ARTÍCULO ORIGINAL
Cinética de la digestión anaeróbica de excretas porcinas para la obtención de biogás en laboratorio
Kinetics of anaerobic digestion of pig excreta to obtain biogas in the laboratory
Cinética de la digestión anaeróbica de excretas porcinas para la obtención de biogás en laboratorio
Ingeniería Agrícola, vol. 12, núm. 4, e04, 2022
Instituto de Investigaciones de Ingeniería Agrícola
Recepción: 02 Abril 2022
Aprobación: 09 Septiembre 2022
RESUMEN: La biodigestión anaeróbica es un proceso bioquímico natural, mediante el cual materiales orgánicos complejos son desdoblados por algunas comunidades microbianas hasta producir biomoléculas elementales y biogas, en ausencia de oxígeno. El proceso se realiza en cuatro etapas: hidrólisis, acidogénesis, acetogénesis y metanogénesis. La generación de CH4 se puede seguir mediante análisis y modelos cinéticos como los de Gompertz y Monod. El objetivo del trabajo fue evaluar el comportamiento cinético de biogases: CH4, CO2, H2S, producidos por biodigestión anaeróbica de excretas porcinas tratadas con inóculo microbiano, mediante modelos cinéticos de Gompertz y Monod. Se trabajó con datos recolectados en campo provenientes de un biodigestor de geomembrana instalado en un predio cercano a Fusagasugá, en Cundinamarca, Colombia, y con tres prototipos de biodigestores emplazados en laboratorio, cuyo afluente eran excretas porcinas e inóculo microbiano (IM), el seguimiento a la producción de biogas se realizó mediante termohigrómetro digital y medidor multiparamétrico de gases A-ALT5X-ALKB. Mediante DCA se encontraron diferencias significativas (p <0,05) entre los parámetros cinéticos evaluados, expresados a través de los modelos cinéticos trabajados, lo que es atribuible al control de variables como: tipo y composición del afluente, temperatura del biodigestato, pH y evolución del DQO. El mejor comportamiento cinético se observó en el biodigestor que operó a temperatura cercana a 38 ºC, dado que el cambio de volumen del biogas y las concentraciones de CH4, CO2, H2S y NH3 en el tiempo, fueron explicados adecuadamente mediante los modelos cinéticos de Gompertz y Monod.
Palabras clave: modelo cinético, Gompertz, constante de velocidad, metano.
ABSTRACT: Anaerobic biodigestion is a natural biochemical process, through which complex organic materials are broken down by some microbial communities to produce elementary biomolecules and biogas, in the absence of oxygen. The process is carried out in four stages: hydrolysis, acidogenesis, acetogenesis and methanogenesis. The generation of CH4 can be followed by analysis and kinetic models such as those of Gompertz and Monod. The objectives were to evaluate the kinetic behavior of biogases: CH4, CO2, H2S, produced by anaerobic biodigestion of pig excretes treated with microbial inoculum, using Gompertz and Monod kinetic models. We worked with data collected in the field from a geomembrane biodigestor installed on a property near Fusagasugá, in Cundinamarca, Colombia, and with three prototypes of biodigesters located in the laboratory, whose tributaries were pig excreta and microbial inoculum (IM), biogas production was monitored using a digital thermohygrometer and a multiparametric gas meter A-ALT5X-ALKB. Significant differences (p <0.05) were found between the kinetic parameters evaluated using DCA, expressed through the kinetic models worked on, being attributable to the control of variables such as: type and composition of the tributary, biodigest temperature, pH and evolution of COD. The best kinetic behavior was observed in the biodigester that operated at a temperature close to 38 ºC, given that the change in biogas volume and the concentrations of CH4, CO2, H2S and NH3 in time were adequately explained by the kinetic models of Gompertz and Monod.
Keywords: Kinetic Model, Gompertz, Kinetic Constant, Methane.
