Artículos
El pons scholastiscorum
The Pons Scholasticorum
El pons scholastiscorum
Diánoia, vol. LXV, núm. 85, pp. 55-72, 2020
Instituto de Investigaciones Filosóficas, UNAM
Recepción: 01 Junio 2019
Recibido del documento revisado: 15 Junio 2020
Aprobación: 18 Julio 2020
Resumen: En esta contribución ofrecemos una interpretación del pons asinorum que se basa en una lógica de términos contemporánea. Esto nos permite revitalizar la idea del pons asinorum para generar el -políticamente correcto- pons scholasticorum, una versión terminística del pons asinorum que conecta la inventio medii con el dictum de omni et nullo.
Palabras clave: silogística, lógica de términos, diagrama lógico, inventio medii, dictum de omni et nullo.
Abstract: In this contribution we offer an interpretation of the pons asinorum by using a contemporary term logic. This interpretation allows us to revitalize the concept of the pons asinorum in order to produce the -politically correct- pons scholasticorum, a terministic version of the pons asinorum that relates the inventio medii with the dictum de omni et nullo.
Key words: syllogistic, term logic, logic diagram, inventio medii, dictum de omni et nullo.
1. Introducción
Como bien ha mostrado Correia 2017, el cultivo de la lógica aristotélica ha sido menospreciado de distintas maneras, en especial desde principios del siglo XX. En efecto, como relatamos en otro lugar (Castro-Manzano y Reyes-Cárdenas 2018), el origen de este hábito tiene una historia interesante (Eklund 1996) que se relaciona con las ventajas representativas que los lenguajes de primer orden parecen ofrecer frente al sistema aristotélico tradicional.
Hoy sabemos, por ejemplo, que De Morgan 1860 reparó en la incapacidad de la lógica tradicional para modelar las relaciones, que Russell 1900 popularizó la idea de que el programa lógico tradicional presentaba limitaciones por su empleo de una sintaxis terminista y que Carnap 1930 generalizó esta apreciación a toda la lógica tradicional.
Sin embargo, y en especial desde finales de la década de los sesenta del siglo XX, Fred sommers impulsó un programa de investigación sobre la sintaxis terminista de la lógica tradicional, que generó una teoría de las categorías, una teoría correspondentista de la verdad y una lógica de términos funtoriales que hace de los términos las unidades básicas de la inferencia (Sommers 2005).
Tras dar por sentada esta revitalización de la lógica aristotélica, en este artículo analizamos una herramienta tradicional de la lógica (el pons asinorum) mediante un instrumento lógico contemporáneo (la lógica de términos funtoriales de Sommers y Englebretsen). De este estudio resulta un dispositivo diagramático que hemos denominado pons scholasticorum.
Como intentaremos mostrar, este dispositivo conecta la motivación de la inventio medii con la idea del dictum de omni et nullo con el empleo de una misma base deductiva, a saber, la lógica de términos funtoriales de Sommers y Englebretsen. Como consecuencia de esta conexión se sigue que, a diferencia del pons asinorum, el pons scholasticorum no es sólo un diagrama didáctico, sino un diagrama lógico.
Para alcanzar esta meta primero expondremos en qué consisten los conceptos de inventio medii, dictum de omni et nullo y pons asinorum (sección 2). Después presentaremos la base deductiva de nuestro interés (sección 3) y, por último, integraremos todos estos elementos para generar el pons scholasticorum (sección 4).
2 . El dictum de omni et nullo y la inventio medii: decisión y deducción
Desde un punto de vista lógico no es lo mismo decidir que deducir. Un problema de decisión es diferente de un problema de deducción porque, aunque se relacionan de manera íntima, determinar la corrección de una inferencia no equivale necesariamente a determinar cuáles son las premisas adecuadas para generarla. En el caso de la lógica tradicional, esta diferencia es nítida: una cosa es determinar la corrección de una inferencia silogística (logica iudicativa) y otra cosa es, dada una conclusión definida, encontrar las premisas adecuadas para llegar a dicha conclusión (logica inventiva).
