ARTÍCULO ORIGINAL
Estimación del rendimiento de maíz sembrado en suelo Ferralítico Rojo para el escenario climático SSP1-2.6
Estimation of corn yield planted in Red Ferralitic soil for the SSP1-2.6 climate scenario
Estimación del rendimiento de maíz sembrado en suelo Ferralítico Rojo para el escenario climático SSP1-2.6
Ingeniería Agrícola, vol. 14, no. 2, e01, 2024
Instituto de Investigaciones de Ingeniería Agrícola
Received: 17 September 2023
Accepted: 20 February 2024
RESUMEN: Los modelos dinámicos de simulación resultan herramientas indispensables en las investigaciones y el manejo agrícola. La modelación posibilita investigar las consecuencias de posibles escenarios futuros y permite prepararse para los cambios antes de que ocurran. El objetivo de este estudio es predecir los rendimientos del maíz en suelo Ferralítico Rojo en la región de Alquízar ante el escenario de cambio climático SSP1-2.6 de los modelos Hadgem3, Mpi-esm1 y Mri-esm2 con la utilización del modelo de simulación AquaCrop. Para la selección de los años hidrológicos se realizó el estudio de una serie de 28 años (2023-2050) para el periodo noviembre-abril (periodo de desarrollo de los cultivos) de cada modelo. Se evidencia la posibilidad de alcanzar en el maíz rendimientos potenciales de 8,6 t ha-1 y una productividad agronómica del agua de 3,08 kg m-3, si el cultivo no se somete a ningún tipo de limitación salvo la genética vegetal, la radiación solar y la temperatura, y las precipitaciones son suficiente en este periodo poco lluvioso. Si se aplica riego solo para garantizar la germinación de maíz bajo el escenario SSP1-2.6 los rendimientos se estiman en 4,4 t ha-1 y la biomasa en 14,6 t ha-1, lográndose una productividad de 2,37 kg m-3, con reducciones con respecto al rendimiento potencial de un 44%. El estudio comparativo de los rendimientos en el escenario de cambio climático SSP1-2.6 en los diferentes modelos demuestra la influencia de estas condiciones en la respuesta del cultivo. Los resultados muestran al modelo AquaCrop como una alternativa para evaluar el impacto del cambio climático en el rendimiento de los cultivos.
Palabras clave: Cambio climático, modelación, productividad del agua.
ABSTRACT: Dynamic simulation models are indispensable tools in agricultural research and management. Modeling makes possible to investigate the consequences of probable future scenarios and to be ready for the changes before they occur. The objective of this study is to predict corn yields in Red Ferralitic soil in Alquizar region under the SSP1-2.6 climate change scenario and the Hadgem3, Mpi-esm1 and Mri-esm2 models with the use of the AquaCrop simulation model. To select the hydrological years, a study of a series of 28 years (2023-2050) was carried out for the period November-April (crop development period) for each model. The possibility of achieving potential yields of 8.6 t·ha-1 and an agronomic water productivity of 3.08 kg·m-3 in corn is evident, if the crop is not subject to any type of limitation except plant genetics, solar radiation and temperature, and rainfalls are sufficient in this dry period. If irrigation is applied only to guarantee corn germination under the SSP1-2.6 scenario, yields are estimated at 4.4 t·ha-1 and biomass at 14.6 t·ha-1, achieving a productivity of 2.37 kg·m-3, with reductions with respect to potential performance of 44 %. The comparative study of yields in the SSP1-2.6 climate change scenario and the different models demonstrates the influence of these conditions on the crop response. The results show the AquaCrop model as an alternative to evaluate the impact of climate change on crop yields.
Keywords: Climatic Change, Modeling, Water Productivity.
INTRODUCCIÓN
Según Escoto et al. (2017) y OFA & CC (2023) los SSP (Trayectorias Socioeconómicas Compartidas, por el inglés Shared Socio Economic Pathways) describen 5 vías alternativas de la sociedad según la implementación o ausencias de políticas para frenar el cambio climático, contemplando diferentes opciones de desarrollo y emisiones en el año 2100.
