Original Research Papers
Effect of chitosan coatings on physico-chemical and enzymatic activities inmango cv Dashehari stored at low temperature
Effect of chitosan coatings on physico-chemical and enzymatic activities inmango cv Dashehari stored at low temperature
Journal of Horticultural Sciences, vol. 17, núm. 2, pp. 1-7, 2022
Society for Promotion of Horticulture

Abstract: Physico-chemical and enzymatic changes in mango (Mangifera indica) cv. Dashehari in response to postharvest application of chitosan (0, 0.5 and 1.0%) were studied during 4 weeks that were stored between 10±1 °C, 90-95 % RH. Fruits were evaluated for various quality parameters such as firmness, weight loss, pulp colour, .-carotene, soluble solid content (SSC), titratable acidity (TA) and activities of polygalactouronase (PG) and cellulase on 0, 7, 14, 21 and 28 days. Results exhibited that chitosan coatings (1.0 %) effectively reduced the weight loss (5.82 %) and markedly slowed down the ripening changes as evidenced from their retention of fruit firmness (15.50 N), maintenance of SSC (18.85 %) and TA (0.44 %) at 21 days of storage. Chitosan coatings also retarded the pulp colour development and lowered activities of PG and cellulase enzymes as compared to non-coated fruits. Overall, chitosan coating at 1.0% was found to be most effective in enhancing the storability and quality of mango fruits at cool storage temperatures.
Keywords: Cellulase, chitosan, fruit quality, mango , polygalactouronase.
INTRODUCTION
Mango is the most important tropical fruit cultivated worldwide and is considered one of the choicest fruits due to its attractive colour, sumptuous flavor and high nutritional properties. Despite rapid increase in the mango production and International trade, the marketability of good quality fruit is mainly affected by its short postharvest life. Under the sub-tropical conditions of Punjab (India), the fruit is harvested during the first fortnight of July when high temperature and humidity prevails in the region (Gill et al., 2017). Hence under ambient conditions, the fruit becomes highly perishable and reaches climacteric peak after 3 to 4 days of harvest. This peak is usually accompanied by rapid rise in ethylene production which accelerates the fruit softening and ripening process (Singh et al., 2013). Shorter shelf-life of mango fruit is associated with various physico- chemical and enzymatic changes including weight loss, textural softening, chlorophyll degradation and starch hydrolysis (Herianus et al., 2003) and thus restricting its transportation to distinct markets. To extend the postharvest life of fruits, application of various edible coatings based on lipids, polysaccharides and proteins have been experimented. Among these, polysaccharidebased chitosan coating has demonstrated a positive effects on the maintenance of fruit quality during storage (Xin et al., 2017). Chitosan coating forms a semi-permeable membrane around the fruit surface and modify the internal atmosphere, thereby resulting into a decline of respiration and transpiration rates thus delaying the fruit ripening and senescence.
Chitosan coatings on papaya fruits significantly reduced the weight loss percentage, maintained the fruit firmness, soluble solids concentration and prolonged the storage life of fruits (Ali et al., 2011). Furthermore, some studies on the effect of edible coatings on postharvest life and quality parameters in mango fruits have also been reported. Chitosan 2.0 % coating on mango cv. Tainong significantly lowered the respiration rate and maintained the fruit firmness (Zhu et al., 2008) and delayed the PG activities in mango cv. Choke Anan fruit during storage (Khaliq et al., 2017). However, no reports are available concerning the effect of chitosan on enzymatic activities in the fruits of Dashehari mango stored at low temperature storage; hence, there is a need for further studies to contemplate the efficacy of chitosan coatings on postharvest life of the most important Indian mango cultivar. The aim of the present work was to elucidate the effect of the surface chitosan coating on quality attributes and enzymatic activities in mango fruit cv. Dashehari under cool storage temperatures.
MATERIAL AND METHODS
Mango fruit (Mangifera indica cv. Dashehari) were harvested at mature green stage (specific gravity; 0.98±0.01 and firmness; 94.5±2.5N) from the orchard (30.89 °N and 75.80 °E latitude) of the Department of Fruit Science, Punjab Agricultural University, Ludhiana, India. Healthy fruits without any physical defects were selected for uniformity in shape, size & colour and washed with 100 ppm chlorinated water & then dried in shade. Further, fruits were randomly divided in three groups with each group comprising of 320 fruits. Two groups were coated with chitosan 0.5 % and 1.0 % concentrations using a soft brush, whereas the third group was left uncoated (control). Each treatment comprised of 80 fruits in four replications with 20 fruits under each replicate. The fruits were packed in corrugated fiber board boxes (5 % ventilation) with paper lining and stored under cool storage conditions (10±1 °C, 90-95 % RH). The desired concentration (0.5 % and 1.0 %) of chitosan was prepared as per the method described by Han et al. (2004) by dissolving 0.5 and 1.0 g of chitosan in 100 mL of 3 % acetic acid solution and was mixed well using a magnetic stirrer. The pH of chitosan coating solution was maintained at 5.0 with 1 M NaOH.
