Artículos Científicos
Suplementación de ácidos grasos omega-3 y marcadores de actividad de la artritis reumatoide
Omega-3 fatty acid supplementation on markers of disease activity in patients with rheumatoid arthritis.
Suplementación de ácidos grasos omega-3 y marcadores de actividad de la artritis reumatoide
Revista Ciencia Unemi, vol. 12, núm. 31, pp. 11-18, 2019
Universidad Estatal de Milagro

Recepción: 03 Junio 2019
Aprobación: 14 Agosto 2019
Resumen: El objetivo de la investigación fue determinar los efectos de la suplementación de ácidos grasos Omega-3 sobre marcadores de actividad de la enfermedad en pacientes con artritis reumatoide. Este estudio fue realizado en el Hospital Universitario de Maracaibo en el periodo de junio de 2016 a diciembre de 2018. Los pacientes fueron asignados para recibir 3 gramos/día de aceite de pescado durante 4 semanas y luego 5 gramos/día durante un periodo de 4 semanas. Se analizaron los marcadores de actividad de la enfermedad (factor reumatoide, tasa de sedimentación de eritrocitos y proteína C reactiva sérica) y el número de pacientes con mejoría clínica. Se observó disminución de los valores de factor reumatoide (p<0,0001) luego de 4 semanas de tratamiento y de los valores de factor reumatoide, tasa de sedimentación globular y proteína C reactiva sérica comparado a las 8 semanas con los valores iniciales (p<0,0001). A las 4 semanas, se observó mejoría en el número de articulaciones inflamadas y disminución de la cantidad de líquido sinovial (p<0,0001). Se concluye que la suplementación de ácidos grasos Omega-3 produce disminución de los marcadores de actividad de la enfermedad en pacientes con artritis reumatoide.
Palabras clave: Artritis reumatoide, Ácidos grasos Omega-3, Marcadores, Actividad de la enfermedad.
Abstract: The objective of research was to determine the effects of Omega-3 fatty acid supplementation on markers of disease activity in patients with rheumatoid arthritis. This study was conducted at the University Hospital in Maracaibo from June 2016 to December 2018. Patients were assigned to receive 3 grams/day of fish oil for 4 weeks and then 5 grams/day for a period of 4 weeks. The markers of disease activity (rheumatoid factor, erythrocyte sedimentation rate, and serum C-reactive protein) and the number of patients with clinical improvement were analyzed. A decrease in rheumatoid factor values (p <0.0001) as well as the values of rheumatoid factor, erythrocyte sedimentation rate, and serum C-reactive protein at 8 weeks compared to initial values (p <0.0001) was observed after 4 weeks of treatment. At 4 weeks, improvement in the number of inflamed joints and decrease in the amount of synovial fluid was observed (p <0.0001). It is concluded that Omega-3 fatty acid supplementation results in decreased markers of disease activity in patients with rheumatoid arthritis.
Keywords: Rheumatoid arthritis, Omega-3 fatty acids, Markers, Disease activity.
I. INTRODUCCIÓN
La artritis reumatoide es una enfermedad sinovial crónica, de origen desconocido, caracterizada por inflamación de las articulaciones, inflamación sinovial y destrucción del cartílago (McHugh, 2017; Tanaka, 2019). El tratamiento de los pacientes con artritis reumatoidea incluye educación, terapia física - ocupacional y administración de fármacos antirreumáticos modificadores de la enfermedad (Smolen et al., 2005; Singh et al., 2012). En esta enfermedad, el tratamiento base es el uso de fármacos para controlar el dolor y la inflamación. El tratamiento se inicia dé acuerdo con la condición del paciente (Singh et al., 2012). El metotrexato es actualmente el fármaco antirreumático modificador de la enfermedad preferido para pacientes con artritis reumatoide activa debido a su efectividad a largo plazo en la práctica clínica (Allen et al., 2018). No obstante, muchos pacientes no experimentan remisión de la enfermedad y continúan teniendo signos y síntomas de enfermedad activa mientras toman la dosis máxima tolerada (Karlsson et al., 2013).
