Ecuación modelo operacional con aplicación de balance de materia en estado no estacionario
Ecuación modelo operacional con aplicación de balance de materia en estado no estacionario
Revista Ciencia Unemi, vol. 11, núm. 28, pp. 33-40, 2018
Universidad Estatal de Milagro

Recepción: 09 Noviembre 2017
Aprobación: 17 Agosto 2018
Resumen: El objetivo del presente trabajo fue determinar el modelo matemático de la ecuación operacional con aplicación del principio de balance de materia en estado no estacionario. Para la representación del proceso se utilizó un tanque con agua el cual simulada el caudal de entrada al tanque que contenía una solución concentrada de sacarosa de 33° Brix, y de este se desprendía un caudal de salida a un tercer tanque. Las muestras se recolectaron del caudal de salida del segundo tanque en un rango de tiempo de 30 segundos, se obtuvieron un total de 20 muestras; se evaluó la concentración en °Brix con análisis de laboratorio. En la parte operacional se realizó un balance de materia en estado no estacionario donde se determinó la ecuación modelo, donde al aplicar el tiempo en el cual se recolectó la muestra se determinaba su concentración en °Brix. Se analizó los datos arrojados por análisis de laboratorio y los obtenidos por aplicación de la ecuación modelo en el programa estadístico Statgraphics Centurion, el cual determinó que no existió diferencia significativa entre los datos estudiados. La ecuación modelo establecida para determinación de la concentración de una sustancia resulto útil en la investigación y para su aplicación en futuros estudios.
Palabras clave: ecuación modelo, balance de materia, estado no estacionario, simulación de proceso.
Abstract: Operational model equation applying material balance in a non-stationary state The aim of the present research work was to determine mathematical model of the operational equation applying non-stationary state material balance principle. A tank filled with water was used for the representation of the mechanical process, which simulated an input flow to a tank containing a 33° Brix sucrose concentrated solution, from where an output flow to a third tank was released. The samples were collected from the second tank output flow in time ranges of thirty seconds; a total number of twenty samples were obtained. For each sample, concentration in means of °Brix, was registered in laboratory facilities. In the operational part of the present research, a material balance in non-stationary state was utilized. The model equation for the previously mentioned state, where applying time when a sample was collected and its concentration by means of °Brix, was determined. Obtained data from laboratory analysis and from the model equation application were analyzed with statistical package Statgraphics Centurion XVI.I version XVI 16.1.18. For each data set compared, no significant differences were found. The established model equation for the determination of the concentration of a substance was useful in this investigation and it can be used in further research works.
Keywords: equation model, matter balance, non-stationary state, process simulation.
I. INTRODUCCIÓN
Normalmente para iniciar un nuevo proceso dentro de una industria es necesario empezar con su simulación a tamaño escala, para esto se debe recurrir a modelos matemáticos teóricos o semi-teóricos basados en representaciones conceptuales de los procesos (Gabanes, Santoyo, Sáez, & Manuel, 1985), estos sistemas de modelamiento y simulaciones operacionales ha ido incrementando durante los últimas dos décadas debido a altas tasas de procesamientos y configuraciones complejas de sistemas (Wei, Chenb, & Song, 2017).
(Pletcher, 2002) Indica que el balance de materia debería ser efectuado antes de un estudio de simulación para ayudar a disminuir los rangos de los múltiples parámetros que pueden ser ajustados durante la misma, así como la magnitud de los ajustes que deben ser considerados razonables. Los sistemas de procesos industriales suelen sufrir de restricciones de alguna manera, por tal motivo un estudio simulatorio de dicho proceso resulta de gran importancia (Dong & Guang-Hong, 2018).
En la industria, la metodología del balance de materia es aplicada en el control de la producción; el balance de materia debe corroborar que, en el proceso, todas las entradas son iguales a todas las salidas, de esta manera, se demuestra el principio de la conservación de la materia, es decir que la materia no se crea ni se destruye, únicamente se transforma (Gutiérrez, 2005). Según el principio de conservación de masas, el flujo de masa que entra en el sistema menos el flujo de masa que sale del sistema es igual a la velocidad de cambio de masa dentro del sistema (Ramirez, 2005).
