Artículo
Las migraciones internacionales entre 1990 y 2010. Análisis de África occidental a partir de las estadísticas
International Migrations between 1990 and 2010: A Statistical Analysis of West Africa
Las migraciones internacionales entre 1990 y 2010. Análisis de África occidental a partir de las estadísticas
Estudios de Asia y África, vol. 57, núm. 2, pp. 355-400, 2022
El Colegio de México A.C.
Recepción: 17 Marzo 2021
Aprobación: 05 Enero 2022
Resumen: En este artículo se describen los cambios operados en las migraciones internacionales en África occidental y se identifican los principales países de emigración e inmigración de la región desde mediados de la década de 1970 hasta 2010. A partir de la crisis de 1973, en África occidental se incrementaron los emigrantes intercontinentales; por una parte, los países que eran receptores de inmigrantes intrarregionales comenzaron a perfilarse como emisores de emigran tes intercontinentales y, por otra, los países tradicionalmente de emigración buscaron cada vez más sus destinos fuera del continente. Actualmente, Francia sigue siendo el primer país europeo con el mayor número de inmigrantes de África occidental, pero a partir de la década de 1990, Estados Unidos y el sur de Europa (especialmente Italia y España) fueron viendo cómo aumentaban en sus países los inmigrantes procedentes de esta región africana.
Palabras clave: migraciones internacionales, migraciones intracontinentales, migraciones intercontinentales, flujos migratorios, África occidental.
Abstract: This paper describes the changes in international migration in West Africa, identifying the main countries of emigration and immigration in the region from the 1970s to 2010. After the 1973 crisis, West Africa has experienced an increase in intercontinental migrants: on the one hand, countries that were recipients of intra-regional migrants have emerged as senders of intercontinental migrants; on the other hand, the traditional countries of emigration are looking more and more to destinations outside the continent. Today, France is still the leading European country with the largest stock of West African immigrants, but since the 1990s, the United States and southern Europe (especially Italy and Spain) have seen an expansion of immigrants from this African region in their countries.
Keywords: international migrations, intra-continental migrations, inter-continental migrations, migration flows, West Africa.
Introducción
Desde la última década del siglo XX se detectaron importantes cambios en las migraciones internacionales; los más destacados son la mundialización, la aceleración y la diversificación de los flujos migratorios (Castles y Miller 2009; Castles 2018). La mundialización de las migraciones, entendida como la participación de todos los países del mundo en la emisión y la recepción de migrantes, se intensificó en las últimas décadas. Para cuantificar la conectividad interregional de las migraciones mundiales se puede recurrir al cálculo de la densidad, indicador que divide el número de relaciones efectivas entre el número de relaciones posibles. Con este cálculo para el periodo 1990-2010, la densidad de los flujos migratorios superó 80%, lo que se interpreta como una elevada conectividad interregional de las migraciones (Verdugo, Pereira y César 2016).
Al mismo tiempo, asistimos a una aceleración de las migraciones, es decir, a un aumento de la velocidad a la que se acumulan los migrantes. Según datos de la estadística Trends in Inter national Migrant Stock: Migrants by Destination and Origin de las Naciones Unidas (UN-DESA 2015), en 1990 la cantidad de migrantes internacionales ascendió a 154 millones; en 2000, a 174 millones, y en 2010, a 221 millones, por lo que la tasa de crecimiento anual se situó en 1.2% durante el periodo 1990-2000 y en 2.4% durante 2000-2010, resultados que evidencian la aceleración. Se observa, además, una diversificación de los flujos, a pesar de que siguen predominando los motivos laborales, de modo que los que se producen por reagrupamiento familiar, refugio, estudios o jubilación van aumentando su peso en el total de las migraciones internacionales (Castles 2002).
En el caso de África, a estos cambios hay que añadir otros. Por una parte, el continente africano ha experimentado un aumento de migrantes, pero el peso porcentual de las migraciones africanas se ha visto reducido en el total mundial. Por otra parte, se han producido mudanzas sustanciales en el papel desempeñado por determinados países africanos, que han pasado de ser receptores a ser emisores de emigrantes intercontinentales.
