Original Research Papers
The use of brick-walled evaporative cooler for storage of tomato
The use of brick-walled evaporative cooler for storage of tomato
Journal of Horticultural Sciences, vol. 17, núm. 1, pp. 190-198, 2022
Society for Promotion of Horticulture

Recepción: 16 Noviembre 2021
Revisado: 03 Marzo 2022
Aprobación: 04 Marzo 2022
Abstract: A cost-effective alternative to cold storage is the brick-walled evaporative cooler (BEC). The effects of BEC on mature green and breaker ‘Diamante Max’ tomatoes were assessed. Two trials were carried out at ambient conditions with (i) 27.13±0.78 °C and 80.89±4.47%RH; (ii) 26.93±0.87 °C and 80.05±5.20% RH and with BEC (i) 25.49±0.58 °C and 99.90±0.10% RH; (ii) 25.42±0.90 °C and 97.75±3.25% RH. BEC-stored tomatoes showed 10.36% lesser weight loss, lesser decay incidence, redder color and better visual quality compared to control fruit. The higher L* and hue of around 90 in ambient-stored tomatoes indicated a lighter color as fruit turned to yellow compared to a lower L* and hue in BEC indicating a darker red color. An increased chroma was recorded as fruit turned from green or breaker to yellow, orange, or light red while the values of a* became negative. The BEC maintained the firmness and total soluble solids, especially in mature green tomatoes. After 49 days of storage, 61.8% of the fruit stored in the BEC were marketable compared to 23.3% in ambient conditions. The BEC system showed 27.16% higher annual benefit over cost than the ambient storage conditions. Thus, the BEC system can potentially maintain the quality of ‘Diamante Max’ tomatoes.
Keywords: Brick-walled evaporative cooler (BEC), color, quality, Solanum lycopersicum and storage.
INTRODUCTION
Tomato (Solanum lycopersicumL.) is an important and widely grown crop in the Philippines (Philippine Statistics Authority, 2019). Tomato fruit is a climacteric fruit, and its stages of maturity or ripeness are measurable through its color from green mature to red stage (Quinet et al., 2019). Ripening of tomato is also associated with the fruit maturity stage and physico-chemical properties such as firmness, fresh weight loss (Tilahun et al., 2017a), polyphenol content, and antioxidant scavenging activity (Anton et al., 2017). Maintaining the good postharvest quality of tomatoes during storage is a big problem in developing tropical countries. Tomato fruit metabolizes faster at high temperatures during the postharvest stage leading to shortened shelf life (Liberty et al., 2017).
The evaporative cooling system uses a process that can maintain a low temperature and higher relative humidity storage conditions as heat is removed from the ambient environment with evaporation (Vanndy et al., 2008). This storage system has been tested on tomato varieties in Combodia and Laos (Vanndy et al., 2008); and sweet pepper in the Philippines (Bayogan et al., 2017; Majomot et al., 2019). The above studies have demonstrated the promising effects of the evaporative cooling storage system on the maintenance of the postharvest qualities of some crops. The brick- walled evaporative cooler (BEC) is a simple type of evaporative cooling system. The BEC is made up of a double wall of clay bricks with a moistened jute sack-covered wooden frame over the structure (Vanndy et al., 2008). The double-walled BEC has a 10-20 cm space between the walls filled with sand or sawdust being kept moist during use. This brick-walled evaporative cooling technology is known to be cost- efficient and easy to construct. The study aimed to evaluate the quality of tomatoes using the brick-walled evaporative cooler as a storage system and to determine the cost and benefit of its use relative to ambient storage.
MATERIAL AND METHODS
Experimental materials
Newly harvested tomatoes (cv. Diamante Max) were procured from a commercial farm in Calinan, Davao City. Fruits of uniform and good quality at two maturity stages, mature green and breaker, were used in the experiment. Storage and quality evaluation were done at the Postharvest Biology Laboratory, University of the Philippines Mindanao (UP Mindanao) in Mintal, Tugbok District, Davao City from November 2018 to January 2019, and January 2020 to March 2020 for the first and second trials, respectively.
The brick-walled evaporative cooler (BEC) construction was done at the UP. The BEC has dimensions of 76 in L x 32 in W x 26 in H outer brick wall, 70 in L x 26 in W x 26 in H inner brick wall, and a 3 in space between the two walls which is filled with sand. The faucet connected to the pipes was slightly turned on for 30 min for twice a day to moisten the sand. The covering of BEC at the top was made of a jute sack framed with bamboo. The dimensions of the cover for BEC was 78 in L x 30 in W. The sand and jute sack covering were moistened regularly during the use of the BEC.