Fruits were randomly selected from each treatment and analyzed for various physico-chemical attributes on the day of harvest (before treatments) and at 7, 14, 21and 28 days of storage. Weight of fruits after every interval of storage was recorded and per cent weight loss was calculated.Fruit firmness was measured by the destructive method using stand mount penetrometer (Model FT-327, USA) and the values were expressed in Newton (N). SSC was measured using handheld digital refractometer (ATAGO, PAL -1, Japan) and expressed in 0Brix. Titratable acidity was measured using 2 mL of strained juice and titrated against 0.1 N NaOH solution using phenolphthalein indicator until the colour changed pink and was expressed as a percentage per 100 g fresh weight. The fruit pulp colour coordinates were recorded using a spectrophotometer (Hunter Lab ColorFlex, Hunter Associates Inc., Reston, VA, USA) as L*, a* and b* in Commission International de I’Eclairage (CIE) units with the head of 15 mm diameter to fit fruit surface (Hunter, 1975). Carotenoids were estimated in the form of β-carotene from the pulp of fruits as per the methodology followed by (Gill et al., 2017) and the colour intensity of samples were read at 452 nm in a spectrophotometer (Spectronic 20D+Thermo Fischer Scientific, USA) against petroleum ether used as blank. Polygalacturonase and cellulase enzyme activities were determined as per the method followed by Kaur et al (2021) with slight modification.
The data for various parameters were analyzed by two-way analysis (coatings x storage period) of variance in completely randomized design (Factorial) and using the statistical package SAS 9.3 (The SAS system for Windows, Version 9.3, SAS Institute, Cary, NC). Fisher’s least significant differences (LSD) were calculated following a significant (P d” 0.05) F-test.
RESULTS AND DISCUSSION
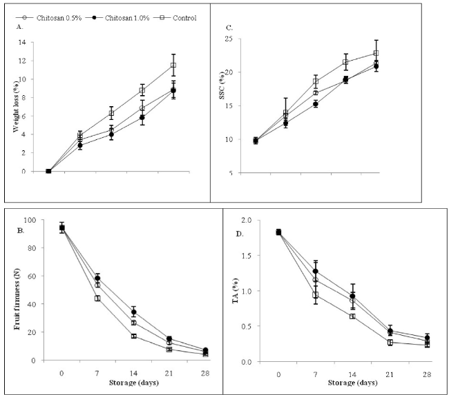
All the fruits irrespective of the coatings exhibited a gradual loss in weight throughout the storage period (Fig. 1A). The uncoated fruits exhibited a maximum weight loss of 11.50 % at 28th day of storage. However, fruits coated with 0.5 and 1.0 % chitosan registered significantly lower weight loss as compared to control. At the end of the storage period, weight loss in uncoated fruits was 24.23 % higher as compared to fruits coated with 1.0% chitosan. It might be due to formation of an effective semi-permeable film on the fruit surface, thus limiting the water loss and exchange of gases and protects fruit against dehydration loses. Results concurred to previous studies that recorded lower weight loss in chitosan coated mango fruits (Abbasi et al., 2009).
The firmness of the mango fruits declined progressively throughout the storage period (Fig. 1B). The maximum rate of decline in the coated and uncoated fruits were observed on the 7th day of storage. However, the decrease in fruit firmness was lower in fruits coated with chitosan as compared to uncoated fruits. On 28 days of storage, fruits coated with 1.0 % chitosan retained maximum (7.39 N) firmness, followed by 0.5 % chitosan treatment and the minimum (4.17 N) firmness was recorded in uncoated fruits. This overall retention of fruit firmness in coated fruits might be the due formation of modified atmospheric condition around the fruit surface by chitosan coating, which reduces the degradation of insoluble proto-pectins into more soluble pectic acid and pectins (Kashappa and Hyun, 2006). These results can be correlated with the findings of Ladaniya (2011) in Nagpur mandarin and in mango (Abbasi et al., 2009) where maximum firmness was retained in the wax coated fruits.