Para Aristóteles esta diferencia no estaba sólo clara, sino que exigía tratamientos lógicos propios. Así pues, además de mostrar la estructura formal de las inferencias silogísticas correctas (Pr. An. I.4, 25b39-40, 25b39-40, 26a23-25, 26a25-26), Aristóteles consideró también las reglas de formación de silogismos correctos a partir de la identificación de términos medios (Pr. An. 43a20). En consecuencia, la silogística se nos presenta como una teoría que tiene la capacidad de modelar tanto problemas de decisión como problemas de deducción, y no es, por lo tanto, sólo una teoría de la demostración asertórica, sino también una teoría del descubrimiento de información (cfr. Celluci 2015). Para ilustrar estas capacidades necesitamos considerar algunos aspectos básicos de la silogística.
La silogística es una lógica de términos que estudia la relación de inferencia entre proposiciones categóricas. una proposición categórica es una proposición declarativa que afirma o niega algo acerca de algo (Pr. An. A.1, 24a16-17), compuesta por dos términos, una cantidad y una cualidad. El sujeto y el predicado de la proposición se llaman términos (Pr. An. A.1, 24b16-17): el término-esquema S denota el término sujeto de la proposición y el término-esquema P denota el término predicado. La cantidad puede ser universal (Todo) o particular (Algún) y la cualidad puede ser afirmativa (es) o negativa (no es). Estas proposiciones categóricas se denotan mediante una etiqueta (a, para la universal afirmativa (SaP); e, para la universal negativa (SeP); i, para la particular afirmativa (SiP); y o, para la particular negativa (SoP)) que nos permite determinar una secuencia de tres proposiciones que se conoce como modo. Así, un silogismo categórico es un modo ordenado de tal manera que dos proposiciones fungen como premisas y la última como conclusión (Pr. An. A.1, 24b18-20). Dentro de las premisas existe un término que aparece en ambas premisas pero no en la conclusión: este término especial, que usualmente se expresa con el término-esquema M, funciona como un enlace entre los términos restantes y se conoce como término medio. De acuerdo con la posición del término medio se pueden definir cuatro arreglos o figuras que codifican los modos o patrones silogísticos correctos (cuadro 1).1

Aristóteles consideró los cuatro modos de la primera figura (Pr. An. I.4, 25b39-40, 25b39-40, 26a23-25, 26a25-26) perfectos o completos (Pr. An. 24b22-26), mientras que llamó imperfectos a los modos restantes porque, para ser correctos, deben reducirse a los cuatro primeros. Ahora bien, al margen de los mecanismos de reducción entre silogismos, lo que interesa aquí es un principio que reglamenta la corrección de estos modos y que se conoce como dictum de omni et nullo (DON), el cual establece una relación entre términos que, en versiones modernas de la silogística, se enuncia de esta manera: todo lo que se afirma (o niega) del todo puede afirmarse (o negarse) de las partes.
Es verdad que la transparencia de este principio ha sido puesta en tela de juicio; sin embargo, no por eso carece de relevancia para resolver problemas de decisión. Por ejemplo: i) se ha cuestionado su existencia textual en los mismos Primeros analíticos (cfr.Lukaziewicz 1957, y Patterson 1993), ii) se ha puesto en duda su uso explícito en la demostración de la corrección de los modos válidos de la primera figura (Rose 1968, pp. 106 y ss.), y iii) se ha criticado que este principio sea la base de la silogística (cfr.Lukaziewicz 1957, y Kneale y Kneale 1962, pp. 79 y ss.).