Los balances de materia pueden ser en estado estacionario o en estado no estacionario. El balance de materia en estado no estacionario o transitorio se lo utiliza en los procesos continuos y semicontinuos, los procesos continuos también pueden ser en estado estacionario, pero los semicontinuos son exclusivamente no estacionarios, este balance de materia se lo aplica para resolver problemas en las industrias como en la iniciación de un equipo dentro de un proceso, para una renovación en una variable de un proceso y para reducir el tiempo de cálculo. Los modelos matemáticos según (Sulaberidze et al., 2011; Orlov et al., 2017), son modelos numéricos para resolver ecuaciones diferenciales que se basa en la aproximación de derivadas parciales con el fin de proporcionar una relación de similitud. Según (Guillén et al., 2016; Salinas-Oñate, Ortiz, Baeza- Rivera, y Betancourt, 2017; Ortiz y Fernández- Pera, 2018), los modelos matemáticos permiten desarrollar, evaluar y analizar datos de relación al comparar métodos habituales con modelos de ecuaciones.
Las operaciones en estado no estacionario se simulan a través de un sistema de ecuaciones diferenciales que, en situaciones particulares, no pueden resolverse analíticamente (Armijos J, 2001); para su resolución, se necesita conocer descripciones específicas como el espacio y el tiempo del interior del sistema (Gabanes et al., 1985).
La simulación dinámica considera que existe una acumulación de masa y energía que varía con el tiempo. Permite la descripción dependiente del tiempo, la predicción y el control de los procesos reales en tiempo real. Esto incluye la posibilidad de modelar la puesta en marcha y el cierre de una planta, los cambios de las condiciones debidos a fenómenos de transporte, mezcla, reacción, etc (López & Ignacio, 2004).
Las simulaciones dinámicas requieren un mayor tiempo de cálculo y son matemáticamente más complejas que una simulación en estado estacionario (Zhiqiang, 2017). Puede verse como una multiplicación repetida de una simulación en estado estacionario (basado en un paso de tiempo fijo) donde las variables fluctúan con el tiempo. (López & Ignacio, 2004).
Las concentraciones azucaradas y salinas están presentes en la industria alimentaria ya sea como materia prima, procesamiento o simplemente con un desecho (Cancino et al., 2009; Cuartas-Uribe et al., 2007). En la industria azucarera tiene diferentes etapas que son muy difíciles de controlar y caracterizar estas soluciones es de gran importancia para una buena toma de decisiones (Martínez et al., 2011). El estudio de balances de materia en soluciones azucaradas tiene particular relevancia debido a su aplicación en industrias alimenticias en donde se propenda a material comestible en conserva, especialmente en frutas (en el caso particular de Ecuador, frutas endémicas tropicales como el mango, guanábana, entre otras); el material comestible de las frutas es apreciado no únicamente en fresco sino como ingrediente en procesos productivos de obtención en la industria láctea, congelados, tentempiés, etcétera. En el caso de las frutas tropicales, una de las formas más prácticas de conservación es la deshidratación osmótica con soluciones azucaradas a temperaturas de baja intensidad; esto reduce la actividad enzimática y la actividad de agua, de tal manera que se alcanza un grado de conservación adecuado (Giraldó et al., 2003).
El objetivo de la presente investigación fue determinar la ecuación modelo operacional con aplicación del principio de balance de materia en estado no estacionario en procesos industriales. Para efectos del presente trabajo, se usó una mezcla de solución agua-sacarosa.
II. DESARROLLO
1. Materiales y Métodos
La simulación del proceso se llevó a cabo en el Laboratorio de Operaciones Unitarias y los análisis de las muestras recogidas fueron realizados en el laboratorio de Bromatología, que se encuentran dentro de la Unidad Académica de Ciencias Químicas y de la Salud de la Universidad Técnica de Machala. Se preparó la solución patrón de una mezcla de solución de sacarosa (Agua- Azúcar) con una concentración de sólidos solubles inicial de 33 ºBrix.
Datos experimentales
La metodología utilizada para la simulación del proceso se describe a continuación:
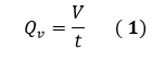
Se llenó el primer y segundo tanque hasta un volumen de 10 L cada uno, luego se procedió a la medición de los caudales volumétricos. Para esto, se tomó un vaso de precipitación de 400 ml marca PYREX. El tiempo que tardó en llenarse el vaso de precipitación fue registrado con un cronómetro digital marca CASIO.