INTRODUCCIÓN
Actualmente, la generación de residuos alimentarios equivale a un tercio de la producción para el consumo humano en el mundo, siendo aproximadamente de 1300 𝑀𝑀𝑡𝑜𝑛/𝑎ñ𝑜 según Zapata (2019), los sistemas productores agropecuarios enfrentan un reto fundamental con el aprovechamiento de residuos de biomasa vegetal y animal generados en los diversos procesos productivos, dado que al ser desechados y no tratados adecuadamente, generan impacto ambiental produciendo gases con efecto de invernadero (GEI), contaminación de suelos y fuentes de agua, dicha biomasa es considerada como la principal fuente de energía renovable en el mundo destinada a reemplazar recursos de combustibles fósiles en clara reducción según Deepanraj et al. (2015), causado por el incremento en la demanda de energética de actividades antropogénicas (Benavidez et al., 2017; Gutierrez & Ochoa, 2019; Orjuela, 2015; Valladares, 2017).
Aunque Colombia contribuye únicamente con el 0.37% de las emisiones globales de GEI, se considera como un país vulnerable frente al cambio climático en razón de su posición geográfica según Valdés et al. (2001), está claro que los recursos renovables jugarán un papel crucial en la limitación de las emisiones de CO2, ya que biomasa y residuos se consideran fuentes de energía renovables futuras de mayor impacto, puesto que pueden proporcionar generación de energía continua de acuerdo a Appels et al. (2011), es así como la producción de biocombustibles a partir de biomasa puede mitigar estos efectos al reducir sustancialmente las emisiones de GEI (Ampudia, 2011).
Entre algunas tecnologías renovables, la digestión anaeróbica es una metodología atractiva, verificada y ampliamente utilizada para la conversión de biomasa proveniente de residuos agrícolas y forestales, desechos sólidos municipales, etc. (Ampudia, 2011). El proceso se desarrolla mediante reacciones bioquímicas microbianas enfocadas a transformar la materia orgánica en biogas y residuos denominados bioles, ricos en nutrientes como N, P, K, que los posibilitan para usar en fertilización y enmienda de suelos agrícolas (Cerdán, 2020; Ferrer & Pérez, 2010; Gutierrez & Ochoa, 2019; Orjuela, 2015; Vaquerano et al., 2016).
La digestión anaeróbica (DA) de biorresiduos es la forma más convencional de producir biogás rico en metano, que tiene un gran potencial para reemplazar el combustible fósil utilizado en múltiples aplicaciones, como el transporte vehicular (A. K. García, 2009; Sihuang et al., 2016). Muchos países y empresas están involucrados en el diseño y construcción de sistemas DA eficientes y económicos. El diseño y optimización de estos procesos para la producción de biogás se puede mejorar a través de modelos matemáticos validados desarrollados a partir de estudios mecanísticos que conducen a una mayor profundidad comprensión de los fenómenos de transporte muy complejos, la cinética bioquímica microbiana y la estequiometría (Yu et al., 2013).
La digestión anaeróbica consta de cuatro etapas basadas en reacciones bioquímicas enzimáticas (RBE) a saber: hidrólisis: bacterias con enzimas hidrolasas descomponen polímeros presentes en la materia orgánica de la biomasa en monómeros; acidogénesis: bacterias acidogénicas convierten monómeros en biomoléculas elementales como: ácidos carboxílicos, dióxido de carbono, hidrógeno y alcoholes; acetogénesis: en esta fase las moléculas anteriores se convierten en ácido acético; metanogénesis: bacterias metanogénicas reducen CO2 hasta CH4 a partir de ácido acético (Deepanraj et al., 2015).
El biogás producido durante las etapas de DA, es una mezcla de metano (CH4: 55-65 % por volumen), dióxido de carbono (CO2: 30-40 % por volumen) y trazas de sulfuro de hidrógeno (H2S), hidrógeno (H2) y amoníaco (NH3) (Deepanraj et al., 2015).
Múltiples trabajos de investigación se han propuesto para efectuar seguimiento del comportamiento cinético de la producción del biogás como son Nopharatana et al. (2007); Ampudia (2011); Yu et al. (2013); López y Ruíz (2014); Deepanraj et al. (2015); Valladares (2017), los cuales, mediante modelos matemáticos que incluyen parámetros cinéticos, buscan comprender la cinética de reacciones bioquímicas enzimáticas desarrolladas por las bacterias anaeróbicas en las etapas de digestión
La presente investigación analizó el efecto de la adición de un inóculo microbiano (IM) en la biodigestión de excretas porcinas y bovinas en biodigestores prototipos escala laboratorio y el comportamiento de parámetros cinéticos en la producción del biogas, los resultados se estudiaron a la luz de modelos cinéticos de Monod y modificado de Gompertz.
