Educación Superior
Indicadores educativos en escuelas del segundo y tercer cordón de La Matanza
EDUCATIONAL INDICATORS IN SCHOOLS OF THE SECOND AND THIRD CORDON OF LA MATANZA
Indicadores educativos en escuelas del segundo y tercer cordón de La Matanza
Revista de Investigación del Departamento de Humanidades y Ciencias Sociales, núm. 22, pp. 83-100, 2022
Universidad Nacional de La Matanza

Recepción: 18 Febrero 2022
Aprobación: 31 Octubre 2022
Resumen: Este trabajo se enmarca en un proyecto de investigación sobre el pasaje del nivel medio al superior. Debido a la gran diversidad al interior de La Matanza y al reconocimiento del impacto de las desigualdades sociales en las posibilidades de egreso, nos enfocamos en las escuelas correspondientes al segundo y tercer cordón. Presentamos un relevamiento y sistematización de los indicadores de proceso para el periodo 2017-2019. En nuestro análisis exponemos resultados preliminares con respecto a las diferencias entre cordones, el contraste con los datos generales del distrito y las posibles relaciones entre indicadores. Finalmente, discutimos el acceso a la información y las limitaciones de los datos disponibles.
Palabras clave: nivel medio, conurbano, indicadores educativos.
Abstract: This work is part of a research project on the passage from middle to higher level. Due to the great diversity within La Matanza and the recognition of the impact of social inequalities on graduation possibilities, we focused on the schools corresponding to the second and third cordons. We present a compilation and systematization of the process indicators for the 2017-2019 period. In our analysis we expose preliminary results regarding the differences between cordons, the contrast with the general data of the district and the possible relationships between indicators. Finally, we discuss access to information and the limitations of the available data.
Keywords: middle level, suburbs, educational indicators.
Introducción
La masificación de la educación en América Latina y la ampliación de las posibilidades de los jóvenes de acceder a ella han sido abordadas por diversos autores. García de Fanelli y Adrogué (2019) sugieren trascender el foco en las políticas públicas y en la evaluación de los indicadores de acceso y graduación, con el objeto de profundizar el análisis de las diferencias institucionales y cómo estas se asocian con la estratificación social. Específicamente en el ámbito universitario, dicha masificación ha conducido a una modificación del perfil de los estudiantes. Las investigaciones han avanzado sobre la incorporación de jóvenes pertenecientes a la clase media (Hernández y Garbarini, 2010; Carli, 2012) y sobre el más reciente ingreso de estudiantes provenientes de estratos sociales bajos (Tiramonti y Ziegler, 2008; Carli, 2012; Chiroleu, 2013).
Cerezo (2017) analizó particularmente las trayectorias y experiencias de estos nuevos estudiantes universitarios, focalizando en los factores que habilitan y constriñen su tránsito por la institución. Su investigación puso en relación las posibilidades de egreso y las desigualdades sociales. La Universidad de La Matanza (UNLaM) cuenta con información sobre las trayectorias de los estudiantes que ingresan a esta institución, tanto del Departamento de Alumnos que realizan las inscripciones como de la Dirección de Pedagogía Universitaria en relación con el programa Nexos. A esto se suma la información que pueden ofrecer la Secretaría Académica y la Secretaría Informática.
A pesar de la implementación del programa Nexos, así como de otras estrategias que se llevan a cabo (como el ofrecimiento de becas), muchos estudiantes quedan por fuera del alcance de la UNLaM, es por ello que la Universidad evaluó la importancia de conocer sus trayectorias. Teniendo en cuenta las características del acceso al sistema educativo en Argentina -particularmente las transformaciones ocurridas a partir de la obligatoriedad del nivel medio (Leivas, 2017)- y su especificidad en el conurbano bonaerense, resulta de interés conocer las diversas realidades dentro de La Matanza en lo que respecta a la educación en el nivel medio. Un mayor conocimiento de las distintas realidades de este nivel contribuirá a la comprensión de los desafíos que enfrentan quienes transitaran el nivel superior a la vez que arrojará luz sobre las características de la población estudiantil que no realiza este recorrido. En este marco iniciamos un proyecto de investigación sobre el pasaje del nivel medio al superior. Nos propusimos aportar una perspectiva global de las trayectorias educativas del ciclo de estudios de nivel medio en La Matanza y contribuir a capitalizar en el nivel superior las competencias previamente desarrolladas.
