Original Research Papers

Recepción: 27 Mayo 2021
Revisado: 26 Julio 2021
Aprobación: 22 Noviembre 2021
Abstract: Mango (Mangifera indica L.) is sensitive to salinity and its cultivation in salt affected area is declining day by day. There is a need to find out the rootstocks to sustain under saline conditions which can be used for commercial cultivation of superior cultivars through grafting. To achieve this, the present study was carried out to understand the salt tolerance and sensitive nature of fifteen polyembryonic mango rootstock seedlings (EC-95862, Bappakkai, Vellaikolamban, Nekkare, Turpentine, Muvandan, Kurukkan, Kensington, Olour, Manipur, Deorakhio, Vattam, Mylepelian, Sabre and Kitchener) which were exposed to 0 mM, 25 mM, 50 mM and 100 mM concentration of NaCl+CaCl. (1:1) salt. The output of this study revealed that there was reduction in K+, Ca++, Fe++ and Zn++ while the content of Cu++ and Mn++ in both leaf and root tissues were found to increase with gradual increase in salt concentration from 0 to 100 mM. The overall results of this study revealed that the salinity stress caused the alterations in mineral nutrient composition of polyembryonic mango genotypes. Among the fifteen genotypes, the seedlings of Turpentine, Deorakhio, Olour and Bappakkai responded better in maintaining the mineral nutrient status in leaf and root tissues under higher level of salinity.
Keywords: Na+ ratio, mango rootstocks, Na+ and Cl- accumulation, nutrient composition and salinity.
INTRODUCTION
Mango (Mangifera indica L.) is the choicest fruit among Indians. It is commercially grown in tropical and subtropical regions of India. Currently, mango is grown on 2.26 million hectares land with annual production of 21.82 million MT fruits (NHB, 2018). India occupies the first position in mango production, but its low productivity of around 7.3 tonnes ha-1 is a matter of great concern. Various abiotic stresses such as drought, salinity, high/low temperature are becoming serious issues for crop production and decline in productivity (Qin et al., 2010). Among these abiotic stresses, salinity is a major problem that affected nearly 20% of the agricultural land (Nellemann, 2009). Mango is considered as a salt sensitive crop (Cooper et al.,1952). So, growing mango in salt affected soil and saline irrigation water is becoming a challenging issue to the farmers. Though there are several strategies like leaching, application of high-quality irrigation water, amendments of coarse organic matter, etc. available to maintain soil and plant health under saline condition, these are expensive and temporary. Using salt tolerant rootstock would be better option to grow mango in salt affected soils. Several cations (Na+, Ca++, Mg++) and anions (Cl-, SO4 —, CO32-, etc.) are allied to salinity which are predominantly involved in unbalancing the other essential nutrients required for normal growth and development of plants. These cations and anions at higher concentration may have antagonistic effect on other essential minerals and nutrients. Out of which Na+ and Cl- are considered as most detrimental to the soil as well as plant system if their accumulation increases in saline conditions (Hasegawa et al., 2000). Thus, the mechanism involved in salt tolerance with response to mineral nutrients depends on the toxic ion exclusion, extrusion and salt dilution capacity of particular genotypes. So, keeping in mind all these facts the present investigation was carried out to understand the salt tolerance and sensitive nature of fifteen polyembryonic mango genotypes by studying their mineral nutrient composition.
MATERIALS AND METHODS
Planting material and growing conditions
The present investigation was conducted at ICAR- Indian Institute of Horticultural Research (IIHR), Bengaluru, Karnataka, India (12.97°N and 77.56°E) during the years 2015-2017 by growing the seedling plants of fifteen polyembryonic mango genotypes (EC- 95862, Bappakkai, Vellaikolamban, Nekkare, Turpentine, Muvandan, Kurukkan, Kensington, Olour, Manipur, Deorakhio, Vattam, Mylepelian, Sabre and Kitchener) under different salinity conditions. The 15 day old germinated seedlings were transplanted in polythene bags (15 x 25 cm) filled with 1.5 kg soil mixture consisting of soil, sand and FYM (1:1:1, w/ w) having EC 0.36 dSm-1, pH 6.89 and organic carbon 0.53%. These seedlings were grown under polyhouse for four and half months. Then raised seedlings were subjected to salinity stress by irrigating with 0 mM, 25 mM, 50 mM and 100 mM solutions of NaCl+CaCl. (1:1, w/w) up to saturation level (approximately 150 ml/plant) to maintain optimum soil moisture. The irrigation was given at an interval of four days for 40 days. When visual symptoms of salinity stress as marginal leaf burning started to appear on leaves after 40 days under 100 mM salinity stress, the seedlings were uprooted for destructive sampling. Leaf and root samples were thoroughly washed first with tap water, later with distilled water after uprooting from the experimental pots followed by drying at 67°C in a hot air oven. The dried leaf (with leaf petiole) and root samples of each genotype were ground with a grinder until they became fine powder that was used for nutrient analysis.
Di-acid digestion protocol
The powdered samples (1.0 g) of leaves and roots were transferred into a conical flask. Di-acid mixture was prepared using nitric acid (HNO.) and perchloric acid (HClO.) in the ratio of 9:4 (v/v). About 10 mL of di- acid mixture was poured into the conical flask containing leaf or root samples and kept overnight for pre-digestion. Next day, that solution was kept on a hot plate at 100oC in the digestion chamber for initial 1 hour followed by an increase in temperature up to 200oC for 2-3 hours till the solution became colorless and white precipitate. The volume of the solution was made up to 100 mL with distilled water and filtered through ‘Whatman No. 1’ filter paper. These samples were used for mineral and nutrient analysis.
Mineral nutrient estimation
The Ca++content of the di-acid digested samples was estimated using Atomic Absorption Spectrophotometry (AAS) (Sarma et al., 1987). The content of potassium and sodium were estimated using ‘Flame Photometer’ as procedure mentioned by Jackson (1973). The content of micronutrients (Fe++, Mn++, Zn++, and Cu++) of the di-acid digested samples were estimated using Atomic Absorption Spectrophotometry (AAS) (Sarma et al., 1987). The content of chloride in leaf and root samples were determined by the procedure of Skoog et al. (1996) where in chloride of leaf and root samples were extracted by adding 50 mL of distilled water to 0.5 g plant tissue and shaking for one hour and filtering through qualitative filter paper (Whatman grade 2, 11cm). Chloride percentage was calculated from the titre value after titrating 10 mL of aliquot of filtered sample against 0.02 N AgNO3 using K2CrO4 as indicator till the end point attained.
Statistical analysis
The experiment was laid out in Factorial Completely Randomized Design with six plants in each genotype for individual treatment. For nutrient analysis the randomly collected samples were replicated thrice. The data was analyzed using statistical software SAS 9.3 version and one way analysis of variance (ANOVA) was followed. Significant differences were compared using Fisher’s test at P d” 0.05.
RESULTS AND DISCUSSION
Sodium and chloride alterations
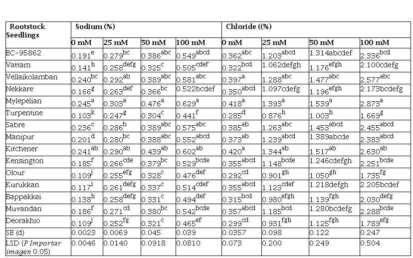
Content of Na. in leaves and roots differed among the genotypes. In general the Na. concentration markedly increased with graded level of salinity and the increase was more in root portion when compared to leaf tissue. In leaf tissue (Table 1) under 25 and 50 mM concentration, the maximum Na. content was recorded in Kitchener (0.225%) and Vellaikolamban (0.510%), respectively. Whereas, the minimum (0.158%) was recorded in Turpentine and Deorakhio at 25 mM and 0.234% in Turpentine at 50 mM salt stress. The higher

