Artículo de investigación
Emotions and their influence on decision making - selected issues *
Emociones y su influencia en la toma de decisiones: cuestiones seleccionadas
Emoções e sua influência na tomada de decisão: questões selecionadas
Emotions and their influence on decision making - selected issues *
Ratio Juris, vol. 18, núm. 37, pp. 203-220, 2023
Universidad Autónoma Latinoamericana
Recepção: 20 Julho 2023
Aprovação: 01 Novembro 2023
Publicado: 30 Dezembro 2023
Abstract: The aim of this article is to present the correlation between decision-making and the influence of emotions on this process. It is relevant both to the everyday situations as well as to the law. That’s why in the work it will be presented the results of own research related to decision-making by lawyers and persons practicing a profession other than law in the field of criminal law on the basis of a prepared research case will be presented. The research was conducted using research method survey.
Keywords: Emotions, decision making, law, case - study, criminal law.
Resumen: El objetivo de este artículo es presentar la correlación entre la toma de decisiones y la influencia de las emociones. Es relevante tanto para las situaciones cotidianas como para el ámbito legal. Por eso, en el trabajo se presentarán los resultados de una investigación propia relacionada con la toma de decisiones por parte de abogados y personas que practican una profesión distinta a la ley en el campo del derecho penal, basándose en un caso de estudio preparado. La investigación se llevó a cabo mediante la aplicación del instrumento de encuesta.
Palavras-chave: Emoções, tomada de decisão, direito, estudo de caso, direito penal.
Resumo: O objetivo deste artigo é apresentar a correlação entre a tomada de decisão e a influência das emoções nesse processo. É relevante tanto para situações cotidianas quanto para o campo jurídico. Portanto, o trabalho apresentará os resultados de uma investigação própria relacionada à tomada de decisões de advogados e pessoas que exercem outra profissão que não a advocacia na área do direito penal, com base em um estudo de caso elaborado. A investigação foi realizada por meio da aplicação do instrumento de pesquisa.
Palavras-chave: Emoções, tomada de decisão, direito, estudo de caso, direito penal.
Palabras clave: Emociones, toma de decisiones, ley, estudio de caso, derecho penal
Decision making process
Today, there is a large number and variety of definitions of decision-making, depending on the scientific area in which they are made. The very word decision has its etymology in the Latin “decisio”, which means “decision, decision or resolution” (Holska, 2016).
The psychological definition of decision-making proposed by the American Psychological Association states that it is “the cognitive process of choosing between two or more alternatives, ranging from the relatively clear cut to the complex” (APA, 2023a). Decision making is an integral part of everyone’s life. Due to the range of subjects of potential decisions, it is a multifaceted process and depends on many circumstances, both of a general and individual nature. Therefore, it is a comprehensive subject of research in various fields, such as exact sciences (e.g. economics, mathematics, statistics, computer science), social sciences (sociology, psychology, cognition), as well as medical sciences, in particular neurosciences (Dąbrowski, 2015). There are many concepts related to decision-making, in particular developed in economic sciences and related mainly to the functioning of enterprises. As one of the basic divisions, the following should be mentioned:
descriptive decision making models - those theories are connected with the cognitive psychology and their main field of research is focused on people behavior and answering the question how people are making their judgment and decisions;
prescriptive decision making models - those ones are connected with the engineering sciences and included mathematical tools, using them were created some formal analysis of decision making and answering the question what types of method allows to achieve the result (Baron, 2012).
These models, in addition to a different approach, also differ in the fields of their application. The prescriptive approach is used primarily in economic sciences or various operational research, and the descriptive approach in psychological and sociological sciences or in management theories (Łabuz, 2019).
Due to the subject of this article, it is reasonable to briefly present a concept closely related to the above-mentioned models - the theory of rational choice. Initiated primarily by Adam Smith in the 18th century, it was developed in later periods, e.g. by Jean-Jacques Rousseau (Paternoster, Jaynes, & Wilson, 2017). It should be emphasized that it was in the 1960s and 1970s that the ideas corresponding to the contemporary theory of rational choice were shaped, e.g. by William Rike, Mancur Olson, or Kenneth Arrow. In the 1990s, this theory was considered one of the most important in various scientific areas, primarily economic, political, sociological and anthropological. According to the assumptions of this theory, actors have been fully informed about all the options available to them and have the opportunity to clearly rank these options according to their preferences, and consequently choose the most satisfactory option based on previous analysis. In addition, this theory assumes that the actor making such an analysis also takes into account the choices made by other actors. Thus, according to this theory, choices are the result of an exhaustive analysis of costs and benefits, available from all directions and for all actors (Verweij, Senior, Domínguez & Turner 2015) *.