Debido a la pandemia tuvimos que dejar de lado la metodología trabajo de campo pensada y redefinir los objetivos inicialmente planteados por el equipo. Como resultado, nos hemos propuesto sistematizar los datos disponibles relativos al ingreso, permanencia y finalización de los estudios de nivel medio en La Matanza. Los materiales que presentamos aquí son un primer resultado de tal iniciativa. En primer lugar, indagamos el diseño general de la investigación y luego nos referimos a la metodología empleada para la obtención y el procesamiento de los datos presentados. A continuación, exponemos y discutimos los resultados obtenidos. Cerramos el trabajo con una reflexión sobre esta experiencia de trabajo y una anticipación de los próximos pasos de la investigación.
Diseño de la investigación
El municipio seleccionado tiene características polifacéticas, en él convergen barrios residenciales y barrios emergentes, empresas, fábricas y bolsones de marginalidad cultural, trabajan profesionales, técnicos, obreros y hay un alto porcentaje de desocupados. Es uno de los 135 partidos de la Provincia de Buenos Aires, el más extenso que a su vez limita con la CABA y que según el Censo 2010 tiene 1.775.816 habitantes. Si algo caracteriza a la unidad territorial de estudio es su creciente complejidad, diversificación y segregación residencial, además de su índice de pobreza (Programa de Estudios del Conurbano, 2016; Tallarico, 2020). Steinberg (2014), en su estudio de las escuelas secundarias urbanas de Argentina, caracteriza a La Matanza como un escenario de bajo porcentaje de abandono escolar, pero con un elevado nivel de concentración entre las escuelas.
Las desigualdades entre los cordones del conurbano que la conforman es el motivo de la elección de nuestros casos de análisis. El cordón 2 es menos denso que el 1, con población más joven, mayor proporción de clase media baja y baja, con espacios vacíos sin habitar y los habitados con mayor grado de hacinamiento. De acuerdo a los resultados de la encuesta de condiciones de vida, en el cordón 1 el 6,5% de su población es pobre, mientras que en el cordón 2 ese porcentaje asciende al 23,8%. Por su parte en el cordón 3 finaliza la zona urbana y es una zona semirural, en la cual el 37% de su población es pobre (Jefatura de Gabinete de la Municipalidad de La Matanza, 2009; Programa de Estudios del Conurbano, 2016). Es en base a estos datos que anticipamos una mayor cantidad de jóvenes en situación de vulnerabilidad educativa en los cordones 2 y 3 y por ello decidimos centrarnos en esos espacios. Recuperamos en este sentido la propuesta de Sabuda (2009), quien plantea que la identificación de relaciones entre las características socioculturales de los hogares con los rendimientos escolares da cuenta de la vulnerabilidad educativa.
Inicialmente la investigación contemplaba una metodología mixta, que articulaba enfoques cuantitativos y cualitativos con un claro énfasis en el trabajo de campo. Frente a la imposibilidad asistir a las instituciones educativas nos enfocamos en sistematizar los datos estadísticos disponibles. Elegimos trabajar con indicadores por tres motivos: su disponibilidad, la posibilidad de complejizar progresivamente la interpretación y su potencialidad comparativa. Morduchowicz (2018) define el concepto de indicador educativo como expresiones sintéticas que reflejan parcialmente una realidad compleja. Justamente porque un mismo fenómeno puede requerir más de un indicador es que se generan sistemas de indicadores, los cuales pueden abordarse en distintos niveles de profundidad (desde observaciones descriptivas hasta interpretaciones y explicaciones de los fenómenos). El trabajo que aquí presentamos se encuentra en el primer nivel de análisis.
