Original Research Papers

Recepción: 16 Febrero 2022
Revisado: 29 Mayo 2022
Aprobación: 22 Junio 2022
DOI: https://doi.org/10.24154/jhs.v17i1.846
Abstract: Bael (Aegle marmelos (L) Correa) is an important underutilized fruit crop of India. A total of 25 bael trees were selected from 356 bael trees of Sakharayapattana in Chikkamagalur district, Karnataka, India based on the fruit morphological traits (fruit weight, pulp weight, skull thickness, seed weight per fruit, No. of seeds per fruit, No. of locules per fruit, No. of seeds per locule, pulp wt. : seed wt.). These 25 trees were evaluated for phenotypic and genotypic variations using random amplified polymorphic DNA (RAPD) and inter-simple sequence repeats (ISSR) markers. RAPD and ISSR markers showed significant polymorphism among the trees. Jaccard’s genetic similarity value of RAPD and ISSR was found in the range of 0.00–0.95 and 0.06–0.56, respectively suggesting a moderate level of genetic diversity. The present study revealed that molecular markers can be successfully utilized for determining genetic diversity and relationship of bael trees for further varietal improvement.
Keywords: Bael, genetic variability, morphology and molecular markers.
INTRODUCTION
Bael (Aegle marmelos(L) Correa) belongs to the family Rutaceae and is an important underutilized indigenous fruit crop of India and has high medicinal and nutritional values. Since pre-historic times, it was found as wild in Sub-Himalayan tract and dry deciduous forests of Central and Southern Indian region. Therefore, a large number of landraces are available in different diversity regions (Pandey et al., 2013) Each tree is genetically different from others as most of them are of seedling origin. Traditionally, morphological characters have been used to identify and characterize the bael. However, there is a high level of genetic variability which can sometimes be used accurately to distinguish each tree. When the morphological traits are used for determining diversity and relationships among plant species, they are not sufficient because of environmental influences. Thus, the usefulness of molecular markers has been investigated as a means of characterizing and discriminating against different species more precisely (Benharrant et al., 2002). The introduction of molecular biology techniques, such as DNA-based markers, allows for direct comparison of different genetic materials independent of environmental influences. The viability and purity of accessions can be analysed by utilization molecular markers. This process can increase both the quantity and quality of plant (Mujeeb et al., 2017) Molecular characterization would be more rewarding in terms of accurate identification and characterization of most closely related trees at the intra-specific level. The degree of similarity between the banding patterns provides information about genetic similarity and relationships between the samples studied. The application largely depends on the type of markers employed, distribution of markers in the genome, type of loci they amplify, level of polymorphism and reproducibility of the products (Virk et al., 2001 and Fernandez et al., 2002). Among the molecular markers, RAPD and ISSR markers have been extensively used to study genetic diversity and relationship. These markers can detect polymorphism in a single reaction. The main objective of the study was to characterise bael trees using morphological molecular markers, to evaluate the genetic diversity and relationship.
MATERIALS AND METHODS
Among 356 trees, 76 fruiting trees were subjected to study of variation in fruit morphological traits like fruit weight, pulp weight, skull thickness, seed weight per fruit, No. of seeds per fruit, No. of locules per fruit, No. of seeds per locule, pulp wt. : seed wt. Based on the fruit morphological traits the best 25 trees were selected for molecular marker analysis. Plant material (leaves) of 25 bael trees were collected for genomic DNA isolation using standardized cetyl trimethyl ammonium bromide (CTAB) extraction protocol (Benharrant et al.,2002) and thenthe DNA was quantified using a spectrophotometer and the quality of the DNA was checked on 0.7% agarose gel.
RAPD-PCR Amplification
Twelve RAPD primers were used for RAPD analysis of 25 bael trees. PCR amplification was carried out using 1X Taq buffer solution and 1 U Taq DNA polymerase (Bangalore Genie Pvt. Ltd.), 1.25 mM MgCl., 0.8 mM dNTP mix, 5 µM of a single decamer primer and 50 ng genomic DNA and the volume made up to 20 µl using sterilized double-distilled water. The amplification was performed in VWR Peqlab thermocycler with initial pre-denaturation at 94 °C for 4 min followed by 40 cycles of denaturation at 92 °C for 2 min, at annealing temperature (Table 1.) for 1 min, and extension at 72 °C for 2 min. Final extension was performed for 5 min at 72 °C. Amplification products were separated by electrophoresis on 1.5 % Agarose gel stained with ethidium bromide at 80 V. Bands were visualized and photographed in a gel documentation unit