Donde:

Al aplicar la ecuación 1 del caudal volumétrico más la densidad de la solución azucarada determinada en el laboratorio, se obtuvo el caudal másico del flujo ecuación 2.

Donde:

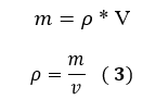
La masa de la solución concentrada se determinó con la ecuación 3. Donde se utilizó el volumen del tanque de mezclado (10 L o su equivalente, 0,01 m3).

Donde:

Simulación del proceso
La homogenización de la solución se realizó a través de un equipo mezclador de acero inoxidable, en el cual se logró mantener la misma concentración en ºBrix en cualquier punto de la solución. Se organizó los tanques de acuerdo con el diseño experimental propuesto para efectos de la investigación: el tanque que contuvo agua se mantuvo a una altura superior a la del tanque con la solución azucarada, de esta manera se simuló el caudal de entrada. Seguidamente, se colocó un recipiente en la parte inferior del tanque con la solución de sacarosa, el cual receptó el fluido del caudal de salida. La descripción gráfica del proceso se observa en la figura 1.

El sistema fue puesto en funcionamiento, se mantuvo constante el caudal de entrada y caudal de salida del tanque mezclador y, por ende, se conservó el volumen constante; la variable establecida para el diseño fue la variación de la concentración en ºBrix con relación al tiempo de proceso.
Tamaño de muestra
Se recolectó un total de veinte muestras dentro de un intervalo de 30 segundos entre cada una de ellas, para posteriormente proceder a analizar en el laboratorio.
Ecuación modelo
Para determinar la ecuación modelo se realizó el cálculo operacional, donde se aplicó ecuaciones de balance de materia en estado no estacionario y resolución de ecuaciones integrales.
Análisis estadístico
Los datos obtenidos fueron analizados en el programa estadístico Statgraphics Centurion XVI.I versión XVI 16.1.18; con el fin de buscar diferencias significativas entre los tratamiento, se aplicó un análisis de varianza ANOVA y la prueba de contraste de hipótesis LSD de Fisher (p<0.05). Las hipótesis planteadas fueron las siguientes:
Donde la hipótesis nula indica que existe igualdad de los resultados entre los distintos métodos utilizados, mientras que la hipótesis alternativa indica que existe diferencia significativa entre los datos; estos resultados se obtuvieron con un 95% de confiabilidad.
2. Resultados y discusión
Datos experimentales
Se analizó 20 muestras experimentales, con tres repeticiones cada una. Cada unidad experimental fue la mezcla entre Agua- Sacarosa. En la entrada del sistema de mezclado se obtuvieron los siguientes parámetros detallados en la tabla 1.
| Parámetros | Resultados |
| Caudal volumétrico | |
| Caudal másico | |
| Masa de la solución | |
| Densidad de la solución | 1200 kg/m3 |
Ecuación modelo