El escenario SSP1 (con narrativa de sustentabilidad) asume bajos desafíos para mitigación y la adaptación y proyecta una alternativa optimista en las tendencias de desarrollo humano, con inversiones similares en educación y salud (abordando los desafíos de adaptación). El desarrollo económico cambia rápidamente hacia tecnologías bajas de emisiones de carbono, e instituciones sólidas que facilitan la cooperación internacional (abordando los desafíos de la mitigación). En particular, el SSP1-2.6 es un escenario que comienza en 2015 y tiene emisiones de GEI bajas, y emisiones de CO2 que disminuyen hasta llegar a emisiones netas iguales a cero, alrededor o después de 2050, seguido de niveles variables de emisiones netas negativas de CO2 (Escoto et al., 2017; Januta, 2021). Es un escenario optimista desarrollado con el fin de simular un desarrollo compatible con la meta de 2°C (es improbable que se supere un calentamiento global de 2 °C, temperatura estimada: 1,5 °C), camino hacia un mundo sostenible y verde (IPCC, 2021; Muñoz, 2023).
Los modelos dinámicos de simulación resultan herramientas indispensables en las investigaciones y el manejo agrícola. La modelación posibilita investigar las consecuencias de posibles escenarios futuros y permite prepararse para los cambios antes de que ocurran. La influencia del cambio climático en la agricultura representa un reto para decidir las políticas a partir de modelos cuantitativos, que consideran la agricultura en su contexto específico (Rodríguez et al., 2021; Tian et al., 2020)).
Entre los modelos existentes, AquaCrop modelo de aplicación general de cultivo, se ha utilizado en varias zonas del mundo bajo diferentes condiciones ambientales. Es un modelo de desarrollo de follaje, enfocado principalmente a la simulación del desarrollo de la biomasa potencial del cultivo y la producción en respuesta al agua disponible (Raes et al., 2009).
Díaz et al. (2018) calibraron y validaron el modelo AquaCrop para maíz y sorgo en suelo Ferralítico Rojo en Alquízar, Artemisa. Los resultados de la calibración del modelo permitieron optimizar los parámetros fundamentales de suelo y cultivo para su aplicación en las condiciones de estudio.
Castillo et al. (2020) utilizaron el modelo AquaCrop para predecir fechas óptimas de siembra y los rendimientos de maíz en suelo Ferralítico Rojo compactado en la Llanura Habana-Matanzas ante escenarios A2 de cambio climático. Los resultados muestran al modelo como una alternativa viable para seleccionar fechas de siembra óptima, reproducir la fenología y productividad del cultivo bajo diferentes escenarios de manejo y variabilidad climática.
Uno de los cultivos priorizados en la región de Alquízar es el maíz (Zea mays L.), durante su producción se presentan problemas de variabilidad climática, incidencia de plagas y enfermedades, uso del agua de riego, entre otros. Debido a lo anterior es necesario que el país pueda disponer de herramientas que le sirvan de ayuda a la toma de decisiones para lograr el menor costo económico y ambiental.
El objetivo de este estudio es predecir los rendimientos del maíz en suelo Ferralítico Rojo compactado ante el escenario de cambio climático SSP1-2.6 de los modelos Hadgem3, Mpi-esm1 y Mri-esm2 con la utilización del modelo de simulación AquaCrop.
MATERIALES Y MÉTODOS
Localización del área de estudio
El modelo fue calibrado y validado para el cultivo del maíz por Díaz et al. (2018) con datos provenientes de experimentos de campo realizados durante la época de invierno (diciembre-marzo) en el período 1980-1990, bajo un sistema de riego por surcos en la Estación Experimental del Instituto de Investigaciones de Ingeniería Agrícola (IAgric) en Alquízar, coordenadas: Latitud 22º 46’ N y Longitud 82º 36’ O, altura sobre el nivel medio del mar 6 m, 12 km de la costa.