MATERIALES Y MÉTODOS
Materia prima
Las excretas utilizadas en este estudio experimental se recolectaron en tres predios del municipio de Fusagasugá, Cundinamarca, Colombia, los cuales corresponden a sistemas productivos pecuarios con explotaciones porcinas y bovinas. Esta biomasa es un sustrato muy deseable para la digestión anaeróbica debido a su mayor biodegradabilidad y rendimiento de biogás/metano, por la cantidad de materia orgánica que poseen. Además, el análisis del contenido de nutrientes mostró que las muestras contenían nutrientes bien equilibrados para los microorganismos anaeróbicos (Nopharatana et al., 2007). Las excretas se mezclaron y almacenaron en botellas de plásticos de 1 L, esterilizadas, luego se refrigeraron en nevera a 54 °C hasta su introducción en el digestor anaeróbico. Se añadió agua para obtener la concentración deseada de sólidos totales. Las características biofisicoquímicas de afluentes y efluentes se determinaron antes y después de la digestión.
Etapa experimental
El montaje de los biodigestores prototipo se realizó en los laboratorios de nutrición de la Universidad de Cundinamarca, sede Fusagasugá, en condiciones de: altura: 1600 msnm, temperatura promedio: 19,1ºC, humedad relativa promedio de 80%, precipitación anual de 140 mm; el municipio se encuentra ubicado a 59 km al suroccidente de Bogotá.
En todos los experimentos se utilizaron digestores discontinuos anaeróbicos a escala de laboratorio hechos de vidrio con un volumen total que oscilaba entre 1 L y 2 L, con volumen de trabajo de 1,5 L; la producción de biogás de los digestores se midió diariamente por el método de desplazamiento de agua. Las mezclas de reacción se agitaron continuamente en termoagitadores magnéticos diariamente, igualmente se controló temperatura y humedad relativa mediante un termohigrómetro digital.
Análisis biofisicoquímico
Sólidos totales y sólidos volátiles, demanda química de oxígeno del sustrato y digestato se determinaron según el método estándar (APHA); sólidos disueltos totales-TDS, conductividad eléctrica (CE) y pH en afluente, digestato y bioles, se determinaron usando un medidor multiparamétrico Hanna instruments (2019); Carbono orgánico (CO), se determinó mediante método espectrofotométrico modificado de Walkey Black García y Ballesteros (2005), mientras que N-NO3 y P-PO4,se hallaron en fotómetro multiparamétrico de Hanna Instruments-HI 83399. La composición de: CH4, CO2, H2S y NH3 en el biogás se midió utilizando analizador digital multiparamétrico de gases A-ALT5X-ALKB
Análisis cinético
Los valores de producción de biogas (Vac) y metano (μCH4 ), se analizaron mediante modelos matemáticos cinéticos de Gompertz modificado y Moned (Deepanraj et al., 2015; Nopharatana et al., 2007; Pommier et al., 2007). El modelo de Gompertz modificado (1) y de Monet (2), describen la producción acumulativa de biogás de los digestores asumiendo que la producción de biogás es una función del crecimiento bacteriano; usando estos modelos, se calcula potencial de producción de biogás del sustrato (B), tasa ó velocidad máxima de producción de biogás (Rb) y fase de latencia de la reacción (λ), tasa o velocidad máxima de producción del gas metano (μmáx) y constante de Michaelis-Menten (Ks), para luego comparar y ajustar resultados experimentales. Las ecuaciones son las siguientes:
La ecuación de Gompertz (1), se puede transformar matemáticamente en la expresión 3
donde:
La expresión 3, es una ecuación lineal de la forma y=mx+b, por lo tanto, al asumir que y=Ln(LnP) and X=t, se puede graficar y ajustar por medio de regresión lineal por mínimos cuadrados, luego con los valores obtenidos de pendiente (m) e intercepto (b), se calculan los parámetros cinéticos de Gompertz , de acuerdo a las ecuaciones 5, 6 y 7
Teniendo en cuenta la tendencia hiperbólica de la producción de CH4, se aplicó el modelo cinético de Monod según Valladare (2017), acorde a las ecuaciones 8 y 9, para ajustar valores de producción en función del tiempo de retención:
donde:
µCH4 -velocidad especifica de producción de gas metano;µmáx -velocidad de producción máxima de metano;S-concentración de sustrato;Ks-constante de Michalis-Menten.