salinity stress (100 mM) caused maximum increase in Na+ content in Vellaikolamban (0.525%) followed by Mylepelian (0.516%) and Kitchener (0.498%) whilst, the minimum was found in Turpentine (0.364%), Deorakhio (0.368%) and Olour (0.388%). The Na. content in root tissues (Table 2) of turpentine increased from 0.103% to 0.247 in 25 mM to 0.304% in 50 mM and to 0.441% at 100 mM salinity stress were the least among the rootstocks. Under 100 mM salinity stress the maximum content of Na. was found in seedlings of Mylepelian (0.629%).The increase in sodium ion concentration in plant tissues due to salinity stress was a general phenomenon noticed during the course of current study. The results of the study confirmed that genotype Turpentine followed by Deorakhio, Olour and Bappakkai had greater ability to restrict the Na+ uptake from root and their translocation to the leaves. Vellaikolamban rootstock had taken up maximum Na+ from root and transfer to cytoplasm in the leaf tissues while Mylepelian accumulated more Na+ in the root tissues which might be responsible for more root damage and reduction in dry matter content. This mechanism of Na+ regulation by root and leaf portion in salt tolerant and sensitive mango cultivars was also described by Silva et al. (2004).
Marginal variation among the genotypes with respect to Cl- content in leaf and root tissues was observed and salinity stress caused significant increase in Cl- accumulation in leaf and root tissues (Table 1 and 2). The Cl- content in leaf tissues among the genotypes varied from 1.043% to 1.362% and it increased upto 1.143% in Olour and 1.593% in Mylepelian when plants exposed to 25 mM salinity stress. At 50 and 100 mM salinity stress the maximum content of Cl- was noticed in Mylepelian (2.302% and 2.931%, respectively), whilst minimum content was observed in Turpentine 2.147% at 50 mM and 2.357% at 100