No obstante, contra i), hay muestras literales del DON en Primeros analíticos. Por ejemplo, Bastit 2011 encuentra evidencia textual en Pr. An. 24b26-30 que nos permite justificar su presencia en la silogística original. Además, contra ii) y iii), podemos responder con dos observaciones: primero, las descripciones de Aristóteles de los silogismos perfectos ciertamente no hacen uso explícito del DON, pero emplean la transitividad y el DON es un principio que preserva la transitividad; y, segundo, que el DON no sea la base de la silogística no implica que no tenga relevancia para la misma, pues, en efecto, su importancia no reside en la fundamentación axiomática de la corrección de la inferencia silogística, pero sí en su reglamentación para resolver problemas de decisión.
Más aún, y como mencionamos, la silogística no es sólo una teoría de la demostración, es también una teoría del descubrimiento de información. Así, en Pr. An. 43a20 45b12 Aristóteles describió una heurística para resolver problemas de la deducción de silogismos a partir de conclusiones definidas. A esta heurística se la llamó después inventio medii o descubrimento del (término) medio (cfr. Cellucci 2015) y se usó para configurar un artefacto visual conocido como pons asinorum. Así, el pons asinorum es un dispositivo diagramático que pretende capturar las reglas de formación de los silogismos correctos a partir de la identificación de términos medios (figura 1).

El modelo diagramático original del pons parece que fue elaborado por Alejandro de Afrodisias (figura 1a), aunque su concepción visual se suele atribuir a Juan Filópono (figura 1b) (Hamilton 1860, p. 420). Además, según Hamblin, aunque los lógicos más representativos de los siglos XIII y XIV no discutieron este dispositivo, lo comentó Averroes y lo estudió Alberto Magno, quien lo usó para ofrecer una teoría silogística paralela a la que define el verso Barbara Celarent colocando, en su lugar, los nombres fecana, cageti, etc. (Hamblin 1976), como parece que ya lo había hecho Boecio en su comentario a los Primeros analíticos (figura 1c); y también aparece en el comentario de Egidio Romano a la misma obra (figura 1d). Hamblin añade que Bocheński lo encontró en el comentario de Thomas Bricot al trabajo de Jorge de Bruselas, que en el siglo XV aparece en el comentario de John Dorp a la obra de Buridán, y que Pedro Tartareto parece haber sido el primero en usar el nombre "pons asinorum" en el contexto de la lógica y en elaborar un diagrama con la alegoría de un asno (¿estudiante?) cruzando puentes (figuras 1e y 1f) (cfr. Hamblin 1976, p. 131).
Así pues, el pons asinorum es un intento serio de mostrar todas las posibles relaciones (rutas) entre los términos que producen silogismos correctos mediante el uso adecuado del término medio. Para ilustrar su funcionamiento consideremos un ejemplo y el diagrama estandarizado de Hamblin en la siguiente figura.

Supongamos, por ejemplo, que tenemos la conclusión Todo S es P y queremos saber cómo probarla. Entonces es necesario encontrar un término medio M adecuado que conecte los términos S y P. Ahora bien, la relación entre el término predicado P (que denota la literal A en el diagrama de la figura 2) y el término medio M es tricotómica: o bien M implica a P (i.e., M es antecedente de P) o bien P implica a M (i.e., M es consecuente de P) o bien M y P son disjuntos (i.e., M y P son incompatibles). Estas relaciones son direccionales y se expresan con los enlaces dirigidos entre la literal A y las literales B, C y D, respectivamente. Así, si un término arbitrario T está en B, la proposición Todo P es T es verdadera; si está en C, entonces Todo T es P es verdadera; y si está en D, Ningún P es T es verdadera (o, de manera equivalente, Ningún T es P es verdadera por conversión). De manera simétrica, las literales E, F y G denotan la relación tricotómica del término medio con el término sujeto (que expresa la literal E en el diagrama de la figura 2). Entonces, por ejemplo, si un término T está conectado con F y C, las proposiciones Todo T es P y Todo S es T son verdaderas y la conclusión Todo S es P es derivable por el modo Barbara: que tal ruta produce un silogismo correcto se indica por las líneas que conectan a F con C.