Para lograr tal ajuste, se grafica el inverso de μ CH4 versus el inverso del tiempo (1/t), luego se aplica regresión lineal de mínimos cuadrados y con base en la pendiente (m) e intercepto (b) hallados, se determina los parámetros cinéticos: , teniendo en cuenta las expresiones 10 y 11.
RESULTADOS Y DISCUSION
Análisis fisicoquímico de materia prima
El análisis de las excretas porcinas indicó que poseen pH entre 8,36 y 8,53, conductividad eléctrica en rango de 1,04 mS/cm a 1,85 mS/cm; sólidos totales disueltos en intervalo de 0,98% a 1,33%; oxígeno disuelto (3,16 g/dL-6,.10 g/dL); humedad, (52.54%-70.45%); carbono orgánico en rango de 1,89% hasta 2,57%; Nitrógeno total en intervalo de: 1,97% hasta, 2,98%; Fósforo (0,57 ppm -0,.75 ppm) y potasio (0,11%-0,13%) y demanda química de oxígeno (55,65g/L-62,76g/L)
El análisis de excreta bovinas resultó: pH entre 7,70 y 7,.6, conductividad eléctrica en rango de 1,33 mS/cm a 1,76 mS/cm; sólidos totales en intervalo de 15,33% a 17,04%; oxígeno disuelto (3,31 g/dL-4.00 g/dL); humedad (52,54%-70,45%); carbono orgánico en rango de 1,84% hasta 2,01%; Nitrógeno total en intervalo de: 1,77% hasta, 1,98%; Fósforo (0,32ppm -0,92ppm) , potasio (0,52%-1,05%) y demanda química de oxígeno (51,76g/L-60,97g/L)
Producción de biogás en los biodigestores
La Figura 1, muestra la Producción de biogás acumulado en biodigestores (Vac) 1 y 2, detectándose un comportamiento sigmoideo similar en ambos, en función del tiempo de retención más marcado en el biodigestor 2, que fue inoculado con 0,5% de inóculo microbiano y superado en el intervalo de tiempo de 5 a 12 días de reacción, tal situación se puede explicar en la segunda fase de la digestión anaeróbica, considerando la acción mesoofílica de las bacterias a las temperaturas de cada reactor: 25.5℃ y 32,1℃.

Continuando con el análisis del volumen acumulado de biogás, en la Figura 2, se describe el comportamiento del biogás en los biodigestores 3 y 4, inoculados con 1,0% y 1,5% de IM, se advierte que el tratamiento 4 superó notablemente al tratamiento 3, en la producción de biogás, a partir de los 10 días de retención; es decir, en la fase inicial la tendencia de producción del biogás es bastante similar, por lo tanto, al cabo de 10 días las reacciones bioquímicas enzimáticas (RBE) de la digestión anaeróbica para las fases 3 y 4 disminuyeron notoriamente en el biodigestor 3, lo cual se puede atribuir a cambios bruscos de temperatura, pH o presencia de sustancias inhibidoras en el sustrato, que afectan la digestión anaeróbica(DA), contrario a lo observado en el biodigestor 4, donde se mantiene la tendencia de producción sigmoidea, muy acorde a la cinética de RBE bacterianas de las fases 3 y 4 de la DA, es decir: la acetogénesis y metanogénesis del sustrato son significativamente superior a lo que estaba ocurriendo en el reactor 2.
Cuando se aplicó el modelo de Gompertz modificado según Nopharatana et al. (2007); Deepanraj et al. (2015) a los valores de producción de biogás en los cuatro biodigestores, se obtuvo la gráfica indicada en la Figura 3, es de notar que el comportamiento cinético del sustrato tratado con 1,5% IM superó de forma altamente significativo (P<0,010) a los demás tratamientos, los cuales alcanzaron un producción acumulada similar al finalizar el tiempo de retención, destacándose pequeñas diferencias entre los 5 y 15 días de reacción, causadas por posibles efectos y cambios moleculares en las RBE bacterianas de las fase 2 y 3 de la digestión anaeróbica: acetogénesis y metanogénesis.