Éstos y otros cambios ocurridos desde 1990 en las migraciones mundiales en general, y en las africanas en particular, se abordarán en los dos siguientes apartados. Posteriormente, el estudio se centrará en las migraciones internacionales experimentadas en los diferentes países de África occidental. En primer lugar, se analizarán los flujos migratorios de esta región desde el periodo colonial hasta inicios de la década de 1990, tanto con datos cuantitativos y cualitativos recogidos en diferentes publicaciones como con información estadística de dos investigaciones. La primera, elaborada por Zachariah y Condé (1981), autores que crearon una matriz de migraciones entre nueve países de África occidental utilizando los censos de población de 1975 de dichos territorios. La segunda investigación es la encuesta REMUAO,1 que cuantificó mediante entrevistas en hogares los flujos migratorios internos e internacionales que se produjeron en ocho países de África occidental durante 1988-1992. Finalmente, para el periodo 1990-2010 se recurre a la estadística Trends in International Migrant Stock de las Naciones Unidas (UN-DESA 2015), ya que dicha fuente recopila información sobre las salidas (países de origen) y las llegadas (países de destino) de los migrantes2 por países, por regiones3 y por continentes para los años 1990 y 2010.4
Las migraciones internacionales entre 1990 y 2010
Durante el periodo 1990-2010, todos los continentes aumentaron su contingente de emigrantes en términos absolutos, pero en términos relativos se observa que ganó peso el de emigrantes originarios de América (que pasó de 13 a 18% del total mundial) y, en menor medida, los procedentes de Asia (de 37 a 40%), mientras que perdieron peso los provenientes de Europa (de 32 a 25%) y de África (de 14 a 13%) (cuadro 1). Cuando descendemos al marco regional, se comprueba que las salidas del continente americano se concentraron en América Central, principalmente en México.5 Efectivamente, en 1990 la cantidad de emigrantes mexicanos era de 5 millones y, en 2010, de 12.7 millones, de manera que en ese último año una tercera parte de los emigrantes del continente americano partió de México.6

En relación con el destino, durante el ciclo 1990-2010 todos los continentes incrementaron su número de inmigrantes en términos absolutos. Sin embargo, América fue la única región que aumentó su peso porcentual en el total mundial al concentrar 23% de los inmigrantes en 1990 y 27% en 2010; África lo disminuyó de 10 a 8%, y el resto de los continentes lo mantuvo casi igual (cuadro 2).

El aumento del porcentaje del continente americano se explica por el creciente peso de Estados Unidos en la recepción de migrantes internacionales, al concentrar 15% en 1990, y en 2010, 20% del conjunto de los migrantes del mundo. El principal origen de los migrantes que llegan a Estados Unidos es México, en concreto, 4.9 millones en 1990 y 12.5 millones en 2010.
Desde una perspectiva global, las zonas más desarrolladas del mundo han acentuado su peso como receptoras: en 1990 acumulaban 53% de los inmigrantes internacionales, y en 2010, 59% (cuadro 2). Diferentes factores explican el fortalecimiento de los flujos sur-norte durante este periodo. En primer lugar, los desequilibrios socioeconómicos funcionaron como factores push (de expulsión) en los países subdesarrollados y como factores pull (de atracción) en los desarrollados, y las salidas migratorias que tienen como origen los países del sur y como destino los del norte se intensificaron (Colomo 2002, 12-18). La securitización de la migración en el norte global desde 2001 ignora que la migración sur-norte es resultado de la creciente desigualdad global y la falta de seguridad humana en el sur (Castles 2017). En segundo lugar, elementos políticos como las guerras civiles y las dictaduras también fueron y siguen siendo factores de expulsión en algunos países del sur; efectivamente, según el Alto Comisionado para los Refugiados de la ONU (ACNUR), a finales de 2019 había en el mundo 79.5 millones de refugiados, de los cuales 68% procedían de cinco países: República Árabe de Siria (6.6 millones), Venezuela (3.7), Afganistán (2.7), Sudán del Sur (2.2) y Myanmar (1.1) (ACNUR 2020, 3). Además, entre los elementos políticos hay que tener en cuenta que el desmembramiento de la URSS en 1989 convirtió los antiguos flujos migratorios internos en internacionales y, de hecho, los incrementó en 27 millones en el año 2000 (Zlotnik 2006, 35). En tercer lugar, el aumento de las migraciones también se vio favorecido por el impresionante desarrollo tanto de los medios de transporte -al reducirse el precio de los viajes aumentó el número de migrantes potenciales- como de las tecnologías de la comunicación -que permitieron a los futuros migrantes informarse de los posibles destinos- (Dumont 2006, 22-23; Ndiaye y Robin 2010, 55 ). Este contexto de movilidad y comunicación ha llevado a algunos autores a hablar de una nueva perspectiva migratoria basada en el transnacionalismo (Blanco 2007, 13 ).
Las migraciones internacionales africanas en el contexto mundial
Los datos de Trends in International Migrant Stock (UN-DESA 2015) indican que en la última década del siglo XX el número de emigrantes internacionales del continente africano apenas aumentó: pasó de 21.2 millones en 1990 a 22.8 millones en 2000. Sin embargo, en la primera década del siglo XXI se detectó un mayor incremento, al contabilizarse en 2010 un total de 28.8 millones. A pesar de ello, de los cuatro grandes continentes, África es el que registra actualmente el menor número de emigrantes internacionales, con sólo 13% del total mundial en 2010 (cuadro 1). Esta baja participación también queda de manifiesto cuando calculamos la tasa de emigración,7 de forma que, en 2010, en África emigraron 28 de cada 1 000 habitantes, mientras que en América lo hicieron 42, en Oceanía 47 y en Europa 76 000.
Al igual que en el resto de los continentes, en 1990 los emigrantes africanos eran mayoritariamente intracontinentales, en concreto, 63% se dirigían a un país del continente. Sin embargo, dos décadas después este patrón cambió, y los africanos emigran algo más fuera de su continente que dentro de él. Los datos de 2010 así lo confirman: en África los emigrantes intracontinentales representaron 49% del total de los internacionales, mientras que en el resto de los continentes el porcentaje de emigrantes intracontinentales superó el 50% (cuadro 3).