En esta oportunidad nos enfocaremos en indicadores de proceso, aquellos que abordan las trayectorias de los estudiantes en el proceso de enseñanza-aprendizaje a partir de las dimensiones de acceso y flujo. En investigaciones futuras se podrá explorar la potencialidad de articular estos indicadores con otros de los propuestos por el Sistema Nacional de Indicadores Educativos: contexto demográfico y socioeconómico, recursos, resultados e impacto.
Metodología
En primer lugar, se relevaron los siguientes repositorios:
· Base de Datos estadísticos del Ministerio de Educación (https://www.argentina.gob.ar/educacion/evaluacion-e-informacion-educativa)
· Repositorio DINIECE - Dirección Nacional de Información y Evaluación de la Calidad Educativa.
· Información del Sistema de Información de Tendencias Educativas de América Latina (SITEAL) (https://siteal.iiep.unesco.org/)
· CGECSE (Coordinación General de Estudio de Costos del Sistema Educativo) dependiente de la Secretaría de Educación del Ministerio de Educación, Ciencia y Tecnología.
· Consejo Escolar La Matanza.
· Secretaría de Asuntos Docentes de La Matanza.
· DPTI - Servicios ABC - Dirección Provincial de Tecnología de la Información.
· Observatorio de Argentinos por la educación.
· Secretaría académica UNLaM
· Dirección de Pedagogía Universitaria UNLaM
· Secretaría informática UNLaM
Las dificultades iniciales que encontramos para la sistematización de la información fueron de acceso y escala: no todos los datos públicos están efectivamente disponibles para consulta y la información a la que en efecto podíamos acceder estaba organizada generalmente a escala provincial o, en el mejor de los casos, de partido. Por ejemplo, el Anuario Estadístico Educativo ofrece datos hasta el 2018 desagregados solo a nivel provincial. El portal de Dirección Nacional de Información y Evaluación de la Calidad Educativa (DINIECE, 2005) aloja la base de datos de correspondiente a los Cuadernillos de Relevamiento de la Provincia de Buenos Aires del Nivel Secundario, la información se encuentra desagregada por distritos, pero no existe información detallada por escuela dentro del Distrito o según cordón. Intentamos solicitar autorizaciones a diferentes áreas de la Dirección General de Cultura y Educación y a la Jefaturas Distritales correspondientes para tener acceso a la información con mayor grado de discriminación, sin embargo, no obtuvimos respuestas.
Frente a esta situación optamos por compilarla información de acceso público que se encontraba individualizada. Para ello recurrimos al mapa escolar de la Dirección de Información y Estadística, (Área Planeamiento) organismo dependiente de la Dirección General de Cultura y Educación, de la provincia de Buenos Aires (http://mapaescolar.abc.gob.ar/mapaescolar/). En dicho mapa se encuentran identificadas con un icono las escuelas de nivel medio de gestión estatal. Ingresando a cada uno de estos iconos es posible acceder a las tasas de salidos sin pase, no promovidos, promovidos, egresados por finalización de nivel, sobreedad avanzada y retención de la institución en cuestión. Relevamos todos los casos presentes correspondientes al 2do y 3er cordón de La Matanza, cabe aclarar que si bien el mapa escolar es un recurso muy completo aun así hay escuelas para las que no está disponible la información.
Se procedió a cargar en una planilla de Excel los datos estadísticos de todas las escuelas disponibles para los años 2017, 2018 y 2019 y se los clasificó por cordón. Aquí encontramos otra limitante en la información disponible, es usual que las escuelas informen solo algunos de los indicadores solicitados. Por lo cual el total de datos informados varía de acuerdo al indicador y al año. Se tuvieron en cuenta además las tasas correspondientes al Distrito de La Matanza como un todo (Región 3) y a la provincia de Buenos Aires. Una vez confeccionada la base de datos, en una primera instancia se buscó elaborar comparaciones entre cordones, distrito y provincia, así como a comparaciones interanuales. Luego se exploró la relación entre los indicadores.