La relación entre los ácidos grasos Omega-3 y la artritis reumatoide se ha valorado en varios estudios, pero muchas preguntas siguen sin respuesta. Su impacto en la regulación del sistema inmunológico y enfermedades inflamatorias es sorprendente. El ácido docosahexaenoico (22:6 omega-3) ejerce principalmente acciones antiinflamatorias, mientras que el ácido eicosapentaenoico (20:5 Omega-3) tienen efectos antiinflamatorios y pro-resolución de los daños tisulares (Ramirez et al., 2019). La suplementación de ambos ha demostrado que contribuyen a la mejoría clínica del tratamiento en pacientes con artritis reumatoide. Aunque se ha demostrado mejoría en parámetros clínicos, especialmente en el número de articulaciones sensibles, duración de la rigidez matutina y, con menos frecuencia, se consideran modestas las mejoras producidas por la suplementación de ácidos grasos omega-3 en la fuerza muscular, índice articular de Ritchie (Skoczyńska et al., 2018), evaluación médica global, intensidad del dolor (Lee et al., 2012) y respuesta clínica general (Kim et al., 2018). Otros estudios han investigado un posible papel de la suplementación de ácidos grasos Omega-3 como una estrategia preventiva para el tratamiento de bajo costo que debe agregarse a la terapia convencional para lograr un mejor control de la enfermedad, pero los resultados no son concluyentes (Karlsson et al., 2013; Allen et al., 2018; Ramirez et al., 2019).
El objetivo de la investigación fue determinar los efectos de la suplementación de ácidos grasos Omega-3 sobre marcadores de actividad de la enfermedad en pacientes con artritis reumatoide.
II. METODOLOGÍA
Este estudio fue de tipo prospectivo, longitudinal y explicativo con un diseño cuasi-experimental fue realizado en la consulta de Reumatología del Hospital Universitario de Maracaibo en el periodo de junio de 2016 a diciembre de 2018. Todos los participantes dieron su consentimiento informado y el protocolo de estudio fue aprobado por el comité de la Facultad de Medicina de La Universidad del Zulia, Maracaibo, Venezuela.
La muestra fue de tipo no probabilística para la cual los sujetos que fueron incluidos en este estudio tenían diagnóstico de artritis reumatoide, según los criterios del Colegio Americano de Reumatología (Ortiz y Shinada, 2012). Todos los pacientes recibían dosis bajas de corticosteroides (< 10 mg/día), metotrexato oral (dosis promedio 15 mg/semana) y ácido fólico 10 mg/semana, mientras que ocasionalmente se administraron antiinflamatorios no esteroides. Solo eran elegibles si la dosis de antiinflamatorios no esteroides y/o corticosteroides había sido constante durante al menos un mes antes de la inclusión, y permanecieron sin cambios durante el estudio, mientras que la dosis de fármacos antirreumáticos (corticosteroides y metotrexato) tenía que ser estable durante al menos dos meses antes de la inclusión y durante todo el estudio.
Los pacientes fueron asignados para recibir capsulas de aceite de pescado. Cada capsula contenía 1 gramo de aceite de pescado concentrado con 300 mg de ácido docosahexaenoico, 200 mg de ácido eicosapentaenoico y 100 mg de otros ácidos grasos Omega-3. La suplementación fue consumida diariamente después de las comidas durante las primeras 4 semanas seguidas de 5 gramos al día durante el siguiente periodo de 4 semanas. La intervención fue realizada mientras los sujetos continuaban tomando sus medicamentos para la patología base (antiinflamatorios no esteroides, metotrexato y prednisolona).
Todas las evaluaciones de los pacientes se realizaron antes del inicio de la suplementación y a las 4 y 8 semanas luego de iniciado el tratamiento. La evaluación clínica se realizó utilizando los siguientes criterios: número de pacientes con disminución de articulaciones inflamadas, con disminución del líquido sinovial, con mejoría de la evaluación clínica global y disminución de las articulaciones afectadas.