Sin embargo, el predominio de los emigrantes intercontinentales no se cumplió en todas las regiones africanas. En 1990, la región norte de África era la única en la que los emigrantes intercontinentales superaban a los intracontinentales, mientras en el resto de las regiones predominaban los intracontinentales, y más precisamente los intrarregionales. Dos décadas después, los emigrantes intercontinentales continuaron siendo mayoritarios en la región norte, y se volvieron mayoritarios en el sur. En el resto de las regiones africanas siguieron prevaleciendo los emigrantes intracontinentales, aunque a lo largo del periodo 1990-2010 fueron perdiendo peso a favor de los intercontinentales (cuadro 4).

La crisis del sector agrícola ante la liberalización de los mercados, la débil industrialización de la mayoría de los países africanos, la inestabilidad política crónica y la crisis de los servicios públicos son factores que explican la pérdida de peso de los emigrantes intracontinentales a favor de los intercontinentales en las diferentes regiones africanas (Wa Kabwe-Segatti 2009).
El destino de los emigrantes internacionales fue diferente en cada región africana (anexo 1). Para los originarios del norte de África en 1990, las principales regiones de destino eran Asia occidental (40%) y Europa occidental (39%). En 2010, estas dos zonas siguieron siendo los destinos principales, pero se observa una pérdida de peso de Europa occidental a favor del sur de Europa. En el caso de África central, la mayor parte de los emigrantes se localizaba en la propia región y, secundariamente, en la zona vecina de África oriental, donde se observa, a lo largo del periodo, una reducción del peso de la proporción intrarregional y un aumento en la región de África oriental.
En 1990, cerca de 60% de los emigrantes del sur de África eran intrarregionales, y el resto se repartía de modo casi equitativo entre África oriental, el norte de Europa, el norte de América y Oceanía. A lo largo del periodo se redujo el peso de las regiones africanas a favor del norte de Europa y Oceanía. Respecto a África oriental, tanto en 1990 como en 2010 el mayor porcentaje de emigrantes se concentró en la región, aunque el porcentaje ha disminuido de 61 a 41% durante el periodo analizado. Por último, África occidental fue la región con mayor porcentaje de emigrantes intrarregionales: 79% en 1990 y 69% en 2010. A continuación analizo más detalladamente la evolución de los flujos migratorios de esta región.
Las migraciones internacionales en África occidental
Según la teoría de los sistemas de migración, para comprender la elección del destino del emigrante es necesario investigar los dos extremos del flujo migratorio y analizar los vínculos (económicos, culturales, políticos, etc.) entre los países emisores y los receptores (Kritz, Lin y Zlotnik 1992). De hecho, los lazos anteriores entre países de origen y de destino -relacionados con la colonización, las relaciones comerciales, las inversiones o las relaciones culturales- influyen al optar por el país de destino. Algunas investigaciones han indicado que la mayoría de los movimientos migratorios se realizan dentro de la misma región, ya que así se reduce tanto el tiempo como el coste del desplazamiento (Wihtol 2010, 51). Además, es bastante habitual que el migrante no disponga de los recursos económicos necesarios para llegar a su lugar deseado, por lo que deberá realizar el viaje en etapas, y normalmente el final de la primera de ellas es dentro de su región.
En el caso de África occidental, los actuales flujos migratorios están claramente influidos por su pasado (Ndiaye y Robin 2010, 51-52). El sistema colonial francés instaurado en esa región estuvo marcado por las migraciones de trabajo, fundamentalmente forzadas,8 lo que producía traslados de población del interior hacia la costa. En 1815, el Tratado de Viena abolió el esclavismo, y a partir de entonces el continente africano se insertó en el mercado mundial como proveedor de materias primas pa ra abastecer a las nacientes industrias europeas. En este contexto, las políticas diferenciales de inversión de Francia en África occidental agravaron las disparidades regionales: las zonas costeras, con un clima más propicio para la agricultura y más accesibles a los mercados europeos, se especializaron en cultivos de exportación (café, cacao, etc.) y en receptoras de emigrantes procedentes de las zonas interiores, donde las inversiones eran prácticamente nulas. Así, en la primera mitad del siglo XX, Ghana se convirtió en el primer receptor de inmigrantes de la región y Costa de Marfil en el segundo. Sin embargo, en 1969 el gobierno ghanés aprobó la Alien Compliance Order, que obliga a los extranjeros a portar un permiso de residencia en vigor para permanecer en el territorio y, en caso de no tenerlo, a abandonar el país en un plazo de dos meses. Como resultado, el número de inmigrantes en Ghana disminuyó: en 1960 residían ahí 280 000 togoleses y 195 000 burkineses, y en 1970, un total de 245 000 y 159 000, respectivamente. A partir de la década de 1960, Costa de Marfil se convirtió en el principal destino de los emigrantes de la región: en 1975 se contabilizaban 1.4 millones de extranjeros, de los cuales 726 000 eran burkineses y 349 000, malienses (Zachariah y Condé 1981, 6).