ISSR-PCR Amplification
Sixteen primers, which gave the best amplification results with the sample DNA, were selected for ISSR- PCR analysis. PCR-amplification was carried out using 1X Taq buffer solution and 1 U Taq DNA polymerase (Bangalore Genie Pvt. Ltd.), 1.40 mM MgCl., 0.8 mM dNTP mix, 8 µM of a single decamer primer and 50 ng genomic DNA and the volume made upto 25 µl using sterilized double-distilled water. The amplification was performed in VWR Peqlab thermocycler 2 min at 94°C, followed by 40 cycles each of 1 min at 94°C (denaturation), 1 min at 55°C (annealing for ISSR primers), 2 min at 72°C (extension) followed by one final extension of 7 min at 72°. Amplification products were separated by electrophoresis on 1.5 % Agarose gel stained with ethidium bromide at 80 V. Bands were visualized and photographed in a gel documentation unit and analyzed.
Data Analysis
Amplified bands generated from RAPD and ISSR- PCR amplification were scored based on the presence(1) or absence (0) of bands for each primer and used to calculate a genetic similarity matrix using software NTSYS-pc version 2.1. Cluster analysis was performed for molecular data using the ‘‘unweighted pair group method using arithmetic means’’ (UPGMA) algorithm, from which dendrograms depicting similarity among trees were drawn and plotted using NTSYS-pc software.
RESULTS AND DISCUSSION
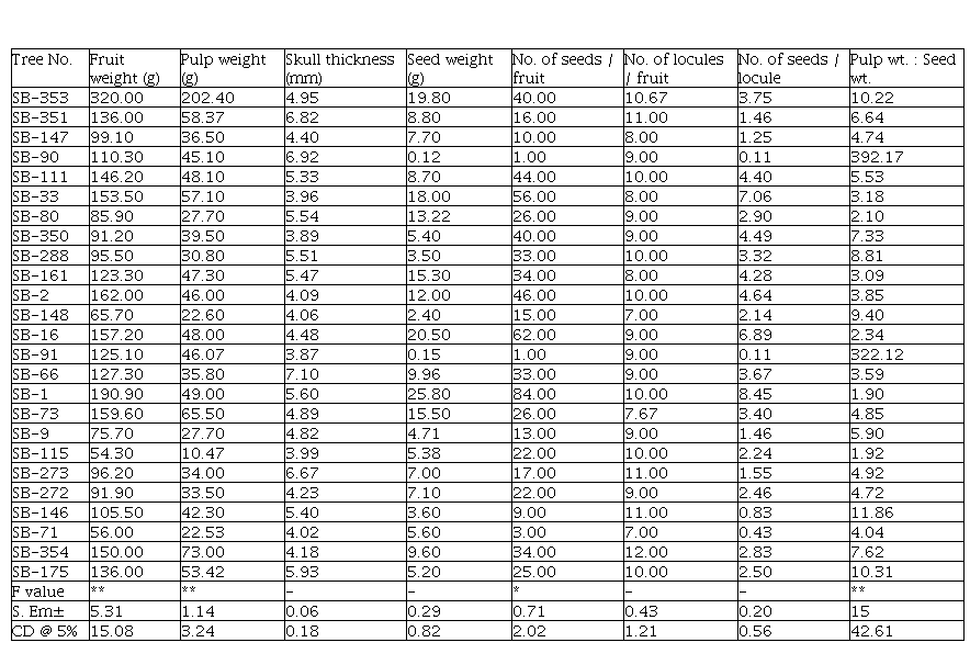
The variations in fruit morphological traits among the trees are depicted in Table 2. Significant maximum fruit weight was observed in tree SB-353 (320.00 g) and minimum fruit weight was observed in tree SB- 115 (54.30 g). Pulp weight was found significantly maximum in tree SB-353 (202.40 g) whereas, minimum pulp weight was observed in SB-71 (22.53 g) and it was on par with the tree SB-148. The difference in fruit weight might be attributed to an increase in pulp weight, seed weight, skull weight of trees. The findings are in agreement with the results of earlier researches (Pandey et al., 2008, Pandey et al., 2013 and Mitra et al., 2010).The maximum number of seeds per fruit was found in tree SB-1 (84.00) and minimum in SB-90 and SB-91. The difference in seed weight may be attributed to differences in the number and size of seeds among the trees. The results are in conformity with the earlier findings (Pandey et al., 2008, Pandey et al., 2013; Singh and Misra, 2010). Pulp weight : Seed weight was found maximum in SB- 90 (392.17) and it was minimum in SB-1 (1.90). The decrease in seed number per locule has a positive correlation with higher pulp content. Findings are in agreement with the results of earlier researches (Pandey et al., 2013 and Singh and Misra, 2010). The traits like skull thickness, seed weight per fruit, no. of locules per fruit and no. seeds per locule were observed non-significant among the trees.

