da rede de Atenção Básica, colaborando para o aumento das ICSAP (Pazó et al, 2014; Márquez-Calderón et al, 2003). Essa associação entre maior proximidade com o hospital e maiores taxas de ICSAP foi registrada também em outros estudos (Silva, 2020; Homar et al., 2003).
Outra explicação pode estar relacionada à disponibilidade de leitos ociosos nos hospitais que buscam cumprir as metas contratualizadas com o município para receber a remuneração pelos serviços já acordados. Em relação a essa abordagem, existe uma correlação positiva na área de saúde pública que evidencia que quanto maior a oferta de leitos em uma determinada região, maior a taxa de internação hospitalar nessa localidade, denominada Lei de Roemer (Delamater et al., 2013).
Essa relação diz que leitos ofertados tendem a ser usados, independentemente se há real necessidade de internação (Delamater et al., 2013) e, ainda, quanto maior o número de leitos disponíveis, maior a chance de o indivíduo se internar independentemente de suas necessidades de saúde (Souza; Costa, 2011; Castro; Travassos; Carvalho, 2005). Como essa relação, indução de internação provocada pela oferta de leitos não foi objeto deste estudo, os autores recomendam que o tema seja tratado em pesquisas futuras.
Apesar das considerações apresentadas, os valores muito elevados de ICSAP na área central da cidade suscitam, ainda, outras possibilidades e questionamentos, como os erros, deliberados ou não, de registros por parte dos atendentes nos hospitais, ao anotar o código do endereçamento postal na AIH e, assim, superestimar o quantitativo de internações daquela região. Nessa mesma linha de abordagem sobre a qualidade e acurácia das informações prestadas pelos hospitais, questiona-se, também, a falta de registro dos endereços postais, que representou, neste estudo, um percentual não desprezível de 16% das hospitalizações.
A inexistência do registro do Código de Endereçamento Postal (CEP), bem como a concentração de um mesmo número na área central da cidade podem ser, também, atribuídas ao fato de que pacientes de outros municípios ficarem com receio, por falta de conhecimento, de se identificarem como tal e terem o tratamento negado ou interrompido, ou mesmo por falta de atenção dos trabalhadores lotados nas recepções dos hospitais quando preenchem as fichas de atendimento do usuário.
Essas informações, pelo caráter do estudo, não podem ser confirmadas, mas são muito importantes para melhorar a qualidade da gestão dos serviços hospitalares e para nortear ações de melhoria de toda a gestão municipal. Sem o devido zelo no preenchimento das AIH, é possível que o diagnóstico seja também registrado de forma incompleta ou errônea, o que poderá vir a comprometer as estratégias de intervenção e de implementação de políticas públicas naqueles territórios.
Um fato a corroborar a falta de cuidados no preenchimento da AIH é o elevado percentual de informações ausentes para o item cor da pele, que neste estudo foi superior a 20%. Para as demais áreas com elevada proporção de ICSAP, é imperioso que os gestores e profissionais de saúde também sejam reflexivos e ativos na busca de tratativas que vão desde a análise de acessos e fluxos de atendimento até a qualificação das equipes de trabalho.
Em estudo similar a este, realizado em Goiânia, os autores mapearam a distribuição das ICSAP nos distritos sanitários da cidade. Os resultados possibilitaram a identificação de desigualdades nas taxas de ICSAP, apontando deficiências de cobertura de APS, ou problemas de qualidade e insuficiência do modelo assistencial em regiões com alta cobertura (Magalhães; Morais, 2017). Todavia, é importante, ainda, considerar que outras variáveis podem interferir na determinação das ICSAP.
De forma geral, o paciente que chega a uma porta de entrada no hospital, espontaneamente, ou por meio do Serviço de Atendimento Móvel de Urgência (SAMU), tem sua internação definida pelo médico plantonista. Isso sugere que há fatores determinantes das ICSAP que fogem ao escopo da governabilidade da Atenção Primária à Saúde (APS) sobre as internações, pois dizem respeito ao funcionamento da rede hospitalar; ao acesso à sua porta de entrada, que são os serviços de urgência e de emergência; às práticas hospitalares de internação; e aos critérios para se indicar uma internação (Caminal Homar, 2007; Pazó et al., 2014).