Tras la descolonización de África occidental, los flujos mi gratorios del periodo colonial siguieron predominando. Hasta la década de 1970, Costa de Marfil, Ghana y Senegal eran los principales destinos de burkineses, malienses, guineanos, gambianos y togoleses (Lalou 1997, 365). Durante la sequía de 1969-1974, en África occidental los habituales países de emigración mantuvieron sus acostumbrados destinos dentro de la región y no optaron por la emigración intercontinental; así, Coulibaly y Vaugelade (1981) señalan que dicho fenómeno intensificó la salida de burkineses hacia Costa de Marfil, pero no hacia fuera del continente.
La emigración intercontinental exige mayor planificación (Findley 1994) y, por otra parte, Europa, el destino interconti nental más cercano para los emigrantes de África occidental, restringió la entrada de inmigrantes en sus países debido al incremento del desempleo que registraban sus economías tras la crisis del petróleo de 1973.
Aunque existe una abundante literatura académica relativa a las migraciones de diferentes países de África occidental, no son tantas las publicaciones que aporten datos estadísticos9 que permitan cuantificar las internacionales en la región. El primer análisis con tales datos de las migraciones intrarregionales en África occidental es el elaborado por Zachariah y Condé (1981), que utilizaron como fuente los censos de nueve países de la región y elaboraron una matriz de migraciones para 1975.10 En ese año, de los nueve países incluidos en el estudio, tres (Costa de Marfil, Ghana y Senegal)11 concentraban 84% de los inmi grantes, y cuatro (Burkina Faso, Guinea Conakry, Mali y Togo)12 acumulaban 74% de los emigrantes.
En 1975, Costa de Marfil era el país con mayor poder de atracción de las migraciones intrarregionales, con un total de 1 425 900 extranjeros en su territorio, es decir, 51% del total de los inmigrantes de la región. Al igual que en la época colonial, los principales colectivos eran los burkineses (726 200) y los malienses (348 500), que representaban, respectivamente, 51 y 24% del total de los extranjeros en Costa de Marfil. El segundo puesto en cuanto a recepción de inmigrantes lo ocupaba Ghana, con 562 100 extranjeros, lo que suponía 20% del total de la región. Las principales nacionalidades procedían de Togo (244 700) y Burkina Faso (159 300), equivalentes a 44 y 28% de los extranjeros residentes en Ghana. Senegal ocupaba la tercera posición, con un total de 355 000 extranjeros, es decir, 13% del contingente de inmigrantes de la región, y los principales colectivos procedían de Guinea Conakry (180 200) y Gambia (45 600), que representaban 51 y 13% de los extranjeros en Senegal (anexos 2a y 2b). En relación con los países de emigración, se observa que se mantienen los destinos tradicionales del periodo colonial: 76% de los emigrantes de Burkina Faso y 83% de los de Mali se localizaban en Costa de Marfil, 94% de los de Togo en Ghana, y 40% de los de Guinea Conakry en Senegal13 (anexo 2c).
A partir de la crisis del petróleo de 1973 se deterioró la relación real de intercambio de los países africanos, ya que sus economías estaban basadas en monocultivos de exportación. En la década de 1980, la crisis económica y la puesta en marcha de programas de ajuste estructural redujeron el poder de atracción de los usuales países de inmigración de África occidental. Los ejemplos más significativos son Ghana y Nigeria, que pasaron de receptores de inmigrantes a emisores de emigrantes, lo que cambió su saldo migratorio de positivo a negativo.14 Aunque el efecto de los programas de ajuste estructural no ha sido analizado en su conjunto, Adepoju (1995) estima que entre 1985 y 1990, 60 000 cuadros medios y superiores abandonaron África, y Ghana y Nigeria fueron los países más afectados de África occidental. En Senegal la dinámica fue similar: reducción del poder de atracción de inmigrantes y aumento del número de emigrantes y, como resultado, un saldo migratorio negativo. La mala situación económica de los países de la región y de las regiones vecinas canalizó, lenta pero progresivamente, a los emigrantes de estos tres países hacia destinos fuera del continente.
Las migraciones internacionales en África occidental a finales de la década de 1980 presentaron cambios sustanciales, tal como se constata a partir de los datos de la encuesta REMUAO, donde se recogen los flujos migratorios internacionales de ocho países de África occidental. Sin embargo, esta información no es totalmente comparable con la de la investigación de Zachariah y Condé (1981). Por una parte, la encuesta REMUAO registra los flujos migratorios de un país en relación con cada uno de los demás países, pero no proporciona información relativa a la cantidad de migrantes que hay en cada país, por lo que no es posible calcular la variación de emigrantes e inmigrantes entre 1975 y el periodo 1988-1992. Por otra parte, entre las dos investigaciones sólo coinciden cuatro países: Burkina Faso, Costa de Marfil, Mali y Senegal.