Resultados y discusión
El mapa escolar brinda información de las 99 escuelas de nivel medio de gestión estatal pertenecientes al cordón 2; mientras que para el cordón 3, de 52 escuelas contamos con datos para 50. En la figura 1 puede observarse para cada indicador y año el número de escuelas del cordón 2 cuyos datos se encuentran disponibles y también el porcentaje que representan del total registrado. La misma información para el cordón 3 se despliega en la figura 2. Como puede apreciarse, en ambos casos los promovidos, la retención anual y la sobreedad suelen estar informados mientras que para los indicadores de salidos sin pase y egresados por finalización de nivel los datos usualmente son más incompletos.


El hecho de que los valores disponibles se encuentren ya procesados por escuela y expresados en porcentaje limita las posibilidades de comparación. Esto se debe a que no es posible ponderar de qué manera cada escuela aporta al promedio general, dado que no se informa el número de estudiantes por escuela en cada año. A pesar de estas limitaciones es posible realizar algunas observaciones preliminares en relación a los datos generales del distrito y las diferencias entre cordones, así como explorar posibles relaciones entre indicadores, tal como veremos a continuación.
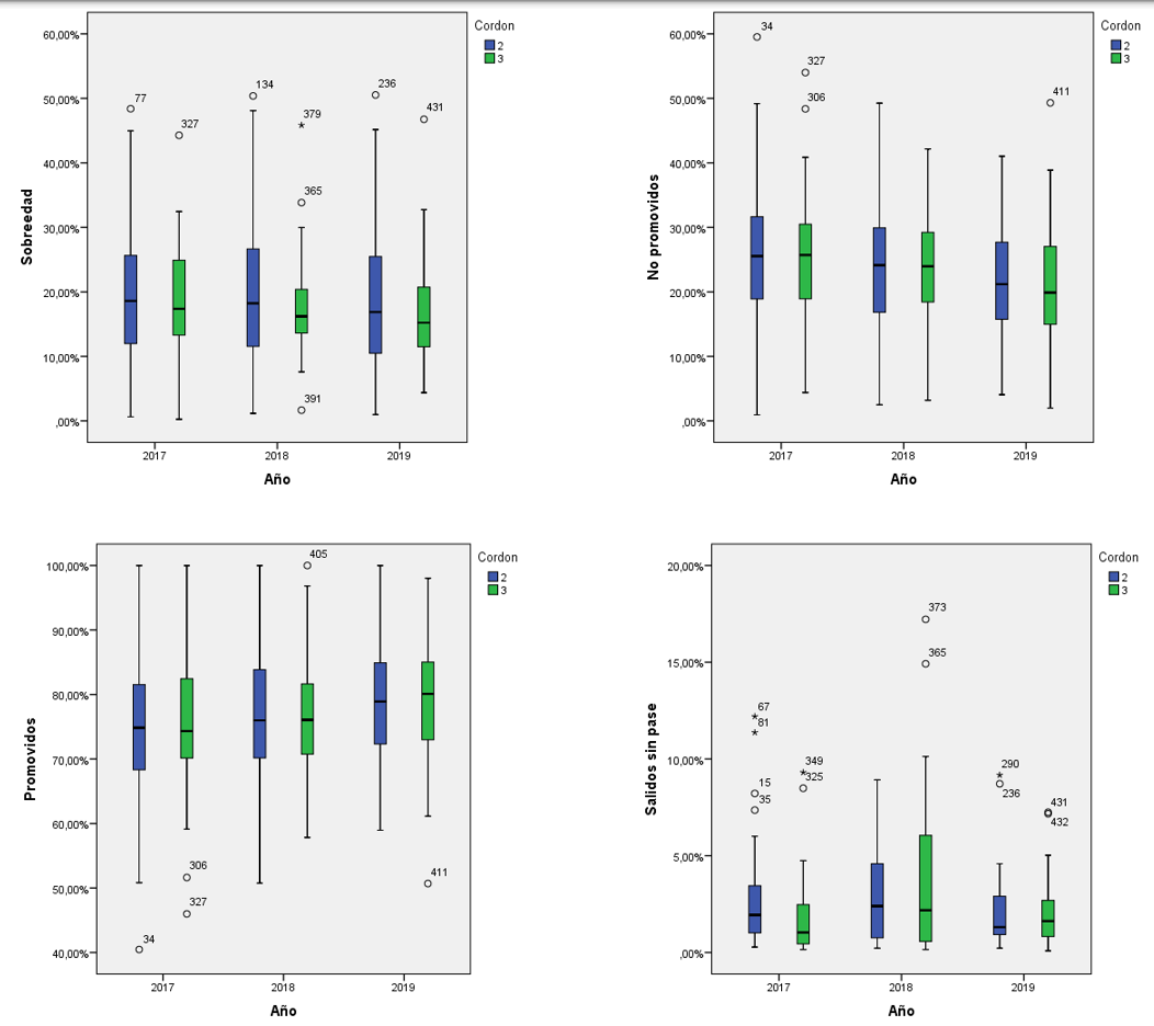
En la figura 3 presentamos una primera mirada comparativa a los indicadores de cada Cordón. Por una parte, el porcentaje de salidos sin pase de ambos cordones en todos los años es superior al promedio distrital y provincial. Ahora bien, si comparamos los valores de los indicadores para cada escuela con aquellos correspondientes al Distrito de La Matanza (Región 3) observamos que la tasa de salidos sin pase se mantiene por encima de manera constante en un alto porcentaje de las escuelas del segundo cordón: el 78.26% en 2017, el 64.45% en 2018 y el 76,92 % en 2019 tuvieron una tasa mayor a la del distrito. Mientras que para el tercer cordón solo se manifiesta una diferencia de este tipo para 2019, con el 77,27% de las escuelas por encima de la tasa distrital.