Adicionalmente, é importante registrar que as Unidades Básicas de Saúde (UBS) do município, em sua maioria, funcionam em casas alugadas que não oferecem condições estruturais adequadas para os profissionais e os usuários. Essa situação, comum na maior parte do país, pode-se configurar como um fator limitador do acesso e acessibilidade, atributos fundamentais da APS. Também não é raro registrar uma significativa e elevada rotatividade dos médicos, que não permanecem por muito tempo nos mesmos territórios, seja por nova oportunidade de emprego ou insatisfação com as estruturas de trabalho e remuneração, comprometendo, também, o atributo da longitudinalidade.
Entre outros aspectos, a situação apresentada reitera que a definição de unidades espaciais como locus preferencial na prestação do cuidado em saúde é desafiadora quando se buscam modelos assistenciais que reduzam as iniquidades de acesso aos serviços de saúde e os humanizem, integrando dados demográficos, socioeconômicos, culturais e ambientais, configurando localmente os determinantes sociais da saúde (Souza et al., 2016).
Finalmente, é importante considerar algumas limitações do estudo. A medida das ICSAP, tomadas isoladamente como forma de avaliação indireta da Atenção Primária, pode gerar interpretações equivocadas. Este indicador, por usar dados secundários, não considera a gravidade do quadro clínico e a fragilidade do indivíduo, as características próprias do paciente, as diferenças nos critérios de admissão entre os serviços hospitalares, o perfil socioeconômico da população ou mesmo características culturais (Caminal Homar et al., 2003; Magalhães; Morais, 2017; Nedel et al., 2010, 2011; Santos et al., 2013).
A impossibilidade de assegurar o local de residência, uma vez que o registro foi realizado apenas a partir do CEP, também é um fator limitante na consideração de medidas a serem implementadas pela gestão municipal, assim como os dados sobre a raça/cor da pele. Apesar das limitações, este estudo aborda aspectos poucos explorados pela literatura nacional e apresenta uma nova dimensão ao indicador avaliado, criando possibilidades de intervenções mais precisas e oportunas por parte de gestores e profissionais de saúde, tais como exigir dos hospitais o preenchimento correto das AIH com os dados demográficos e o endereçamento postal dos pacientes, medidas gerenciais que produzirão efeitos importantes para a adoção de medidas de intervenção.
Relatos de experiências de intervenções exitosas para reduzir taxas de ICSAP (preventivas, terapêuticas, que permitam mudanças no estilo de vida ou que forneçam componentes psicossociais ou educacionais) e analisam a taxa de ICSAP como medida de desfecho, foram apontados em revisão sistemática com 28 publicações realizadas nos Estados Unidos, Austrália, Inglaterra, Canadá, Alemanha, Suécia e Itália (Duminy; Ress; Wild, 2022).
Nos relatos, todas as intervenções bem-sucedidas tinham em comum um médico de Atenção Primária e um adequado gerenciamento de cuidados, além de um elevado grau de interligação entre grupos profissionais que prestam cuidados nos chamados lares de saúde (Duminy; Ress, Wild, 2022). Por fim, a descrição e análise de indicadores de desempenho da saúde, atreladas à apuração de seus custos, possibilita a identificação de territórios ou serviços prioritários para a adoção de políticas de saúde e alocação de recursos, ainda mais em um quadro de poucos recursos no sistema de saúde brasileiro (Dias et al., 2022).
Considerações Finais
O estudo alcançou seu objetivo geral propiciando uma análise ampla sobre a distribuição territorial dos pacientes que geram as internações com condições sensíveis, bem como os aspectos demográficos, financeiros e sua frequência no período de 2017 a 2021. A identificação da origem territorial, a análise financeira, a descrição do perfil demográfico explicita deficiências da atuação da atenção primária no aspecto assistencial e dos hospitais na abordagem das informações. Este estudo, no contexto da geografia da saúde, registrou a distribuição de uma elevada proporção de ICSAP ao longo do período estudado, com importante participação das doenças cardiovasculares no quantitativo numérico e de custos de repasse aos hospitais. Nesse sentido, no escopo da Atenção Primária, ações administrativas e assistenciais podem ser implementadas para mitigar as lacunas apresentadas nesse estudo e que contribuirão para o aprimoramento da Atenção Básica no município.
Referências
ALFRADIQUE, M. E. et al. Internações por condições sensíveis à atenção primária: a construção da lista brasileira como ferramenta para medir o desempenho do sistema de saúde (Projeto ICSAP - Brasil). Cadernos de Saúde Pública, [S./l.], v. 25, n. 6, p. 1337–1349, jun. 2009.
BILLINGS, John et al. Impact of socioeconomic status on hospital use in New York City. Health affairs, [S./l.], v. 12, n. 1, p. 162-173, 1993.