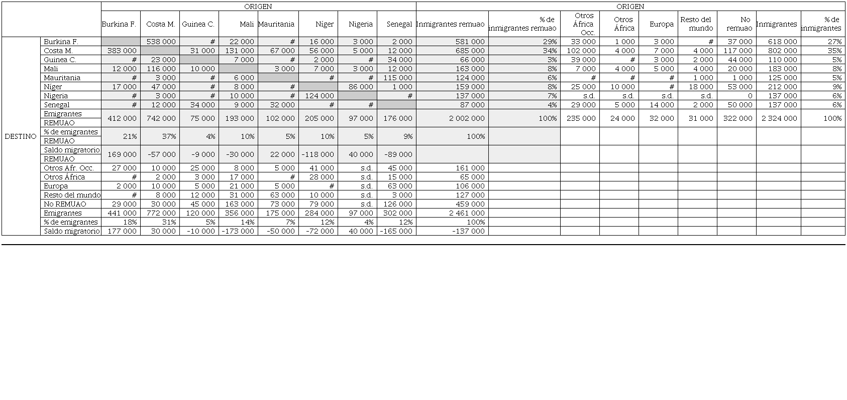
Aun así, a partir de los datos de la encuesta REMUAO15 se pueden constatar algunos cambios y continuidades producidos en las migraciones internacionales desde la segunda mitad de la década de 1970 hasta principios de la de 1990. Una de las principales continuidades es que Costa de Marfil siguió teniendo un papel preponderante en la recepción de inmigrantes de la región, y uno de los principales cambios fue el papel jugado por Senegal, que pasó a ser un país de emigración. Efectivamente, durante el periodo 1988-1992, Costa de Marfil continuó siendo el principal país de inmigración de la región, de forma que, de las 2 002 000 llegadas de inmigrantes, 685 000 tuvieron como destino Costa de Marfil, lo que supuso 34% de los flujos de entrada intrarregionales.16 Además, también se observa que en el mismo periodo, Costa de Marfil acumuló 37% de los emigrantes intrarregionales, con un saldo migratorio negativo respecto a los países de la REMUAO. Las mismas tendencias se observan en Senegal, que perdió su poder de atracción y aumentó el de expulsión de emigrantes a la región, con un saldo migratorio intrarregional negativo (anexo 3a).
Los datos de la encuesta REMUAO también permiten analizar los flujos migratorios internacionales del periodo 1988-1992 entre estos países y otros de África occidental no incluidos en la encuesta, así como de África, de Europa y del resto del mundo. Del total de los flujos de entrada del mundo, Costa de Marfil recibió 802 000, lo que representa 35% del total de la región; los flujos más numerosos procedían de Burkina Faso (383 000) y de Mali (131 000), lo que representa 48%, y 16% del total de las llegadas a Costa de Marfil (anexos 3a y 3b); al igual que en 1975, el primer destino de los emigrantes burkineses (87%) y de los malienses (37%) fue Costa de Marfil (anexo 3c). Además, Costa de Marfil concentró 31% de las salidas de emigrantes de la región y presentó, en el periodo, un saldo migratorio internacional positivo (anexo 3a).
En Senegal, los flujos de entrada del resto del mundo fueron de 137 000 (6% del total de la región), de los cuales 34 000 procedían de Guinea Conakry y 32 000 de Mauritania, lo que representa, respectivamente, 25 y 23% del total de las llegadas de todo el mundo (anexos 3a y 3b); Senegal fue el primer destino de los guineanos (28%), pero para los mauritanos fue Costa de Marfil (38%), y Senegal ocupó el segundo puesto (anexo 3c). Al mismo tiempo, Senegal acumuló 12% de las salidas de emigrantes de la región, por lo que su saldo migratorio internacional fue negativo (anexo 3a).
Durante 1988-1992, 81% de los emigrantes de los países de la REMUAO se dirigieron a otro país de los incluidos en la encuesta, 10% lo hizo a otro país africano y sólo 9% emigró fuera del continente. Sin embargo, en dos países el porcentaje de emigrantes intercontinentales cobró especial importancia: Mauritania (con 39%) y Senegal (22%) (anexo 3c).
En la estadística Trends in International Migrant Stock de las Naciones Unidas (UN-DESA 2015) hay datos a partir de 1990. Como se ha visto, según esta fuente, en 1990 el 79% de los emigrantes internacionales de África occidental eran intrarregionales, y en 2010 esa cifra se redujo a 69%. A pesar de esta tendencia, el porcentaje de emigrantes intrarregionales en África occidental siguió siendo muy superior al de otras regiones del continente africano (cuadro 4). A continuación, a partir de los datos de esta estadística, se analizan los cambios en las migraciones internacionales en la región de África occidental durante 1990-2010.17 Se presenta la evolución, en primer lugar, del flujo de migrantes intrarregionales y, en segundo, del de migrantes intercontinentales.18
Las migraciones intrarregionales en África occidental
En 1990, Costa de Marfil concentraba 45% del total de los inmigrantes de África occidental, mientras que en el resto de los países el porcentaje era inferior a 10%. Respecto a los emigrantes, Burkina Faso y Mali concentraban 26 y 16% del total de la región, mientras que en el resto de los países el porcentaje era inferior a 10% (cuadro 5). Tal como acontecía en el pasado, los principales colectivos de inmigrantes residentes en Costa de Marfil eran los burkineses y los malienses, que representaban 52 y 24% de los inmigrantes en ese país (anexo 4a). Para 91% de los burkineses y 61% de los malienses, el destino era Costa de Marfil (anexo 4b).

