Original Research Papers

Abstract: French bean (Phaseolus vulgaris L.) production is adversely affected by many pathogens and insect-pests worldwide. In the present investigation, effect of different bio-fortified composts, organic amendments, botanicals and pesticides were evaluated against diseases and insect- pests of french bean. The results showed that seed treatment and drenching with Trichoderma harzianum strain 11, followed by soil application of fortified farmyard manure resulted in the lowest root rot incidence, highest germination, vigour and yield in french bean. In another set of experiment, soil incorporation of Parthenium hysterophorus, Urtica dioica and Lantana camara were found to reduce root rot incidence with high germination and pod yield. Among the bioproducts and botanicals tested, foliar spray of cow dung extract (50%) reduced angular leaf spot, rust and bacterial blight severity by 51, 69 and 25 per cent, respectively. Among the fungicides, foliar application of azoxystrobin 23 SC (0.1%) and difenoconazole 25EC (0.025%), also reduced angular leaf spot and rust severity by 93 and 90 per cent, respectively. Among different insect pest management strategies under field conditions, cartap hydrochloride and batain seed extract registered low sucking bug (Chauliops choprai) population. Integrated approaches including bio-agents, botanicals along with chemicals for managing these diseases and insect-pests were found appropriate options. Out of six different IPM modules evaluated, seed treatment with carbendazim along with foliar spray of 0.1% azoxystrobin and cartap hydrochloride resulted in lowest root rot, rust, angular leaf spot, bacterial blight and Chaulopsis choprai bug population in French bean.
Keywords: Bioagents, botanicals, eco-friendly management, french bean, fungicides , insecticides.
INTRODUCTION
French bean (Phaseolus vulgaris L.) is globally grown in nearly 1.58 million ha with a production of 23.28 million ton (FAO, 2020) of which major production is from developing countries. The increasing incidence of soil-borne and foliar diseases, viz., root rot, rust, bacterial blight and angular leaf spot and insect like sucking bug has become a major constraint for the profitable cultivation of bean since last few years (Joshi et al., 2009; Mageshwaran et al., 2012; Jakhar and Chaudhary, 2013). The losses due to bean root rot disease some time exceed 70 per cent (Navarrete-Maya et al., 2009). Losses due angular leaf spot caused by Phaseoisariopsis griseola and rust caused by Uromyces appendiculatus varies up to 80 per cent and 18-100 per cent, respectively. The management practices for diseases and insect- pests rely primarily on application of chemical pesticides. The excessive and indiscriminate uses of pesticides adversely affect soil flora-fauna and have raised serious concern about health and environmental hazards.
There is growing awareness about the use of plant extracts, bio-agents, bio-pesticides and chemicals together that can provide more environmentally sound and economically feasible alternatives for disease and insect-pests management. Washings of vermicompost (biowash) prepared from foliage of Jatropha (Jatropha curcas), Annona (Annona squamosa) and parthenium (Parthenium hysterophorus) werereported to be effective against Fusarium oxysporum f. sp. ciceri (wilt of chickpea), Sclerotium rolfsii (collar rot of chickpea) and Macrophomina phaseolina (Subramaniam et al., 2010). Similarly, leaf extracts (20%) of neem and chinaberry were reported to inhibit Alternaria solani and F. oxysporum f. sp. lycopersici, the pathogens of early blight and wilt diseases of tomato (Hassanein et al., 2008). Seed treatment with T. harzianum isolates CEN287, CEN289 and CEN316 reduces the incidence of Aspergillus, Cladosporium and Sclerotium sclerotiorum in common beans and promoted plant growth and rhizosphere competence (Carvalho et al., 2011). Botanicals and bioagents are inexpensive, easily available and biodegradable with less non-target effects besides being effective against plant pathogens (Siddiqui and Gulzar, 2003). Use of bioagents as seed treatment and soil drenching reduces dissemination of pathogens and contribute for good crop establishment (Pomella and Ribeiro, 2009). Application of organic amendments is one of the disease management strategies especially against soil borne plant pathogens. Soil application of paper mill residual amendments suppressed cucumber damping-off and foliar brown spot of snap bean (Stone et al., 2003).