La Tabla 1, presenta los resultados obtenidos de los parámetros cinéticos en el ajuste de Gompertz modificado para la producción acumulada de biogás, se advierte que las temperaturas se comportaron muy parecido en los prototipos 1 al 3 y superiores a la obtenida en el biodigestor 1, lo cual puede afectar los procesos de DA; el volumen acumulado de PL4 fue de 2518 mL y notoriamente más alto (1243 mL) que la cantidad de biogás generado en PL3 (1275 mL), esto representa un incremento del 49,36%, así mismo, la diferencia entre PL4 y PL2 fue del 53,53% y con relación a PL1 indicó: 51,50%.

A pesar de lo anterior, la tasa (Rb) de producción de biogás (mL/día) exhibió una tendencia de aumento progresivo (85,18, 95.27, 151,35, 222,38) señalando que la velocidad de producción de biogás de PL4 superó en 71,03mL/día, 127,11 mL/día, 137,2 mL/día, a los biodigestores PL3, PL2 y PL1, respectivamente, es decir, el inóculo microbiano adicionado en el reactor 4, afectó positivamente la rapidez de producción de biogás generando 222 mL de biogás por cada día de retención del sustrato.
En lo que respecta al período de latencia (λ) se destaca que PL1 señaló el menor valor: 1,25 días, lo cual indica que al segundo día se inició la primera fase de digestión, es decir, la hidrólisis de los polímeros presentes al sustrato, mientras que los demás biodigestores necesitaron más tiempo: PL2: 2,55 días, PL32,43 días y PL4:3,53 días, lo cual se puede explicar por el probable período de acostumbramiento de los microorganismos incluidos en el inóculo, a los componentes del sustrato alojado en los reactores, lo cual retardó el inicio de las RBE bacterianas anaeróbicas. La Figura 5, compara los valores de lambda.
De la Figura 4, se deduce que la tasa de producción del biogás en los prototipos mostró una tendencia cuadrática, con un coeficiente de correlación (r) de Pearson de 0,998, lo cual corrobora dicho comportamiento.


Producción de gas metano en los biodigestores
A partir del volumen medido de biogás y la determinación de la concentración (%) del metano en los biodigestores, se calculó la producción de CH4, obteniéndose los resultados mostrados en la Figura 6.

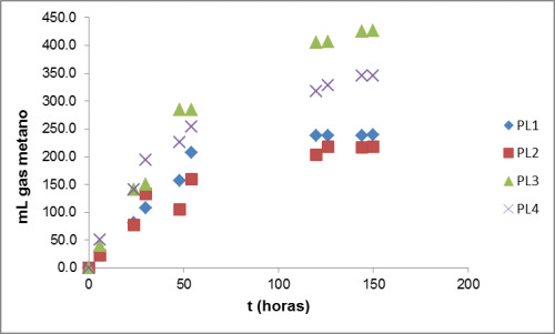
Se advierte que los sustrato de los biodigestores presentes en los biodigestores PL3 y PL4 generaron mayor volumen de metano, que lo obtenido en PL1 y PL2, los cuales marcan un comportamiento similar, al final del período de retención, con marcada tendencia hiperbólica, en contraste, los tratamientos 3 y 4 exhibieron una producción alta en todas las etapas del experimento, dada la acción efectiva de las RBE bacterianas estimuladas por la actividad de los componentes del inóculo microbiano, en las cuatro etapas de la biodigestión anaeróbica
La gráfica expuesta en la Figura 7, resume el comportamiento hiperbólico de la producción de gas metano en los cuatro biodigestores, es claro que la diferencia entre la producción de PL4 y PL3 fue significativamente superior a lo indicado en los biodigestores PL1 y PL2, observándose además que estos prototipos alcanzaron una producción de CH4 similar hacia el final del tiempo de retención.

Con base en el ajuste realizado a partir de la ecuación cinética de Moned, se obtuvieron los valores cinéticos presentados en la Tabla 2, se destaca que PL3 mostró la tasa de producción más alta EN PL3 (66,37 mL CH4 /día), seguida por PL4 (52,67 mL CH4 /día) y con un valor mínimo de 37,62 mL CH4 /día, en el biodigestor PL1, así mismo, la constante de Michaelis, señala que PL3 tardó 29.8horas en alcanzar la tasa de producción máxima de gas metano, seguido por PL4, que tardó 32,8 h en llegar a la mitad de la producción máxima de metano, es decir, 26,34 mL de metano/día, es importante notar que PL2 t gastó 45,2 h en alcanzar la mitad de su producción y PL1, tardó 30,5 h en alcanzar a esa mitad de producción máxima de gas metano, lo cual llama la atención puesto que este tratamiento no incluía IM.