Esta representación de Hamblin no sólo ilustra con claridad el funcionamiento del pons, también devela un problema lógico del modelo del pons asinorum, a saber, que a pesar de su finalidad original las rutas de formación de los silogismos con premisas particulares no aparecen señaladas o indicadas con claridad. Se trata de una dificultad importante porque el objetivo del pons es ilustrar las rutas de formación de todos los silogismos correctos; sin embargo, como se puede apreciar, en el pons aparecen rutas para algunos silogismos correctos con premisas universales y no se pueden distinguir de aquellos que tienen premisas particulares (Hamblin 1976, p. 133): a este problema le llamamos "problema de completud" porque muestra que el pons original no es funcionalmente completo con respecto a la motivación de la inventio medii. Por supuesto, Hamblin ofreció una solución ingeniosa al problema de completud, pero nuestra propuesta, como veremos, tiene ciertas ventajas con respecto a su versión.
Así pues, en resumen, lo que podemos notar es que la silogística nos permite lidiar tanto con problemas de decisión como con problemas de producción. Los primeros tienen que ver con la verificación de la corrección de las inferencias silogísticas; los segundos, con la obtención de premisas para generar inferencias correctas. Aunque ambos procesos son complementarios, se han abordado con diferentes herramientas y justificaciones: los primeros, con el verso Barbara Celarent (o, alternativamente, con las reglas del silogismo) bajo la premisa del DON; los segundos, con el pons asinorum bajo la premisa de la inventio medii. Esta situación se representa de manera esquemática en el siguiente cuadro.

Dada esta situación, lo que intentaremos hacer es unificar, en una sola herramienta, ambos propósitos, pero para ello haremos uso de una lógica de términos contemporánea: la lógica de términos de Sommers y Englebretsen.
3 . La lógica de términos funtoriales
La lógica de términos funtoriales de Sommers y Englebretsen (TFL, por Term Functor Logic) es una lógica que representa la silogística usando términos en lugar de elementos lingüísticos de primer orden como variables individuales o cuantificadores (cf\ Quine 1971, Noah 1980, Kuhn 1983). De acuerdo con esta propuesta, las cuatro proposiciones categóricas pueden representarse mediante la siguiente sintaxis (Englebretsen 1996, p. 159), donde "±" se usa para representar la distribución de los términos, "-" ("+") representa que un término (no) está distribuido:2
a) SaP :=-S + P
b) SeP := -S - P
c) SiP :=+S + P
d) SoP := +S - P
Dada esta representación, TFL ofrece una regla de validez para la silogística: una conclusión se sigue válidamente de un conjunto de premisas si y sólo si i) la suma de las premisas es algebraicamente igual a la conclusión y ii) el número de conclusiones con cantidad particular (viz., cero o uno) es igual al número de premisas con cantidad particular (Englebretsen 1996, p. 167).3 Así, por ejemplo, si consideramos un silogismo válido, digamos un Barbara, podemos ver cómo la aplicación de este método produce la conclusión correcta (lo que se ve en el siguiente cuadro).

En el ejemplo anterior podemos ver claramente cómo es que funciona esta regla: i) si sumamos las premisas obtenemos la expresión algebraica (-M + A) + (-P + M) = -M + A - P + M = -P + A, de tal modo que la suma de las premisas es algebraicamente igual a la conclusión, y la conclusión es igual a -P + A, en lugar de +A - P, porque por la condición ii) el número de conclusiones con cantidad particular (cero en este ejemplo) es igual al número de premisas con cantidad particular (cero en este ejemplo).4
Lo interesante de este proceso de decisión, como se puede apreciar, es que no es otra cosa que una versión algebraica del dictum de omni et nullo. El mismo Sommers llama a la regla que reglamenta a este proceso "DON" y la define de la siguiente manera (Sommers 1989): sea P(M) una proposición con una aparición positiva de M (i.e., M no aparece distribuido) en el ambiente proposicional P, y sea P'(-M) una proposición en la cual M ocurre negativamente (i.e., M aparece distribuido) en el ambiente P', entonces:
1. P'(-M) Premisa donante
2. P(M) Premisa anfitriona
˫ P(P') Conclusión
Como se puede notar, la conclusión surge de sumar las premisas de tal manera que se cancela el término medio positivo en P(M), reemplazando tal término por P'; en otras palabras, todo lo que se afirma o niega de un todo (premisa donante) puede ser afirmado o negado de una parte (premisa anfitriona).5
4 . El pons scholasticorum
Con la base deductiva anterior y las herramientas conceptuales expuestas hasta este punto podemos presentar nuestra contribución principal, esto es, una interpretación del pons asinorum usando una lógica de términos contemporánea. Sin embargo, es necesario antes tener en mente que el uso de esta lógica de términos se justifica porque preserva el dictum de omni et nullo y porque, por su naturaleza sintáctica terminística, es compatible con la sintaxis terminística original de la silogística.