Organic matter (OM)-mediated suppression of soil borne diseases in field soils caused by pathogenic species of Pythium and Phytophthora has been reported for a variety of plant species and organic substrates (Lewis et al., 1996; Lourd et al., 1987). Soil amendment with bio-agent fortified compost can modify the microbial community composition by enhancing the competition for nutrients or antagonism or mycoparasitism among microbes (Aryantha and Guest, 2006). In addition, beneficial microbes activate the plant to defend themself, a phenomenon termed ‘induced systemic resistance’ (Conrath et al., 2002; Van-Loon, 2007). Chemical control is an important option in the management of bean diseases and pests because of the widespread occurrence of foliar diseases and the susceptibility of the available cultivars (Emeran et al., 2011). Most of the studies focused on laboratory and greenhouse-based evaluations of inhibition ability, production of antibiotics and suppression of mycelial growth. In addition to right choice of fungicides, more studies are required to identify the time and schedule of sprays. Very few and inadequate studies are available on field assessment of bio-control agents, botanicals in combination with pesticides for their ability to reduce the incidence of diseases and insect-pests of french bean as an IPM module under Northwestern Himalayan region (Joshi et al., 2009). Hence, integrated approaches including bio-agents, botanicals along with chemicals for managing bean diseases and insect-pests could be the appropriate options and has been explored in this study.
MATERIAL AND METHODS
All laboratory and field experiments were conducted in completely randomized design (CRD) and randomized block design (RBD), respectively with three replications for each treatment on a susceptible variety, VL Bauni Bean-2.
In vitro studies
Preparation and evaluation of plant extracts
Leaf samples of plants viz., Eucalyptus globulus, Parthenium hysterophorus, Urtica dioica, Quercus leucotrichophora, Lantana camara, Oxalis latifolia and Artemisia hirsuta were collected, air dried at 50°C, powdered and stored at room temperature in desiccator before analysis. Dried samples (5 g) were grinded in a super mill grinder 1500 series (Newport Scientific Pvt. Ltd.) and grinded samples (1.5 g) were extracted by semiautomatic Soxhlet apparatus (Pelican, Socsplus, 2AS, Chennai) in methanol at 100 °C for 1 h and 90 percent methanol was recovered during recovery phase at 130°C for 30 min, The methanolic extracts were dried at 80 °C, again dissolved in methanol to a concentration of 250 and 500 ppm and stored at 4 °C for further use.
Field studies
Trichoderma isolates (50) isolated from soil samples collected from different locations of Uttarakhand hills of North-western Himalayas were evaluated in vitro for their antagonistic activity against french bean pathogens. Based on antagonistic activity, three T. harzianum isolates (Th-11, Th-28 and Th-34) were selected and mass multiplied for further testing under field conditions. On the other hand, soil borne pathogens viz. Rhizoctonia solani and Fusarium oxysporum were also identified (Booth, 1985; Domsch et al., 1980) and mass produced for field inoculation.
Effect of bioagent fortified compost on root rot incidence
Bioagent fortified composts were evaluated against root rot of french bean at experimental Sick plot ,Hawalbagh during the year 2008 and 2009. Trichoderma harzianum isolates (Th-11, Th-28 and Th-34) having 2 x 108 cfu (20 g/kg), were mixed with farm yard manure (FYM) (10t/ha) and poultry manure (PM) (5 t/ha), 15-20 days prior to the soil incorporation. Soil was pre-inoculated with the test pathogens. Bean seeds, treated with different isolates of T. harzianum (2 mL of suspension at 2.5x108 conidia mL-1 per 100 g of seeds) were sown at 15 cm plant to plant space in 3x3 m2 at ICAR-VPKAS experimental station, Hawalbagh, Almora. The mean average temperature during cropping period was 32°C. Plant emergence was recorded 15-20 days after sowing (DAS). At 20 DAS, four adjacent plants were removed per plot and vigour index was calculated.
Effect of organic amendments on root rot incidence
Field experiments to study the effect of organic amendments on root rot incidence were carried out during kharif 2009 and 2010. Sixteen organic amendments viz., neem oil cake @ 5t/ha, mustard cake @ 5t/ha, saw dust @ 2.5 t/ha, poultry litter @ 5t/ha, wheat straw @ 2.5t/ha, E. globulus @ 20t/ha, vermicompost @ 5 t/ha, FYM @ 10 t/ha (dry wt basis), P. hysterophorus @ 20t/ha, mushroom spent compost @ 5t/ha, U. parviflora (or dioica @ 10t/ha, Q. leucotrichophora @ 20t/ha, L. camara @ 20t/ha, O. latifolia @ 20t/ha, A. hirsuta @ 20t/ha and composted paper @ 10t/ha were incorporated one month before sowing and untreated field plot was kept as control. Soil was inoculated to entire experimental field with test pathogens (R. solani and F. oxysporum @ 2 x 108 cfu ) one week before incorporation of organic products. Seedling emergence and root rot incidence was recorded at post-emergence stage as well as 30 DAS and average accumulated disease incidence was calculated.