The present study showed an increase in SSC in all the coated as well as uncoated fruits throughout the storage period under cool temperature conditions (Fig. 1C). The rate of increase in SSC in uncoated fruits was higher in comparison to chitosan coated fruits. During the entire storage period of 28 days, the increase in SSC in uncoated fruit was 57.02 % as compared to 52.93 % increase in 1.0 % chitosan coated fruits. Hence a gradual increase of SSC was registered in fruits coated with 1.0 % chitosan, which might be due to the formation of semi-permeable film around the fruit which modifies the internal atmosphere of fruit and forms a barrier against oxygen thus reducing the rate of respiration. Similar results were reported in mango (Abbasi et al., 2009) fruits where higher SSC were recorded in uncoated fruits as compared to coated fruits.
TA decreased in all the fruits irrespective of the coatings during the entire storage period (Fig. 1D). On the7th day of the storage period, the decline in acidity

of uncoated fruits was 26.56 % higher as compared to TA in chitosan 1.0 % coated fruits. However, at the end of the storage period, fruits coated with 1.0 % chitosan retained maximum (0.34 %) TA as compared to uncoated fruits, where minimum (0.23 %) TA was recorded. Acidity can be directly correlated with the organic acid’s concentration in fruit and their reduction during storage is due to the metabolic alterations involving utilization of these organic acids during respiration for enzymatic reactions (Yaman and Bayoinderli, 2002). In the present study, fruits coated with 1.0 % chitosan were effective in the preservation of organic acids by maintaining highest TA thus indicating its inhibitory role in the oxidation of organic acids. Results were in harmony with the previous findings in mango as reported by Zhu et al. (2008).
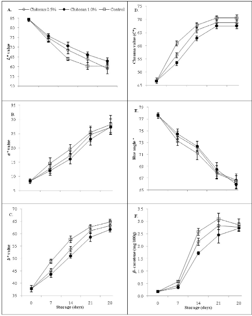
The colour coordinates L*, a*, b*, chroma and hue angle shown in fig.2 indicates the change in pulp colour of fruit during storage. The L* value of the pulp colour in all the coated and uncoated fruits decreased with the progression of the storage (Fig. 2A). However, the rate of decrease in L* value was higher in uncoated fruits as compared to the fruits coated with chitosan. From the day of harvesting to 28 days of storage period, L* value of pulp in fruits coated with 1.0 % chitosan decreased by 25.62 %, whereas in uncoated fruits L value decreased by 28.66 %. The a* and b* value of pulp significantly increased in all the fruits irrespective of the coatings (Fig. 2B and 2C). The fruits coated with 1.0 % chitosan registered minimum a* and b* values (27.45 and 61.67, respectively) at the end of storage period, while uncoated fruits recorded maximum a* and b* values (28.23 and 64.70, respectively). Results showed that chitosan coated fruits retained the pulp colour index at L*, a* and b*, which indicates the delay of the ripening process. Chitosan treatments effectively slowed down the degeneration of yellow colour of pulp and retained a lighter yellow pulp colour at the end of storage as compared to uncoated fruits.
The chroma value of coated as well as uncoated fruits increased during the study (Fig. 2D). From the day of harvest to 28 days of storage, a lower C* value (43.75) was observed in fruits coated with chitosan 1.0 % as compared to uncoated fruits, where a rapid change in C* value (45.15) was recorded. Hue angle of pulp of all the fruits decreased throughout the storage period irrespective of chitosan coatings (Fig. 2E). During 28 days of storage, a comparatively higher (71.80) hue angle was registered in fruits with 1.0 % chitosan coatings as compared to control fruits which recorded minimum (71.26) hue angle. Chitosan coated fruits recorded lesser hue angle and higher chroma values which may be attributed to the slow pulp colour changes and fruit senescence. This proved the effectiveness of chitosan coating in delaying the climacteric peak, which is often associated with colour change in fruit due to the activity of chlorophyllase enzyme as well as accumulation of carotenoids in response to the climacteric rise in respiration rate and ethylene production (Saltveit, 1999). Similar findings were reported in strawberries coated with edible coatings, where a colour change in fruit was significantly delayed (Velickova et al., 2013).
