Original Research Papers

Recepción: 29 Septiembre 2020
Revisado: 13 Mayo 2021
Aprobación: 28 Junio 2021
DOI: https://doi.org/10.24154/JHS.2021.v16i01.002
Abstract: Mountain sweet thorn (Flacourtia montana J. Grah) is an indigenous underutilized fruit of Western Ghats and other regions of peninsular India. It is a close relative of Governor’s plum. It is bushy shrub or small tree with spiny trunks and branches which may grow up to 2.5 m height. The fruits are bright dark red 1-2 cm in diameter, sweet edible and have potential for processing into jams and jellies. The presence of thorn is one of the major hurdles forcommercialization of this crop. Thus, seeds of the thorny plants of the Mountain sweet thorn were collected from different locations and seedlings were planted to identify suitable line .The plant height ranged from 425 cm (accession 0208) to 710 cm (accession 0202). The plant girth ranged from 34.5 cm to 82 cm. The growth data revealed that all the accessions are vigourous, fast growing and various levels of thorniness. All the accessions were found to be spreading type. Significant variability was recorded for leaf characteristics among the accessions studied. Three major clusters were observed in cluster analysis for morphological and fruiting charactersconsisting of 1, 8 and 9 accessions, respectively. The number of fruits ranged from 0 to 4008. Highest yield (9.46 kg/plant) was obtained in accession - 0106 followed by accession- 0201 (7.83 kg). The average fruit weight ranged from 1.51 g to 3.94 g. Highest fruit weight (3.94g) was also recorded in 0106 followed by 2.84 (0102).The total soluble solids ranged from 10 0 Brix to 15.1 0 Brix. Over all, accession 0201 was found better than others with respect to yield, regular bearing and less thorniness.
Keywords: Mountain sweet thorn, segregation, thornless and yield.
INTRODUCTION
There are several underutilized and wild fruits are native to Western Ghats of India (Arora, 1998; Tripathi et al, 2015) of which mountain sweet thorn (Flacourtia montana J. Grah) one of the important indigenous underutilized fruits of tropical region. It belongs to the family flacourtiaceae. It is a close relative of governor’s plum. The plants of several species of Flacourtia genus are found growing in wild in Western Ghats and other regions of peninsular India (Barwick, 2004). It is bushy shrub or small tree with spiny trunks and branches which may grow up to 2.5 meter height. Fruiting begins in the month of January to March. It bears dark red coloured fruits which are pleasantly acrid, eaten raw and used also for jelly preparation. The fruits have high potential for processing into jam, jelly, wine, etc. (Mundaragi et al., 2019). Ripe fruits are often dried and stored. Ripe fruits are delicious to taste and rich in sugars, calcium, magnesium, potassium, sodium, phenolics, flavonoids and ascorbic acid (Mundaragi and Thangadurai, 2015). It has also been reported that the fruits leaves and bark of this species have various pharmacological activities like antibacterial, antidiabetic, anti- inflammatory and hepatoprotective etc. (Joshy et al., 2016). The presence of thorn is one of the major hurdles in commercialization of this crop. Thus, some accessions of Mountain sweet thorn which are less thorn were selected and evaluated for various characteristics during 2016-19.
MATERIAL AND METHODS
The Flacourtia montana J. Grah accessions were collected from Kerala during 2008-09 through extensive surveys from Palode. The seedlings were directly planted in the field at a distance of 5x5m at ICAR-IIHR, Bangalore which is located at 13.133999 ° N latitude and 77.47880 ° E at 855m above sea level. It has sub humid tropical climate with annual rainfall of 86cm. The soil is red. The plants started fruiting in third year and yieldgot stabilized after five harvesting seasons. Eighteen accessions were evaluated for two years for vegetative growth, flowering, fruiting and fruit characteristics. Twenty-five mature fruits were harvested randomly from each accession to record the physico-chemical parameters. The fruits were washed with distilled water and the surface water was removed using blotting paper. The cleaned air- dried samples were used. The fruit weight, fruit length, fruit diameter was recorded using electric balance and digital vernier caliper. The fruit shape and fruit colours were recorded as per the standard fruit shape (Gupta, 1972 and Berg, 2007) and colour charts (RHS colour chart,1966). The fruits were cut and pulp colour was recorded. The total soluble solids (TSS) were determined with Erma hand refractometer (0-32o Brix) and titratable acidity (%) was estimated using procedures described by Ranganna (1986).
Data analysis
The data was analysed using R software(R-4.0.3). The distance matrix required for hierarchical clustering was computed using the ‘dist’ function which is based on Euclidean distances between the accessions. The hierarchical clustering of the accessions was done using ‘hclust’ function based on complete linkage method. Principal Component Analysis (PCA) was done using the ‘pca’ function. (Team, 2019).
RESULTS AND DISCUSSION
Morphological characterization Growth characteristics
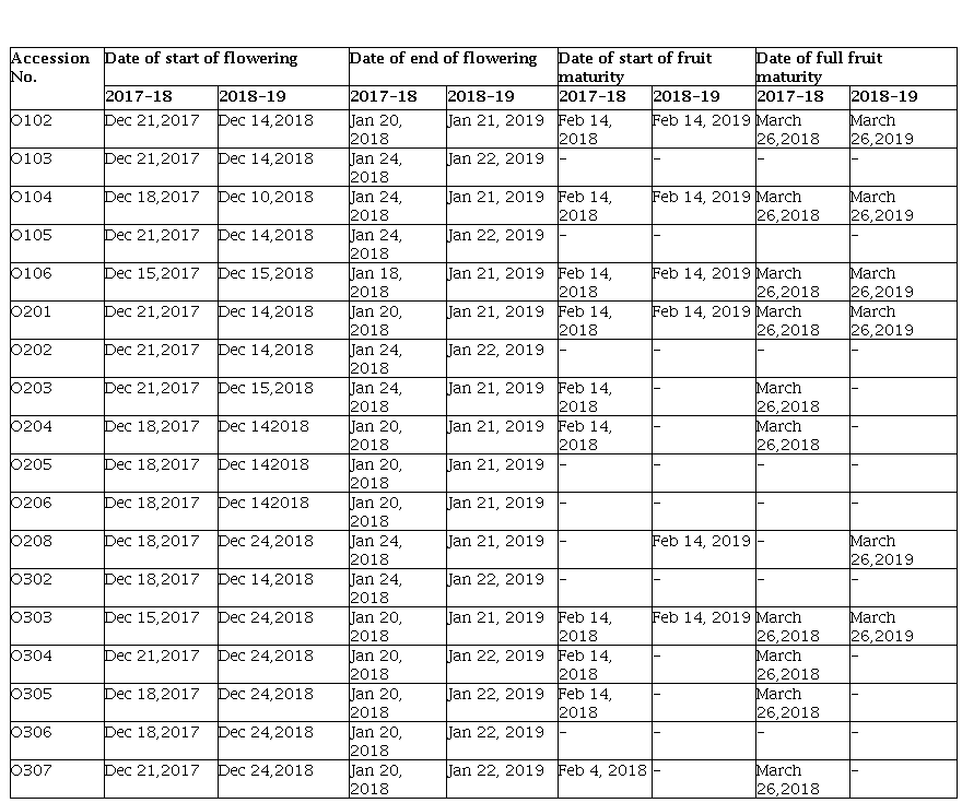
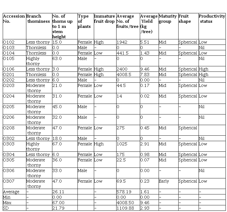
Morphological characterization of 18 accessions of mountain sweet thorn was done as per the standard descriptors. The plant height ranged from 425 cm to 710 cm with highest in accession0202. The plant girth ranged from 34.5 cm to 82 cm. The plant spread ( E-W) ranged from315 cm to 625 cm where as N-S ranged from 315 cm to 625 cm. The growth data revealed that all the accessions were vigourous, fast growing and spreading type. The foliage was dense and leaves were dark green. The new leaf colour was coppery red in all accessions (Table 1). Leaf length ranged from 8.53 cm to 15.9 cm.The leaf width ranged from 4.23 cm to 6.89 cm. The petiole length ranged from 0.33 to 0.59 cm in different accessions. The leaf blade was pinned and all the accessions have petiolate leaves. The leaf margin was serrated while leaf apex was acute or acuminate type. The leafbase was elliptical in most of the collections but it was ovate in accessions- 0103,0106,0202,0306. The leaf base was acuminate or rounded (Table 2). These all accessions are fast growing but different levels of thorniness. Some collections werehighly thorny while some have moderate thorny.The number of thorns per 1m stem trunk were highest (63) in accession-0105 followed by 47 thorns in accessions-207 and 0208. The accessions-0103,0104, 0201 were found thornless. All the accessions started flowering in December and continued for almost one month. There was only 1-2 weeks difference in the flowering period of different accessions. The flowering time varied in both years which may be due to weather conditions (Table 3).
Cluster analysis
Clustering of the 18 accessions was done based on the morphological data. As the dataset consisted of mixed data types viz. numeric and attribute, the distance between the accessions was computed using Gower’s distance measure. Hierarchical clustering of the accessions based on the complete agglomeration method was done for the above distance matrix and a dendogram was generated (Fig 1). Three major clusters were observed consisting of 1, 8 and 9 accessions, respectively. The first cluster consisted of the one accession i.e. O102. Cluster 2 consisted of 7 female plants and one male plant (O206) while cluster 3 consisted of 6 male plants and two female plants. The minimum distance was found between the accessions O201 and O205 (cluster III) while the maximum distance was observed between O102 (cluster I) and O103 (cluster III) (Fig 1).
Principal Component Analysis
The principal component analysis was done based on the numeric characters of morphological and leaf data. 68. 7% of the total variance was explained by the first two components (39% by 1st component and 29.7% by 2nd component) (Fig 2 & Table 4).