Evaluation of bio-products and fungicides againstfoliar diseases
In field conditions, six fungicides viz., azoxystrobin@ 0.1%, difenoconazole @ 0.025%, propiconazole@0.05%, tebuconazole @ 0.05%, chlorothalonil @0.2% and mancozeb @ 0.25% were evaluated againstrust and angular leaf spot diseases during 2009 and2010. In another set of field experiments, effect ofthr ee fungicides viz. , a zoxystr ob in @ 0 . 1%,difenoconazole @ 0.025% and propiconazole @0.05%, with 1, 2 and 3 fungicide spray against rust,angular leaf spot and bacterial blight diseases of french bean were evaluated during the year 2011 and2012. In a third set of field experiment, efficacy of 12 differ ent biopr odu cts viz. , ba ta in (Mel iaazederach) seed kernal extract @ 30%, A. hirsuta,P. hysterophorus, azadirachtin, panchgavya, neemca ke extract, cow ur ine, cow dung extr act, Z.officinale rhizome, A. sativum bulb, T. domesticabulb and horticultural mineral oil were evaluatedagainst rust, angular leaf spot and bacterial blightdiseases during the year 2009 and 2010 along withmancozeb @ 0.25% spray as positive control anduntreated as negative control.
Evaluation of different insecticides against Chauliops choprai
Field trials were conducted at experimental farm, Hawalbagh with nine insecticides viz, thiamethoxam 25%WG, imidacloprid 17.8 SL, dinotefuran 20SG , cartap hydrochloride 75SG, deltamethrin 2.8 EC, spinosad 45SC, indoxacarb 14.5SC, endosulfan 35EC and profenophos 50EC during 2008-09 to test the efficacy of insecticides against the sucking bug, C. choprai. Observations were made on the number of adult insects per randomly selected three leaves in ten plants in each plot before the treatment and 3, 7, 14 and 21 days after spray. The per cent pest control by the treatment with respect to untreated check was calculated using Henderson and Tilton (1955) formula by taking average of the insects present after treatment. The insect count was subjected to statistical analysis adapting RBD with 3 replications using SPSS version 3/93 after converting it to square root values. The mean values of treatments were then subjected to Tukey highly significant difference (HSD) test.
whereas,
AT – No. of bugs present in the treated plants after treatment; BT – No. of bugs present in the treated plants before treatment, AC – No. of bugs present in the control plants after treatment and BC – No. of bugs present in the control plants before treatment
Another set of field trials were carried out using botanical (batain-Melia azederach), Bt and insecticide (cartap hydrochloride) to find their efficacy on sucking bug C. choprai in french bean for four years. Observations were made as given above on the number of adult insect in the leaves and per cent reduction with respect to control calculated.
Statistical analysis
The experiments were analyzed separately using analysis of variances. Chi-square test was performed on the variances to test the homogeneity among the repeated experiments. The disease incidence was assessed based on the total number of plants infected over total number of plants observed in square meter area and then expressed in percentage. The data were subjected to analysis of variances and Fisher’s protected least significant difference or critical difference was used to separate the treatment means. The data were statistically analyzed by using SAS 9.3 version software. The original data was transformed to arcsine in order to bring the data under normal distribution before analysis.
RESULTS AND DISCUSSION
Evaluation of plant extracts against Rhizoctonia solani and Fusarium oxysporum
Plant extracts Parthenium hysterophorus, U. dioica and L. camara showed significantly higher antifungal activity against R. solani and F. oxysporum at 500 ppm concentration (Table 1). A reduction of 76.30 per cent R. solani mycelial growth in comparison to control was observed for P. hysterophorus followed by U. parviflora and L. camara (73.33%). However, L. camara inhibited maximum radial growth of F. oxysporum (65.19%) followed by P. hysterophorus (58.89 %) and U. parviflora (58.15 %). This corroborates the findings of Hadi and Kashefi (2013) and Baraka et al. (2011). Hadi and Kashefi (2013) reported that Cinnamomum zeylanicum, Mentha piperita, Allium hirtifolium and Allium sativum recorded largest inhibition on the growth rate of F. oxysporum. Similarly, Baraka et al. (2011) reported in vitro efficacy of marjoram, garlic and jojoba against F. oxysporum, F. moniliforme, F. solani, Thilaviopsis paradoxa, Botryodiplodia theobromae and Rhizoctonia solani and reported the antifungal activity of different plant extracts against F. oxysporum and R. solani.