Por otra parte, pueden observarse las fluctuaciones anuales, entre las que se destaca una tendencia a la baja en los no promovidos y, más levemente, en la sobreedad avanzada, en ambos cordones y en consonancia con el comportamiento a nivel distrital y provincial. Concretamente, en el segundo cordón entre 2017 y 2018 el 66,67% de las escuelas analizadas bajaron su tasa de no promovidos. El porcentaje de esta baja se incrementa levemente del 2018 al 2019 (68,97%). En el tercer cordón alrededor de la mitad de las escuelas (52,17%) realizaron una baja en dicha tasa durante el primer periodo. Mientras que entre 2018 y 2019 observamos un aumento del porcentaje de escuelas (63,27%) del tercer cordón que baja su tasa de no promovidos.
Con respecto a la dispersión de los datos, se destacan los indicadores de sobreedad y promovidos -junto a su contraparte no promovidos-(Figura 4). Además, para estos indicadores, en todos los años registrados la dispersión es mayor en el cordón 2. En el caso de salidos sin pase, si bien nos encontramos con datos menos dispersos en su conjunto, interesa señalar que hay mayor presencia de valores extremos (Figura 4).

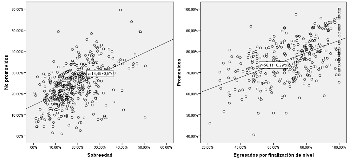
Las características de los datos disponibles, expresados en términos de porcentaje y sin disponibilidad del número de estudiantes por escuela, también impide seguir el flujo de estos y por lo tanto limita la comparación entre indicadores. Sin embargo, podemos señalar algunas relaciones entre indicadores que muestran correlaciones significativas.


Tal como se expresa en la Figura 5, en ambos cordones se observa una correlación entre no promovidos y sobreedad y entre egresados y promovidos. Además, en el cordón 3 identificamos una correlación entre salidos sin pase y sobreedad. Por último, no se encontró evidencia de que la retención anual se relacione significativamente con ninguno de los otros indicadores.
Consideraciones finales
En la presentación nos hemos referido a que este proyecto surge de un interés institucional, de la intención de la UNLaM de conocer las características de los estudiantes de nivel medio de su distrito. Si bien no fue posible realizar el trabajo en territorio que nos habíamos propuesto, el redireccionamiento de nuestros objetivos nos enfrentó a situaciones igualmente relevantes para la problemática en cuestión. Concretamente, es sintomática la dificultad de acceso a los datos disponibles y esto redunda en un bajo aprovechamiento de los recursos producidos y/o o en la multiplicación innecesaria de los esfuerzos realizados. El hecho de que al momento de terminar la redacción de este trabajo los datos aquí empleados ya no se encuentren disponibles para el acceso público es otra muestra de la fragilidad del acceso a la información.