Two trials were conducted to assess the quality of tomato at two maturity stages, mature green and breaker, and stored in the BEC or ambient room conditions. A total of 800 medium tomatoes of uniform quality were selected. A total of 400 fruit were used for each storage condition at 200 tomatoes per maturity stage. In the second trial, 86.4 kg of medium- size tomatoes of uniform quality were used. Sample tomatoes at 945±33 g were packed in a net bag for the various data parameters. A total of 24 net bags were used for each maturity stage and stored in BEC or ambient conditions. In both trials, fruit samples were disinfected with 200 mg/L NaOCl solutions for 3 min and air-dried before holding in the BEC or ambient conditions.
Data collection
The relative humidity (RH), temperature in BEC and ambient storage conditions were recorded using digital data loggers. The digital data loggers used were TinyTag Ultra 2 TGU-4500 (Gemini Data Loggers Ltd., England) and Elitech USB Temperature Data Logger (RC-5, UK. Ltd.). Fruit weights were taken at 0, 7, 14, 21, 35, 42, and 49 days after treatment. Weight changes were measured using a digital high precision balance (BH2- 600, Fuji). Percentage weight loss was calculated using the formula:

The decay incidence was determined every 7 d for 49 d through a 5-point scale visual observation of the degree of decay of the sample: 1 = no visible infection; 2 = slight infection (1-10%); 3 = moderate infection(11-25%); 4 = moderately severe infection (26-50%); 5 = severe infection (>50%). The fruit was non- marketable when it reached a of decay rating of 3. The value was further expressed as the accumulated percentage of the total number of fruit decayed divided by the initial number of fruit stored (Arthur et al., 2015).

The visual quality rating (VQR) of tomato was measured using a 5-point scale (1 = excellent, fresh appearance, 2 = very good, slight defects, 3 = good, defects progressing, limit of saleability, 4 = fair, useable but not saleable, and 5 = poor). The fruit was non-marketable when it reached VQR of 3.
The changes in color of the tomatoes were evaluated based on the maturity stages of the fruit from 1 to 6 (1 = mature green, 2 = breaker, 3 = turning, 4 = pink, 5 = light red, 6 = red). In the second trial, Nix Pro Color Sensor (Nix Sensor Ltd., Ontario, Canada) was used to measure the L* a* b*, hue and chroma. The L* value corresponds to the brightness or luminosity; a* value shows the redness (+a*) or greenness (- a*); b* value indicates the yellow (+b*) or blue (- b*). The chroma corresponds to the saturation of the color while hue indicates the red (0 or 360), yellow (90), green (180) or blue (270) (Barreiro et al., 1997). The firmness of fruit was measured using a fruit penetrometer (Fruit Tester FT 327 Pressure Tester, Wagner Instruments, USA). A digital refractometer (Atago PAL-1 (3810) Digital Hand-held Pocket Refractometer, Atago Co., Ltd. Japan) was used to measure the total soluble solids (TSS).The costs and benefits of the use of the BEC and ambient conditions were identified and quantified (Rolfe, 2014).
Experimental Design and Statistical Analysis
A sample size of 50 pieces was used per replication in each maturity stage at each storage condition in the first trial. Each treatment was replicated four times. A sample of 3.8 kg of tomato per maturity stage and storage condition in the second experiment. Each experiment was laid out in a Completely Randomized Design. Data were analyzed using two-way ANOVA and treatment means were compared using LSD at P < 0.05.
RESULTS AND DISCUSSION
Temperature and relative humidity (RH)
Throughout the storage period in Trial 1, a temperature of 27.13±0.780C and relative humidity (RH) of 80.89±4.47% were recorded in ambient storage while 25.49±0.580C and 99.90±0.10% RH were recorded in the brick-walled evaporative cooler, BEC (Fig. 1). The temperature and RH differences between the two storage conditions were 1.64OC and 19.01%, respectively. In the second trial, 26.93±0.87 ! and 80.05±5.20% RH were recorded in ambient storage while 25.42±0.78OC and 97.75±3.25% RH were recorded in BEC (Fig. 2). BEC showed a slightly lower temperature by 1.510c and higher RH by 18.06% and 17.7% in the second trial. A lower temperature (0.41OC) difference from ambient conditions was reported during the storage of sweet pepper in a cabinet evaporative cooler, yet it allowed



maintenance of fruit quality longer due to the relatively higher RH (Majomot et al., 2019). In South Sulawesi, Indonesia, an underground zero-energy cool chamber made of bricks (without produce in it) registered a relatively lower temperature (26.2°C) and higher RH (87.2%) compared to the outside conditions of the chamber (Dirpan et al., 2017). However, the BEC used in the present study provided a slightly lower temperature (25.49±0.58°C and 25.42±0.78°C) and higher RH (99.90±0.10% and 97.75±3.25%) compared with the zero-energy cool chamber used in the previous study (Dirpan et al., 2017).