BOCCHI, Edimar Alcides. Heart failure in South America. Current cardiology reviews, [S./l.], v. 9, n. 2, p. 147-156, 2013.
BRASIL. Ministério da Saúde. Portaria n. 221, de 17 de abril de 2008. Lista brasileira de internações por condições sensíveis à atenção primária. Brasília (DF): Ministério da Saúde; 2008; p.70 [citado 2023 Maio 13]. Disponível em: https://bvsms.saude.gov.br/bvs/saudelegis/sas/2008/prt0221_17_04_2008.html » https://bvsms.saude.gov.br/bvs/saudelegis/sas/2008/prt0221_17_04_2008.html. Acesso em: 10 jan. 2023.
BRASIL. Ministério da Saúde. Portaria Nº 2.979, de 12 de novembro de 2019. Institui o Programa Previne Brasil, que estabelece novo modelo de financiamento de custeio da Atenção Primária à Saúde no âmbito do Sistema Único de Saúde, por meio da alteração da Portaria de Consolidação nº 6/GM/MS, de 28 de setembro de 2017. Brasília, DF; 2019. [cited 2023 Out 14]. Disponível em: https://bit.ly/3nc7p16 » https://bit.ly/3nc7p16. Acesso em: 10 jan. 2023.
CASTRO, Mônica Silva Monteiro; TRAVASSOS, Cláudia; CARVALHO, Marilia Sá. Efeito da oferta de serviços de saúde no uso de internações hospitalares no Brasil. Revista de Saúde Pública, [S./l.], v. 39, p. 277-284, 2005. Disponível em: https://www.scielosp.org/article/ssm/content/raw/?resource_ssm_path=/media/assets/rsp/v39n2/24053.pdf. Acesso em: 10 jan. 2023.
DELAMATER, Paul L. et al. Do more hospital beds lead to higher hospitalization rates? A spatial examination of Roemer’s law. PloS one, [S./l.], v. 8, n. 2, p. e54900, 2013.Disponível em: https://doi.org/10.1371/journal.pone.0054900. Acesso em: 10 jan. 2023.
DE RISCO, Grupo Brasileiro De Classificação. Diretrizes para implementação do Sistema Manchester de Classificação de Risco nos pontos de atenção às urgências e emergências. Belo Horizonte: GBCR, 2015. Disponível em: https://www.gbcr.org.br/wp-content/uploads/2021/03/DIRETRIZES-SISTEMA-MANCHESTER-DE-CLASSIFICACAO-DE-RISCO-GBCR-.pdf . Acesso em: 10 jan. 2023.
DUMINY, Lize; RESS, Vanessa; WILD, Eva-Maria. Complex community health and social care interventions–Which features lead to reductions in hospitalizations for ambulatory care sensitive conditions? A systematic literature review. Health Policy, [S./l.], v. 126, n. 12, p. 1206-1225, 2022. Disponível em: https://doi.org/10.1016/j.healthpol.2022.10.003. Acesso em: 10 jan. 2023.
DIAS, Barbara Almeida Soares et al. Distribuição espacial das internações hospitalares por diabetes mellitus no Espírito Santo, Brasil. Revista Brasileira de Pesquisa em Saúde/Brazilian Journal of Health Research, [S./l.], v. 22, n. 2, p. 40-47, 2020. Disponível em: https://periodicos.ufes.br/rbps/article/view/21922/23150. Acesso em: 10 jan. 2023.
DIAS, Bruna Moreno et al. Gastos com internações por condições sensíveis à atenção primária: estudo ecológico. Acta Paulista de Enfermagem, v. 35, p. eAPE039001134, 2022. Disponível em: https://doi.org/10.37689/acta-ape/2022AO001134. Acesso em: 10 jan. 2023.
FERNANDES, Amanda DF et al. A 10-year trend analysis of heart failure in the less developed Brazil. Arquivos brasileiros de cardiologia, [S./l.], v. 114, p. 222-231, 2020. Disponível em: https://doi.org/10.36660/abc.20180321. Acesso em: 15 jan. 2023.
FREITAS, Isabela Moreira de. Análise espacial e espaço-temporal das internações evitáveis por tuberculose em Ribeirão Preto, SP, (2006-2012). 2014. Tese de Doutorado. Universidade de São Paulo, São Paulo, 2014.
HALDANE, Victoria et al. National primary care responses to COVID-19: a rapid review of the literature. BMJ open, [S./l.], v. 10, n. 12, p. e041622, 2020.Disponível em: https://doi.org/10.1136/bmjopen-2020-041622. Acesso em: 01 fev. 2023.