Rational decision-making may involve several different processes, which consist of individual stages:
Considering the above, it clearly follows that the procedure in this model is primarily logical and systematic. Importantly, emotions in the decision-making process taken in accordance with the theory of rational decision-making practically do not play any significant role.
Therefore, the Nobel laureate in economics, Herbert Simon, attempted to improve the existing theory by taking into account psychological factors (Lerner, Li, Valdesolo, Piercarlo & Kassam, 2015). He conducted his research primarily in the area of decision-making by public administration, which resulted from the fact that he worked in the local authorities of the city of Milwaukee in the United States. Simon is credited with creating the theory of bounded rationality, which takes a critical approach to the principle of maximization found in utility theory, and emphasizes psychological decision-making processes (including economic ones), such as perception or cognitive operations. Herbert A. Simon in the company of Allen Newell also introduced the principle of satisfaction into his theory, which consists primarily in making a good choice (Meyer, Caruso & Salovey, 2016). Despite the fact that Newell and Simon did not explicitly indicate emotions as a factor influencing decision-making, his theory is considered to be the beginning of emphasizing the role of psychological factors in this process and it was an inspiration for further research. A breakthrough in the study of emotions took place in the 2000s, when many scientists - psychologists, including Paul Ekman, Nico Frijda, or Dacher Keltner, took up this topic, in particular attempts to define them and how they are one of the dominant factors influencing the making of important life decisions.
Emotions - their definition and functions
So what are emotions? Currently, there is a large number and variety of definitions of the concept of emotions in science, which is primarily due to the fact that they have been the subject of interest of researchers since the beginning of human civilization, and as a consequence, each historical period has had an impact on the definition and reception of this phenomenon (Dąbrowski, 2015).
Nowadays, one of the simpler, yet concise definitions is introduced by the American Psychological Association, which defines emotion as “complex reaction pattern, involving experiential, behavioral, and physiological elements, by which an individual attempts to deal with a personally significant matter or event” (APA, 2023b). Emotions also have some characteristic properties, which include, among others, that:
the emergence of emotions is mainly related to the conscious or unconscious evaluation of an event that is somehow relevant to the matter that is important to it” (Keltner, Oatley & Jenkins, 2014, p. 192);
emotion usually does not occur alone, usually “it is experienced as a distinct type of mental state, sometimes accompanied or followed by somatic changes, acts of expression and action” (Keltner,Oatley & Jenkins, 2014, p. 191).
Over time, various kinds of divisions of emotions have been made.
The basic division consists in their evaluation and distinguishes positive emotions including pleasant or desirable reactions to a given situation (Cohn, Fredrickson, Brown, Mikels & Conway, 2009) and negative emotions -including unpleasant or unhappy emotions (Sirois, 2003). Subsequent divisions were based on the distinction between basic and complex emotions, and research in this matter was carried out primarily by Robert Plutchik and Paul Ekman. Both of them distinguish certain basic emotions, i.e. those that are to some extent rooted in the brain, and their role is to deal with basic tasks present in the life of every human being (Gu; Wang; Patel; Bourgeois & Huang 2019). Plutchik pointed to 8 basic emotions, based on the criterion of significance, taking into account the adaptation process and included: fear, anger, disgust, sadness, surprise, joy, acceptance, anticipation (Plutchik. 1970). On the other hand, Paul Ekman, as a criterion for creating a catalog of basic emotions, adopted cultural universality and on this basis he distinguished 6 basic emotions, which included: fear, anger, disgust, sadness, joy, and surprise (Gu; Wang; Patel; Bourgeois & Huang 2019).
Virtually all emotions perform certain functions that can be categorized. Such a division of functions performed by emotions was made, among others, by John Marshall Reeve, who distinguished among them:
adaptive function - it consists in preparing the human body to take effective action;
motivational function - it boils down to a two-way link between emotions and motivation;
social function - it consists in improving interactions with the environment (Gałuszka, 2022).