Percentage weight loss
Weight loss of tomato in BEC was consistently lower at 2.36 % (Figure 3A) and 5.63% at the end of the storage period for the first and second trials, respectively, compared to ambient conditions. Weight loss was 10% lower in tomatoes stored in BEC than those in ambient room conditions. At 42 days of storage, weight loss in tomatoes stored at the breaker stage was higher relative to tomatoes stored at the mature green stage (Fig. 3A).
Decay incidence
BEC storage conditions reduced the decay incidence among stored tomatoes by 29.5% (Figure 3B).

At 49 days after storage, the cumulative decay incidence in samples stored in BEC ranged from 19 to 28.5% only compared to 36.5 to 53.5% in ambient conditions. Tomatoes stored at the breaker stage showed a higher percentage of fruit decay than fruit stored at the mature green stage.
As the fruit ripens, metabolic activity and fruit degradation tend to escalate (Quinet et al., 2019) and makes the fruit more prone to decay as obsorved in fruit stored at the advanced maturity stage. Further, the higher temperature(i.e., 21 to 30oC) in ambient conditions is a favorable condition for microorganism growth and development (da Cruz Cabral et al., 2019). However, sweet pepper stored in the cabinet evaporative cooler system showed higher decay due to excessive surface moisture (Majomot et al., 2019). Fluctuations in temperature and relative humidity cause condensation or surface moisture (Islam et al., 2019). Given that the temperature and RH recorded in the BEC have been relatively stable, especially in the first experiment, surface moisture was relatively low resulting in a lower incidence of decay.
Visual quality and shelf life
Regardless of maturity stage, samples stored in BEC had better appearance due to lower decay and shriveling than fruit stored in ambient conditions (Figure 3C). A lower visual quality rating of fruit in ambient conditions indicated a higher degree of fruit deterioration. Fruit stored in the BEC showed a longer shelf life and was highly marketable for an extended duration both in the first (Figure 3D) and second trials (data not shown).
The lower temperature and higher RH in the evaporative cooler extended the shelf life of sweet pepper (Majomot et al., 2019). Likewise, in the present study, the conditions in the BEC with lower temperature and higher RH helped maintain better quality of tomato during storage compared to ambient conditions. The storage conditions slowed down the respiration and transpiration that preserved the quality of tomatoes (da Cruz Cabral et al., 2019).
Peel color
In the first trial, tomatoes stored in BEC developed color faster than those in ambient storage starting at day 14 with a peel color of 4.75 (pink with some starting to turn light red), while tomatoes stored in ambient conditions had the mean color of 4.47 (pink) (Table 1). Tomatoes in BEC were redder than fruit held in ambient conditions that were more yellow- orange.
| Treatment | Peel color indexz | ||||||
| Time of storage (day) | |||||||
| 7 | 14 | 21 | 28 | 35 | 42 | 49 | |
| Storage Ambient Brick-walled EC | 4.26a 3.59b | 4.47b 4.75a | 4.71b 4.98a | 4.66b 4.99a | 4.68b 5.02a | 4.75b 5.05a | 4.77b 5.03a |
| Maturity Stage Mature Green Breaker | 3.36b 4.49a | 4.50b 4.72a | 4.78b 4.91a | 4.76b 4.88a | 4.79b 4.92a | 4.89a 4.91a | 4.90 a 4.91 a |
Per storage period, means in a column with a common letter are not significantly different using LSD at 5% level of significance.