Pues bien, para producir nuestra interpretación terminística del pons asinorum, que llamamos pons scholasticorum para evitar connotaciones negativas o políticamente incorrectas,6 recuperamos la estructura general del pons tradicional pero añadimos la estructura terminística interna de cada literal del pons original usando el álgebra de TFL. Con esto obtenemos el esquema general del pons scholasticorum donde ">", "<" y "|" indican las relaciones direccionales de consecuencia, antecedencia e incompatibilidad del pons tradicional explicado en la sección 2 (figura 3).

Con esta herramienta diagramática podemos conectar los dos problemas de la silogística. Para ilustrar en primer lugar el problema de deducción, consideremos el siguiente ejemplo. Supongamos que queremos probar que un silogismo es correcto a partir de la conclusión +S-P. Entonces, para empezar, necesitamos la premisa +S + M (o bien +M + S, por conversión), pero la única conexión legítima, vía DON, de S a P es mediante la premisa -M - P (o bien -P - M, por conversión). Luego, un silogismo apropiado para probar +S - P es el siguiente:
1. -M - P (o bien -P - M) MeP
2. +S + M (o bien +M + S) SiM
˫ +S - P SoP
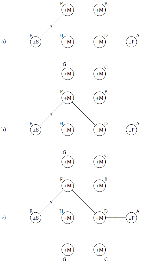
Como podemos notar, un silogismo apropiado para probar que +S - P es un eio de la primera figura, un Ferio. Para ilustrar este proceso hagamos una descripción del mismo paso por paso. Primero, notamos que podemos empezar con +S en E como antecedente de +M en F (figura 4a) (o, por conversión, podríamos comenzar con +M como consecuente a partir de G). Después, observamos que el único enlace que garantizaría la aplicación de DON es con -M en D (figura 4b), pero D se conecta con -P en A (figura 4c). Luego, en efecto, las premisas adecuadas para probar +S - P pueden ser -M - P y +S + M.

Esta interpretación terminística nos muestra que deducir un silogismo correcto a partir de una conclusión se convierte en la tarea de producir un circuito acíclico que va de un término sujeto a un término predicado usando el DON. Esta interpretación tiene las siguientes propiedades: i) nos posibilita ofrecer una solución al problema de completud de Hamblin porque las rutas de todos los silogismos correctos (y sólo los correctos) quedan propiamente representadas; ii) nos permite explicitar la distribución de los términos gracias a la sintaxis de TFL, la cual, por cierto, arroja una explicación formal de la validez de las rutas, algo que no se puede explicar en el pons original; iii) nos permite conservar la motivación básica de la inventio medii, a saber, que el término medio debe conectarse con otros términos; y iv) nos permite preservar el núcleo inferencial del dictum de omni et nullo, pues las únicas rutas señaladas de manera explícita son aquellas que lo cumplimentan.
Ahora, en segundo lugar, para ilustrar el problema de decisión debemos revisar la estructura de las inferencias correctas por figura. Para esto usamos ciertos tipos de líneas además de tomar en cuenta la direccionalidad: asignamos a cada figura un tipo de línea, según se describe a continuación.