Modern research has undoubtedly proved that, first of all, social emotions influence the making of social decisions (LeDoux, 1998). As a result of more than 35 years of research, Jennifer Lerner, Ye Li, Piercarlo Valdesolo, and Karim Kassam have identified several major themes related to emotional influence on judgment and decision-making. They state that:
In the context of decision-making by via Dept of Thought, the approach propagated e.g. by Norbert Schwarz (Schwarz, 1990) that when emotions are meant to indicate when a particular situation requires attention:
the occurrence of a negative mood should indicate the arrival of a potential threat and arousal vigilance,
observing a positive mood should be a sign of safety and prompt a more investigative approach (Lerner, Li, Valdesolo, Piercarlo & Kassam, 2015).
Considering the above, it is clear that emotions influence decision-making. However, due to the specific field of law, the author made an attempt to examine whether and how emotions affect the simulation of decision-making in a criminal law case.
Own research in the field of criminal law
For a long time emotional processes did not occupy a central position in criminological thought. Currently, most research concerns anger, which is considered a key emotion for understanding society’s response to crime (van Gelder,2002).
Very good example which can illustrate the number and variety of emotions that appear in the area of criminal law will be the quotation of Professor Suzanne Karstedt, Emotions pervade penal law and the criminal justice system. Offenders, victims and witnesses bring their emotions to the courtroom, criminal courts deal with crimes of passion, and their decisions can occasion public outrage and anger, or feelings of vengeance among victims. Offenders feel shame and remorse when they have transgressed the laws, and offences provoke feelings of moral disgust. At the same time, victims as well as offenders elicit our compassion and sympathy” (Karstedt, 2002).
According to the observation of emotional influence in criminal law I decided to conduct research in the area of criminal law. In two thousand twenty I conducted research on the influence of emotions on perceptions and judgment. The aim of the research was to check if and to what extent emotions influence the judgment and decision - making by potential participants in the process. The respondents were randomly divided into four research groups: group no.1 non legal profession, group no.1 lawyers, group no.2 non legal profession and group no.2 lawyers. There were 34 people in group 1 non legal profession - 22 of them were women, 12 men, while group 1 lawyers consisted of 28 people - 13 women and 15 men. Group 2 non legal profession comprised 28 people - 14 women and 14 men, and group 2 lawyers were 22 people - 13 men and 9 women.
As a part of this research, two versions of the same legal case were prepared - one with very detailed descriptions of events and emotions, and the other one containing facts only, without unnecessary descriptions. The respondents were asked to play the role of a judge, to pass a judgment in the presented case and to justify it briefly. Groups number 1 received an emotional description version of the case, while the second group received a matter of fact description version. The study was conducted via Google Forms. Apart from the content of the case, the respondents were asked to provide their gender, age, education and place of residence.
It is necessary for further presenting the research results to do a short presentation of the case story. It was a case about a girl, living only with her father, who was psychologically abused by him. The father has a high position in the local community. Once, while another big argument with her father, she grabbed a mortar grinder and stroke her father on the back of his head, then locked herself in the room. The blow to the head resulted in father’s instant death. An hour later she came back into the kitchen and saw her father dead, so she decided to hide the body in the garden. After some time the police found the body and the girl was accused of causing father’s death. On a trial, the defender indicated the personality of the penalty not to be imposed for an extraordinary leniency. The question in the case study was: Do you think the girl is guilty or not? What judgement would you make as a judge in this case?
It is necessary to point that the results were presented shortly in my earlier article however they were just described there. I have improved them by calculated all the data in the charts in the Statistica program.
What are the results?
1. There can be observed some gender - diversified responses.

The main impact shows that the gender of the respondents affects the guilt/innocence of the accused. As it is presented on the chart, women more often indicated that the main character of the case study is innocent. It can be observed both in the not lawyers group however also lawyers.

According to the gender - diversified responses, research has revealed another result. The gender of the respondents affects the proposed punishment. Women as judges in the case study provided were most likely to pass a lighter sentence than men.
It can be potencially connected with the emotional empathy to the main character, which is understanded as an ability to feeling other person’s emotions. This behavior may be due to the fact that she was a victim of domestic violence and that’s why the empathy was born.
In those results there is observed a statistical significance p=0,54 and p =0,79.