Dentro de las limitaciones señaladas, hemos podido mostrar algunas características específicas en el segundo y tercer cordón que se desprende de los datos disponibles. Entre ellas se destacan la dispersión de los datos en los indicadores de sobreedad y promoción y un descenso continuado del porcentaje de no promovidos, principalmente en el segundo cordón. Asimismo, las correlaciones observadas entre los indicadores podrán orientar indagaciones futuras. De momento nos sugieren una relación en el tercer cordón (salidos sin pase/sobreedad) que no se evidencia en el segundo y cuyo estudio creemos amerita ser profundizado.
Para finalizar quisiéramos indicar que la información aquí presentada continuará siendo trabajada puesta en relación con otros datos referentes a la población que ingresa a la UNLaM. A partir de la información brindada por la Secretaría Académica pudimos establecer que alrededor del 50% de quienes se inscriben provienen de escuelas de gestión estatal de La Matanza. Y que, dentro de ellas, particularmente un 25% corresponde a escuelas del segundo cordón y un 10% a escuelas del tercer cordón. Es nuestra intención continuar nuestra investigación profundizando en la relación de las escuelas de dichos cordones con la UNLaM.
Referencias bibliográficas
Carli, S. (2012). El estudiante universitario: hacia una historia del presente de la educación pública. Siglo Veintiuno Editores.
Cerezo, L. (2017). Primeros pasos en la universidad pública de jóvenes en situación de vulnerabilidad social: Sus experiencias vinculadas al tiempo, espacio y saberes. Propuesta educativa, 48, 74-82.
Chiroleu, A. (2013). Políticas públicas de Educación Superior en América Latina: ¿democratización o expansión de las oportunidades en el nivel superior? Espacio Abierto, 22(2), 279-304.
García de Fanelli, A. y Adrogue, C. (2019). Equidad en el Acceso y la Graduación en la Educación Superior: Reflexiones desde el Cono Sur. Education Policy Analysis Archives 27, 1-38.
Hernández, G. y Garbarini, L. (2010). El estado benefactor y la expansión del sistema educativo en Argentina. En Toribio, D. (comp.) La universidad en la Argentina: miradas sobre su evolución y perspectivas. Universidad Nacional de Lanús.
Jefatura de Gabinete de la Municipalidad de La Matanza. (2009). Objetivos del Milenio en el Municipio de La Matanza. Desarrollo Metodológico y Estado de Situación 2009. https://es.scribd.com/document/458210292/Objetivos-del-Milenio-en-La-Matanza-pdf
Leivas, M. (2017). Desigualdad Educativa en contextos de obligatoriedad de la Educación Secundaria: Un estudio sobre el comportamiento de la matrícula y los indicadores de eficiencia interna en el país y en la provincia de Buenos Aires, durante el período 2001/2015. Propuesta educativa, 48, 97-99.
Ministerio de Educación, Ciencia y Tecnología (2005). Sistema Nacional de Indicadores Educativos. Red Federal de Información Educativa.
Morduchowicz, A. (2018). El fascinante mundo de los indicadores educativos: De la descripción a la explicación. Propuesta educativa, 49, 8-17.
Programa de Estudios del Conurbano. (2016). Atlas del Conurbano Bonaerense. http://www.atlasconurbano.info/
Sabuda, F. (2009) ¿Quién es vulnerable en la escuela? Análisis territorial de rendimientos educativos y contexto sociocultural en el Partido de General Pueyrredón, Argentina. Cuadernos de Geografía: Revista Colombiana de Geografía, 18, pp. 45-57.
Steinberg, Cora (2014). Abandono Escolar en las Escuelas Secundarias Urbanas de Argentina: Nuevos Indicadores para el Planeamiento de Políticas de Inclusión Educativa. Education Policy Analysis Archives/Archivos Analíticos de Políticas Educativas, 22, pp. 1-26.