A significant progression in β-carotene content was observed in all the fruits irrespective of the coatings throughout the storage period (Fig. 2F). The maximum increase in β-carotene was observed until 25 days in uncoated fruits (94.19 %) as compared to fruits coated with chitosan 1.0 %, which recorded minimum (92.65 %) increase in β -carotene and was found on par with fruits coated with 0.5 % chitosan treatment. However, on 28th day of storage, the β-carotene content of uncoated fruit was 4.9 % higher as compared to fruits coated with 1.0 % chitosan. Carotenoids being the most crucial pigments defining the qualitative characteristic of mango fruit, increases with the progression of the ripening process. β-carotene increased in all the coated as well as uncoated fruits, but their increase was recorded at a slower pace in 1.0 % chitosan coated fruits. The inhibitory effect of chitosan on carotenoid development may be due to the modification of internal atmospheric conditions and suppression of enzymatic activities thus resulting into reduction of chlorophyll degradation and carotenoid biosynthesis (Gol and Rao 2011; Hong et al., 2012).Similar inhibitory effect of wax treatments on carotenoid biosynthesis was reported in mandarin (Ladaniya, 2011).
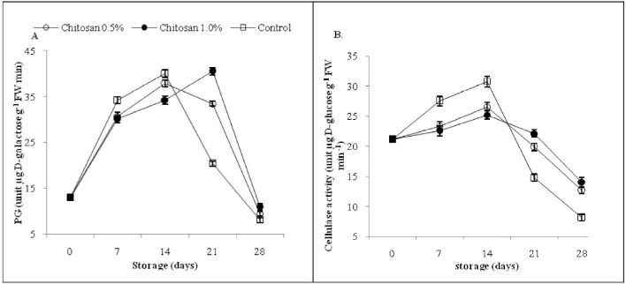
The study showed a comparable trend in PG and cellulase enzymatic activities (Fig. 3A and 3B). An increase in PG activity was observed in fruits coated with chitosan 1.0 % until 21 days of storage period as compared to chitosan 0.5 % and uncoated fruits where this increase was recorded only until 14 days, followed by a decline. At 28th of the storage period, the maximum (10.89 µg D-galacturonic acid g-1 FW min-1) enzymatic activity was observed in 1.0%


chitosan coated fruit as compared to control fruits, which recorded minimum (8.02 µg D-galacturonic acid g-1 FW min-1) PG activity. Alteration in the activity of cell wall degrading enzymes is the major concern regarding deterioration in fruit quality. During ripening the latent forms of PG, and cellulase get activated resulting in breakdown of pectic substances, celluloses, and hemicelluloses present in the middle lamella. The rise in the activity of these cell wall degrading enzymes results in the reduction of cohesive forces that bind the cells together weakens of cell wall and cause fruit softening (Wills et al., 1998). PG enzymes activity is responsible for the catalysis of depolymerization reactions and hydrolytic cleavage of de-esterified polygalacturnoid chain (Wei et al., 2010). Chitosan coatings significantly delayed the enzymatic activity in mango fruit. As per the results, fruits coated with 1.0 % chitosan recorded lower PG activity as compared to uncoated fruits. In uncoated fruits, PG activity increased approximately 3 folds up to 14 days of storage period as compared to 1.0 % chitosan coating where this increase was only 2.6-fold. A similar finding was reported in wax coated ‘Manila’ mango (Vazquez-Celestino et al., 2016).
Similar observations were recorded in cellulase enzyme activity, where all the coated as well as uncoated fruits exhibited an increase in cellulase activity till 14 days of cold storage, followed by a decline. However, at the end of the storage period (28 days) the decline in cellulase activity in uncoated fruit was 42.12 % and 35.91 % higher than the fruits with 1.0 % and 0.5 % chitosan coatings, where PG activity was delayed during storage (Vazquez-Celestino et al., 2016). Results indicated that coatings of chitosan inhibited the increase in enzymatic activities, while 1.0 % chitosan coated fruits maintained highest enzymatic activities until 28 days of storage as compared to uncoated fruits which clearly signifies the capability of chitosan in maintaining the cell wall integrity by reducing the breakdown of cell wall components and accumulating higher enzyme substrate levels for a longer period.
In conclusions, 1.0 % chitosan coating on mango fruits, effectively maintained the fruit quality over uncoated fruits stored under cool temperature conditions. Chitosan coated fruits exhibited lower weight loss percentage and retained maximum fruit firmness. In addition, these coatings also maintained the SSC and TA and significantly delayed the pulp colour development and enzymatic activities of PG and cellulase in mango fruit during cool temperature storage.
REFERENCES
Abbasi, N.A., Iqbal, Z., Maqbool, M. and Hafiz, I.A. 2009. Postharvest quality of mango (Mangifera indica L.) fruit as affected by chitosan coating. Pak. J. Bot., 41(1): 343-357.
Ali, A., Muhammad, M.T.M., Sijam, K. and Siddiqui, Y. 2011. Effect of chitosan coatings on the physicochemical characteristics of Eksotika II papaya (Carica papaya L.) fruit during cold storage. Food Chem., 124(2): 620–626.