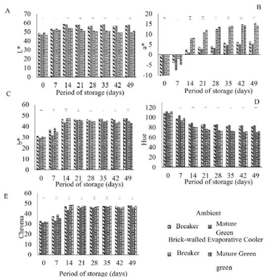
The color change was confirmed in the second trial as indicated by the L*, a* b*, hue and chroma values (Figure 4). The results showed that tomatoes were redder in the storage condition where the temperature was slightly lower (i.e., in the BEC), compared to yellow and lighter pink fruit color in ambient room conditions. The L* was consistently higher in ambient-stored fruit indicating a lighter color as fruit turned yellow compared to lower L* in fruit stored in BEC (Figures 4A). A redder color of tomato stored in BEC was indicated by higher positive a* values compared to fruit in ambient conditions (Figure 4B). The higher b* (Figure 4C) and the hue of around 90 (Figure 4D) indicated fruit were more yellow when stored in ambient than in BEC. The vividness of fruit color increased as shown by increasing chroma (Figure 4E).
Climacteric fruits like tomatoes continue to mature even after being removed from the main plant. As the fruit continues to mature, its color changes from green to red due to the degradation of chlorophyll and the synthesis of lycopene (Tilahun et al., 2017a; He et al., 2019). However, inhibition of lycopene synthesis was reported at temperatures below 12°C and above 30°C, which favored other carotenoids responsible for the yellow to the orange color of fruit (Tilahun et al., 2017b). The present agreed with the previous study wherein the use of the BEC for the storage of tomatoes resulted in a more uniform bright red color compared to fruit stored in ambient conditions (Babarinsa and Omodara, 2016).

Firmness and total soluble solids (TSS)
Regardless of maturity stage, tomatoes stored in BEC were firmer compared to fruit stored under ambient conditions (Figure 5A). On the other hand, mature green tomatoes stored in BEC had lower TSS than fruit stored in ambient conditions (Figure 5B). Regardless of the maturity stage, TSS in fruit stored in ambient conditions were higher than those tomatoes stored in BEC at 28 days. The low temperature in BEC could have delayed the ripening in mature green tomatoes

The temperature has been reported to affect the firmness of tomatoes in which storage at lower temperature delayed the reduction of firmness while a sharp decrease was observed after transfer in room conditions (Najat et al., 2018). Changes in fruit firmness or softening during postharvest occur due to moisture loss and ripening-related cell wall metabolism or cell wall-modifying enzymes (Lara et al., 2019). The present results validate the previous finding that tomatoes stored in an evaporative cooler were firmer than those stored in ambient conditions (Adekanye et al., 2019; Manyozo et al., 2018).
TSS in fruit is associated with starch degradation into sugar as the fruit ripens (Adjouman et al., 2018). Hence, there was higher TSS in tomatoes at the breaker stage than fruit stored at the mature green stage. The increase in carbohydrate hydrolysis into soluble sugars at higher temperatures and reduced RH of ambient conditions resulted in a higher accumulation of TSS in tomatoes.
Cost-Benefit analysis
The cost-benefit analysis of using the brick-walled evaporative cooling (BEC) storage system showed that an estimated 168.42 kg of the stored tomatoes is expected to be marketable at the end of the storage period compared to the ambient storage with only
108.72 kg of fruit. The benefit over cost value of the BEC, assuming eight months (dry months) a year of use, was 27.16% higher than the ambient storage system (Table 2). Moreover, monthly income from produce stored in BEC could potentially increase compared with ambient storage. The BEC system could last longer than a year, further lowering the maintenance costs. After one year of usage, the producers can earn more profit for the succeeding years since the only cost they need to pay is the water usage and disinfection of the BEC system. The evaporative cooler made of bricks, or the zero- energy brick cooler, was reported to be the cheapest evaporative cooler than other evaporative cooling technologies such as charcoal cooler and pot-in-pot cooler, hence, recommended for smallholder farmers (Manyozo et al., 2018).
Cost-Benefit analysis
The cost-benefit analysis of using the brick-walled evaporative cooling (BEC) storage system showed that an estimated 168.42 kg of the stored tomatoes is expected to be marketable at the end of the storage period compared to the ambient storage with only
108.72 kg of fruit. The benefit over cost value of the BEC, assuming eight months (dry months) a year of use, was 27.16% higher than the ambient storage system (Table 2). Moreover, monthly income from produce stored in BEC could potentially increase compared with ambient storage. The BEC system could last longer than a year, further lowering the maintenance costs. After one year of usage, the producers can earn more profit for the succeeding years since the only cost they need to pay is the water usage and disinfection of the BEC system. The evaporative cooler made of bricks, or the zero- energy brick cooler, was reported to be the cheapest evaporative cooler than other evaporative cooling technologies such as charcoal cooler and pot-in-pot cooler, hence, recommended for smallholder farmers (Manyozo et al., 2018).