La modelación del sistema se obtuvo tras la determinación de la siguiente ecuación operacional:
Balance general del sistema
Entrada= Salida + Acumulación ( 4)
Acumulación= Entrada – Salida
Balance específico de solidos
Masa de sacarosa = Masa total * X1 ( 5)
*Se elimina ya que se trata de agua el caudal de ingreso, y esta no presenta concentración de sacarosa.
Se utilizó la ecuación 6 como modelo para el cálculo de la diferencia de concentración con respecto al tiempo. Las veinte muestras tomadas experimentalmente corresponden a veinte tiempos; al reemplazar estos valores en la ecuación, se determinó la concentración en ºBrix a la salida del tanque del mezclador.
Al reemplazar el tiempo en la ecuación 6 se obtuvieron las siguientes concentraciones:
Muestra 1, tiempo 30 segundos
La concentración en sacarosa del caudal a la salida del tanque mezclador al cabo de 30 segundos fue de 27,7 ºBrix.
Muestra 20, tiempo 600 segundos
La concentración en sacarosa del caudal a la salida del tanque mezclador al cabo de 600 segundos fue de 0,99 ºBrix.
Se realizó el mismo procedimiento con los demás valores de tiempo al reemplazarlos en la ecuación modelo. Los resultados tanto del análisis de la ecuación modelo y los resultados obtenidos en el laboratorio se muestran a continuación.
| Número de muestras | Tiempo (s) | Concentración por uso de ecuación modelo (ºBrix) | Concentración por refractometría (ºBrix) |
| 1 | 30 | 27,7 | 28,2 |
| 2 | 60 | 23,3 | 25 |
| 3 | 90 | 19,52 | 24 |
| 4 | 120 | 16,38 | 19,2 |
| 5 | 150 | 13,75 | 16 |
| 6 | 180 | 11,54 | 11,2 |
| 7 | 210 | 9,69 | 10,2 |
| 8 | 240 | 8,13 | 8,3 |
| 9 | 270 | 6,83 | 7 |
| 10 | 300 | 5,73 | 5,2 |
| 11 | 330 | 4,81 | 4,2 |
| 12 | 360 | 4,04 | 3,3 |
| 13 | 390 | 3,39 | 2,8 |
| 14 | 420 | 2,84 | 1,7 |
| 15 | 450 | 2,39 | 0,9 |
| 16 | 480 | 2,00 | 0,4 |
| 17 | 510 | 1,68 | 0 |
| 18 | 540 | 1,41 | 0 |
| 19 | 570 | 1,18 | 0 |
| 20 | 600 | 0,99 | 0 |
| Fuente | Suma de Cuadrados | G | l | Cuadrado Medio | Razón-F | Valor-P | |
| Entre grupos | 0,00225 | 1 | 0,00225 | 0,00 | 0,9956 | ||
| Intra grupos | 2828,7 | 38 | 74,4395 | ||||
| Total (Corr.) | 2828,7 | 39 |
Los resultados obtenidos tabla 3 del análisis estadístico indican que debido a que el valor-P de la razón-F es mayor a 0,05, no existe una diferencia estadísticamente significativa entre la media de concentración (ºBrix) entre ambos métodos de análisis, con un nivel del 95,0% de confianza.
Luego, se aplicó la prueba de múltiples rangos de diferencia significativa mínima LSD, donde se usó el procedimiento de comparación múltiple para determinar la diferencia significativa entre los pares de medias. El análisis estadístico arrojó los datos mostrados en la tabla 4.
| Método | Casos | Media | Grupos Homogéneos |
| Análisis laboratorio | 20 | 8,365 | X |
| Ecuación modelo | 20 | 8,38 | X |