Effect of bioagent fortified composts on root rot incidence
The results of two years of field trials to evaluate the effect of composts fortified with biocontrol agents on root rot incidence of french bean are presented in Table 2. Significantly higher seedling emergence (87.02%) and lower root rot incidence (16.07%) was found in case of treatment T2 i.e., seed treatment and drenching with T. harzianum strain 11 @ 1% along with soil application of fortified farmyard manure @ 10 t/ha, followed by T7-treated check i.e. seed treatment with thiram @ 3g/kg seed along with application of farm yard manure @ 10 t/ha. The results showed 29 to 49 per cent increase in seedling emergence and 13 to 47 per cent root rot incidence reduction in various treatments in comparison to control (Table 2). Maximum vigor index (3312) and yield (12.59t/ha) was found from treated check i.e., seed treatment with thiram @ 3g/kg seed along with application of farmyard manure @ 10 t ha-1. The present results agree with Manjunatha et al. (2013), who reported that combining soil application through bioagent (Trichoderma viride and Pseudomonas fluorescens) enriched farm-yard manure, along with seed treated with the bio-control agents resulted in maximum germination, least root rot incidence and highest yields of chickpea plants against root rot pathogen, Macrophomina phaseolina.
Effect of organic amendments on root rot incidence
The results of experiments on organic amendments showed that various organic amendments resulted in increase in seedling emergence (26% - 47%), reduction in root rot incidence (32% - 64%) and increase in yield (13 to 111%) as compared to control (Table 3). The soil incorporation of P. hysterophorus and L. camara @ 20 t ha-1 was found to have maximum seedling emergence (83.28 and 81.57% %) and lower root rot incidence (11.58 and 11.86%) respectively. However, maximum yield (7.0 t ha-1) was recorded with amendment of L. camara @ 20 t ha-1 followed by U. parviflora @ 10 t ha-1 (6.98 t ha-1) and P. hysterophorus (6.85 t ha-1). In this study, soil incorporation of P. hysterophorus, L. camara and U. parviflora resulted in maximum seedling emergence and reduction in root rot incidence which is in accordance with the findings of Angiras (2008) and Subramaniam et al. (2010). Soil amendment is a practice, which favours plant development, improves soil quality as well as having suppressive effect on many soil-borne plant pathogens (Nawar, 2008; Elwakil et al., 2009). Organic amendments in addition to disease suppression, improves the aggregation,



reduce compaction and surface crusting, increase Carbon sequestration and nutrient availability, and enhance infiltration and water holding capacity of soil (Min et al., 2003).
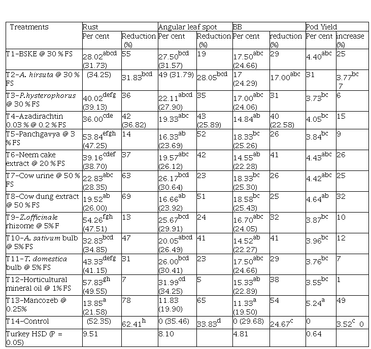
Effect of bioproducts against foliar diseases
Twelve bioproducts along with one fungicidal control and untreated control were evaluated against foliar diseases viz., rust, angular leaf spot and bacterial blight of french bean for two years and the data obtained were summarized in Table 4. The results indicated a reduction of 7-78 per cent rust disease, 5-65 per cent angular leaf spot and 25-54 per cent bacterial blight severity and an increase of 1-49 per cent in yield as compared to control. Foliar spray of bioproducts, batain seed kernel extract (30%), cow urine (50%) and cow dung extract (50%), were found at par with fungicidal (mancozeb) spray in reducing rust severity. Similarly, significantly lower angular leaf spot was recorded for foliar spray of P. hysterophorus (22.11%), azadirachtin (19.33%), Panchgavya (16.33%), neem cake extract (19.57%), cow urine (26.17%) and mancozeb (11.83%). All the bioproducts reduced bacterial blight severity significantly in comparison to control. The present results agree with Vijayalakshmi and Saranya (2010), who reported antimicrobial activities of cow urine against Staphylococcus aureus, Escherichia coli, Aspergillus and Rhizopus. Basak et al. (2001 and 2002) reported the inhibitory activity of cow urine and cow dung against F. oxysporum f. sp. cucumerinum, F. solani f. sp. cucurbitae and Sclerotinia sclerotiorum.