Supongamos entonces, como ejemplo, que queremos saber si el siguiente silogismo es correcto:
1. -M - P
2. +M + S
˫ +S - P
Advertimos primero que el silogismo es de la tercera figura. En consecuencia, deberíamos encontrar por lo menos una ruta de la línea segmentada cuyos vértices sean los términos del silogismo. En nuestro ejemplo encontramos que, en efecto, -M en D conecta con -P en A (figura 6a), que -M en D conecta con +M en G (o con +M en F) (figura 6b) y que +M en G (o en F) conecta con +S en E (figura 6c). Luego, la inferencia es correcta y, además, el uso de los tipos de línea nos muestra que el silogismo dado no es sólo correcto en la tercera figura, sino que podría ser correcto en cualquier figura, porque todas las rutas se ocupan; en contraste, un silogismo que, por ejemplo, sólo puede ser correcto en una figura, como un Bocardo, nos arroja una sola ruta (figura 6d).

Esta interpretación terminística nos muestra que decidir si un silogismo es correcto se convierte en la tarea de encontrar un circuito acíclico que vaya de un término predicado a un término sujeto usando el DON. Esta interpretación tiene las siguientes propiedades: i) el uso de distintos tipos de línea nos permite explicitar la relación entre la posición del término medio y la figura de un silogismo; en especial, nos permite observar por qué los modos de la primera figura tienen primacía sobre los modos de las figuras restantes: la primera figura es más básica porque produce un único camino de E a A; ii) el uso de distintos tipos de línea nos permite conservar el núcleo inferencial del dictum de omni et nullo, pues las únicas rutas señaladas de manera explícita son aquellas que lo cumplimentan.
La conjunción de estas capacidades de deducción y decisión es interesante porque nos permite justificar que el pons scholasticorum, además de ser un diagrama con funciones didácticas como el pons original, es un diagrama con funciones lógicas explícitas de deducción y decisión.
Por último, para redondear la explicación de esta propuesta consideremos qué pasaría si quisiéramos producir o evaluar silogismos incorrectos. Supongamos, por ejemplo, que quisiéramos producir un silogismo incorrecto a partir de la conclusión -S + P. En este caso tendríamos que ser capaces de construir un circuito acíclico que vaya de -S a +P; sin embargo, por construcción, la única ruta generable que cuenta con tales características termina por producir un silogismo tipo Barbara. Ahora, para el caso del problema de la decisión, supongamos que tenemos que evaluar el siguiente silogismo:
1. -M + P
2. -M + S
˫ -S + P
En este caso tendríamos que encontrar un circuito acíclico que vaya de + P a - S. Sin embargo, no podemos hallar tal circuito en el pons scholasticorum porque, por DON, no existen rutas que conecten dos términos medios negativos o distribuidos.
5 . Conclusión
En este trabajo exploramos el funcionamiento del pons asinorum y ofrecimos una interpretación de éste usando una lógica de términos contemporánea, lo cual le otorga a nuestra interpretación una diferencia sustancial con respecto a la versión de Hamblin 1976.
De esta interpretación resultó un dispositivo diagramático que llamamos pons scholasticorum y que conecta la motivación de la inventio medii con la idea del dictum de omni et nullo usando una misma base deductiva. Como consecuencia de esta conexión, podemos sostener que el pons scholasticorum, a diferencia del pons asinorum, no es sólo un diagrama didáctico, sino un diagrama lógico porque, además de preservar la idea didáctica del pons original, incrementa su poder inferencial mediante el uso explícito del dictum de omni et nullo. Así, además de ser un diagrama con funciones didácticas, es un diagrama con funciones lógicas explícitas de deducción y decisión. En consecuencia, creemos que esta revitalización del pons no sólo tiene interés histórico, sino lógico y didáctico.