Characterisation for fruit traits and evaluation for yield
The fruit started maturing in the month of February and peak fruiting was in March. The number of fruits/tree ranged from 0 to 4008. There were no fruits in accessions 0103, 0105, 0202, 0205, 0206, 302 and 0306. It seems these were male plants. The accessions 0102, 0104, 0106, 0201, 0203, 0204,0208, 0303, 0304, 0305 and 0307 produced fruits either in one year or both the year (Table 5). As it is well known that Flacourtia montana have unisexual flowers, Some trees produces only male flower while others produce only female flowers. (http://www. flowersofindia.net ). Among the remaining plants highest yield (9.46 kg) was obtained in accession- 0106. Higher yield was also obtained in accession- 0201 (7.83 kg).Average fruit yield ranged from 0 to 9.46 kg per plant. Most of the accessions are mid-season maturing and except accession 0307 which was early maturing. The fruits of all the accessions were spherical (Table 5). The productivity was low in most of the accessions. The low productivity may be associated with lack of pollination. The average fruit weight ranged from 1.51 g to 3.94 g. Highest fruit weight (3.94g) wasalso recorded in 0106 followed by 2.84 (0102).The fruit equatorial diameter ranged from 0.825cm to1.036 cm while fruit polar diameter ranged from 1.014cm to -1.062 cm. The fruit colour was dark red (Red 46b) .Fruit pulp was smooth and fibre content was low.There was no flavour.The average pulp weight ranged from 0.85 g to 3.26 g. Number of seeds/fruit ranged from 8 to 11. The highest numbers of seeds per fruit were found in accessions-0104 (11) while it was lowest in accessions-304,305(8). The total soluble solids ranged from 10 0 Brix to 15.1 0Brix. Higher total soluble solids (>15 0 Brix) were recorded in most of the accessions. The titrable acidity was ranged from 0.22 % to 0.53 %., it was height in accession- 0203 (Table 6).