En 2010, Costa de Marfil se mantuvo como el principal polo de atracción de los emigrantes de África occidental, con 42% de la cuota de inmigrantes de la región (cuadro 6). Los burkineses y los malienses continuaron siendo los principales colectivos en Costa de Marfil, pero hubo un aumento del peso porcentual de los burkineses, que ahora representaban 62% de los extranjeros, y una disminución de malienses, que sólo eran 17% (anexo 5a). En ese año, el segundo país receptor de inmigrantes fue Nigeria, con 13% de los inmigrantes de la región (cuadro 6), y las principales procedencias eran Benín (24%), Ghana (19%), Mali (13%) y Togo (12%) (anexo 5a). En relación con los emigrantes, Burkina Faso continuó a la cabeza (28%), pero el segundo puesto fue para Costa de Marfil (12%), que relegó a Mali (12%) a la tercera posición (cuadro 6). El 89% de los burkineses y 47% de los malienses estaban en Costa de Marfil, mientras que 66% de los costamarfileños iba a Burkina Faso (anexo 5b).

Durante 1990-2010, en África occidental el número de migrantes intrarregionales pasó de 3.9 millones a 5.5 millones. Las migraciones intrarregionales ya eran intensas en la época colonial, pero se reforzaron tras la creación de la Communauté Économique des États de l’Afrique de l’Ouest (CEDEAO)19 en 1975. La CEDEAO tiene entre sus objetivos la integración econónómica de los países que la componen, así como la libre circula ción de personas entre ellos. África occidental es la única región del continente que ha eliminado los obstáculos a la libre movilidad de las personas (Ndiaye y Robin 2010, 50), lo que ha facilitado los flujos migratorios intrarregionales.20 Los datos así lo confirman: según Zachariah y Condé (1981), en 1975 había 2 790 400 inmigrantes en nueve países de África occidental; para esos mismos países, los datos de Trends in International Migrant Stock registran 4 031 431 en 2010 (UN-DESA 2015).
Aunque Costa de Marfil siguió siendo el principal país receptor de inmigrantes de la región, durante estas dos últimas décadas asistimos a una pérdida de su poder de atracción a favor de Nigeria. Así, el contingente de ghaneses se redujo en Costa de Marfil (-53 000), al tiempo que se incrementó en Nigeria (+81 000); de forma similar, los malienses disminuyeron su presencia en Costa de Marfil (-34 000) y la aumentaron en Nigeria (+58 mil). Además, en Nigeria también se incrementó la presencia de otras nacionalidades de África occidental, como la togolesa (+50 000), la nigerina (+37 000) y la mauritana (+2 000) (datos calculados a partir de UN-DESA 2015). En todo caso, los movimientos fuera del continente fueron cada vez más numerosos, y se volvieron mayoritarios para algunos países de la región, como se verá a continuación.
Las migraciones intercontinentales en África occidental
En 1990 había 4 957 801 emigrantes internacionales en África occidental, de los cuales 759 535 estaban fuera del continente africano. En términos porcentuales, los emigrantes intercontinentales representaban 15% del total, con Europa como el primer destino (cuadro 7).

Dos décadas después, el número de emigrantes internacionales aumentó en tres millones, y se acercó a casi ocho millones en 2010. Este incremento se produjo más intensamente en el grupo de emigrantes intercontinentales, de manera que en 2010 representaron 26% del total (cuadro 8).

En 1990, en los países de África occidental predominaron los emigrantes intracontinentales, con excepción de Cabo Verde, con 72% de sus emigrantes en Europa (anexo 4b). En 2010, 89% de los emigrantes caboverdianos fueron intercontinentales, y este tipo de emigración también fue mayoritaria entre los gambianos (77%), los nigerianos (59%) y los senegaleses (50%)21 (anexo 5b).
La salida de los gambianos con destinos fuera del continente estuvo influida por la crisis que afectó a Senegal en la década de 1980 y a Costa de Marfil en la de 1990, países que eran sus destinos tradicionales. Además, la crisis de la década de 1980 también expulsó a los senegaleses fuera del continente, de forma que en 2010 la mitad de estos emigrantes fueron intercontinentales (130 000 en 1990 y 250 000 en 2010). Durante ese periodo, el principal país de destino de los senegaleses fue Francia (73 000 en 1990, 79 000 en 2000 y 112 000 en 2010), pero desde 1990 se incrementó su presencia en el sur de Europa: en 1990 y 2000 el segundo destino fue Italia (44 000 en 1990, 49 000 en 2000 y 53 000 en 2010), y en 2010, el segundo fue España (3 000 en 1990, 7 000 en 2000 y 56 000 en 2010).
Se comentó antes que durante 1990-2010, Nigeria fue ganando protagonismo como país receptor de migrantes proce dentes de la región; ahora se comprueba que, en el mismo periodo, también se afirmó como país emisor de migrantes in tercontinentales, de modo que en 1990 había 174 000 nigerianos fuera de África, cifra que se incrementó hasta 592 000 en 2010. El principal destino fue Estados Unidos, con 63 000 nigerianos en 1990 y 243 000 en 2010, y el segundo, el Reino Unido, con 47 000 en 1990 y 148 000 en 2010 (datos calculados a partir de UN-DESA 2015).