CONCLUSION
The brick-walled evaporative cooler (BEC) recorded a lower temperature and higher relative humidity (RH) compared to ambient conditions. The mean temperature differences between the two storage conditions in the two experiments were 1.64o C and 1.51o C, while the differences in RH were 19.01% and 17.70% for the first and second trials, respectively. Percentage weight loss was consistently lower in BEC and showed 10.36% lesser weight loss compared in ambient conditions after 49 days. Decay incidence was lower in BEC and green tomatoes compared to fruit stored in ambient conditions and fruit stored in advanced stage. Fruit stored in BEC had better visual quality and longer shelf life. Fruit can be stored in the BEC for up to 49 days in which 61.8% of the initial fruit remained marketable compared to only 23.2% of fruit in the ambient storage system. Storage of fruit in BEC resulted in a redder fruit than those in ambient room conditions which was confirmed by L*, a* b*, hue and chroma values. Tomatoes stored in BEC were firmer and had low total soluble solids (TSS). The higher TSS of tomatoes in ambient conditions indicated faster ripening of fruit. The benefit over cost value of the brick-walled evaporative cooling storage system was 27.17% higher than the ambient storage system showing more profit. In general, the BEC storage system maintained the quality of tomatoes better than ambient storage.
| Quantity | Price/unit (USD) | Total (USD) for ambient storage | Total (USD) for brick- walled evaporative cooler (BEC) |
| Benefit | |||
| Monthly income 108.72 kga | 1.4047 | 152.72 | 236.59 |
| with marketable | |||
| produce 168.42 kgaa | |||
| Monthly benefit | 152.72 | 236.58 | |
| Annual benefitb | 1,221.76 | 1,892.64 | |
| Cost | |||
| Sanitizer 8 set-ups | 1.00/set-up | 8.00 | 8.00 |
| Container 8 pieces | 3.01/crate | 24.08 | 24.08 |
| Newspaper lining 1/2 kg | 0.50/kg | 4.00 | 4.00 |
| Construction of BEC 1,100 pcs of | 362.17 | - | 362.17 |
| bricks, labor and | |||
| transportation | |||
| Water 60L/day | 0.19/ | - | 1.52 |
| Consumption | month x 8** | ||
| Labor Costsc 2-man days | 6.42/MD | 92.47 | 102.72 |
| (MD)/200 kg x | |||
| 8 set ups | |||
| Total annual cost, USD b | 128.55 | 502.49 | |
| Annual benefit minus annual cost, USD | 1,093.21 | 1,390.15 | |
| Advantage of BEC over ambient, % | 27.16 |
Acknowledgments
The authors gratefully acknowledge the funding support from the Agricultural Centre for International Agricultural Research on “Improved Postharvest Management of a Fruit and Vegetables in Australia and Southern Philippines (ACIAR HORT/2012/098)”.
REFERENCES
Adekanye, T., Babaremu, K. and Okunola, A. 2019. Evaluation of an active evaporative cooling device for storage of fruits and vegetables. Agric. Eng. Int.: CIGR, 21(1):203–208.
Adjouman, Y.D., Nindjin, C., Kouassi, K.N., Tetchi, F.A., Amani, N.G. and Sindic, M. 2018. Effect of edible coating based on improved cassava starch on post-harvest quality of fresh tomatoes (Solanum lycopersicum L.). Int. J. Food Sci. Nutr., .(1): 1-10.
Anton, D., Bender, I. Kaart, T., Roasto,M., Heinonen, M., Luik, A.and Püssa, T. 2017. Changes in polyphenols contents and antioxidant capacities of organically and conventionally cultivated tomato (Solanum lycopersicum L.) fruits during ripening. Int. J. Anal. Chem., 2017: 1-10.
Arthur, E., Oduro, I. and Kumah, P. 2015. Postharvest quality response of tomato (Lycopersicon esculentum Mill.) fruits to different concentrations of calcium chloride at different dip-times. Am. J. Food Sci. Nutr., .(1): 1-8.1.
Babarinsa, F.A and Omodara, M.A. 2016. Preservation of tomatoes in a brick-walled evaporative cooler. J. Postharvest Technol., .(1):1-5.