Tallarico, V. (2020). Caracterización del AMBA. Entre la promoción de la autonomía y la reproducción de la subordinación. TeseoPress.
Tiramonti G. y Ziegler S. (2008). La educación de las elites. Aspiraciones, estrategias y oportunidades. Paidós.
GLOSARIO
Programa Nexos: El Programa NEXOS es una estrategia de integración entre los distintos niveles y ámbitos del sistema educativo para estimular la continuidad en los estudios universitarios y evitar la deserción. Está sustentado en dos subprogramas: Universidad – Escuela Secundaria y Universidad – Institutos De Educación Superior.La línea de articulación Universidad-Escuela Secundaria se está llevando a cabo a través de tres líneas de financiamiento: una Convocatoria a universidades nacionales, provinciales e institutos universitarios; la selección de proyectos de tutorías académicas en escuelas secundarias para universidades públicas y otra similar para universidades privadas y la producción audiovisual de material educativo.Convocatoria Articulación Universidad-Escuela SecundariaLa convocatoria contó 71 proyectos seleccionados, con una inversión total de más de 62 millones de pesos destinados al desarrollo de propuestas de articulación y un plazo de hasta doce meses para su aplicación.Los proyectos seleccionados comprenden líneas de trabajo que tienden a reducir la distancia material y cultural entre los jóvenes y la educación superior, como tutorías, producción de material educativo y capacitación docente continua. El objetivo es generar en los estudiantes un acercamiento a la vida universitaria y sus diferentes ofertas académicas, así como también ayudarlos en la elección de las carreras en función de sus intereses y necesidades regionales. Como ejemplo pueden mencionarse la participación de estudiantes secundarios en talleres que dictan las universidades; prácticas en los laboratorios de la universidad; juegos de simulación vinculados con la oferta académica; charlas de profesionales referente a la actividad que desarrollan; etc.A la vez, se prevé la producción de recursos educativos para la formación de los jóvenes que se orienten a promover la continuidad de sus estudios. La producción de materiales contempla la Proyección de NEXOS HACIA LA MODALIDAD VIRTUAL.
Experiencias innovadoras: Esta línea contempla la realización de tutorías en áreas prioritarias para los estudiantes de 5to y 6to año del secundario, a cargo de docentes y estudiantes avanzados de las universidades. Tiene como objetivo promover la permanencia y terminalidad de los estudios medios, así como la continuidad de estudios en el nivel superior. Al momento, fueron seleccionadas 16 universidades públicas en todo el país para llevar adelante las acciones.Esta misma experiencia también se realiza como prueba piloto con Instituciones Universitarias de gestión privada a fin de evaluar la factibilidad e impacto de la iniciativa. En total, son 12 universidades de gestión privada que desarrollan las tutorías y su selección estuvo a cargo de la Secretaría de Políticas Universitarias con asesoramiento Consejo de Rectores de Universidades Privadas (CRUP) y se realizó considerando la experticia institucional en el desarrollo de este tipo de actividades.Producción de Material Educativo AudiovisualFinalmente, también como parte del Programa Nexos, se lleva adelante en conjunto con el Consejo Interuniversitario Nacional (CIN) una propuesta para la producción de material educativo audiovisual y contenido en formato digital. Los recursos educativos que se produzcan serán de libre acceso, es decir: materiales de enseñanza, aprendizaje o investigación que se encontrarán en el dominio público y serán publicados con una licencia de propiedad intelectual que permita su utilización, adaptación y distribución gratuita.Además, se presentó una propuesta relacionada al equipamiento de ruteo para cada punto de la red, en atención a que en el proceso de renovación de los enlaces que unen al conjunto completo de Universidades Nacionales y a éstas con otros espacios científicos y académicos del mundo.https://www.argentina.gob.ar/noticias/programa-nexos-por-un-sistema-educativo-articulado-e-integrado#:~:text=El%20Programa%20NEXOS%20es%20una,Universidad%20%E2%80%93%20Institutos%20De%20Educaci%C3%B3n%20Superior.