mM salinity stress. With regard to root Cl- content, in 25 mM salt treated plants it increased from 0.876% to 1.39%. The Cl- content in 50 and 100 mM salinity stress increased upto 1.539% and 2.873% in Mylepelian seedlings and 1.003% and 1.669% in Turpentine genotype, respectively. The probability of toxicity through increasing concentration of chloride ions was the maximum compared to other ions which caused the specific toxicity in the plant system under saline conditions. Generally in mango, the potassium deficiency could cause the leaf scorching, but the toxicity of chloride was more pronounced to cause the leaf scorching and marginal chlorosis (Naqvi, 2007). The results of this study justified the chloride exclusion capacity of Turpentine, Olour and Deorakhio root tissues which also slowed down the translocation of Cl- to the leaf tissue that might helped in maintenance of proper growth by mitigating the toxic effect. Study of Nigam and Misra (2004) was also in support of the results of the present study that salt tolerance and sensitive capacity of rootstocks related to their Cl- exclusion ability.
K+/Na+ ratio influenced by salinity stress
The K+/Na. ratio in leaves and roots is shown in Tables 3 and 4. The decreasing trend in the K+/Na. ratio with gradual increase in salinity stress was observed. The minimum value of K+/Na. ratio [7.574 (under 25 mM), 1.377 (under 50 mM) and 0.717 (under 100 mM)] was noticed in Mylepelian leaf tissues. The maximum was recorded in Turpentine (16.828; 4.776; and 2.603 under 25mM, 50mM and 100mM, respectively). In root tissues, the K+/Na. ratio was reduced from 8.215 (25mM) to 0.704 (100mM) in Mylepelian and 12.126 (25mM) to 2.730 (100mM) in Turpentine. Potassium, an essential nutrient, could have contributed for lowering down the osmotic potential in plant system exclusively in roots and for maintaining water balance and turgor pressure of xylem tissues under saline conditions (Marschner, 1995). The down regulation of K+ under saline condition led accumulation of Na+ ions in the tissues (Bandeh-Hagh et al., 2008). So, in this regard the greater capacity of Turpentine, Deorakhio and Olour to withstand higher salinity might be the result of efficiency of these rootstock seedlings for discriminatory uptake of K+ over Na+. The genotypes which maintained higher potassium content and lower sodium content in their tissues had the ability to tolerate the salinity stress. The rootstocks Turpentine, Deorakhio and Olour maintained higher K+/Na+ ratio in leaf and root tissues as they excluded Na+ by absorbing less amounts in root and in leaf. As per Samra (1985), mango could generally accumulate about 2.5 to 3 times more sodium than other species. Hence many mango varieties are sensitive to salt. Whereas, Schmutz (2000) reported higher K+ and K+/ Na+ ratios in roots of M. zeylanica which showed tolerance to salinity.
Nutrient composition under salinity stress
Calcium content in leaf tissues (Table 3) at 25 mM salinity stress decreased from 2.050% to 1.670%. The genotype Turpentine showed higher amount of Ca++content (1.665%) while the lower amount was recorded in Mylepelian (1.469%) at 50 mM salinity level. Under 100 mM salinity, the decrease in Ca++content was noticed in Turpentine (1.467%) and Mylepelian (1.224%). The marginal decrease in Ca++ content of root tissues (Table 4) from 0 to 25 mM was in the range of 3.628% to 2.336% in Turpentine and 2.368% to 2.038% in Mylepelian seedlings. At 100 mM salinity stress, the maximum amount of Ca++content was recorded in Turpentine (1.626%) and minimum was in Mylepelian (1.279%). Calcium, an essential element, could not only play a greater role to contain salinity but might also have contributed significantly for normal growth and development of plant. The increasing level of salinity caused the reduction in calcium content of leaf and root tissues in all mango genotypes. The higher amount of calcium was recorded in leaf and root tissues of Turpentine followed by Deorakhio and Olour which showed the ability of these rootstocks to minimize the ion specific toxicity particularly Na+ and Cl- through the maintenance of the membrane integrity (Rengel, 1992). Similar findings were also documented by Khayyat et al. (2016) in pomegranate.
The decreasing trend of Fe++ content was noticed in both leaf and root tissues with gradual increase in salinity levels from 25 to 100 mM salt concentration. Root tissues depicted the higher amount of Fe++ (Fig. 2) when compared to leaf tissues (Fig. 1). The Fe++ content of leaf tissues decreased with increasing salinity levels as in 25 mM [328.90 ppm (Turpentine) to 234.00 ppm (Mylepelian)], in 50 mM [232.99 ppm (Turpentine) to 157.06 ppm (Mylepelian)] and 189.42 ppm (Turpentine) to 128.69 ppm (Mylepelian) in 100 mM. The amount of Fe++ in root tissues reduced from 264.35 to 206.12 ppm in Mylepelian and 463.41 to