Evaluation of different fungicides against foliar diseases of french bean
The fungicides under study were highly efficacious, completely preventing rust and angular leaf spot infection, when applied thrice at 10 days interval. All the treatments were found significantly effective in reducing rust (25-93%) and angular leaf spot severity (36-93%) and resulted in increasing yield by 64-194

per cent in comparison to control (Fig. 1a), emphasizing the effect of foliar spray of fungicides towards yield enhancement. Amongst all tested fungicides, application of azoxystrobin was found to have lowest rust (2.81%) and angular leaf spot (2.71%) severity with highest yield (11.94 t ha-1) followed by difenoconazole. Similarly, from the repeated fungicidal spray experiment, lowest rust (3.33%), angular leaf spot (4.17%) and highest yield (10.12 t ha-1) was recorded when three sprays of azoxystrobin was given (Fig. 1b), which was at par with two sprays of azoxystrobin.Fungicide application appears to be a suitable shortterm strategy for bean rust control in the absence of resistant cultivars. The differences in efficacy among the tested fungicides were probably related to their fungicidal activity. The present results are in line with the findings of various workers who reported reduced severity of bean diseases by applying different fungicides (Emeran et al., 2011) Azoxystrobin is one of the leading systemic fungicide of strobilurin class developed from naturally occurring wood-decaying mushroom mainly inhibiting mitochondrial respiration by binding to the Q0 site of cytochrome b, blocking

T1-Azoxystrobin @0.1%, T2-Difenoconazole @ 0.025%, T3- Propiconazole @0.05%
T4- Chlorothalonil @0.2%, T5- Mancozeb @ 0.25%, T6- Control

T1, T4, T7-Azoxystrobin one, two and three sprays, T2,, T5, T8-Difenoconazole one, two and three spraysT3, T6, T9-Propiconazole one, two and three sprays, T10- Control
electron transfer and disrupting the production of ATP (Sundravadana et al., 2009) and hence effectively controls many plant diseases (La Mondia, 2012). Difenoconazole are sterol synthesis inhibitors known to have acropetal systemic movement in plants and many have good activity against rust disease (Kuck et al., 1995). Similar findings on the impact of fungicides on plant diseases were reported by various workers (Miles et al., 2007).
Bio-efficacy of insecticides on Chauliops choprai under field conditions
The results of the field trial on the insecticidal efficacy on C. choprai are given in the Table 5. The mean number of bugs in the first trial before treatment ranged from 4.67 – 5.67 three leaves-1 plant-1. At three DAS, less number of bugs (0.33 plant-1) was recorded in deltamethrin treated plots. Indoxacarb, cartap, endosulfan and spinosad treated plots were not significantly different with each other in terms of insect population at three days after treatment (DAT). At 14 DAS, 0.83 bugs plant-1 was recorded in deltamethrin sprayed plants which is not significantly different with the cartap treatment (0.84 bugs plant-1) and endosulfan treatment (1.50 bugs plant-1 ). Cartap hydrochloride treatment harbored the least number of bugs (1.0 plant-1) at 21 DAS which is not significantly superior to deltamethrin (1.17 bugs plant-1). The overall per cent reduction registered by deltamethrin and cartap hydrochloride were 82.70 and 79.16, respectively. Phosphamidon, parathion-methyl, endosulfan, quinalphos and fenitrothion are reported as effective insecticides for the management of C. fallax in India (Kashyap et al., 1980).
Integrated management of Chauliops choprai under field conditions
The results of the field trials on Integrated Pest Management (IPM) on C. choprai using botanical, Bt and insecticide is given in Table 6. The pretreatment count ranged from 9.42 to 10.42 bugs three leaves-1 plant-1. At 3 DAT, treatments like, cartap, batain extract and batain + Bt registered low pest population of 0. 84, 2. 92 and 2.92, respectively which were not significantly different 1.82 per plant on 14 DAT. The overall reductionwith respect to control showed cartap hydrochlorideas superior with 89.59% followed by batain 78.82per cent.