Estos experimentos se llevaron a cabo con el objetivo de estudiar las necesidades hídricas y la respuesta al agua de la variedad de maíz T66 (Giralt, 1990). La fecha de siembra fue 16 de diciembre, con temperaturas umbrales de 10 a 30 °C, la madurez se alcanzó 124 días después de la siembra, la densidad de población fue 48 000 plantas ha-1 y el rendimiento 5-7 t ha-1.
Los parámetros de entrada del cultivo de maíz al modelo AquaCrop, obtenidos en estudios precedentes de Díaz-Pérez et al. (2018), servirán de entrada a todas las simulaciones que se realizarán en este estudio.
El índice de cosecha (HI) considerado para maíz fue de 40%, por ser el valor más común obtenido bajo condiciones óptimas de desarrollo durante la calibración del modelo. Este valor se encuentra en el rango (0,3 a 0,5) que propone (Wani et al., 2012).
Las propiedades físicas fundamentales para cada capa del perfil del suelo Ferralítico Rojo compactado han sido actualizadas por Cid et al. (2011) y publicadas por González et al. (2019); y conforman el fichero de suelo que se utilizó para todas las corridas del modelo.
Procesamiento y extracción de la información de cambio climático
Para la obtención de estos datos se hizo uso de los valores climáticos del escenario SSP1-2.6 de los modelos Hadgem3 (Hadley Centre Global Envirinment Model versión 3), Mpi-esm1 (Max Planck Institute Earth System Model) y Mri-esm2 (Meteorological Research Institute), que presenta una resolución de 125 x 125 km. Se tomaron las variables: temperatura máxima y mínima, humedad relativa, velocidad del viento y precipitación, que representa el clima futuro para el área de estudio, según recomendaciones del Instituto de Meteorología-Cuba (2023).
Para la selección de los años hidrológicos se realizó el estudio de una serie de 28 años (2023-2050) para el periodo noviembre-abril (periodo de desarrollo de los cultivos) de cada modelo, donde se determinó la probabilidad empírica a partir de la expresión:
donde:
m:número de orden.n:número de miembros de la serie.Se clasificaron cada uno de los periodos de la serie en función de su respectiva probabilidad. El de probabilidad 25% denota un escenario húmedo, el 50% medio y 75% seco, según Pérez & Álvarez (2005).
Módulo de manejo del Cultivo
Para la simulación, el manejo del cultivo se consideró bajo condiciones óptimas de disponibilidad de agua y nutrientes y que las únicas variables que afectaron el desarrollo fueron las condiciones climáticas del escenario climático SSP1-2.6 y los 3 modelos seleccionados (Hadgem3, Mpi-esm1 y Mri-esm2). Se optó por no evaluar de manera particular ninguna reducción del crecimiento asociada al nivel de fertilización, evitando la mayor complejidad que supone analizar la interacción entre la disponibilidad de agua y la nutrición de los cultivos.
Manejo del riego
Se utilizó el programa CROPWAT versión 8.0 para la estimar las necesidades hídricas del maíz y el manejo del riego para cada período climático considerando el escenario SSP1-2.6 de los modelos Hadgem3, Mpi y Mri-esm2. Este software permite gestionar programas de riego tanto en condiciones de secano como de irrigación, por lo que se empleó para determinar la evapotranspiración de referencia por el método de la FAO Penman-Monteith.
Condiciones iniciales
Se consideró un contenido de agua en el suelo de 0,35 cm3 cm-3, que representa el 90% del contenido de agua en el suelo a capacidad de campo 0,39 cm3 cm-3 hasta una profundidad de 0,40 m.