Las muestras de sangre venosa fueron tomadas después de 12 horas de ayuno al comienzo del estudio y después de 4 y 8 semanas de intervención. La evaluación bioquímica fue realizada mediante la determinación de parámetros sanguíneos: proteína C reactiva y factor reumatoide. Los valores de proteína C reactiva con kits de ELISA que tenían coeficientes de variablidad intra- e inter-ensayo de 8% y 9%, respectivamente (DBC-Diagnostic Biochem, Canada Inc). El factor reumatoide se cuantifico utilizando el método turbidimétrico con látex (Spin React, España). Todas las determinaciones fueron realizadas en el analizador automático Hitachi-902®. De manera simultánea, se tomó una pequeña muestra de la misma sangre y fueron colocadas en tubos capilares de 75 milímetros de longitud y diámetro interno de 1,1 milímetros (Propper®, EE.UU.) sin heparina. Se selló el tubo en su borde inferior con plastilina y se colocó en posición vertical a 90 grados sobre un soporte. Esta medición de la velocidad de sedimentación globular se llevó a cabo con una regla milimétrica desde el borde superior del plasma hasta el inicio de la columna de eritrocitos. Los resultados se expresaron como mm/hora y no se corrigieron de acuerdo al valor de hematocrito.
El análisis de los datos estadísticos se realizó utilizando el paquete estadístico SPSS 24.0 (SPSS Inc., EE.UU.), Considerando p < 0,05 como estadísticamente significativo. Los resultados se presentan como promedio +/- desviación estándar. Se aplicó la prueba de Kolmogorov-Smirnov para confirmar la distribución de los datos. El porcentaje de cambio desde la línea de base de los parámetros clínicos y de laboratorio fue evaluado al inicio del estudio y a las 4 y 8 semanas de intervención se evaluaron mediante ANOVA de una vía seguido de la prueba post hoc de Tukey o mediante la prueba U de Kruskal-Wallis y Mann-Whitney, dependiendo de la normalidad de los datos. Para evaluar los efectos de la suplementación, se aplicaron ANOVA de medidas de dos vías (grupo y tiempo), con pruebas post hoc de Bonferroni, cuando fue apropiado.
III. RESULTADOS
Se seleccionaron 42 sujetos con diagnóstico de artritis reumatoide que cumplieron los criterios de inclusión. La edad promedio de los pacientes al inicio del estudio (33 mujeres y 9 hombres) fue de 43 +/- 19 años (rango 25-65 años). La duración media de la enfermedad fue de 59 +/- 60 meses (12-180 meses). Todos los pacientes tenían la misma terapia antirreumática.
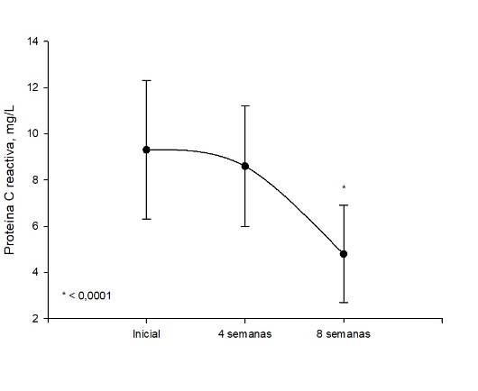
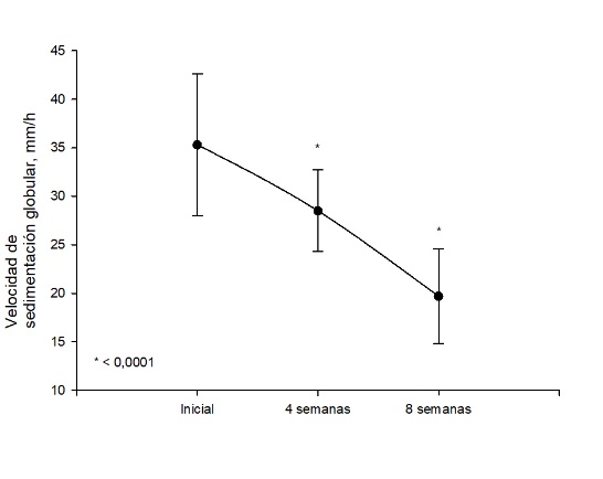
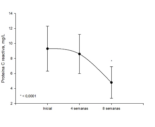
Los parámetros bioquímicos de los pacientes con artritis reumatoide se compararon antes y después de las 4 y 8 semanas de consumo de suplementos de ácidos grasos Omega-3 (tabla 1). Se observo disminución significativa en los valores de factor reumatoide (p < 0,0001) luego de 4 semanas de tratamiento. No se observaron diferencias estadísticamente significativas en los valores de velocidad de sedimentación globular y proteína C reactiva sérica en este periodo (p = ns). Luego de 8 semanas de tratamiento los valores de factor reumatoide (figura 1), velocidad de sedimentación globular (figura 2) y proteína C reactiva sérica (figura 3) presentaron disminuciones significativas al compararlos con los valores iniciales (p < 0,0001).