RAPD analysis
The simplicity of laboratory assay for RAPD markers makes them an attractive method for obtaining intraspecific distinctions. This technique is already used for cultivar identification and genetic variability analysis of several underutilized fruit crops like tamarind (Diallo et al., 2007) and bael (Nayak et al., 2013). In this study, a set of RAPD primers were used for distinguishing the superior trees of bael. The comparatively higher percentage of polymorphic bands detected in the present study indicated that RAPD fragments are moderately polymorphic and particularly informative in the estimation of the genetic relationship of bael trees studied. The polymerase chain reaction of bael genomic DNA using 12 selected RAPD primers generated a total of 1,399 amplified bands (Table 3.). The highest number of bands was observed with primer OPX-17. The size of amplified fragments ranged between 300 and 1800 bp and the lowest number of bands was observed with primer OPN-03. The size of amplified fragments ranged between 500-900 bp. Comparatively, moderate level of polymorphic information content (0.39 to 0.77) value was seen in selected polymorphic primers. The highest PIC value (0.77) was observed for primer OPM-12 whereas, the lowest PIC value (0.39) was observed for OPM-06. It was observed that DNA primers showed an average PIC value of >0.5, which confirms that the primers are highly informative. The maximum average number of bands across trees was found for primer OPX-17 (7.88) while minimum was in primer OPN-03 (1.68).The highest genetic similarity coefficient of 0.95 was found between the SB-147 and SB-90 may be due to their same place of origin. The trees SB-175 and SB-66, SB-9 and SB-1 showed the lowest similarity coefficient (0.00). But the molecular diversity was not in agreement with most of the morphological diversity as reported in Colocasia esculenta (Singh et al., 2012). Comparatively high amplitude of the genetic similarity coefficient established in the present study confirms the occurrence of considerable genetic variability among bael trees. However, variation was higher than that reported for 25 cultivars of mango (range 0.69-0.89) (Rajwana et al., 2008). A dendrogram (Fig 1.) was constructed from values of similarity coefficients generated from RAPD data. The trees were divided into six major genotypic groups at a 0.446 similarity coefficient, containing 6 clusters respectively, based on the unweighted pair group method using arithmetic average cluster analysis. The trees SB-2, SB-351, SB- 161, SB-353 placed in a distinct cluster while other clusters subdivided into sub-clusters. Cluster ‘a’ consists of 19 trees, where these trees separated from each other at 0.57 similarity coefficients forming a distinct cluster for SB-175. This cluster was further divided at 0.614 forming a distinct cluster for SB-80. Cluster ‘b’ comprised of two trees SB-123 and SB-273.It was observed that SB-147 and SB-90 were placed very closely at similarity co-efficient of 0.95.


ISSR analysis

similarity coefficient of 0.56 between the SB-1 and SB-73may be due to their same place of origin and occurrence of an intense gene flow between these trees. But the molecular diversity was not in agreement with most of the morphological diversity as reported in Colocasia esculenta (Singh et al., 2012). Comparatively high amplitude of the genetic similarity coefficient established in the present study confirms the occurrence of considerable genetic variability among bael trees. A dendrogram was constructed from values of similarity coefficients generated from ISSR data. According to the dendrogram (Fig. 2.), the trees were divided into nine major genotypic groups at a 0.30 similarity coefficient, containing nine clusters respectively, based on unweighted pair group method using arithmetic average cluster analysis. The trees SB-354, SB-351, SB-175, SB-353 placed in a distinct cluster while other clusters sub divided in to sub- clusters. Cluster ‘a’ consists of five trees, where these trees separated from each other at 0.57 similarity coefficients forming a distinct cluster for SB-175. This cluster was further divided at 0.33 forming a distinct cluster for SB-147. Cluster b comprised of two trees SB-350 and SB-288. Cluster c comprised of three trees SB-161, SB-2 SB-148. Cluster d, e, f comprised of two, six and three trees respectively. At a similarity co-efficient of 0.56, it was observed that SB-1 and SB- 73 were placed very closely.