Aplicaciones
Se simuló la producción potencial ajustada para el escenario SSP1-2.6 de los modelos Hadgem3, Mpi-esm1 y Mri-esm2 en los tres años seleccionados del período 2023-2050 (húmedo, medio y seco). Los resultados que se van a presentar corresponden a las salidas del modelo AquaCrop una vez se han incorporado los cambios en el clima que se prevén de acuerdo al escenario de cambio climático contemplado, por lo que deben considerarse tan solo como indicativos y no como proyecciones precisas de lo que va a suceder en el futuro. No debe olvidarse la alta incertidumbre inherente a las proyecciones climáticas futuras. Posteriormente se simuló la producción de maíz aplicando riego solo para garantizar la germinación de este cultivo para el escenario SSP1-2.6.
RESULTADOS
Caracterización del clima futuro para el escenario climático SSP1-2.6 en el período 2023-2050 (mediano plazo)
Utilizando los valores climáticos del escenario SSP1-2.6 de los modelos Hadgem3, Mpi-esm1 y Mri-esm2, se presentan los resultados que representa el clima futuro para el área de estudio para cada uno de los modelos.
En la Tabla 1 se muestra la selección de los años hidrológicos en función de su respectiva probabilidad (probabilidad 25% denota un escenario húmedo, el 50% medio y 75% seco) para el periodo 2023-2050 (noviembre-abril, periodo de desarrollo de los cultivos) y valores de las precipitaciones para el escenario SSP1-2.6 y los modelos Hadgem3, Mpi-esm1 y Mri-esm2.
Bajo el escenario SSP126 puede observarse que el comportamiento de las precipitaciones varió entre 267,9-532,65 mm para el periodo estudiado, diferenciándose por modelo. Para el periodo de desarrollo del cultivo (noviembre-abril) los modelos Hadgem3 y Mpi-esm1 estiman valores de precipitación superiores al modelo Mri-esm2 entre un 20-22%, las mayores diferencias se tienen para el 75% de probabilidad de ocurrencia.

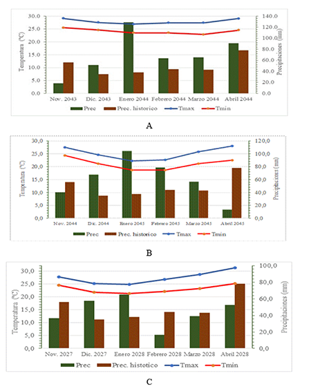
En la Figura 1 se muestra el comportamiento de las variables temperaturas máximas, temperaturas mínimas y una comparación entre las precipitaciones media mensual de una serie histórica de 25 años (1990-2014) y las estimadas por el escenario SSP1-2.6 y el modelo Mri-esm2 para cada uno de los años hidrológicos en función de su respectiva probabilidad (probabilidad 25% denota un escenario húmedo, el 50% medio y 75% seco). En los tres periodos se presentaron los mayores acumulados de las precipitaciones (65-129 mm) en el mes de enero

En la Figura 1A se presenta el comportamiento de las variables temperaturas mínimas, temperaturas máximas, y precipitaciones para el escenario SSP1-2.6 y el modelo Mri-esm2 en el período húmedo (2043-2044), en este caso el comportamiento de la temperatura mínima varía desde los 22,9 °C en el mes de marzo hasta los 25,5 °C en el mes de noviembre, mientras que la temperatura máxima alcanzó los 29,1 °C en noviembre y abril. El acumulado de la lluvia para este período es de 419,1 mm, produciéndose el valor más bajo en el mes de noviembre (18,5 mm) coincidiendo con la fase de desarrollo del cultivo. Al comparar con el periodo histórico de 294,5 mm, el modelo sobreestima en un 29,70% las precipitaciones.
En el periodo medio (2044-2045) (Figura 1B) el comportamiento de la temperatura mínima varía desde los 18,7 °C en los meses de enero y febrero hasta los 24,4 °C en el mes de noviembre, mientras que la temperatura máxima alcanzó los 28 °C en abril. El acumulado de la lluvia para este período es de 360,7 mm, produciéndose el valor más bajo en el mes de abril (13,4 mm) coincidiendo con la fase de cosecha del cultivo. Para este año el modelo sobrestima las precipitaciones en un 18% con respecto al histórico.