| Promedio +/- desviación estándar n = 42 | Inicial | 4 semanas | p* | 8 semanas | p* |
| Proteína C reactiva, mg/L | 9,3 +/- 3,0 | 8,6 +/- 2,6 | 0,2565 | 4,8 +/- 2,1 | < 0,0001 |
| Velocidad de sedimentación globular, mm/h | 35,3 +/- 7,3 | 28,5 +/- 4,2 | < 0,0001 | 19,7 +/- 4,9 | < 0,0001 |
| Factor reumatoide, u/mL | 60,6 +/- 8,2 | 56,9 +/- 9,2 | 0,0551 | 50,2 +/- 8,2 | < 0,0001 |



En la tabla 2 se muestra la evaluación clínica inicial de los pacientes y luego de 4 y 8 semanas de suplementación. A las 4 semanas, los pacientes presentaron mejorías significativas en el número de articulaciones inflamadas, disminución de la cantidad de líquido sinovial (p < 0,0001). No se observaron diferencias significativas en el número de articulaciones afectadas y evaluación global del paciente de la actividad de la enfermedad (p = ns). Luego de 8 semanas de tratamiento se encontró que la mejoría en el número de articulaciones inflamadas (p = 0,0122), y disminución de la cantidad de líquido sinovial (p = 0,0236) presentaban diferencias comparado con los valores iniciales. No obstante, no se encontraron diferencias significativas en la evaluación global del paciente de la actividad de la enfermedad y en número de articulaciones afectadas (p = ns).
| n (%) n = 42 | Inicial | 4 semanas | p* | 8 semanas | p* |
| Pacientes con diminución del numero de articulaciones inflamadas | 42 (100,0) | 27 (64,2) | < 0,0001 | 34 (80,9) | 0,054 |
| Pacientes con disminución de la cantidad de liquido sinovial | 42 (100,0) | 28 (66,6) | < 0,0001 | 35 (83,3) | 0,0119 |
| Pacientes con mejoría en la evaluación global del paciente | 0 | 8 (19,1) | 0,054 | 2 (4,8) | 0,4940 |
| Pacientes con disminución de las articulaciones afectadas | 42 (100,0) | 40 (95,2) | 0,4940 | 42 (100,0) | 1,0000 |
El promedio de peso e índice de masa corporal (tabla 3) no mostraron diferencias luego de 4 y 8 semanas después de la suplementación de ácidos grasos Omega-3 comparado con los valores iniciales (p = ns).
| Promedio +/- desviación estándar n = 42 | Inicial | 4 semanas | p* | 8 semanas | p* |
| Peso, Kilogramos | 70,9 +/- 12,1 | 71,3 +/- 12,4 | 0,8814 | 71,7 +/- 12,6 | 0,7674 |
| Indice de masa corporal, Kg/m2 | 26,2 +/- 4,5 | 26,4 +/- 4,6 | 0,8409 | 26,9 +/- 4,7 | 0,4877 |
IV. DISCUSIÓN
Los resultados del presente estudio muestran que la suplementación de ácidos grasos Omega-3 produce disminución significativa en los marcadores de actividad (proteína C reactiva y factor reumatoide, velocidad sedimentación globular), junto con el tratamiento antirreumático estándar, lo que demuestra que la disminución de la inflamación puede llevar a mejoría clínica de los pacientes con diagnóstico de artritis reumatoide. Los efectos benéficos de la suplementación de ácidos grasos Omega-3 han sido descritos frecuentemente y la dosis de 1 a 3 gramos de ácidos grasos Omega-3 utilizada en este y otros estudios es la dosis diaria mínima recomendada en pacientes con artritis reumatoide (Kim et al., 2018).