HOMAR, Josefina Caminal. Las hospitalizaciones por ambulatory care sensitive conditions y los resultados de la atención primaria. Atención primaria, [S./l.], v. 39, n. 10, p. 532, 2007.
HOMAR, J. Caminal et al. Hospitalizaciones prevenibles mediante una atención primaria oportuna y efectiva. Atención primaria, [S./l.], v. 31, n. 1, p. 6-14, 2003. Disponível em: https://doi.org/10.1016/S0212-6567(03)70653-2. Acesso em: 22 jan. 2023.
LAMBERTI-CASTRONUOVO, Alessandro et al. Using ambulatory care sensitive conditions to assess primary health care performance during disasters: a systematic review. International journal of environmental research and public health, [S./l.], v. 19, n. 15, p. 9193, 2022.Disponível em: https://doi.org/10.3390/ijerph19159193. Acesso em: 10 jan. 2023.
LAM, C. S. P., Donal, E., Kraigher-Krainer, E. & Vasan, R. S. Epidemiology and clinical course of heart failure with preserved ejection fraction. European Journal of Heart Failure, [S./l.], v. 13, p. 18–28, 2011. Disponível em: https://doi.org/10.1093/eurjhf/hfq121. Acesso em: 10 jan. 2023.
LEITE, Marcos Esdras. Atlas Ambiental de Montes Claros/MG. Montes Claros: Editora Unimontes, 2020.
MACINKO, James; MENDONÇA, Claunara Schilling. Estratégia Saúde da Família, um forte modelo de Atenção Primária à Saúde que traz resultados. Saúde em Debate, [S./l.], v. 42, p. 18-37, 2018.
MAGALHÃES, Alessandro Leonardo Alvares; MORAIS, Otaliba Libânio de. Desigualdades intraurbanas de taxas de internações por condições sensíveis à atenção primária na região central do Brasil. Ciência & Saúde Coletiva, [S,/l.], v. 22, p. 2049-2062, 2017. Disponível em; https://doi.org/10.1590/1413-81232017226.16632016. Acesso em: 10 jan. 2023.
MÁRQUEZ-CALDERÓN, S. et al. Factores asociados a la hospitalización por procesos sensibles a cuidados ambulatorios en los municipios. Gaceta sanitaria, [S./l.], v. 17, p. 360-367, 2003.
MUGHAL, Faraz; MALLEN, Christian D.; MCKEE, Martin. The impact of COVID-19 on primary care in Europe. The Lancet Regional Health–Europe, [S./l.], v. 6, p. 1-2, 2021. Disponível em: https://doi.org/10.1016/j.lanepe.2021.100152. Acesso em: 06 jan. 2023.
NEDEL, Fúlvio Borges et al. Características da atenção básica associadas ao risco de internar por condições sensíveis à atenção primária: revisão sistemática da literatura. Epidemiologia e Serviços de Saúde, [S./l.], v. 19, n. 1, p. 61-75, 2010. Disponível em: http://scielo.iec.gov.br/pdf/ess/v19n1/v19n1a08.pdf. Acesso em: 10 jan. 2023.
NEDEL, Fúlvio Borges et al. Conceptual and methodological aspects in the study of hospitalizations for ambulatory care sensitive conditions. Ciência & Saúde Coletiva, [S./l.], v. 16, n. suppl 1, p. 1145-1154, 2011. Disponível em: https://www.scielosp.org/pdf/csc/v16s1/a46v16s1.pdf. Acesso em: 10 jan. 2023.
OLIVEIRA, Anderson Silva. Transição demográfica, transição epidemiológica e envelhecimento populacional no Brasil. Hygeia-Revista Brasileira de Geografia Médica e da Saúde, [S./l.], v. 15, n. 32, p. 69-79, 2019. Disponível em: https://doi.org/10.14393/Hygeia153248614. Acesso em: 10 jan. 2023.
PEREIRA, Helena Nayara Santos; MOSCHINI, Luiz Eduardo; UEHARA, Silvia Carla da Silva Andre. Influence of economic indicators on the spatial distribution of hospitalizations related to chronic noncommunicable diseases/Influencia dos indicadores economicos na distribuicao espacial de internacoes relacionadas as doencas cronicas nao transmissiveis/Influencia de los indicadores economicos en la distribucion espacial de las hospitalizaciones relacionadas con enfermedades cronicas no transmisibles.(Research Article/Artigo de Pesquisa/Articulo de Investigacion). Enfermagem Uerj, [S./l.], v. 29, p. NA-NA, 2021.disponível em: https://doi.org/10.12957/reuerj.2021.58644. Acesso em: 10 jan. 2023.