En el periodo seco (2027-2028) el comportamiento de la temperatura mínima varía desde los 21,3 °C en el mes de enero hasta los 25,1 °C en el mes de abril (Figura 1C), mientras que la temperatura máxima alcanzó los 31,2 °C en abril. El acumulado de la lluvia para este período es de 267,9 mm, produciéndose el valor más bajo en el mes de febrero (16,5 mm) coincidiendo con la fase de floración del cultivo. El modelo para este periodo subestima las precipitaciones en un 9% con respecto al histórico.
En las Tablas 2, 3 y 4 se presentan los resultados obtenidos en el Cropwat de necesidades hídricas y manejo del riego para el cultivo del maíz para el escenario SSP1-2.6 de los modelos Hadgem3, Mpi-esm1 y Mri-esm2 en los períodos seleccionados. Esta información servirá de entrada al módulo de riego en el modelo de simulación Aquacrop.
Entre los modelos estudiados el número de riegos para el maíz varió entre 9 y 12 riegos con normas parciales entre 7 y 28,6 mm y normas totales entre 148,9 y 216,9 mm, dependiendo del año y el modelo utilizado, El modelo Mri-esm2, al estimar menores precipitaciones, es donde se tienen las mayores normas totales de riego superiores a los 180 mm. En el caso de baja disponibilidad de agua en la zona de estudio se recomienda utilizar el manejo del riego que propone el modelo Hadgem3 por estimar láminas de riego inferiores a los 165 mm.



Resultados de la simulación de biomasa, rendimiento y productividad del agua para maíz en el escenario SSP 126 y los modelos Hadge
Primeramente, se simuló una producción potencial, máximo rendimiento posible sin ningún tipo de limitación, salvo la genética vegetal, la radiación solar y la temperatura, ajustada para el escenario SSP1-2.6 y los modelos Hadgem3, Mpi-esm1 y Mri-esm2 en los tres años seleccionados del período 2023-2050 (húmedo, medio y seco).
Para la simulación, el manejo del cultivo se consideró bajo condiciones óptimas de disponibilidad de agua y nutrientes y que las únicas variables que afectaron el desarrollo fueron las condiciones climáticas del escenario climático y los modelos seleccionados. La programación del riego se hizo de manera automática al llegar al 50% de la humedad disponible en el suelo por el modelo Cropwat.

Los mayores rendimientos como promedio fueron simulados por el modelo Mri-esm2 coincidiendo con los mayores aportes por riego en los años húmedos y medio, así como de menor precipitación para los tres años del estudio de la probabilidad de ocurrencia. En los tres años seleccionados para este modelo fue necesario aplicar entre 10 y 12 riegos, con norma neta promedio de 18 mm, para lograr rendimientos superiores a las 7,5 t ha-1. El estudio comparativo de los rendimientos en el escenario de cambio climático SSP1-2.6 de los diferentes modelos Hadgem3, Mpi-esm1 y Mri-esm2 demostró la influencia de las condiciones particulares simuladas por cada uno en la respuesta del cultivo (Figura 2).

Los valores de rendimiento y productividad del agua están en el intervalo publicado en trabajos precedentes de González et al. (2015). En el caso particular del rendimiento en experimentos de campo varió entre 3,9 y 8,3 t ha-1 y la productividad en base a la evapotranspiración alcanzó valores entre 2 y 3 kg m-3 de agua consumida.
Resultados similares fueron publicados por Alarcón (2015) en un estudio sobre el efecto del cambio climático en el rendimiento del maíz en Perú, donde se concluye que para evitar el estrés hídrico se necesitaría adicionar una lámina de riego en el rango de 1200-1500 m3 ha-1, distribuidas principalmente durante la etapa de floración.