cluster for SB-147. Cluster b comprised of two treesSB-350 and SB-288. Cluster c comprised of threetrees SB-161, SB-2 SB-148. Cluster d, e, f comprisedof two, six and three trees respectively. At a similarityco-efficient of 0.56, it was observed that SB-1 and SB-73 were placed very closely.
RAPD and ISSR combined analysis
A dendrogram was constructed using values of similarity coefficients generated from RAPD and ISSR data. According to the dendrogram (Fig. 3.),the trees were divided into nine major genotypic groups at a 0.51 similarity coefficient, containing nine clusters respectively, based on unweighted pair group method using arithmetic average cluster analysis. The treesSB-353, SB-80, SB-175, SB- 123, SB-273, SB-161, SB-2, SB-351 placed in a distinct cluster while other clusters sub divided in to sub-clusters. Cluster ‘a’ consists of four trees, where these trees separated from each other at 0.59 similarity coefficients. Cluster ‘b’ comprised of three trees SB-350, SB-288 and SB-148. Cluster ‘c’ comprised of four trees SB-16, SB-91, SB-272 and SB-146. Cluster ‘d’ and ‘e’ comprised of four and two trees respectively. At similarity co-efficient of 0.70 it was observed that SB-1 and SB-73 were placed very closely.

CONCLUSION
Both the molecular markers analysis showed a high degree of variation among the selected bael trees. The present study revealed that both the molecular markers can be successfully utilized for inferring genetic diversity and genetic relationship of bael trees. The similarity between SB-1 and SB-73 confirmed the importance of these markers for distinguishing the bael trees based on environmental and genetic factors. Findings of this study indicate that identification of trees from various locations mainly based on morphological characteristics may have encountered the mismatches and mistakes. This indicates the importance of characterisation of trees both at morphological and molecular level for efficient maintenance and exploitation of precious germplasm and to determine groups of high genetic similarity and dissimilarity, which is the key for,establishing breeding strategies in genetic improvement programme of bael.
Acknowledgments
Authors are thankful to the Director of Research, University of Agricultural and Horticultural Sciences, Shivamogga for providing financial assistance under the staff research project No. 5.20.
REFERENCES
Benharrat, H., Veronesi, C., Theodet, C. and Thalouam, P. 2002.Orobanche species and population discrimination using inter simple sequence repeat (ISSR). Weed Res., 42 :470– 474.
Diallo, B.O., Joly, H.I., Mckey, D., Mckey, M.H. and Chevalier, M.H. 2007. Genetic diversity of Tamarindus indica populations: Any clues on the origin from its current distribution. Afr. J. Biotechnol., 6: 853-860.
Fernandez, M.E., Figueiras, A.M. and Benito, C. 2002. The use of ISSR and RAPD markers for detecting DNA polymorphisms, tree identification and genetic diversity among barley cultivars with known origin. Theor. Appl. Gen., 104 :845–851.
Mitra, S.K., Maity, C.S., Mani, D. and Ghosh, B. 2010.Genetic resources of bael (Aegle marmelosCorrea) – a potential underutilized fruit. Acta Hort., 864:49-52.
Mujeeb, F., Bajpai, P., Pathak, N. and Verma, S.R. 2017. Genetic diversity analysis of medicinally important horticultural crop Aegle marmelos by ISSR markers. Methods Mol. Biol., 1620:195- 211.
Nayak, D., Singh, D.R., Sabarinathan, P., Singh, S. and Nayak, T. 2013. Random amplified polymorphic DNA (RAPD) markers reveal genetic diversity in bael (Aegle marmelos Correa) trees of Andaman Islands, India. Afr. J. Biotechnol., 12:6055-6060.
Pandey, D., Shukla, S.K. and Kumar, A. 2008.Variability in bael accessions from Bihar and Jharkhand. Indian J. Hort., 65 :226-229.
Pandey, D., Tandon D.K., Hudedamani, U. and Tripathi, M. 2013.Variability in bael (Aegle marmelos Corr.) trees from eastern Uttar Pradesh. Indian J. Hort., 70:170-178.
Rajwana, I.A., Tabbasam, N., Malik, A.U. and Malik,A.S. 2008. Assessment of genetic diversity among mango (Mangifera indica L.) trees using RAPD markers. Sci. Hort., 117 :297-301.
Singh, S., Singh, D.R., Faseela, F., Kumar, N., Damodaran, V. and Srivastava, R.C. 2012. Diversity of 21 taro (Colocasia esculenta L. Schott) trees of Andaman Islands. Genet. Resour. Crop Evo., 59: 821-829.
Singh, V.P. and Misra, K.K. 2010. Analysis of genetic variability and heritability in bael (Aegle marmelos Correa) germplasm. Prog. Agric., 10: 132-134.
Virk, P.S., Zhu, J., Newburg, H.J., Bryan, G.J., Jeckson, M.T. and Ford-Lloyd, B.V. 2001. Effectiveness of different classes of molecular markers for classifying and revealing variation in rice germplasm. Euphytica, 112: 275–284.