Por último, nos gustaría mencionar que si el método del pons scholasticorum que hemos expuesto aquí tiene sentido, con toda seguridad puede extenderse a otras lógicas de perfil silogístico y terminista como la silogística modal (Englebretsen 1988), la silogística intermedia (Thompson 1982) o la silogística numérica (Murphree 1998); y que, como no necesitamos usar reglas de cuantificación ni skolemización, debido a la peculiar álgebra de TFL, es posible imaginar una aplicación del pons al estilo de las bases de datos aristotélicas (Mozes 1989).7
Referencias bibliográficas
Alejandro de Afrodisias, 1495, Alexandri in Aristotelis Analyticorum priorum librum I commentarium, en Aristoteles, Opera, Aldo Manucio, Venecia, vol. 1, p. 135, en Smithsonian Libraries, disponible en <https://library.si.edu/digital-library/book/eisorganonarist00aris>, <https://doi.org/10.5479/sil.162593.39088005758198>.
Álvarez, Enrique y Manuel Correia, 2012, "Syllogistic with Indefinite Terms", History and Philosophy of Logic, vol. 33, no. 4, pp. 297-306, <https://doi.org/10.1080/01445340.2012.680704>.
Bastit, Michel, 2011, “Jan Lukasiewicz contre le dictum de omni et de nullo”, Philosopha Scientiœ, vol. 15, no. 2, pp. 55-68, <https://doi.org/10.4000/philosophiascientiae.653>.
Bocheński, Józef Maria, 1985, Historia de la lógica formal, trad. Millán Bravo Lozano, Gredos, Madrid.
Boecio, 1570, Priorum analyticorum Aristotelis interpretatio, en Opera omnia, ex officina Henricpetrina, Basilea, en Bayerische StaatsBibliothek, disponible en <https://www.digitalesammlungen.de/index.html>.
Carnap, Rudolf, 1930, "Die alte und die neue Logik", Erkenntnis, vol. 1, pp. 12-26, <https://doi.org/10.1007/BF00208606>.
Castro-Manzano, J.-Martín y Reyes-Cárdenas, Paniel-O., 2018, "Term Functor Logic Tableaux", South American Journal of Logic, vol. 4, no. 1, pp. 1-22.
Cellucci, Carlo, 2015, "Why Should the Logic of Discovery Be Revived? A Reappraisal", en Emiliano Ippoliti (comp.), Heuristic Reasoning, Springer (Studies in Applied Philosophy, Epistemology and Rational Ethics, 16), Cham, pp. 11-27, <https://doi.org/10.1007/978-3-319-09159-4_2>.
Correia, Manuel, 2017, "La lógica aristotélica y sus perspectivas", Pensamiento, vol. 73, no. 275, pp. 5-19, <https://doi.org/10.14422/pen.v73.i275.y2017.001>.
De Morgan, Augustus, 1860, "On the Syllogism, no. IV, and on the Logic of Relations", Transactions of the Cambridge Philosophical Society, vol. 10, pp.331-358.
Egidio Romano, 1499, Expositio Egidii Romani super libros Priorum analeticorum Aristotelis cum textu eiusdem. guidi posthumi pisaurensis philosophie cultoris accuratissimi dialogus, Simone da Luere, Venecia, p. 38, en Bibliothèque nationale de France, disponible en <https://gallica.bnf.fr/ark:/12148/bpt6k60819t.r=>.
Eklund, Matti, 1996, "On How Logic Became First-Order", Nordic Journal of Philosophical Logic, vol. 1, no. 2, pp. 147-167.
Englebretsen, George, 1988, "Preliminary Notes on a New Modal Syllogistic", Notre Dame Journal of Formal Logic, vol. 29, no. 3, pp. 381-395, <https://doi.org/10.1305/ndjfl/1093637935>.
Englebretsen, George, 1996, Something to Reckon with. The Logic of Terms, University of Ottawa Press, Ottawa.
Evans, Michael, 1980, "The Geometry of Mind", Architectural Association Quarterly, vol. 2, no. 4, pp. 32-55.