Barreiro, J., Milano, M. and Sandoval, A. 1997. Kinetics of colour change of double concentrated tomato paste during thermal treatment. J. Food Eng., 33(3-4): 359-371.
Bayogan, E.V., Salvilla, R., Majomot, A.C. and Acosta, J. 2017. Shelf life of two sweet pepper (Capsicum annuum) cultivars stored at ambient and evaporative cooling conditions. South-West. J. Hortic. Biol. Environ., .(1):1-15.
da Cruz Cabral, L., Rodríguez, A., Delgadoa, J. and Patriarcab, A. 2019. Understanding the effect of postharvest tomato temperatures on two toxigenic Alternaria spp. strains: growth, mycotoxins and cell-wall integrity-related gene expression. J. Sci. Food Agric., 99: 6689–6695.
Dirpan, A., Sapsal, M.T., Muhammad, A.K. and Rahimuddin, M.M.T. 2017. Evaluation of temperature and relative humidity on two types of zero energy cool chamber (ZECC) in South Sulawesi, Indonesia. In: IOP Conf. Ser.: Earth Environ. Sci., 101: 1-7.
He, F., Thiele, B., Watt, M., Kraska,T., Ulbrich, A. and Kuhn, A.J. 2019. Effects of root cooling on plant growth and fruit quality of cocktail tomato during two consecutive seasons. J. Food Qual., 2019: 1-15.
Islam, M.N., Wang, A., Pedersen, J.S., Sorensen, J.N., Korner, O. and Edelenbos, M. 2019. Online measurement of temperature and relative humidity as marker tools for quality changes in onion bulbs during storage. PLoS One, 14(1):1-19.
Lara, I., Heredia, A. and Domínguez, E. 2019. Shelf life potential and the fruit cuticle: the unexpected player. Front. Plant Sci., 10(770): 1-18.
Liberty, J.T., Okonkwo, W.I. and Echiegu, E. 2013. Evaporative cooling: a postharvest technology for fruits and vegetables preservation. Int. J. Eng. Sci. Technol., .: 2257-2266.
Majomot, A.C, Secretaria, L.B. and Bayogan, E.V. 2019. Effect of hot water treatment and evaporative cooling on some postharvest characteristics of sweet pepper (Capsicum annuumcv. ‘Sweet Cayenne’). Mindanao J. Sci. Technol., 17: 71-83.
Manyozo, F.N., Ambuko, J., Hutchinson, M.J. and Kamanula, J.F. 2018. Effectiveness of evaporative cooling technologies to preserve the postharvest quality of tomato. Int. J. Agron. Agric. Res., 13(2):114-127.
Najat, M.E., Maizom, H., Zamri, Z. and Alhdad, G.M. 2018. Comparative study of quality changes in lowland transgenic RNAiACO1(T2) tomato fruit during storage at ambient and low temperature. Int. J. Chemtech Res., 11(10):75-89.
Philippine Statistics Authority. 2019. Major Vegetables and Root Crops Quarterly Bulletin, 13 (4), 1-44.
Quinet, M., Angosto, T., Yuste-Lisbona, F.J., Blanchard-Gros, R., Bigot, S., Martinez, J.P. and Lutts, S. 2019. Tomato fruit development and metabolism. Front. Plant Sci., 10: 1-23.
Rolfe. J. 2014. Cost benefit analysis – some practical examples. Retrieved from http:// www. lb7. uscourts. gov/ documents/ 13- 16744.pdf.
Tilahun, S., Park, D.S., Taye, A.M. and Jeong, C.S. 2017a. Effect of ripening conditions on the physicochemical and antioxidant properties of tomato (Lycopersicon esculentum Mill.). Food Sci. Biotechnol., 26: 473–479.
Tilahun, S., Park, D.S., Seo, M. H. and Jeong, C.S. 2017b. Review on factors affecting thequality and antioxidant properties of tomatoes. Afr. J. Biotechnol., 16(32): 1678-1687.
Tolesa, G.N. and Workneh, T.S. 2017. Influence of storage environment, maturity stage and pre-storage disinfection treatments on tomato fruit quality during winter in KwaZulu-Natal. South Afr. J. Food Sci. Technol., 54(10): 3230-3242.
Vanndy, M., Buntong, B., Chanthatsombath, T., Sanatem, K., Acedo Jr., A. and Weinberger,K. 2008. Evaporative cooling storage of tomato in Cambodia and Laos. Acta Hortic., 804: 565-570.