In the present study, more emphasis was given on use of bioagents, biopesticides, botanicals/plant extracts and judicious use of pesticides in compatible or complimentary manner. Gajanana et al. (2006) reported that root dipping of seedlings in imidacloprid, soil application of neem/ pongamia cake, spraying of botanicals like pongamia soap and bio-pesticide like Ha NPV has been found effective against both insect and diseases. Similarly, El-Mougy et al. (2013) reported that combine treatments of calcium chloride, thyme oil with bioagents reduced significantly root rot incidence of cucumber, cantaloupe, tomato and pepper plants.


Evaluation of different IPM modules against French bean diseases and insect pests
Based on the findings of different sets of experiments, six efficacious treatments against bean disease and insects were selected. Six different IPM modules involving different organic/inorganic substrate/ chemicals/bioagents in different combinations along with pure chemicals and untreated check were tested against french bean diseases and insect pests. Results presented in Table 8 revealed a lowest root rot incidence (8.63%), rust severity (3.50%), angular leaf spot (2.50%), bacterial blight (2.17%) and Chauliops choprai bug population (1.50 plant-1) in T7 i.e. seed treatment with carbendazim along with foliar spray of azoxystrobin @ 0.1 and cartap hydrochloride, followed by T4 (seed treatment with T. harzianum strain 11 and 28 along with soil application of P. hysterophorus and foliar spray of azoxystrobin @ 0.1 and cartap hydrochloride). However, other IPM modules comprising of organic substances viz., T1, T3 and T5 were also found equally effective in reducing diseases and insect-pests of french bean. An increase of 96.6 per cent yield over control was obtained with treatment T4 (9.66 t/ha) which was at par with treatments T2 (95.5 %) (9.55 t/ha) and T7 (94.8 %) (9.48 t/ha).

The integrated disease and pest management involves a total system approach for the suppression of pathogens and insect populations to a level where higher yields can be obtained and enables the farmers to achieve maximum economic return. In the present study, more emphasis has given on use of bioagents, biopesticides, botanicals/plant extracts, and judicious use of pesticides in compatible or complimentary manner. Similarly, Pande et al. (2009) emphasized about the use of Integrated Disease management (IDM) modules for important foliar and viral diseases of legumes including bean. Stevens et al. (2003) reported that long-term effectiveness of IPM plus soil solarization reduced soil borne diseases of vegetables for more than two years after solarization. The IPM technology has been found economically viable as the yield on IPM farms has been found higher by about 46 per cent, cost of cultivation has been less by about 21 per cent and the net returns have been higher by 119 per cent (Gajanana et al., 2006). Hence there is lot of scope for co-operative awareness among the farmers in enhancing the use of IPM practices especially in vegetable cultivation.
CONCLUSION
The present study concludes that bioagent fortified composts, organic amendments, botanicals, fungicides and insecticides alone or in combination have potential to enhance the germination, controlling soil and foliar diseases and insect populations of french bean. Acute toxicity assays (LC-50) revealed deltamethirn as the highly toxic insecticide for sucking bug, Chauliops choprai followed by diafenthiuron and indoxacarb. But in field conditions, deltamethrin was not statistically superior to cartap hydrochloride in efficacy against sucking bug with the percent pest reduction of 82.7 and 79.2 per cent. In IPM trial, Melia azedarach (batain) extract 5 per cent and cartap hydrochloride were found to be effective against the sucking bug registering a per cent pest reduction of 78.8 ad 89.6 per cent, respectively and thus can be recommended.
REFERENCES
Angiras, N. N., 2008. International Parthenium Research News, 1(5). www.iprng.org.
Aryantha, P. G. and Guest, I. D., 2006. Mycoparasitic and antagonistic inhibition on Phytophtora cinnamomi Rands by microbial agents isolated from manure composts. Plant Pathol. J., 5: 291–298.
Baraka, M. A., Fatma, M. R, Shaban, W. I. and Arafat, K. H. 2011. Efficiency of some plant extracts, natural oils, biofungicides and fungicides against root rot disease of date palm. J. Biol. Chem. Environ. Sci. 6(2): 405–429.
Basak, A. B. and Lee, M. W., 2001. Comparative efficacy and in vitro activity of cow urine and cow dung for controlling Fusarium wilt of cucumber. Abstract published in the 2001 Korean Soc. Plant Path. Ann. Meet. Int. Con., held on the 25-30th October, Kyongju, Korea. p.49.
Basak, A. B., Lee, W. M. and Lee, T. S. 2002a. Inhibitive activity of cow urine and cow dung against Sclerotinia sclerotiorum of Cucumber. Mycobiol, 30(3): 175–179.