Conclusiones
El estudio de los flujos migratorios internacionales del periodo 1990-2010 evidencia su marcado incremento, así como la consolidación de las regiones más desarrolladas del mundo como principales receptoras. Durante ese periodo, de los cuatro grandes continentes, África fue el que aportó el menor número de migrantes internacionales. Sin embargo, incrementó su cuota de emigrantes de forma intensa en la primera década del siglo XXI. Ese cambio cuantitativo estuvo acompañado de otro cualitativo: un aumento de emigrantes intercontinentales, de manera que en 2010 África fue el único continente donde este tipo de emigración superó la intracontinental. Ahora bien, el análisis por regiones ha permitido comprobar que este resultado se explica por el comportamiento de dos regiones: el norte de África, donde 95% de los emigrantes fueron intercontinentales, y el sur de África, con 54% de esta clase de emigrantes.
La región de África occidental fue la que presentó el menor porcentaje de emigrantes intercontinentales. Sin embargo, a partir de la crisis económica de 1973, los flujos intrarregionales fueron siendo sustituidos por los flujos intercontinentales. Por una parte, los habituales países de emigración aumentaron cada vez más sus destinos fuera del continente, y el ejemplo más representativo fue Gambia, donde los emigrantes intercontinentales eran mayoritarios en 2010. Por otra parte, los tradicionales países de inmigración se volvieron países de emigración, con rumbo a Europa (como en el caso de Senegal) y Estados Unidos (como Nigeria). Estos emigrantes intercontinentales tuvieron como principal destino las antiguas metrópolis europeas, y los flujos migratorios siguieron un comportamiento similar al anterior a la independencia de estos territorios, aunque poco a poco algunos países del sur de Europa, como Italia y España, fueron ganando protagonismo en la recepción de inmigrantes procedentes de estos países.
En efecto, hasta la década de 1970 las migraciones intercontinentales de África occidental estaban claramente marcadas por el pasado colonial, de manera que la mayoría de los malienses, los senegaleses y los burkineses que salían del continente se dirigían a Francia, mientras que los nigerianos y los ghaneses iban al Reino Unido (Robin 1994; Suárez 1995; Schmidt 1995). Aunque en 2010 Francia siguió siendo el primer país europeo con la mayor proporción de inmigrantes de África occidental, a partir de la década de 1990 Estados Unidos y el sur de Europa (especialmente Italia y España) fueron viendo cómo se incrementaban en sus territorios los inmigrantes procedentes de esta región africana. Los emigrantes subsaharianos se vieron atraídos por el crecimiento económico que vivieron desde la década de 1990 esos países del sur de Europa; al mismo tiempo, la proximidad geográfica y la legislación más permisiva con la entrada de extranjeros en esos países facilitaron su llegada.22 Así, en 2010 España fue el primer destino fuera de África para los burkineses y los gambianos, y Estados Unidos lo fue para nigerianos y liberianos; Italia se convirtió en el segundo destino intercontinental para los costamarfileños, y España ocupó la segunda posición para los procedentes de Guinea Conakry, Guinea Bissau, Mali, Mauritania y Senegal.
Referencias
ACNUR (Oficina del Alto Comisionado de las Naciones Unidas para los Refugiados). 2020. Tendencias globales. Desplazamiento forzado en 2019. Copenhague: ACNUR.
Adepoju, Aderanti. 1995. “Migration in Africa: An Overview”.En The Migration Experience in Africa, editado por Jonathan Baker y Tade Akin Aina, 87-108. Upsala: Nordiska Afrikainstitutet.
Adepoju, Aderanti y John Oucho . 1995. International Migration, Human Resources Utilization and Regional Development in Sub-Saharan Africa. Dakar: UEPA.
Blanco, Cristina. 2007. “Transnacionalismo. Emergencia y fundamentos de una nueva perspectiva migratoria”. Papers, núm. 85: 13-29. https://doi.org/10.5565/rev/papers/v85n0.2008
Castles, Stephen. 2002. “Migración internacional a comienzos del siglo XXI: tendencias y problemas mundiales”. Revista Internacional de Ciencias Sociales, núm. 165: 17-32.
Castles, Stephen. 2017. “International Migration at a Crossroads”. En The Politics of Citizenship in Immigrant Democracies, editado por Geoffrey Brahm Levey y Ayelet Shachar, 89-106. Londres: Routledge.
Castles, Stephen. 2018. “International Migration at the Beginning of the Twenty-First Century: Global Trends and Issues”. International Social Science Journal, núm. 227-228: 151-162. https://doi.org/10.1111/issj.12185
Castles, Stephen y Mark Miller. 2009. The Age of Migration: International Population Movements in the Modern World. Basingstoke: Palgrave MacMillan.
CERPOD (Centre d’études et de Recherche sur la Population pour le Développement). 1995. Migrations et Urbanisation en Afrique de l’Ouest (MUAO) : résultats préliminaires. Bamako: CERPOD.