Los ácidos grasos Omega-3 son uno de los elementos reguladores de la biosíntesis de los prostanoides. Las prostaglandinas y leucotrienos tienen efectos sobre la formación, producción y liberación de factor de necrosis tumoral alfa e interleucina 1B (sustancias proinflamatorias). Además, apoyan la síntesis de mediadores que actúan en la resolución de la inflamación, tales como protectinas, resolvinas y maresinas. En consecuencia, esto se puede traducir en mejora significativa en las variables clínicas, así como los parámetros de actividad de la enfermedad (Karlsson et al., 2017; Ramirez et al., 2019).
En un estudio de 24 semanas demostró que los pacientes con artritis reumatoide tratados con 3 gramos/día de ácidos grasos Omega-3 presentaron disminución del dolor y rigidez matutina, así como mejor evaluación global de los pacientes (Berbert et al., 2005). Otros estudios han informado que la suplementación diaria durante tres meses fue suficiente para lograr mejoría clínica en estos pacientes (Das Gupta et al., 2009; Dawczynski et al., 2009). Una investigación no controlada con placebo en pacientes con artritis reumatoide que fueron sometidos a un programa dietético por 4 semanas con suplementación de ácidos grasos Omega-3, presentaron mejoría en el dolor, inflamación y sensibilidad de las articulaciones. No obstante, no presentaron cambios en la duración de la rigidez matutina ni en los valores de velocidad de sedimentación globular y proteína C reactiva (McKellar et al., 2007). Otro estudio también demostró que el consumo de suplemento de aceite de pescado provocaba disminución del número de articulaciones inflamadas y de la rigidez matutina (Brunborg et al., 2008). No obstante, algunos meta-análisis no han revelado efectos sobre la inflamación de las articulaciones y otras variables clínicas o evaluación global de los pacientes con artritis reumatoide (Calder, 2017; Gioxari et al., 2018). Los resultados de esta investigación confirman el hecho que la suplementación con ácidos grasos Omega-3 lleva a disminución significativa en el número de articulaciones inflamadas y cantidad de líquido sinovial luego de 8 semanas de tratamiento.
Varias investigaciones han demostrado la relación entre el consumo de ácidos grasos Omega-3 con la disminución de los parámetros inflamatorios asociados a la artritis reumatoide (Rajaei et al., 2015; Singh et al., 2016; Calder, 2017; Gioxari et al., 2018). Los resultados de diferentes investigaciones demostraron disminución las concentraciones del factor reumatoide y de la velocidad de sedimentación globular luego de 8 semanas de intervención, lo que es similar a los resultados de esta investigación (Berbert et al., 2005; Mazzone et al., 2019). Por otro lado, debido a la posibilidad de un aumento por otras causas, algunos estudios de meta-análisis no consideraron la velocidad de sedimentación globular como una prueba de respuesta apropiada (Singh et al., 2016). Además, otros estudios han considerado que el consumo Omega-3 no modifica la velocidad de sedimentación globular en pacientes con artritis reumatoide (Rajaei et al., 2015; Calder, 2017; Saidane et al., 2019). Sin embargo, parece las diferencias en estos resultados pueden deberse a la falta de consideración del papel de la alta oxidación en pacientes con artritis reumatoide (Singh et al., 2016; Calder, 2017).
Los efectos sobre las concentraciones de proteína C reactiva no están claros. La suplementación por 12 semanas con diferentes dosis de ácidos grasos Omega-3 (de 1,5 a 6 gramos/día) no disminuyó las concentraciones de proteína C reactiva comparado con el grupo de placebo (Fialkow, 2016). Parece que estos resultados son debidos a las diferentes dosis necesarias para producir modificaciones benéficas en los marcadores inflamatorios. Algunos estudios recientes han demostrado que los ácidos grasos omega-3 combinados con una dosis baja de vitamina E también pueden reducir la producción de marcadores inflamatorios en las células mononucleares de la sangre (Zhu et al., 2014). Esto conduce a disminución de la peroxidación lipídica de estos pacientes reduce los problemas cardiacos resultantes del uso prolongado de medicamentos, que es la principal causa de muerte en pacientes con artritis reumatoide (Zhu et al., 2014; Fialkow, 2016).