374.29 ppm in Turpentine with increase in salt stress from 25 to 50 mM. While at 100 mM salinity stress, the Fe++content varied from 168.98 to 294.42 ppm among the genotypes. The results of the current study depicted the reduction in iron content of both leaf and root tissues with graded level of salinity stress, it might be due to the down regulation of Fe++ due to toxicity of Na+ and Cl-. Iron had contributed for combating the adverse effect of salinity by reducing the level of Na+ (Mozafari and Ghaderi, 2018) in grape cuttings. In leaf tissues the Zn++ content (Fig. 3), ranged from 88.66 ppm to 125.76 ppm under 25 mM treatments while at 50 and 100 mM salinity stress it decreased from 55.17 to 47.44 ppm in Mylepelian and 97.21 to 84.07 ppm in Turpentine genotype, respectively. The content of Zn++ in root portion (Fig. 4) reduced from 56.12 ppm (25 mM) to 53.32 ppm (50 mM) in Vellaikolamban and 80.07 ppm (25 mM) to 74.80 ppm

Each value represents the mean value of three samples. Bars indicate the mean ± SE for each genotype at each level of salinity. Effect of salinity on Fe++ content in leaf tissues was significant at P Importar imagen 0.05 (at 0 mM, 25 mM, 50 mM and 100 mM salt concentration) using Fisher’s Least Significant Difference. (LSD at 5% = 0 mM-38.314, 25 mM-22.063, 50 mM-45.796, 100 mM-14.819)

Each value represents the mean value of three samples. Bars indicate the mean ± SE for each genotype at each level of salinity. Effect of salinity on Fe++ content in root tissues was significant at P Importar imagen 0.05 (at 0 mM, 25 mM, 50 mM and 100 mM salt concentration) using Fisher’s Least Significant Difference. (LSD at 5% = 0 mM-51.473, 25 mM-12.702, 50 mM-57.098, 100 mM-31.826)
(50 mM) in Turpentine. At 100 mM salinity stress, maximum amount of Zn++ was found in Turpentine (68.01 ppm) followed by Deorakhio (62.83 ppm) and Olour (58.93 ppm), whilst the least amount was recorded in Vellaikolamban (38.42 ppm) followed by Mylepelian (41.29 ppm) and Sabre (41.42 ppm). Zinc, an essential element, could not only involve in different metabolic activities like carbohydrate, protein, and nucleic acid synthesis but might also have contributed for activity of antioxidant enzymes during stress condition. The results indicated the reduction in Zn++ content with increase in salinity stress. The reduction in Zn++ under salinity might be a cause of damage to the Zn++ carriers and pumps under higher salinity