Correlation analysis between growth and yield characters
There was no significant correlation of growth characters with yield and plant height. The plant spread was positively corelated with yield and fruit weight. The petiole length was found positively correlated with thorniness (Table 7). The characterization and evaluation of mountain sweet thorn accessions revealed that most of them are thorny and about 45 percent are male.

Correlation analysis between growth and yield characters
There was no significant correlation of growth characters with yield and plant height. The plant spread was positively corelated with yield and fruit weight. The petiole length was found positively correlated with thorniness (Table 7). The characterization and evaluation of mountain sweet thorn accessions revealed that most of them are thorny and about 45 percent are male.


All the accessions were dioecious as either they produce either only male flower or only female flowers. The fruits are bright and bearing habit is sparse to heavy. The fruits are dark red with weight ranging from 1 to 3 g. On the basis of the evaluation one collection (accession- 0201) was found thornless, heavy and regular bearer and average fruits weight (2.26 g).This high yielding, thornless accession is recommended for cultivation.
REFERENCES
Anonymous. 2009. Flacourtia montana - Mountain sweet thorn - Flowers of India (http://www.flowersofindia.net)
Arora, R. K. 2014. Diversity in underutilized plant species - An Asia Pacific perspective. Bioversity International, New Delhi, India, p.203.
Barwick, M. 2004. Tropical and subtropical trees A worldwide encyclopaedic guide. Thames & Hudson, London.
Berg, L. 2007. Introductory Botany: Plants, people, and the environment, Media Edition. Cengage Learning. ISBN 978-1 -111- 79426-2.
Gupta, R. 1972. Textbook of systematic botany. Atma Ram and Sons, Delhi. p. 609.
Joshy, C., Thahimon, P.A., Kumar, R.A., Carla, B. and Sunil, C., 2016. Hepatoprotective, anti- inflammatory and antioxidant activities of Flacourtia montana J. Grah leaf extract in male Wistar rats. Bulletin of Faculty of Pharmacy, Cairo University , 54 (2): 209-217.
Mundaragi, A., Thangadurai, D., Appaiah, K.A.A., Dandin, C.J. and Sangeetha, J., 2019. Physicochemical characterization, antioxidant potential and sensory quality of wine from wild edible fruits of Flacourtia montana J. Graham. Brazilian Archives of Biology and Technology. 62:1-12.
Mundaragi, A. and Thangadurai, D. 2017. Process optimization, physicochemical characterization and antioxidant potential of novel wine from an underutilized fruit Carissa spinarum L. (Apocynaceae). Food Science and Technology, 38:428-433.
R.H.S. Colour chart. 1966. Royal Horticultural Society (Great Britain); British Colour Council. London.
Rangana, S. 1986. Handbook of analysis and quality control for fruit and vegetable products. Tata McGraw-Hill Education. p1112.
Team RC. 2019. R: A language and environment for statistical computing. R Foundation for Statistical Computing, Vienna, Austria. URL https://www.R-project.org.
Tripathi, P.C., Karunakaran, G., Sankar, V. and Senthil Kumar, R. 2015. Survey and Conservation of Indigenous Fruits of Western Ghats., Journal of Agricultural Science and Technology .(7):608-615.