It is worth presenting another result, which is, just like the previous one, related to the gender differences between the respondents. For instance, the most severe sentences were proposed by men aged between 41 to over 60 years old, what is shown on the chart. They suggested a penalty of 25 years imprisonment, a penalty of life imprisonment and the “highest penalty”. Mostly, as their provided as justifications reasons such as “patricide”, “severe sentence, because he was her father”, “if she had a problem, she should have gone to a psychiatrist instead of killing her father”. The negative emotion, which was shown in those examples, probably was anger. It could be caused by the act of a daughter killing her father. In my opinion it can be noted a correspondence with the last research made by Brian Quigley and James Tedeschi, where states that when the incidental anger which appears in some situation can automatically elicit blaming other person however it has nothing to compare with the source of anger (Quigley & Tedeschi, 1996). The results are also connected to the research made by professor Carolyn Cote - Lussier. The research shows that the experience of anger is apparent before an individual can formulate an opinion about a specific crime or about the current crime rate, or even the purpose of sending someone to prison. The research also shows that anger is a very strong and fast reaction, and that the people who said that somebody should be punished more harshly, are relying on intuitive emotional reaction and not on cold hard facts (Cote - Lussier, 2022).
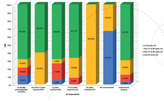
2.There can be observed some age - diversified responses.
The presented chart illustrates one more basic dependence related to the influence of the respondent’s age on punishment. The age of respondent’s affects the severity of the punishment imposed. Younger respondents suggested a more lenient sentence. It could be connected with their life experience as well as the fact that they are in the similar age group to the main character and they could imagine what prospects of live she still can have for a better future. In this relation can be observed statistical significance p = 0.03.
3.There can be observed some profession - diversified responses.

The profession of the respondents has an impact on the opinion regarding the guilt/innocent of the accused. Using the chart, we get that 100.00% of respondents with non-legal profession proposed acquittal verdicts. Summing up, the profession of the respondents (legal/non-legal) has an impact on the opinion regarding the guilt/innocence of the accused.
It can be concluded that this is because legal professions are a group less susceptible to being marked by an emotional influence than people with a non-legal profession. In addition, it is necessary to note that the lawyers made a comprehensive analysis of the situation and detailed consideration of the possibilities in this matter.
In my opinion, such a relationship may result from the nature of the legal profession. People performing this profession must be somewhat resistant to the effects of various distracting factors, and emotions are one of them.
Statistical significance p=0.04 occurs between the profession (legal/ non-legal) and the opinion on the guilt/innocence of the presented person. There is a weak correlation between the variables (V=0.39).

What’s more the profession has an impact on the discrepancy of the respondents’ answers. In groups of law practitioners, there is a tendency to pass a more detailed justification of the judgment. Additionally, when comparing the results of groups, it can be noted that law practitioners were more inclined to propose a specific sentence (e.g. 8 years imprisonment), and refer to a specific law article. Non - legal profession groups indicated various penalties and did not refer to specific law articles. They also used a lot of phrases like “it seems to me”, “in my opinion”, which suggested an intuitive approach to the matter. That’s probably the reason why a greater discrepancy on the proposed penalty occurs in people with non - legal professions answers.
Summary and conclusions
The main goal of this work was to explore emotional impact on decision making process. It was proved that undoubtedly they have an inherent relationship with decision making, which was also confirmed by the results of the study. This correlation has two-sides.
The work also presents basic types of the decision making process and their division. One of presented approach is strictly connected with the psychical nature of human being. It is kind of natural that the emotions take part in it. The reflection of the presented correlation can be found in the results of the research conducted for the purposes of this article. The results undoubtedly show a noticeable differences between responses which are mostly depending on age, gender and occupation.
The subject of emotions and decision making process is still a point of the nowadays research which is mostly provided in the United States. However, the rest of world starts to notice that correlation and the benefits and possibilities of using them.
Referencias
American Psychological Association (APA). (2023a). Decision making, APA Dictionary of Psychology. https://dictionary.apa.org/decision-making
American Psychological Association (APA). (2023b). Emotion, APA Dictionary of Psychology. https://dictionary.apa.org/emotions.
Baron, J. (2012). The point of normative models in judgment and decision making. Front. Psychology, (3), 577. https://www.frontiersin.org/articles/10.3389/fpsyg.2012.00577/full.
Cohn, M. A., Fredrickson, B. L., Brown, S. L., Mikels, J. A. y Conway, A. M. (2009). Happiness unpacked: Positive emotions increase life satisfaction by building resilience. Emotion, 9(3), 361-368 https://www.ncbi.nlm.nih.gov/pmc/articles/PMC3126102/.
Côté-Lussier, C. y David, J.-D. (2023). Intuitive anger in the context of crime and punishment. Psychology, Crime & Law, 29(5), 465-487. https://www.tandfonline.com/doi/abs/10.1080/1068316X.2022.2027946.