Colomo Ugarte, Javier. 2002. Las migraciones regionales del mundo en el siglo XXI. n.d. https://javiercolomo.com/index_archivos/Migraci%c3%b3n.pdf
Coulibaly, Sidiki y Jacques Vaugelade. 1981. “Impact de la sécheresse 1969-1974 sur les migrations de Haute-Volta”. Comunicación presentada en el Congrès de la Population de I’Union Internationale pour l’Étude Scientifique de la Population, Manille, 9-16 diciembre, 1981. https://horizon.documentation.ird.fr/exl-doc/pleins_textes/pleins_textes_5/b_fdi_14-15/20043.pdf
Dumont, Gérard-François. 2006. “Les nouvelles logiques migratoires au XXIe siècle”. Outre-Terre 4 (17): 15-25. https://doi.org/10.3917/oute.017.0015
Findley, Sally. 1994. “Does Drought Increase Migration? A Study of Migration from Rural Mali During the 1983-1985 Drought”. International Migration Review 28 (3): 539-553. https://doi.org/10.1177/019791839402800306
Kritz, Mary M., Lin Lean Lim y Hania Zlotnik. 1992. International Migration Systems: A Global Approach. Oxford: Clarendon Press.
Lalou, Richard. 1997. “Les migrations internationales en Afrique de l’Ouest face à la crise”. En Crise et population en Afrique, dirigido por Jean Coussy y Jacques Vallin, 343-373. París: Centre français sur la population et le développement.
López Sala, Ana M. 2005. Inmigrantes y Estados: la respuesta política ante la cuestión migratoria. Barcelona: Anthropos.
Ndiaye, Mandiogou y Nelly Robin. 2010. “Les migrations internationales en Afrique de l’Ouest”. Hommes et migrations, núm. 1286-1287: 48-61. https://doi.org/10.4000/hommesmigrations.1724
Ricca, Sergio. 1990. Migrations internationales en Afrique : aspects légaux et administratifs. París: L’Harmattan.
Robin, Nelly. 1992. “L’espace migratoire de l’Afrique de l’Ouest: panorama statistique”. Hommes et Migrations, núm. 1160: 6-15. https://doi.org/10.3406/homig.1992.1928
Robin, Nelly. 1994. “Une nouvelle géographie entre concurrence et redéploiement spatial, les migrations africaines au sein de la CEE”. Revue européenne des migrations internationales 10 (3): 17-31. https://doi.org/10.3406/remi.1994.1424
Schmidt di Freidberg, Ottavia. 1995. “Les Burkinabès et les Sénégalaises dans le contexte de l’immigration ouest-africaine en Italie”. Mondes en développement 23 (91): 67-79.
Stalker, Peter. 1995. Les travailleurs immigrés : études des migrations internationales de main-d’œuvre. Ginebra: BIT.
Suárez Navaz, Liliana. 1995. “Les Sénégalaises en Andalucie”. Mondes en développement 23 (91): 55-65.
UN-DESA (United Nations Department of Economic and Social Affairs). 2015. Trends in International Migrant Stock: Migrants by Destination and Origin. http://www.un.org/en/development/desa/population/migration/data/estimates2/estimates15.shtml
UN-DESA (United Nations Department of Economic and Social Affairs). 2019. 2019 Revision of World Population Prospects. https://esa.un.org/unpd/wpp/
Verdugo Matés, Rosa M., Xesús Pereira López y Manuel César Vila. 2016. “Análisis de flujos migratorios internacionales: pasado reciente, presente y futurible”. Comunicación presentada en la XLII Reunión de Estudios Regionales, Santiago de Compostela, 16-18 de noviembre de 2016.
Wa Kabwe-Segatti, Aurelia. 2009. “Les nouveaux enjeux des migrations intra-africaines”. En L’enjeu mondial. Les migrations, editado por Christophe Jaffrelot, 115-122. París: Presses de Sciences Po. https://doi.org/10.3917/scpo.jaffr.2009.01.0115
Wihtol de Wenden, Catherine. 2010. “La géographie des migrations contemporaines”. Regards croisés sur l’économie, núm. 8: 49-57. https://doi.org/10.3917/rce.008.0049
Zachariah, Kunniparampil C. y Julien Condé. 1981. Migration in West Africa: Demographic Aspects. Nueva York: Oxford University Press.
Zlotnik, Hania. 2006. “Tendencia de la migración internacional desde 1980”. En Migraciones. Nuevas movilidades en un mundo en movimiento, editado por Carmen Blanco, 35-56. Barcelona: Anthropos.
Anexo 1.
Porcentajes de emigrantes internacionales de cada región africana según el destino
Anexo 2a.
Matriz del stock de migraciones en nueve países de África occidental, 1975

Anexo 2b.
Porcentaje de entradas en cada país según el origen, 1975
Anexo 2c.
Porcentaje de salidas en cada país según el destino, 1975
Anexo 3a.
Matriz de los flujos migratorios en los países REMUAO (1988-1992)
Anexo 3b.
Porcentaje de entradas en cada país de la REMUAO según el origen (1988-1992)
Anexo 3c.
Porcentaje de salidas de cada país de la REMUAO según el destino (1988-1992)
Anexo 4a.
Porcentaje de entradas de cada país según el destino, 1990

Anexo 4b.
Porcentaje de salidas de cada país según el destino, 1990

Anexo 5a.
Porcentaje de entradas de cada país según el destino, 2010

Anexo 5b.
Porcentaje de salidas de cada país según el destino, 2010


Notas
Notas de autor