Booth, C., 1985. The genus Fusarium. Kew, Surrey Commonwealth Mycological Institute, 2nd Ed., p.237.
Carvalho, D. D. C., Mello, S. C. M., Lobo, M. and Geraldine, A. M., 2011. Biocontrol of seed pathogens and growth promotion of common bean seedlings by Trichoderma harzianum. Pesq. Agropec. Bras., 46(8): 822-828.
Conrath, U., Pieterse, C. M. J. and Mauch Mani, B. 2002. Priming in plant-pathogen interactions. Trends Pl. Sci., 7:210–216.
Domsch, K. H., Gams, W. and Anderson, T. 1980. Compendium of soil fungi. Academic Press, London.
El-Mougy, N. S., Abdel Kader, M. M. and Lashin, S. M. 2013. Bio-compost application for controlling soilborne plant pathogens – a review. J. Appl. Sci. Res. 9(6): 3543-3551.
Elwakil, M. A., El-Refai, I. M., Awadallah, O. A. and Mohammed, M. S. 2009. Seed-borne pathogens of faba bean in Egypt: Detection and pathogenicity. Plant Pathol. J. 8:90–97.
Emeran, A .A, Stenglein, J. C., Fernández A. M. and Rubiales, D. 2011. Chemical control of faba bean rust (Uromyces viciae-fabae). Crop Prot., 30: 907–912.
FAO, 2014. FAO STAT: Crops. retrieved from http:// f a o s t a t . f a o . o r g / s i t e / 5 6 7 / DesktopDefault.aspx?PageID=567#ancor
Gajanana, T. M., Krishna Moorthy, P. N., Anupama, H. L., Raghunatha, R. and Prasanna Kumar, G. T. 2006. Integrated Pest and Disease Management in Tomato: An Economic Analysis. Agric. Econ. Res. Rev. 19: 269–280.
Gepts, P., Aragao, F. J. L. and Barros, E., 2008. Genomics of Phaseolus beans, a major source of dietary protein and micronutrients in the tropics. In: Genomics of tropical plants (Moore, P.H., Ming R., (eds.), p.113-143.
Hadi, M. and Kashefi, B. 2013. Study on effect of some medicinal plant extracts on growth and spore germination of Fusarium oxysporum schlecht in vitro. American Eurasian J. Agric. Environ. Sci. 13(4): 581–588.
Hassanein, N. M., Abou-Zeid, M. A., Youssef, K. A. and Mahmoud, D. A. 2008. Control of tomato early blight and wilt using aqueous extract of neem leaves. Phytopathol. Mediterr., 49: 143–151.
Henderson, C. F. and Tilton, E. W. 1955. Tests with acaricides against the brown wheat mite. J. Econ. Entomol. 48: 157–161.
Jakhar, B. L. and Chaudhary, F. K. 2013. Influence of biotic factors on incidence of sucking pest of french bean, Insect Environ. 19(1): 35–36.
Joshi, D., Hooda, K. S., Bhatt, J. C., Mina, B. L. and Gupta. H. S. 2009. Suppressive effects of composts on soil-borne and foliar diseases of French bean in the field in the western Indian Himalayas. Crop Protec. 28: 608–615.
Kashyap, N. P., Hameed, S. F., Vaidya, D. N. and Dogra, G. S. 1980. Relative toxicity of some insecticides to soybean bug, Chauliops fallax Scott. Indian J. Entomol., 42: 263–265.
Kuck, K. H., Scheinpflug, H. and Pontzen, R. 1995. DMI fungicides. In: Lyr, H. (Ed.), Modern Selective Fungicides: Properties, Applications, Mechanisms of Action, second ed. Gustav Fischer Verlag, New York, pp. 205–258.
La Mondia, J. A. 2012. Efficacy of azoxystrobin fungicide against sore shin of shade tobacco caused by Rhizoctonia solani. Tobacco Sci. 49: 1–3.
Lewis, J. A., Lumsden, R. D. and Locke, J. C., 1996. Biocontrol of damping-off diseases caused by Rhizoctonia solani and Pythium ultimum with alginate prills of Gliocladium virens, Trichoderma hamatum and various food bases. Biocontrol Sci. Tech. 6(2): 163-174.