Filópono, Juan, 1905, Ioannis Philoponi in Aristotelis Analytica priora commentaria: consilio et auctoritate Academiae litterarum regiae borussicae, ed. Maximilianus Wallies, De Gruyter Berlín.
Hamblin, Charles Leonard, 1976, "An Improved Pons Asinorum?",Journal of the History of Philosophy, vol. 14, no. 2, pp. 131-136, <https://doi.org/10.1353/hph.2008.0365>.
Hamilton, William, 1860, Lectures on Metaphysics and Logic, ed. Henry L. Mansel y John Veitch, Gould and Lincoln, Boston.
Kneale, William y Martha Kneale, 1962, The Development of Logic, Clarendon Press, Oxford.
Kuhn, Steven, 1983, "An Axiomatization of Predicate Functor Logic", Notre Dame Journal of Formal Logic , vol. 24, no. 2, pp. 233-241, <https://doi.org/10.1305/ndjfl/1093870313>.
Lukasiewicz, Jan, 1957, Aristotle's Syllogistic from the Standpoint of Modern Formal Logic, 2a. ed., Clarendon Press, Oxford.
Mozes, Eyal, 1989, "A Deductive Database Based on Aristotelian Logic", Journal of Symbolic Computation, vol. 7, no. 5, pp. 487-507, <https://doi.org/10.1016/S0747-7171(89)80030-6>.
Murphree, Wallace, 1998, "Numerical Term Logic", Notre Dame Journal of Formal Logic , vol. 39, no. 3, pp. 346-362, <https://doi.org/10.1305/ndjfl/1039182251>.
Noah, Aris, 1980, "Predicate-Functors and the Limits of Decidability in Logic", Notre Dame Journal of Formal Logic, vol. 21, no. 4, pp. 701-707, <https://doi.org/10.1305/ndjfl/1093883255>.
Patterson, Richard, 1993, "Aristotle's Perfect Syllogisms, Predication, and the 'Dictum de Omni'", Synthese, vol. 96, no. 3, pp. 359-378, <https://doi.org/10.1007/BF01064007>.
Petrus Hispanus y Petrus Tartaretus, 1498, Colección de manuscritos, MsMurF 84, en Aarau, Aargauer Kantonsbibliothek, disponible en <https://www.e-codices.ch/en/list/one/kba/MurF0084>.
Quine, Willard Van Orman, 1971, "Predicate Functor Logic", en J.E. Fenstad (comp.), Proceedings of the Second Scandinavian Logic Symposium, North-Holland, Amsterdam, pp. 309-315.
Rose, Lynn, 1968, Aristotle's Syllogistic, Charles C. Thomas Publisher, Springfield.
Russell, Bertrand, 1900, A Critical Exposition of the Philosophy of Leibniz. With an Appendix of Leading Passages, Cambridge University Press, Cambridge.
Russell, Bertrand, 1930, A Critical Exposition of the Philosophy of Leibniz. With an Appendix of Leading Passages, Cambridge University Press, Cambridge.
Sommers, Fred, 1982, The Logic of Natural Language, Clarendon Press, Oxford.
Sommers, Fred, 1989, "Predication in the Logic Terms", Notre Dame Journal of Formal Logic, vol. 31, no. 1, pp. 106-126, <https://doi.org/10.1305/ndjfl/1093635336>.
Sommers, Fred, 2005, "Intelectual Autobiography", en David S. Oderberg (comp.), The Old New Logic. Essays on the Philosophy of Fred Sommers, MIT Press, Cambridge, Mass., pp. 1-24.
Tartaret, Pierre, 1506, Expositio magistri Petri Tatereti super textu logices Aristotelis, s.e., París, en Biblioteca nazionale centrale di Roma, disponible en <http://www.bncrm.beniculturali.it/it/32/biblioteca-digitale>.
Thompson, Bruce, 1982, "Syllogisms Using 'Few', 'Many', and 'Most'", Notre Dame Journal of Formal Logic , vol. 23, no. 1, pp. 75-84, <https://doi.org/10.1305/ndjfl/1093883568>.
Notas