Además de los mediadores inflamatorios y los factores protrombóticos en pacientes con artritis reumatoide, los fármacos también alteran el endotelio vascular e influyen en el desarrollo de la enfermedad cardiovascular (Gioxari et al., 2018; Mazzone et al., 2019). Parece que el consumo de omega-3 en combinación con medicamentos estándar puede mejorar los síntomas de problemas cardiovasculares resultantes del uso crónico de dichos medicamentos, especialmente el metotrexato. Sin embargo, hasta ahora existen pocas pruebas que demuestren el impacto que tiene el control de la inflamación crónica en la reducción del riesgo de enfermedad cardiovascular (Sen et al., 2014; Jagpal y Navarro-Millán, 2018; Rawla, 2019).
V. CONCLUSIONES
Los resultados de la investigación demuestran que la suplementación de ácidos grasos Omega-3 produce disminución de los marcadores de actividad de la enfermedad en pacientes con artritis reumatoide.
Referencias
Allen, A., Carville, S., y McKenna, F. (2018). Diagnosis and management of rheumatoid arthritis in adults: summary of updated NICE guidance. British Medical Journal, 362, k3015.
Berbert, AA., Kondo, CR., Almendra, CL., Matsuo, T., y Dichi, I. (2005). Supplementation of fish oil and olive oil in patients with rheumatoid arthritis. Nutrition, 21(2), 131-136.
Brunborg, LA., Madland, TM., Lind, RA., Arslan, G., Berstad, A., y Frøyland, L. (2008). Effects of short-term oral administration of dietary marine oils in patients with inflammatory bowel disease and joint pain: a pilot study comparing seal oil and cod liver oil. Clinical Nutrition, 27(4), 614-22.
Calder, PC. (2017). Omega-3 fatty acids and inflammatory processes: from molecules to man. Biochemical Society Transactions, 45(5), 1105-1115.
Das, Gupta AB., Hossain, AK., Islam, MH., Dey, SR., y Khan, AL. (2009). Role of omega-3 fatty acid supplementation with indomethacin in suppression of disease activity in rheumatoid arthritis. Bangladesh Medical Research Council Bulletin, 35(2), 63-68.
Dawczynski, C., Schubert, R., Hein, G., Müller, A., Eidner, T., Vogelsang, H., Basu, S., y Jahreis G. (2009). Long-term moderate intervention with n-3 long-chain PUFA-supplemented dairy products: effects on pathophysiological biomarkers in patients with rheumatoid arthritis. British Journal of Nutrition, 101(10), 1517-1526.
Fialkow J. (2016). Omega-3 fatty acid formulations in cardiovascular disease: Dietary supplements are not substitutes for prescription products. American Journal of Cardiovascular Drugs, 16(4), 229-239.
Gioxari, A., Kaliora, AC., Marantidou, F., y Panagiotakos, DP. (2018). Intake of ω-3 polyunsaturated fatty acids in patients with rheumatoid arthritis: A systematic review and meta-analysis. Nutrition, 45, 114-124.e4.
Jagpal, A., y Navarro-Millán, I. (2018). Cardiovascular co-morbidity in patients with rheumatoid arthritis: a narrative review of risk factors, cardiovascular risk assessment and treatment. BMC Rheumatology, 2, 10.
Karlsson, JA., Neovius, M., Nilsson, JÅ., Petersson, IF., Bratt, J., van Vollenhoven, RF., Ernestam, S., y Geborek, P. (2013). Addition of infliximab compared with addition of sulfasalazine and hydroxychloroquine to methotrexate in early rheumatoid arthritis: 2-year quality-of-life results of the randomised, controlled, SWEFOT trial. Annals of Rheumatic Disease, 72(12), 1927-1933.
Kim, JY., Lim, K., Kim, KH., Kim, JH., Choi, JS., y Shim, SC. (2018). N-3 polyunsaturated fatty acids restore Th17 and Treg balance in collagen antibody-induced arthritis. PLoS One, 13(3), e0194331.