Partidos: Las provincias argentinas se dividen en Departamentos, pero el caso de la Provincia de Buenos Aires es excepcional, ya que se divide en Partidos, que coinciden con los Municipios, que se caracterizan por ser una jurisdicción gobernada por una autoridad electa (el Intendente).Gran Buenos Aires (GBA) En el año 2003 el INDEC comienza a utilizar el concepto de Gran Buenos Aires. Esta área comprende el aglomerado de la Ciudad Autónoma de Buenos Aires y un conjunto de 24 partidos (respetando las divisiones administrativas). Estos últimos se pueden agrupar en primer y segundo cordón: Primer cordón: Avellaneda, Lanús, Lomas de Zamora, La Matanza (una parte), Morón, Tres de Febrero, San Martín, Vicente López, San Isidro. Segundo cordón: Quilmes, Berazategui, Florencio Varela, Esteban Echeverría, Ezeiza, Moreno, Merlo, Malvinas Argentinas, Hurlingham, Ituzaingó, Tigre, San Fernando, José C. Paz, San Miguel, La Matanza (otra parte), Almirante Brown. Cabe señalar que a partir del 1º de agosto de 2003 se referirá a estos 24 partidos como “Partidos del Gran Buenos Aires”, no se emplea, con este sentido al menos, la palabra “Conurbano”, y se dejará también de utilizar la expresión “Área metropolitana” en algunos cuadros del Censo de Población y en la Encuesta de Gasto de los Hogares.Fuente: INDEC, Ministerio de Economía y Producción, 2003: ¿Qué es el Gran Buenos Aires? Publicaciones del INDEC.El partido de La Matanza se encuentra ubicado en la provincia de Buenos Aires, dentro del sector denominado “Gran Buenos Aires”. Es el más extenso del conurbano, ya que cuenta con una superficie total de 325,71 kilómetros cuadrados. Limita al noroeste con la Ciudad Autónoma de Buenos Aires, al sudoeste con Cañuelas y Marcos Paz; al sudeste, con los partidos de Lomas de Zamora y Esteban Echeverría y Ezeiza; y, por último, al noroeste, con Marcos Paz, Merlo, Morón y Tres de Febrero.La Matanza está dividida en 15 localidades con cabecera en la localidad de San Justo. Las otras son: 20 de junio, Aldo Bonzi, Ciudad Evita, González Catán, Gregorio de Laferrere, Isidro Casanova, La Tablada, Lomas del Mirador, Rafael Castillo, Ramos Mejía, Tapiales, Villa Luzuriaga, Villa Madero y Virrey del Pino. A su vez el partido se conforma de tres cordones según se visualiza en el mapa.

Alumnos salidos sin pase: Alumno salido: Se utiliza este término en el Relevamiento Anual y hace referencia a la o el estudiante que dejó definitivamente de asistir al establecimiento en el transcurso del año lectivo y fue dada o dado de baja de los registros del curso. Se pueden presentar dos situaciones:Salido con pase: la o el que se va de la escuela a la que asistía con una inscripción (o pase) a otra escuela.Salido sin pase: la o el que se va de la escuela a la que asistía sin inscripción (o pase) a otra escuela.Fuente: Dirección de Información Educativa (Die), Ministerio de Educación, 2021: Relevamiento Anual, Provincia de Buenos Aires.
Alumnos no promovidos: Son aquellas o aquellos estudiantes matriculadas o matriculados al último día de clase que no han cumplido con los requisitos de aprendizaje correspondientes a un ciclo o año de estudio y no pueden cursar el ciclo o año de estudio siguiente en ninguna de las instancias previstas para ello (exámenes de fin de año o del período complementario).Fuente: Dirección Nacional de Información y Evaluación de la Calidad Educativa (DiNIECE), 2003: Definiciones Básicas para la Producción de Estadísticas Educativas, Ministerio de Educación, Ciencia y Tecnología.https://abc.gob.ar/secretarias/sites/default/files/2021-12/GLOSARIO%20EDUCATIVO.pdf
Notas de autor