Lourd, M., Alves, M.L.B. and Bouhot, D. 1987. Qualitative and quantitative study of the species of Pythium pathogenic in soils of the region of Manaus 2. “varzea” soils. Retrieved from http://agris.fao.org/agris-search/search.do? record ID=BR880231588
Mageshwaran, V., Mondal, K. K., Kumar, U. and Annapurna, K. 2012. Role of antibiosis on suppression of bacterial common blight disease in French bean by Paenibacillus polymyxa strain HKA-15. Afr. J. Bio. Tech. 11: 12389– 12395.
Manjunatha, S. V., Naik, M. K., Khan, M. F. R. and Goswami, R. S. 2013. Evaluation of bio- control agents for management of dry root rot of chickpea caused by Macrophomina phaseolina. Crop Protec. 45: 147–150.
Miles, M. R., Levy, C., Morel, W., Mueller, T., Steinlage, T., Van-Rij, N., Frederick, R.D. and Hartman, G. L. 2007. International fungicide efficacy trials for the management of soybean rust. Plant Dis. 91: 1450–1458.
Min, D. H., Islam, K. R., Weil, R. R. and Vough, L. R. 2003. Dairy manure effects on soil quality and C sequestration in Alfalfa-Orchardgrass systems. Comm. Soil Sci. Plant Analysis 34(5&6): 781–799.
Navarrete-Maya, R., Trejo-Albarran, E., Navarrete- Maya, J., Prudencio-Sains, J. M. and Gallegos, J. A. 2009. Reaction of common bean genotypes to Fusarium spp., Rhizoctonia solani under field and greenhouse conditions. Agric. Tecnica. en Mexico. 35(4): 455–466.
Nawar, L. S. 2008. Control of root rot of green bean with composted rice straw fortified with Trichoderma harzianum. Amercian Eurasian J. Agric. Environ. Sci. 3(3): 370–379.
Pande, S., Sharma, M., Kumari, S., Gaur, P. M., Chen, W., Kaur, L., MacLeod, W., Basandrai, A., Basandrai, D., Bakr, A., Sandhu, J. S., Tripathi, H. S. and Gowda, C. L. L. 2009. Integrated foliar diseases management of legumes. Intl Conf. on Grain Legumes: Quality Improvement, Value Addition and Trade, February 14-16, 2009, Indian Institute of Pulses Research, Kanpur, India. Pp-143-161.
Pomella, A. W. V. and Ribeiro, R. T. S. 2009. Controle biológico com Trichoderma em grandes culturas uma visão empresarial. In: Bettiol, W., Morandi, M. A.B. (Ed.). Biocontrole de doenças de plantas: uso e perspectivas. Jaguariúna: Embrapa Meio Ambiente, 2009. p.239–244.
Siddiqui, F. A. and Gulzar, T. 2003. Tetra cyclic triterpenoids from the leaves of Azadirachta indica and their insecticidal activities. Chem Pharm Bull. (Tokyo). 51: 415–417.
Stevens, C., Khan, V. A., Rodriguez-Kabana, R., Ploper, L. D., Backman, P. A., Collins, D. J., Brown, J. E., Wilson, M. A. and Igwegbe, E. C. K. 2003. Integration of soil solarization with chemical, biological and cultural control for the management of soilborne diseases of vegetables. Plant Soil. 253(2): 493–506.
Stone, A.G., Vallad, G.E., Cooperband, L.R., Rotenberg, D., Darby, H.M., James, R.V., Stevenson, W.R. and Goodman, R.M. 2003. Effect of organic amendments on soilborne and foliar diseases in field-grown snap bean and cucumber. Plant Dis. 87: 1037-1042.
Subramaniam, G., Kannan, I. G. K., Alekhya, G., Humayun, P., Meesala, S.V., Kamala, D. 2010. Efficacy of Jatropha, Annona and Parthenium biowash on Sclerotium rolfsii, Fusarium oxysporum f. sp. ciceri and Macrophomina phaseolina, pathogens of chickpea and sorghum. African J. Biotechnol. 9(47): 8048–8057.
Sundravadana, S., Alice, D., Kuttalam, S., Samiyappan, R., 2009. Efficacy of azoxystrobin on Colletotrichum gloeosporioides Penz. growth and on controlling mango anthracnose. J. Agricul. Biological Sci. 2: 10–15
Van-Loon, L.C. 2007. Plant responses to plant growth promoting bacteria. Eur. J. Plant Pathol. 119: 243-254.
Vijayalakshmi, R., Saranya, V.T.K. 2010. Effect of “Go-Mutra” on plant growth and its antifungal and antibacterial activity. J. Herbal Sci. Technol. 6: 6–11.