Each value represents the mean value of three samples. Bars indicate the mean ± SE for each genotype at each level of salinity. Effect of salinity on Zn++ content in leaf tissues was significant at P Importar imagen 0.05 (at 0 mM, 25 mM, 50 mM and 100 mM salt concentration) using Fisher’s Least Significant Difference. (LSD at 5% = 0 mM-9.428, 25 mM-23.46, 50 mM-15.755, 100 mM-8.425)

Each value represents the mean value of three samples. Bars indicate the mean ± SE for each genotype at each level of salinity. Effect of salinity on Zn++ content in root tissues was significant at P Importar imagen ” 0.05 (at 0 mM, 25 mM, 50 mM and 100 mM salt concentration) using Fisher’s Least Significant Difference. (LSD at 5% = 0 mM-5.878, 25 mM-6.865, 50 mM-6.987, 100 mM-5.867)
(Kholova et al., 2009). The higher Zn++ content was found in Turpentine followed by Deorakhio and Olour which showed their ability to combat the stress condition.
The Cu++ content found to markedly increased with increasing level of salinity in both leaf and root tissues. The data about Cu++ content in leaf tissue is presented in Fig. 5. The Cu++ content increased under 25 mM salinity with 73.00 ppm in Turpentine, whereas 53.46 ppm in Kitchener. Under 50 and 100 mM salinity, maximum amount was noted in Turpentine (100.21 ppm and 143.31 ppm,) and the minimum in Mylepelian (68.81ppm and 104.94 ppm), respectively. With regards to root tissues (Fig. 6), under 25 mM

salt stress content of Cu++ varied from 43.39 ppm (Mylepelian) to 60.23 ppm (Bappakkai). When plants were exposed to 50 and 100 mM salinity stress, lower amount of Cu++ was noticed (53.01 ppm and 66.10 ppm) in Mylepelian. While, higher amount was recorded in Bappakkai 75.23 ppm in 50 mM and 90.34 ppm in 100 mM treatments. The Mn++ content was also found to increase with increase in salinity levels (25-100 mM). The higher amount of Mn++ was recorded in the leaf tissues (Fig. 7) than in root tissues (Fig. 8). The Mn++ concentration in leaf tissue increased from 57.69 ppm to 64.120 ppm in Turpentine and 63.83 ppm to 79.60 ppm in Mylepelian when salt levels increased from 0 to 25 mM concentration. At 50 mM salinity stress, maximum amount of Mn++ was recorded (108.88 ppm) in Mylepelian and least was (81.97 ppm) in Turepentine. Under 100 mM salinity stress the increasing trend of Mn++was recorded 116.52 (Turpentine) to163.01 ppm (Mylepelian). In the root tissues, content of Mn++

Each value represents the mean value of three samples. Bars indicate the mean ± SE for each genotype at each level of salinity. Effect of salinity on Cu++ content in leaf tissues was significant at P Importar imagen 0.05 (at 0 mM, 25 mM, 50 mM and 100 mM salt concentration) using Fisher’s Least Significant Difference. (LSD at 5% = 0 mM-4.714, 25 mM-5.913, 50 mM-7.502, 100 mM-22.632)

Each value represents the mean value of three samples. Bars indicate the mean ± SE for each genotype at each level of salinity. Effect of salinity on Cu++content in root tissues was significant at P Importar imagen 0.05 (at 0 mM, 25 mM, 50 mM and 100 mM salt concentration) using Fisher’s Least Significant Difference. (LSD at 5%= 0 mM-4.683, 25 mM-3.828, 50 mM-3.841, 100 mM-9.353)
increased from lower (39.33 ppm) to higher 48.70 ppm under 25 mM salinity level. The drastic increase in Mn++ content from 58.75 to 106.22 ppm was recorded in Mylepelian when the salinity stress increased from 50 mM to 100 mM whereas the least increase was observed in Turpentine (49.43 to 65.82 ppm) at same level of salinity.
The Cu++ in plants could play a vital role in increasing activity of several antioxidant enzymes (Lombardi and Sebastiani, 2005) through which it might have contributed for ameliorating the adverse effect of salinity by scavenging the reactive oxygen species (ROS) generation. The micronutrient Cu++could also act as an essential element for phenolic compound