Finalmente, la Tabla 3, muestra la concentración promedio de gases presentes en el flujo de biogás a la salida de los biodigestores, notándose que en las cuatro biodigestiones anaeróbicas se generaron los tres gases CO2, H2S, NH3, con valores más bajos en PL4 y más altos en PL1, se destaca que la concentración de gas carbónico en PL1 y PL3 fueron similares; el sulfuro de hidrógeno producido en los biodigestores 2, 3 y 4 también mostró comportamiento parecido, lo mismo que ocurre con el amoníaco en los reactores 2 y 3; la presencia de estos gases en la biodigestión es signo de que en las etapas se presentaron inhibiciones competitivas o no competitivas de las RBE desarrolladas por las bacterias sobre la biomasa de las excretas que actuaron como sustrato, tales RBE inhibitorias fueron las que afectaron significativamente la producción de biogás, metano y los parámetros cinéticos en los biodigestores 1 y 2, siendo más leve el efecto en la reacciones anaeróbicas de los prototipos 3 y 4, posiblemente por la acción del inóculo microbiano sobre la fermentación anaeróbica, en razón del incremento en la concentración de sus componentes.


CONCLUSIONES
Los sustratos evaluados como materia prima para abastecer los biodigestores mostraron diferencias apreciables en su composición, de tal forma que las excretas porcinas mostraron mayor alcalinidad que el estiércol bovino, así mismo, nutrientes como CO, NT, P y K. presentaron valores más altos en la excreta porcina, lo cual las hace más atractivas para la biodigestión anaeróbica de los prototipos PL2, PL3 Y PL4, en contraste la biodigestión del sustrato proveniente del estiércol bovino en PL1 exhibió un bajo rendimiento.
Variables como Temperatura, demanda química de Oxígeno, pH y actividad microbiana afectaron significativamente las Reacciones bioquímicas enzimáticas en las etapas de la biodigestión anaeróbica de los prototipos 1 y 2, lo cual se evidenció en valores de producción de biogás y metano bajos.
La producción acumulada de biogás y metano en los cuatro biodigestores estudiados, mostraron comportamiento cinético ajustable a los modelos de Gompertz modificado y Moned.
Parámetros cinéticos de Gompertz para producción acumulada de Biogás y de Moned para producción diaria de gas metano, mostraron indicadores superiores en los biodigestores prototipo PL4 y PL5, atribuible al rendimiento efectivo en la digestión anaeróbica de la materia orgánica proveniente de las excretas porcinas.
La presencia de gases como dióxido de carbono, sulfuro de hidrógeno y amoníaco afectaron la producción de biogás y metano en los biodigestores evaluados, siendo más notorio los efectos en el comportamiento de los biodigestores 1 y 2.
Los componentes del inóculo microbiano causaron efectos sobre los procesos de biodigestión anaeróbica en los reactores 2 al 4, siendo más significativa en 3 y 4.
REFERENCIAS BIBLIOGRÁFICA
Ampudia, M. M. J. (2011). Investigación de las condiciones óptimas y de la cinética del proceso de biodigestión anaerobia de desechos orgánicos agroindustriales y estiercol vacuno [Tesis de grado en Ingeniería Química]. Universidad San Francisco de Quito.
Appels, L., Lauwers, J., Degrève, J., Helsen, L., Lievens, B., Willems, K., Van Impe, J., & Dewil, R. (2011). Anaerobic digestion in global bio-energy production: Potential and research challenges. Renewable and Sustainable Energy Reviews, 15(9), 4295-4301.
Benavidez, E., Toledo, J., Palacios, Y., Andino, F., & Ortiz, W. (2017). Producción de biogás a partir de la codigestión de estiércol bovino, melaza e inóculo bacteriano. Revista RedBioLAC, 1(1), 52-57. http://redbiolac.org/revista/
Cerdán, M. J. M. A. (2020). Potencial de producción de ácidos grasos volátiles en lodos de Ptar, residuos urbanos y agroindustriales: Enfoque hacia una economía circular [Tesis para optar el grado de Magister Scientiae en ciencias ambientales]. Universidad Agraria la Molina.