En la figura 2 se muestran que no existe diferencias significativas entre las concentraciones abordadas por la ecuación modelo y análisis de laboratorio.

La figura 3 muestra las curvas de comportamiento de los datos de concentración tomados del cálculo en la ecuación modelo y del análisis por refractometría obtenidos en el laboratorio, con un intervalo de tiempo 30 segundos cada toma de muestra.
Por lo tanto, con las evidencias arrojadas por los análisis estadísticos se acepta la hipótesis nula, es decir, no existen diferencias significativas entre cada uno de los métodos aplicados para la determinación de la concentracion °Brix de las muestras. En consecuencia, se demuestra que el uso de ecuaciones operacionales dentro de los procesos industriales como en la determinación en soluciones de sacarosa, resultan confiables para la determinacion de parámetros debido a que describen simulaciones de procesos reales en términos matemáticos, esto tambien se afirmo en el estudio realizado por (Liu & Cui, 2018), donde indica que el desarrollo de modelamientos de sistemas operacionales se convierte en un control de alto rendimiento, y forman estrategias para el control de plantas industriales.
III. CONCLUSIONES
El principio de balance de materia en estado no estacionario se cumple en los procesos alimentarios en condiciones de trabajo reales. Se demostró que las concentraciones abordadas en el cálculo operacional fueron símiles a las concentraciones recolectadas en el laboratorio en las muestras tomadas en la experimentación del balance de materia en estado transitorio al usar técnicas de refractometría. En el experimento, el volumen del tanque se mantuvo constante durante las corridas experimentales, mientras que hubo variaciones en la concentración en ºBrix correspondiente. La aplicación de modelos matemáticos en balance de materia en estado no estacionario en la industria puede ser útil al momento de plantear condiciones previas específicas de producción sin la necesidad de realizar pruebas piloto que derivan en el consumo de insumos y tiempo, ergo se puede aplicar confiablemente sistemas de ecuaciones operacionales en procesos de obtención de alimentos procesados en donde se requiera el uso de soluciones con determinada concentración simulando condiciones preestablecidas.
IV. AGRADECIMIENTO
A la Universidad Estatal de Milagro y a la Unidad Académica de Ciencias Químicas y de la Salud de la Universidad Técnica de Machala–Ecuador.
Referencias
Armijo J. (2001). Modelos de estado no estacionario y seudoestacionario en el cálculo de tiempo de escurrimiento, 4, 38–43.
Cancino, B., Ulloa, L., & Astudillo, C. (2009). Presión osmótica de soluciones salinas y azucaradas: su influencia en procesos de osmosis inversa en la industria de alimentos. Información tecnológica, 20(3), 55-64.
Costa, J., Cervera, S., Cunil, F., Esplugas, S., Mans, C., & Mata, J. (2014). Curso de ingenieria. Barcelona : Reverté S.A.
Cuartas-Uribe, B., Alcaina-Miranda, M. I., Soriano-Costa, E., & Bes-Pia, A. (2007). Comparison of the behavior of two nanofiltration membranes for sweet whey demineralization. Journal of dairy science, 90(3), 1094-1101.
Dong, L., & Guang-Hong, Y. (2018). Performance-based data-driven model-free adaptive sliding mode. Journal of Process Control, 186-194.
Gabanes, A. L., Santoyo, A. B., Sáez, J., & Manuel, J. (1985). ideales, XLIV, 57–62.
Giraldó, G., Talens, P., Fito, P., Chiralt, B. (2003). Influence of sucrose solution concentration on kinetics and yield during osmotic dehydration of mango. Journal of Food Engineering 58, 33–43.
Gutierrez, R. A. (2005). La materia no se crea ni se destruye… Matter cannot be created nor destroyed…. ANGIOLOGIA, 33(2).
Guillén, M. L., Dulhoste, J. F., Santos, R., & Besançon, G. (2016). Modeling flow in pipes to detect and locate leaks using a state observer approach. Revista Tecnica-Facultad de Ingenieria Universidad Del Zulia, 39(1), 364-370.
Liu, X., & Cui, J. (2018). Economic model predictive control of boiler-turbine system. Journal of Process Control, 59-67
López, T., & Ignacio, J. (2004). Conceptos básicos de simulación de procesos, 1–6.
Marttinez, G. M., Sánchez, B. I., Osorio-Mirón, A., López, Z. L., Sánchez, B. L., & Hernández, A. E. (2011). Caracterización reológica de soluciones azucaradas para el proceso de evaporación-cristalización. Nexo Revista Científica, 24(1), 61-71.
Orlov, A. A., Ushakov, A. A., & Sovach, V. P. (2017). Mathematical Model of Nonstationary Separation Processes Proceeding in the Cascade of Gas Centrifuges in the Process of Separation of Multicomponent Isotope Mixtures. Journal of Engineering Physics and Thermophysics, 90(2), 258-265.
Ortiz, M., & Fernández-Pera, M. (2018). Modelo de Ecuaciones Estructurales: Una guía para ciencias médicas y ciencias de la salud. Terapia Psicológica, 36(1), 47-53.
Pletcher, J. L. (2000, January). Improvements to reservoir material balance methods. In SPE Annual Technical Conference and Exhibition. Society of Petroleum Engineers.
Ramírez Avelar, M. C. (2005). Desarrollo de módulos de simulación de procesos en Ingeniería Química (Doctoral dissertation, Universidad de El Salvador).
Salinas-Oñate, N., Ortiz, M. S., Baeza-Rivera, M. J., & Betancourt, H. (2017). Desarrollo de un instrumento culturalmente pertinente para medir creencias en psicoterapia. Terapia psicológica, 35(1), 15-22.
Sulaberidze, G. A., Palkin, V. A., Borisevich, V. D., Borman, V. D., & Tikhomirov, A. V. (2011). Theory of cascades for separation of binary and multicomponent isotope mixtures. M.: MEPhI (in Russian).
Wei, C., Chenb, J., & Song, Z. (2017). Multilevel MVU models with localized construction for monitoring processes with large scale data. Journal of Process Control
Zhiqiang, G. (2017). Distributed predictive modeling framework for prediction and diagnosis of key performance index in plant-wide processes. Journal of Process Control.
Notas de autor
ocontreras_est@utmachala.edu.ec