Each value represents the mean value of three samples. Bars indicate the mean ± SE for each genotype at each level of salinity. Effect of salinity on Mn++ content in leaf tissues was significant at P Importar imagen 0.05 (at 25 mM and 50 mM salt concentration) using Fisher’s Least Significant Difference. (LSD at 5% = 0 mM-NS, 25 mM-3.609, 50 mM-4.757, 100 mM-NS)

Each value represents the mean value of three samples. Bars indicate the mean ± SE for each genotype at each level of salinity. Effect of salinity on Mn++ content in root tissues was significant at P Importar imagen 0.05 (at 0 mM, 50 mM and 100 mM salt concentration) using Fisher’s Least Significant Difference. (LSD at 5% = 0 mM-2.634, 25 mM-NS, 50 mM-2.523, 100 mM-7.765)
synthesis and its deficiency reduced the phenol content in plant tissues (Dicko et al., 2006) which might have imparted defense mechanism against ROS generation (Ksouri et al., 2007). Despite the fact, application of Mn++ to plants under saline stress had improved their tolerance nature (Cramer, 1992). The toxicity of this element resulted in metabolic a lterations and imbalance in ion homeostasis at cellular level (Ducic and Polle, 2005). The current findings showed the more membrane damage in the tissues of Mylepelian, Kitchener and Vellaikolamban which indicated their sensitive nature to salinity compared to tolerant genotypes like Turpentine, Deorakhio and Olour in which the amount of Mn++ was in sufficient amount and not in higher or toxic level.
CONCLUSION
Results of the present study confirmed that the salinity stress (0 mM, 25 mM, 50 mM and 100 mM) has imbalanced the mineral nutrient composition in all the fifteen polyembryonic mango rootstock seedlings. Though there were variations noticed in macro and micro nutrient contents in response to salinity, yet at higher level of salinity the seedlings of Turpentine, Olour and Deorakhio have maintained balance of nutrients by avoiding the toxic effect of Na+ and Cl- ions. These rootstocks are found to restrict more prominently the up-regulation of Cl- ions from root to leaf tissues and maintained the K+/Na+ ratio under salinity stress. On the basis of overall results with respect to mineral nutrient content of the fifteen rootstock seedlings have showed their tolerance nature to salinity stress in the order of Mylepelian, Kitchener, Vellaikolamban, Sabre, Manipur, EC95862, Muvandan, Kensington, Kurukkan, Nekkare, Vattam, Bappakkai, Olour, Deorakhio and Turpentine.
Acknowledgments
The authors are thankful to the Director, ICAR - Indian Institute of Horticultural Research, Bengaluru, India for providing the requisite facility during the course of research work.
REFERENCES
Bandeh-Hagh, A., Toorchi, M., Mohammadi, A., Chaparzadeh, N., Salekdeh, G. H., and Kazemnia, H. 2008. Growth and osmotic adjustment of canola genotypes in response to salinity. J. Food Agr. and Envt., 6(2): 201
Cooper, W.C., Cowley, W.R. and Shull, A.V. 1952. Selection for salt tolerance of some subtropical fruit plants. Texas Avocado Soc. Yearbook, 5: 24-36.
Cramer, G.R. Kinetics of maize leaf elongation. II. 1992. Responses of a Na+ excluding cultivar and a Na+ including cultivar to varying Na/Ca salinities. J. Exp. Bot., 43: 857-864.
Dicko, H.M., Gruppen, H., Traore A.S., Voragen, A.G.J. and Berkel, W.J.H.V. 2006. Phenolic compounds and related enzymes as determinants of sorghum for food use. Biotechnol. Mol. Biol. Rev., 1: 21-38.
Ducic, T. and Polle, A. 2005. Transport and detoxification of manganese and copper in plants. Braz. J. Plant Physiol., 17(1): 103-112.