En la Figura 3 se observa que el maíz, en el escenario SSP1-2.6 y el modelo Mri-esm2 para el año húmedo (2043-2044), solo presentó índice de estrés según el modelo a los 45 y 108 días de 14% y 18% de cierre estomático, respectivamente, no afectando el rendimiento final por el aporte significativo de las precipitaciones y los 12 riegos aplicados. Los valores diarios de transpiración no superan los 4 mm dia-1 (Figura 3A), lo que corrobora lo planteado por varios autores como (Lamm et al., 1994; Namuco & O’Toole, 1986; Otegui et al., 1995; Steduto et al., 2012), sobre como el aumento de las temperaturas, así como la influencia de esta variable sobre la disminución de las precipitaciones y el aumento de la evapotranspiración. Estos autores no recomiendan estrés hídrico durante la floración y llenado del grano, debido a que provoca directamente la reducción de la tasa de producción de biomasa, y por tanto reducción en los rendimientos.
Las máximas producciones se obtienen cuando el cultivo puede transpirar a su máxima tasa, es decir, cuando no se produce cierre de estomas y por lo tanto reducción en la transpiración simultáneamente con la asimilación de CO2. Las tasas de estos últimos dos procesos están fuertemente ligadas y por tanto el cálculo de la transpiración por el dosel del cultivo es una ruta directa para el cálculo de la asimilación del cultivo.

Estudios similares realizados por (Castillo et al., 2020) en la misma zona de estudio, ante escenarios A2 de cambio climático, muestran rendimientos simulados por Aquacrop para maíz superiores a las 8 t ha-1 para los tres años seleccionados (seco, medio y húmedo) en suelo Ferralítico Rojo compactado en la Llanura Habana-Matanzas.
Por otra parte, el modelo Aquacrop fue validado por (Morla & Giayetto, 2012), para maíz en la región de Río Cuarto, en el centro-sur de Córdoba, Argentina. Rendimientos de 4,5, 8 y 11,8 t ha-1 fueron simulados para año seco, medio y húmedo, respectivamente. Considerando estos valores potenciales de producción como referentes de la capacidad productiva de los ambientes de esta región.
Si se aplica riego solo para garantizar la germinación de maíz ante el escenario SSP1-2.6 y el modelo Mri-esm2 para el año seco (2027-2028), los rendimientos se estiman en 4,4 t ha-1 y la biomasa en 14,6 t ha-1, lográndose una productividad de 2,37 kg m-3, con reducciones con respecto al rendimiento potencial de un 44% (Figura 4A).

Este manejo del riego, unido a las escasas y mal distribuidas precipitaciones (151,9 mm) (figura 4B) provocaron agotamiento del agua en el suelo en casi todo el período de desarrollo del cultivo y marcados niveles de estrés simulados. Por ejemplo, en la Figura 4A se observa al inicio de la floración 33% de inhibición de la expansión del dosel vegetal, y a partir de los 60 días después de plantado el maíz los niveles de estrés variaron entre 44 y 83% de cierre estomático y 29 y 41 % en la aceleración de la senescencia del dosel vegetal.
Estos resultados confirman lo planteado por (R. F. González et al., 2014) de que cultivos como el maíz, tradicionalmente cultivados en secano o en épocas de poca disponibilidad de agua para el riego, se obtienen incrementos de rendimiento superiores al 100% cuando se aplica el agua necesaria para satisfacer su demanda hídrica.
CONCLUSIONES
Los resultados muestran al modelo AquaCrop como una alternativa viable para estimar los rendimientos del maíz ante el escenario de cambio climático SSP1-2.6 de los modelos Hadgem3, Mpi-esm1 y Mri-esm2.