Deepanraj, B., Sivasubramanian, V., & Jayaraj, S. (2015). Kinetic study on the effect of temperature on biogas production using a lab scale batch reactor. Ecotoxicology and Environmental Safety, 121, 100-104. http://dx.doi.org/10.1016/j.ecoenv.2015.04.051
Ferrer, Y., & Pérez, H. (2010). Los microorganismos en la digestión anaerobia y la producción de biogás. Consideraciones en la elección del inóculo para el mejoramiento de la calidad y el rendimiento. ICIDCA. Sobre los Derivados de la Caña de Azúcar, 43(1), 9-20.
García, A. K. (2009). Codigestión anaeróbica de estiércol y lodos de depuradora para producción de biogás [Tesis para optar el grado de Máster, perfil Investigador]. Universidad de Cádiz.
García, G. J., & Ballesteros, G. M. I. (2005). Evaluación de parámetros de calidad para la determinación de carbono orgánico en suelos. Revista colombiana de Química, 34(2), 201-209.
Gutiérrez, N. L. C., & Ochoa, N. L. D. (2019). Determinación del potencial energético para la obtención de biogás, a partir de la codigestión anaerobia del cosustrato cascarilla de arroz con excretas porcinas [Tesis Ingeniería Ambiental]. Universidad Santo Tomás, Facultad de Ingeniería Ambiental.
López, A. A. M., & Ruíz, R. C. (2014). Evaluación de la producción de biogás a partir del buchón de agua mediante codigestión anaerobia con estiércol bovino [Tesis (en opción al título de Ingeniería de Procesos)]. Universidad EAFIT, Escuela de Ingeniería, Departamento de Ingeniería de Procesos.
Nopharatana, A., Pullammanappallil, P. C., & Clarke, W. P. (2007). Kinetics and dynamic modelling of batch anaerobic digestion of municipal solid waste in a stirred reactor. Waste management, 27(5), 595-603.
Orjuela, C. G. C. (2015). Producción de biogás mediante la fermentación anaerobia de los residuos orgánicos de la cadena de restaurantes Wok [Tesis Ingeniería Química]. Universidad de los Andes. Facultad de Ingeniería, Departamento de Ingeniería Química.
Pommier, S., Chenu, D., Acosta, M. M., & Lefebvre, X. (2007). A logistic model for the prediction of the influence of water on the solid waste methanization in landfills. Biotechnology and bioengineering, 97(3), 473-482.
Sihuang, X., Faisal, H. I., Xinmin, Z., Wenshan, G., Hao, N. H., William, P. E., & Long, N. D. (2016). Anaerobic co-digestion: A critical review of mathematical modelling for performance optimization. Bioresource Technology, 222, 498-512. http://dx.doi.org/10.1016/j.biortech.2016.10.015
Valdés, L. Y., Vavilin, V. A., Kettunen, R. H., Rintala, J. A., Holliger, C., & Nozhevnikova, A. N. (2001). Evaluation of kinetic coefficients using integrated Monod and Haldane models for low-temperature acetoclastic methanogenesis. Water Research, 35(12), 2913-2922.
Valladares, C. F. (2017). Modelamiento del proceso de digestión anaeróbica de estiércol vacuno y cáscara de cacao [Tesis en Ingeniería Mecánico-Eléctrica]. Universidad de Piura. Facultad de Ingeniería. Programa Académico de Ingeniería Mecánico-Eléctrica.
Vaquerano, P. N., Salazar, R. T., & Porras, A. M. (2016). Medición automática del metano en biogás, por columnas de desplazamiento. Revista Tecnología en Marcha, 29, 86-96. http://dx.doi.org/10.18845/tm.v29i8.2988
Yu, L., Wensel, P. C., Ma, J., & Chen, S. (2013). Mathematical modeling in anaerobic digestion (AD). J Bioremed Biodeg S, 4(2). http://dx.doi.org/10.4172/2155-6199.S4-003
Zapata, E. I. V. (2019). Valorización de residuo alimentario como fuente potencial de producción de biogás y ácidos grasos volátiles [Tesis para optar al título de Ingeniero Civil Químico]. Universidad Técnica Federico Santa María, Departamento de Ingeniería Química y Ambiental.
Notas
Notas de autor
*Autor para correspondencia: Jairo Enrique Granados MorenoI, e-mail: jegranados@ucundinamarca.edu.co
Declaración de intereses