Hasegawa, P.M., Bressan, R.A., Zhu, J.K., Bohnert, H.J. 2000. Plant cellular and molecular responses to high salinity. Annu. Rev. Plant Physiol. Plant Mol. Biol., 51: 463–499.
Jackson, M.L. 1973. Soil chemical analysis. Prefice Hall (India) Pvt Ltd. New Delhi.
Khayyat, M., Tehranifar, A., Davarynejad, G. H. and Sayyari-Zahan, M.H. 2016. Effects of NaCl salinity on some leaf nutrient concentrations, non-photochemical quenching and the efficiency of the PSII photochemistry of two Iranian pomegranate varieties under greenhouse and field conditions: Preliminary results. J. Plant Nutr., 39(12), 1752-1765.
Kholova, J., Sairam, R.K., Meena, R.C. and Srivastava, G.C. 2009. Response of maize genotypes to salinity stress in relation to osmolytes and metal ions contents, oxidative stress and antioxidant enzymes activity. Biol. Plant.., 53: 249-256.
Ksouri, R., Megidiche, W., Debez, A., Falleh, H., Grignon, C. and Abdelly, C. 2007. Salinity effects on polyphenol content and antioxidant activities in leaves of the halophyte Cakilemaritima. Plant Physiol. Biochem., 45: 244-249.
Lombardi, L. and Sebastiani, L. 2005. Copper toxicity in prunuscerasifera: Growth and antioxidant enzymes responses of in vitro grown plants. Plant Sci., 168: 797-802.
Marschner, H. 1995. Mineral Nutrition of Higher Plants. Academic Press, London.
Mozafari, A. A. and Ghaderi, N. 2018. Grape response to salinity stress and role of iron nanoparticle and potassium silicate to mitigate salt induced damage under in vitro conditions. Physiol. Mol. Biol. Plants, 24(1): 25-35.
Naqvi, S.A.M.H. 2007. Diseases and disorders of Mango and their management by Om Prakash, In: Diseases of fruits and vegetables-Diagnosis and management Volume 1. S.A.M.H. Naqvi. Kluwer (eds.) academic publishers USA. pp.1- 605.
Nellemann, C. 2009. The environmental food crisis: the environment’s role in averting future food crises: a UNEP rapid response assessment. UNEP/Earthprint.
NHB 2018. Horticulture Statistics Division, Department of Agriculture, Cooperation & Farmers Welfare Ministry of Agriculture & Farmers Welfare, Government of India, Oxford University Press, New Delhi, India. 1-490pp.
Nigam, J.K. and Misra, K.K. 2004. Uptake and distribution of nutrient ions in salt treated seedlings of mango germplasm. Scientific Horticulture, 9: 1-13.
Qin, J., Dong, W.Y., He, K.N., Yu, Y., Tan, G.D., Han, L., Dong, M., Zhang, Y.Y., Zhang. D., Li, Z.A., Wang, Z.L. 2010. NaCl salinity-induced changes in water status, ion contents and photosynthetic properties of Shepherdia argentea (Pursh) Nutt. seedlings. Plant Soil Environ., 56: 325-332.
Rengel Z., 1992. The role of calcium in salt toxicity. Plant Cell Environ., 15: 625-632.
Samra, J.S. 1985. Comparative sodium accumulation and its toxicity in mango, guava and ber. Indian Journal of Horticulture, 42(3-4): 178-183.
Sarma, V.A.K., Krishna, P. and Budihal, S.L. 1987. Soil resource mapping of different states in india- A laboratory Manual. NBSS&LUP. 49.
Shmutz, U. 2000. Effect of salt stress (NaCl) on whole plant CO. gas exchange in mango. Acta Hortic.,509: 269-276.
Silva, J.M. Da Gheyi, H.R. Fernandes, P.D. Oliveira, F.H.T. and De Soares, F.A.L. 2004. Macro- and micronutrient and sodium contents in leaves of mango rootstocks irrigated with water with different levels of salinity. [Portuguese] Proceedings of the InterAmerican Society for TropicalHorticulture (ISTH), 47: 213-217.
Skoog D. A., West, D.M. and Holler, F.J. 1996. Fundamentals of analytical chemistry, 7th Edition, Thomson Learning, Inc, USA.