En el escenario SSP1-2.6 el comportamiento de las precipitaciones varió entre 267,9-532,65 mm, para los tres modelos. En el periodo de desarrollo del cultivo (noviembre-abril) los modelos Hadgem3 y Mpi-esm1 estiman valores de precipitación superiores al modelo Mri-esm2 entre un 20-22%, las mayores diferencias se tienen para el 75% de probabilidad de ocurrencia.
En el modelo Hadgem3 se evidencia la posibilidad de alcanzar en el maíz rendimientos potenciales de 8,6 t ha-1 y una productividad agronómica del agua de 3,08 kg m-3, si el cultivo no se somete a ningún tipo de limitación salvo la genética vegetal, la radiación solar y la temperatura, y las precipitaciones son suficiente en este periodo poco lluvioso.
Si se aplica riego solo para garantizar la germinación de maíz ante el escenario SSP1-2.6 y utilizando el modelo Mri-esm2, los rendimientos se estiman en 4,4 t ha-1 y la biomasa en 14,6 t ha-1, lográndose una productividad de 2,37 kg m-3, con reducciones con respecto al rendimiento potencial de un 44%.
El estudio comparativo de los rendimientos en el escenario de cambio climático SSP1-2.6 de los diferentes modelos Hadgem3, Mpi-esm1 y Mri-esm2 demostró la influencia de estas condiciones en la respuesta del cultivo.
REFERENCIAS BIBLIOGRÁFICAS
Alarcón, A. L. D. (2015). Efecto del cambio climático en el rendimiento del cultivo de maíz amarillo duro bajo condiciones de La Molina utilizando el modelo Aquacrop [Eng. Thesis]. Universidad Agraria La Molina.
Castillo, Y., González, F., Hervis, G., Riverol, L. H., & Cisneros, E. (2020). Impacto del cambio climático en el rendimiento del maíz sembrado en suelo Ferralítico Rojo compactado. Ingeniería Agrícola, 10(1), 49-60, ISSN-2306-1545, e-ISSN-2227-8761, Publisher: Instituto de Investigaciones de Ingeniería Agrícola.
Cid, G., Bilir, T., González, F., Herrera, J., & Ruiz, M. E. (2011). Propiedades físicas de algunos suelos de Cuba y su uso en modelos de simulación. Revista Ciencias Técnicas Agropecuarias, 20(2), 42-46, ISSN: 1010-2760, e-ISSN: 2071-0054.
Díaz, Y., Villalobos, M., González, F., & Herrera, J. (2018). Validación del modelo AquaCrop en maíz (Zea mays L.) y sorgo (Sorgum vulgare L. Monech). Ingeniería Agrícola, 8(2), 3-10, ISSN-2306-1545, e-ISSN-2227-8761, Publisher: Instituto de Investigaciones de Ingeniería Agrícola.
Escoto, A., Sánchez, L., & Gachuz, S. (2017). Trayectorias Socioeconómicas Compartidas (SSP): Nuevas maneras de comprender el cambio climático y social. Estudios demográficos y urbanos, 32(3), 669-693, ISSN: 0186-7210, Publisher: El Colegio de México AC. http://dx.doi.org/10.24201/edu.v32i3.1684
Giralt, E. (1990). Informe final proyecto (p. 56). Instituto de Investigaciones de Riego y Drenaje (IIRD).
González, F., López, D., Cisneros, E., Herrera, J., & Cid, G. (2019). Calibración y análisis de sensibilidad del modelo Aquacrop para frijol en suelo Ferralítico Rojo Compactado. Ingeniería Agrícola, 9(4), 3-12, ISSN-2306-1545, e-ISSN-2227-8761, Publisher: Instituto de Investigaciones de Ingeniería Agrícola.
González, R. F., Herrera, P. J., López, S. T., & Cid, L. G. (2014). Productividad del agua en algunos cultivos agrícolas en Cuba. Revista Ciencias Técnicas Agropecuarias, 23(4), Article 4.
González, R. F., López, S. T., & Herrera, P. J. (2015). Indicadores de productividad del agua por cultivos y técnicas de riego en Cuba. Revista Ciencias Técnicas Agropecuarias, 24(4), Article 4.