Gill, P.P.S., Jawandha, S.K., Kaur, N. and Singh, N. 2017. Physico-chemical changes during progressive ripening of mango (Mangifera indica L.) cv. Dashehari under different temperature regimes. J. Food Sci. Technol., 54(7): 1964-1970.
Gol, N.B., and Ramana Rao, T.V. 2011. Banana fruit ripening as influenced by edible coatings. Int. J. Fruit Sci., 11(2): 119-135.
Han, C., Zhao, Y., Leonard, S.W. and Traber, M.G. 2004. Edible coatings to improve storability and enhance nutritional value of fresh and frozen strawberries (Fragaria × ananassa) and raspberries (Rubus ideaus). Postharvest Biol. Technol., 33: 67–78.
Herianus, J.D., Singh, L.Z. and Tan, S.C. 2003. Aroma volatiles production during fruit ripening of Kensington Pride mango. Postharvest Biol. Technol., 27: 323-336.
Hong, K., Xie, J., Zhang, L., Sun, D., and Gong, D. 2012. Effects of chitosan coating on postharvest life and quality of guava (Psidium guajava L.) fruit during cold storage. Sci. Hortic., 144: 172- 178.
Hunter, S. 1975. The measurement of appearance. Wiley, New York, pp 304–305.
Kashappa, D.G. and Hyun, P.J. 2006. Study of gamma irradiation effects on chitosan microparticles. Drug Del., 13(1): 39-50.
Kaur, A., Kaur, N., Singh, H., Murria, S., and Jawanda, S. K. 2021. Efficacy of plant growth regulators and mineral nutrients on fruit drop and quality attributes of plum cv. Satluj purple. Plant Physiol. Rep., 26(3): 541-547.
Khaliq, G., Nisa, M.U., Ramzan, M. and Koondhar, N. 2017. Textural properties and enzyme activity of mango (Mangifera indica L.) fruit coated with chitosan during storage. J. Agric. Studies 5(2): 32-50.
Ladaniya, M.S. 2011. Physico-chemical, respiratory and fungicide residue changes in wax coated mandarin fruit stored at chilling temperature with intermittent warming. J. Food Sci. Technol., 48(2): 150-158.
Malik, E.P. and Singh, M.B. 1980. Plant Enzymology and Histoenzymology (1st Edn.) Kalyani Publishers, New Delhi.
Ranganna, S. 1977. Plant pigments. In: Manual of analysis of fruit and vegetable products. Tata McGraw-Hill, New Delhi.
Saltveit, M.E. 1999. Effect of ethylene on quality of fresh fruits and vegetables. Postharvest Biol. Technol., 15(3): 279-292.
Singh, Z., Singh, R.K., Sane, V.A. and Nath, P. 2013. Mango-postharvest biology and biotechnology. Critical Rev. Pl. Sci., 32(4). 217-236.
Vazquez-Celestino, D., Ramos-Sotelo, H., Rivera- Pastrana, D.M., Vázquez-Barrios, M.E. and Mercado-Silva, E.M. 2016. Effects of waxing, microperforated polyethylene bag, 1- methylcyclopropene and nitric oxide on firmness and shrivel and weight loss of ‘Manila’ mango fruit during ripening. Postharvest Biol. Technol., 111: 398-405.
Velickova, E., Winkelhausen, E., Kuzmanova, S., Alves, V.D. and Moldão-Martins, M. 2013. Impact of chitosan-beeswax edible coatings on the quality of fresh strawberries (Fragaria x ananassa cv Camarosa) under commercial storage conditions. LWT-Food Sci. Technol., 52(2): 80-92.
Wei, J., Ma, F., Shi, S., Qi, X., Zhu, X. and Yuan, J. 2010. Changes and postharvest regulation of activity and gene expression of enzymes related to cell wall degradation in ripening apple fruit. Postharvest Biol. Technol., 56(2): 147-154.
Wills, R., Mcglasson, B., Graham, D. and Joyce, D. 1998. Postharvest: An Introduction to the Physiology and Handling of Fruit, Vegetables and Ornamentals. 4th. Ed. CAB. International, Wallingford Oxen 108 DE, UK.
Yaman, O. and Bayoindirli, L. 2002. Effects of an edible coating and cold storage on shelf-life and quality of cherries. LWT-Food Sci. Technol., 35(2):146-150.
Zhu, X., Wang, Q., Cao, J. and Jiang, W. 2008. Effects of chitosan coating on postharvest quality of mango (Mangifera indica L. cv. Tainong) fruits. J. Food Process. Preserv, 32(5): 770-784.