PINTO, Luiz Felipe et al. Hospitalisations due to ambulatory care sensitive conditions (ACSC) between 2009 and 2018 in Brazil’s Federal District as compared with other state capitals. Ciência & Saúde Coletiva, [S./l.], v. 24, p. 2105-2114, 2019. Disponível em: https://doi.org/10.1590/1413-81232018246.08582019. Acesso em: 10 jan. 2023.
PINTO, L. F. & Giovanella, L. Do Programa à Estratégia Saúde da Família: expansão do acesso e redução das internações por condições sensíveis à atenção básica (ICSAB). Ciênc. saúde coletiva, [S./l.], v. 23, p. 1903–1914, 2018. Disponível em: https://doi.org/10.1590/1413-81232018236.05592018. Acesso em: 10 jan. 2023.
SANTANA, Paula. Introdução à geografia da saúde: território, saúde e bem-estar. Imprensa da Universidade de Coimbra/Coimbra University Press, 2014.
SANTOS, Vilma Constancia Fioravante dos et al. Internações por condições sensíveis a atenção primária (ICSAP): discutindo limites à utilização deste indicador na avaliação da Atenção Básica em Saúde. 2013. Disponível em: https://www.arca.fiocruz.br/handle/icict/17187. Acesso em: 10 jan. 2023.
SILVA, Larissa Oliveira. Caracterização da distribuição territorial dos estabelecimentos que integram o Sistema Único de Saúde em Montes Claros - MG, 2019 / Larissa Oliveira Silva. Montes Claros, 2020. 104 f. Dissertação (Mestrado em Sociedade, Ambiente e Território), Universidade Federal de Minas Gerais / Instituto de Ciências Agrárias, Montes Claros, 2020.
SILVA, Sara de Souza; PINHEIRO, Letícia Cavalari; LOYOLA FILHO, Antônio Ignácio de. Análise espacial dos fatores associados às internações por condições sensíveis à atenção primária entre idosos de Minas Gerais. Revista Brasileira de Epidemiologia, [S./l.], v. 24, p. e210037, 2021.
SOARES, César; RAMOS, Marília. Uma avaliação dos efeitos do PMAQ-AB nas internações por condições sensíveis à Atenção Básica. Saúde em Debate, [S./l.], v. 44, p. 708-724, 2020. Disponível em: https://doi.org/10.1590/0103-1104202012609. Acesso em: 10 jan. 2023.
SOUZA, Leonardo Lemos de; COSTA, Juvenal Soares Dias da. Internações por condições sensíveis à atenção primária nas coordenadorias de saúde no RS. Revista de Saúde Pública, [S./l.], v. 45, p. 765-772, 2011.Disponível em: https://doi.org/10.1590/S0034-89102011000400017. Acesso em: 10 jan. 2023.
SOUZA, Renato Cesar Ferreira de et al. Viver próximo à saúde em Belo Horizonte. Cadernos Metrópole, [S./l.], v. 18, p. 326-344, 2016. Disponível em: https://doi.org/10.1590/2236-9996.2016-3601. Acesso em: 10 jan. 2023.
PAZÓ, Rosalva Grobério et al. Modelagem hierárquica de determinantes associados a internações por condições sensíveis à atenção primária no Espírito Santo, Brasil. Cadernos de Saúde Pública, [S./l.], v. 30, p. 1891-1902, 2014. Disponível em: https://doi.org/10.1590/0102-311X00099913. Acesso em: 06 jan. 2023.
VELOSO, Márcio Antônio Alves; CALDEIRA, Antônio Prates. Number of health care teams and hospitalizations due to primary care sensitive conditions. Ciência & Saúde Coletiva, [S./l.], v. 27, p. 2573-2581, 2022. Disponível em: https://doi.org/10.1590/1413-81232022277.20952021EN. Acesso em: 15 jan. 2023.
Notas
Endereço: Avenida Doutor Ruy Braga, s.n, Vila Mauricéia, Campus Universitário Profssor Darcy Ribeiro, Montes Claros (MG), CEP: 39401-089.
Endereço: Avenida Doutor Ruy Braga, s.n, Vila Mauricéia, Campus Universitário Profssor Darcy Ribeiro, Montes Claros (MG), CEP: 39401-089.