Instituto de Meteorología-Cuba. (2023). Boletín Agro meteorológico Nacional. 27 al 41(1 al 36), Publisher: Instituto de Meteorología, La Habana, Cuba.
IPCC. (2021). Bases físicas. Resumen para responsables de políticas, Contribución del Grupo de Trabajo I al Sexto Informe de Evaluación del Grupo Intergubernamental de Expertos sobre el Cambio Climático (pp. 40, ISBN: 978-92-9169-358-0) [Sexto Informe de Evaluación del Grupo Intergubernamental de Expertos sobre el Cambio Climático].
Januta, A. (2021). Que significan los cinco futuros del informe de la ONU sobre el clima. Euronews. http://es.euronews.com
Lamm, F., Rogers, D., & Manges, H. (1994). Irrigation scheduling with planned soil water depletion. Transactions of the ASAE, 37(5), Article 5.
Morla, F., & Giayetto, O. (2012). Calibración y validación del modelo AquaCrop de FAO en cultivos representativos del centro sur de Córdoba. XIX Congreso Latinoamericano de la Ciencia del Suelo, Argentina.
Muñoz-Ortega, K. M. (2023). Modelando para la distribución espacial de Akodon mollis en los Andes ecuatorianos bajo escenarios de cambio climático [Tesis pregrado, Universidad Tecnológica Indoamérica, Quito, Ecuador]. http://repositorio.uti.edu.ec//handle //123456789/5500
Namuco, S. O., & O’Toole, C. J. (1986). Reproductive Stage Water Stress and Sterility. I. Effect of Stress during Meiosis 1. Crop Science, 26(2), Article 2.
OFA y CC. (2023). Observatorio de Frutos Amazónicos y Cambio climático. Escenarios bajo los modelos SSP y RCP (pp. 11-19). Observatorio de Frutos Amazónicos y Cambio climático. https://frutosamazonicos.org.bo
Otegui, M. E., Andrade, F. H., & Suero, E. E. (1995). Growth, water use, and kernel abortion of maize subjected to drought at silking. Field Crops Research, 40(2), Article 2.
Pérez, R., & Álvarez, M. (2005). Necesidades de Riego de la Caña de Azúcar en Cuba (Vol. 2). Academia.
Raes, D., Steduto, P., Hsiao, T. C., & Fereres, E. (2009). AquaCrop-The FAO crop model to simulate yield response to water: II. Main algorithms and software description. Agronomy Journal, 101(3), Article 3.
Rodríguez, O., Florido, R., Hernández, N., Soto, F., Jeréz, E., González, D., & Vázquez, J. (2021). Simulation of management strategies from the DSSAT model to increase the yields of a corn cultivar. Cuban Journal of Agricultural Science, 55(2), ISSN: 2079-3480.
Steduto, P., Raes, D., Hsiao, T. C., & Fereres, E. (2012). Respuesta del rendimiento de los cultivos al agua. Estudio FAO Riego y Drenaje 66.
Tian, Z., Hanqing, X., Sun, L., Fan, D., Fischer, G., Zhong, H., Zhang, P., Pope, E., Kent, C., & Wu, W. (2020). Using a cross-scale simulation tool to assess future maize production under multiple climate change scenarios: An application to the Northeast Farming Region of China. Climate Services, 18, 100-150, ISSN: 2405-8807, Publisher: Elsevier. https://doi.org/10.1016/j. cliser.2020
Wani, S., Albrizio, R., & Vajja, N. (2012). Sorghum. Crop yield response to water. En Irrigation and drainage paper number, vol. 66. (Steduto, P., Hsiao, T. C., Fereres, E, Raes, D., pp. 144-151). FAO.
Author notes
*Autora para correspondencia: Felicita González-Robaina, e-mail: felicita.gonzalez@iagric.minag.gob.cu
Conflict of interest declaration