Critchley, P. (2018). Autonomy, authenticity and authority: The rational freedom of Jean-Jacques Rousseau. Humanities commons. Based on commons in a BOX. https://hcommons.org/deposits/item/hc:19891/.
Dąbrowski, A. (2015). Emotions and decision-making processes. En A. Dąbrowski, A. Schumann y J. Woleński (Eds.), Decision making-concepts, theories, controversies, Kraków (pp. 235-261). https://www.academia.edu/36167745/Emocje_a_procesy_decyzyjne.
Fredrickson, B. L. (2002). Positive emotions. En S. López, C. R. Snyder, L. Edwards y S. Marques (Eds.), The Oxford handbook of positive psychology (pp. 120-134). Oxford University Press.
Gałuszka, A. (2022). Emotion-their meaning and tasks. Journal of Education, Health and Sport, 12(1), 147-159.
Gu, S., Wang, F., Patel, N. P., Bourgeois, J. A. Y Huang, J. H. (2019). A model for basic emotions using observations of behavior in Drosophila. Frontiers in Psychologia, (10), 781.
Holska, A. M. (2016). Theories of decision-making. En K. Krzysztof (Ed.), Management, organizations and organizing. A review of theoretical perspectives. Warsaw.
Keltner, D., Oatley, K. y Jenkins, J. (2014). Understand emotions. John Wiley & Sons. https://vdoc.pub/documents/understanding-emotions-7jba5ueeimt0.
Łabuz, A. (2019). The decision-making process on the example of the purchase of new computer equipment. Studies and Works, (59), 119-130. https://wnus.usz.edu.pl/sip/en/issues/.
LeDoux, J. E. (1998). The emotional brain. The mysterious underpinnings of emotional life. Simon & Schuster.
Lerner, J., Li, Y., Valdesolo, P. y Kassam, K. (2015). Emotion and decision making. Annual Review of Psychology, 66, 799-823.
Mayer, J. D., Caruso, D. R. y Salovey, P. (2016). The ability model of emotional intelligence: Principles and updates. Emotion Review, 8(4), 290-300. https://doi.org/10.1177/1754073916639667.
Newell, A. y Simon, H. A. (1972). Human problem solving. Prentice-Hall. https://learnlab.org/wiki/images/1/1d/Human_Problem_Solving.pdf.
Paternoster, R., Jaynes, C. M. y Wilson, T. (2017). Rational choice theory and interest in the “Fortune of Others”. Journal of Research in Crime and Delinquency, 54(6), 847-868. https://ccjs.umd.edu/sites/ccjs.umd.edu/files/pubs/1compliant-Rational%20Choice%2C%20Paternoster.pdf o https://doi.org/10.1177/0022427817707240.
Plutchik R., (1970). Emotions, evolution, and adaptive processes. En M. B. Arnold (Ed.), Feelings and emotions. The Loyola Symposium (pp. 3-24). Academic Press. https://shop.elsevier.com/books/feelings-and-emotions/arnold/978-0-12-063550-4.
Quigley, B. M. y Tedeschi, J. T. (1996). Mediating effects of blame attributions on feelings of anger. Personality and Social Psychology Bulletin, 22(12), 1280-1288. https://doi.org/10.1177/01461672962212008.
Reeve, J. (2009). Motivación y emoción. McGraw-Hill/Interamericana Editores. https://clea.edu.mx/biblioteca/files/original/22488921e36d90caeef3d8973d805dcb.pdf.
Samuelson W. F. y Marks S. G., (2012). Managerial economics. John Wiley & Sons. http://www.mim.ac.mw/books/Samuelson%20Managerial%20Economics%207e.pdf.
Schwarz, N. (1990). Feelings as information: Informational and motivational functions of affective states. En E. T. Higgins y R. M. Sorrentino (Eds.), Handbook of motivation and cognition: Foundations of social behavior (vol. 2, pp. 527-561). The Guilford Press.
Sirois, B. C. y Burg, M. M. (2003). Negative emotion and coronary heart disease: A review. Behavior Modification, 27(1), 83-102. https://pubmed.ncbi.nlm.nih.gov/12587262/.
Verweij, M., Senior, T. J., Domínguez, D. Y Turner, R. (2015). Emotion, rationality, and decision-making: How to link affective and social neuroscience with social theory. Frontiers in Neuroscience, 9, 332. 10.3389/fnins.2015.00332. https://www.frontiersin.org/articles/10.3389/fnins.2015.00332/full.
Notas