Lee, YH., Bae, SC., y Song, GG. (2012). Omega-3 polyunsaturated fatty acids and the treatment of rheumatoid arthritis: a meta-analysis. Archives of Medical Research, 43(5), 356-62.
Mazzone, R., Zwergel, C., Artico, M., Taurone, S., Ralli, M., Greco, A., y Mai, A. (2019). The emerging role of epigenetics in human autoimmune disorders. Clinical Epigenetics, 11(1), 34.
McHugh, J. (2017). Rheumatoid arthritis: Regulating the osteoclast workforce. Nature Reviews Rheumatology, 13(9), 514.
McKellar, G., Morrison, E., McEntegart, A., Hampson, R., Tierney, A., Mackle, G., Scoular, J., Scott, JA., y Capell HA (2007). A pilot study of a Mediterranean-type diet intervention in female patients with rheumatoid arthritis living in areas of social deprivation in Glasgow. Annals of Rheumatic Disease, 66(9), 1239-43.
Ortiz, EC., y Shinada, S. (2012). Evolution of classification criteria for rheumatoid arthritis: how do the 2010 criteria perform? Rheumatic Disease Clinics of North America, 38(2), 345-353.
Rajaei, E., Mowla, K., Ghorbani, A., Bahadoram, S., Bahadoram, M., y Dargahi-Malamir, M. (2015). The effect of Omega-3 fatty acids in patients with active rheumatoid arthritis receiving DMARDS therapy: Double-blind randomized controlled trial. Global Journal of Health Science, 8(7), 18-25.
Ramirez, JL., Gasper, WJ., Khetani, SA., Zahner, GJ., Hills, NK., Mitchell, PT., Sansbury, BE., Conte, MS., Spite, M., y Grenon, SM. (2019). Fish oil increases specialized pro-resolving lipid mediators in PAD (The OMEGA-PAD II Trial). Journal of Surgical Research, 238: 164-174.
Rawla, P. (2019). Cardiac and vascular complications in rheumatoid arthritis. Reumatologia, 57(1), 27-36.
Saidane, O., Semerano, L., y Sellam, J. (2019). Could omega-3 fatty acids prevent rheumatoid arthritis? Joint Bone Spine, 86(1), 9-12.
Sen, D., González-Mayda, M., y Brasington, RD Jr. (2014). Cardiovascular disease in rheumatoid arthritis. Rheumatic Disease Clinics of North America, 40(1), 27-49.
Singh, JA., y Cameron, DR. (2012). Summary of AHRQ's comparative effectiveness review of drug therapy for rheumatoid arthritis (RA) in adults--an update. Journal of Managed Care Pharmacy, 18(4 Supp C), S1-18.
Singh, S., Arora, RR., Singh, M., y Khosla, S. (2016). Eicosapentaenoic acid versus docosahexaenoic acid as options for vascular risk prevention: A fish story. American Journal of Therapeutics, 23(3), e905-e910.
Skoczyńska, M., y Świerkot, J. (2018). The role of diet in rheumatoid arthritis. Reumatologia, 56(4), 259-267.
Smolen, JS., Han, C., Bala, M., Maini, RN., Kalden, JR., van der Heijde, D., Breedveld, FC., Furst, DE., y Lipsky, PE (2005). Evidence of radiographic benefit of treatment with infliximab plus methotrexate in rheumatoid arthritis patients who had no clinical improvement: a detailed subanalysis of data from the anti-tumor necrosis factor trial in rheumatoid arthritis with concomitant therapy study. Arthritis Rheumatoid. 2005;52(4):1020-1030.
Tanaka, Y. (2019). Clinical immunity in bone and joints. Journal of Bone and Mineral Metabolism, 37(1), 2-8.
Zhu, H., Deng, FY., Mo, XB., Qiu, YH., y Lei, SF. (2014). Pharmacogenetics and pharmacogenomics for rheumatoid arthritis responsiveness to methotrexate treatment: the 2013 update. Pharmacogenomics, 15(4), 551-566.
Notas de autor
sippenbauch@gmail.com